Development of Novel Electrochemical Biosensors Based on Horseradish Peroxidase for the Detection of Caffeic Acid
Abstract
1. Introduction
2. Materials and Methods
2.1. Equipment
2.2. Reagents and Solutions
2.3. Spectrophotometric Methods
2.4. Study of Enzymatic Activity
2.5. Biosensors Development
2.6. Electrochemical Measurements
2.7. Food Supplements Analysis
3. Results
3.1. Identification of Peroxidase by Spectrometric Methods
3.2. Study of Enzymatic Activity
3.3. Characterization of Biosensors by Cyclic Voltammetry
Prussian blue Prussian white
Prussian blue Berlin green
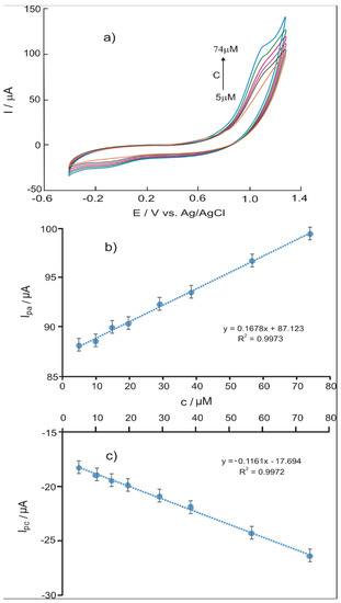
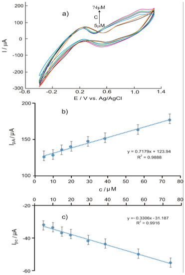
3.4. Influence of the Caffeic Acid on the Biosensors Responses
3.5. Interference Studies
3.6. Stability of the Biosensor Response
3.7. Quantification of Caffeic Acid in Food Supplements
4. Conclusions
Supplementary Materials
Author Contributions
Funding
Institutional Review Board Statement
Informed Consent Statement
Data Availability Statement
Conflicts of Interest
References
- Verma, R.P.; Hansch, C. An Approach towards the Quantitative Structure-Activity Relationships of Caffeic Acid and Its Derivatives. ChemBioChem 2004, 5, 1188–1195. [Google Scholar] [CrossRef] [PubMed]
- Silva, T.; Oliveira, C.; Borges, F. Caffeic Acid Derivatives, Analogs and Applications: A Patent Review (2009–2013). Expert Opin. Ther. Pat. 2014, 24, 1257–1270. [Google Scholar] [CrossRef] [PubMed]
- Pandey, K.B.; Rizvi, S.I. Plant Polyphenols as Dietary Antioxidants in Human Health and Disease. Oxidative Med. Cell. Longev. 2009, 2, 270–278. [Google Scholar] [CrossRef]
- Damasceno, S.S.; Dantas, B.B.; Ribeiro-Filho, J.; Antônio, M.; Araújo, D.; Galberto, M.; da Costa, J. Chemical Properties of Caffeic and Ferulic Acids in Biological System: Implications in Cancer Therapy. A Review. CPD 2017, 23, 3015–3023. [Google Scholar] [CrossRef] [PubMed]
- Medina, I.; Undeland, I.; Larsson, K.; Storrø, I.; Rustad, T.; Jacobsen, C.; Kristinová, V.; Gallardo, J.M. Activity of Caffeic Acid in Different Fish Lipid Matrices: A Review. Food Chem. 2012, 131, 730–740. [Google Scholar] [CrossRef]
- Manikandan, V.S.; Sidhureddy, B.; Thiruppathi, A.R.; Chen, A. Sensitive Electrochemical Detection of Caffeic Acid in Wine Based on Fluorine-Doped Graphene Oxide. Sensors 2019, 19, 1604. [Google Scholar] [CrossRef]
- Demirkol, D.O.; Gulsunoglu, B.; Ozdemir, C.; Dinçer, A.; Zihnioglu, F.; Timur, S. Caffeic Acid Detection Using an Inhibition-Based Lipoxygenase Sensor. Food Anal. Methods 2012, 5, 244–249. [Google Scholar] [CrossRef]
- Moreira, G.C.; de Souza Dias, F. Mixture design and Doehlert matrix for optimization of the ultrasonic assisted extraction of caffeic acid, rutin, catechin and trans-cinnamic acid in Physalis angulata L. and determination by HPLC DAD. Microchem. J. 2018, 141, 247–252. [Google Scholar] [CrossRef]
- Veeren, B.; Bringart, M.; Turpin, C.; Rondeau, P.; Planesse, C.; Ait-Arsa, I.; Gimié, F.; Marodon, C.; Meilhac, O.; Gonthier, M.-P.; et al. Caffeic Acid, One of the Major Phenolic Acids of the Medicinal Plant Antirhea borbonica, Reduces Renal Tubulointerstitial Fibrosis. Biomedicines 2021, 9, 358. [Google Scholar] [CrossRef]
- Singleton, V.L.; Orthofer, R.; Lamuela-Raventós, R.M. Analysis of Total Phenols and Other Oxidation Substrates and Antioxidants by Means of Folin-Ciocalteu Reagent. In Methods in Enzymology; Elsevier: Amsterdam, The Netherlands, 1999; Volume 299, pp. 152–178. [Google Scholar] [CrossRef]
- Berker, K.I.; Ozdemir Olgun, F.A.; Ozyurt, D.; Demirata, B.; Apak, R. Modified Folin–Ciocalteu Antioxidant Capacity Assay for Measuring Lipophilic Antioxidants. J. Agric. Food Chem. 2013, 61, 4783–4791. [Google Scholar] [CrossRef]
- Cifuentes, J.; Salazar, V.A.; Cuellar, M.; Castellanos, M.C.; Rodríguez, J.; Cruz, J.C.; Muñoz-Camargo, C. Antioxidant and Neuroprotective Properties of Non-Centrifugal Cane Sugar and Other Sugarcane Derivatives in an In Vitro Induced Parkinson’s Model. Antioxidants 2021, 10, 1040. [Google Scholar] [CrossRef]
- Danilewicz, J.C. Folin-Ciocalteu, FRAP, and DPPH• Assays for Measuring Polyphenol Concentration in White Wine. Am. J. Enol. Vitic. 2015, 66, 463–471. [Google Scholar] [CrossRef]
- Wang, H. Determination of Rosmarinic Acid and Caffeic Acid in Aromatic Herbs by HPLC. Food Chem. 2004, 87, 307–311. [Google Scholar] [CrossRef]
- Spagnol, C.M.; Isaac, V.L.B.; Corrêa, M.A.; Salgado, H.R.N. Validation of HPLC–UV Assay of Caffeic Acid in Emulsions. J. Chromatogr. Sci. 2015, 54, bmv142. [Google Scholar] [CrossRef]
- Meena, A.K.; Motiwale, M.; Ilavarasan, R.; Perumal, A.; Singh, R.; Srikanth, N.; Dhiman, K.S. Evaluation of Substitution of Small Branches with Roots of Desmodium Gangeticum (Physicochemical Analysis, HPLC, and GC–MS Profiling) and In Silico Study of Pterocarpans for Pharmacological Target. Appl. Biochem. Biotechnol. 2022, 194, 1527–1545. [Google Scholar] [CrossRef]
- Pérez-López, L.A.; Cavazos-Rocha, N.; Delgado-Montemayor, C.; Waksman-Minsky, N.; Hernández-Salazar, M.; Portillo-Castillo, O.J. A Simple HPLC-DAD Method for Analysis of Phenolic Acids: Addition Effect of a Hydrophilic Deep Eutectic Solvent to the Mobile Phase. Acta Chromatogr. 2022. [Google Scholar] [CrossRef]
- Yan-Ying, Y.; Wei, Z.; Shu-Wen, C. Extraction of Ferulic Acid and Caffeic Acid with Ionic Liquids. Chin. J. Anal. Chem. 2007, 35, 1726–1730. [Google Scholar] [CrossRef]
- Paje, L.A.; Choi, J.; Lee, H.-D.; Kim, J.; Yu, A.R.; Bae, M.-J.; Geraldino, P.J.L.; Lee, S. Phenolic Acids and Flavonoids from Salvia Plebeia and HPLC-UV Profiling of Four Salvia Species. Heliyon 2022, 8, e09046. [Google Scholar] [CrossRef]
- Nikolić, G.M.; Živanović, S.C.; Nikolić, M.G.; Veselinović, A.M. Kinetics and Mechanism of Caffeic Acid Autoxidation in Weakly Alkaline Aqueous Solutions in the Presence of Mg(II) Ions. React. Kinet. Catal. Lett. 2023. [Google Scholar] [CrossRef]
- Ostojić, J.; Herenda, S.; Bešić, Z.; Miloš, M.; Galić, B. Advantages of an Electrochemical Method Compared to the Spectrophotometric Kinetic Study of Peroxidase Inhibition by Boroxine Derivative. Molecules 2017, 22, 1120. [Google Scholar] [CrossRef]
- Kaya, H.O.; Cetin, A.E.; Azimzadeh, M.; Topkaya, S.N. Pathogen Detection with Electrochemical Biosensors: Advantages, Challenges and Future Perspectives. J. Electroanal. Chem. 2021, 882, 114989. [Google Scholar] [CrossRef] [PubMed]
- Tavares, T.S.; da Rocha, E.P.; Esteves Nogueira, F.G.; Torres, J.A.; Silva, M.C.; Kuca, K.; Ramalho, T.C. Δ-FeOOH as Support for Immobilization Peroxidase: Optimization via a Chemometric Approach. Molecules 2020, 25, 259. [Google Scholar] [CrossRef]
- Munteanu, I.G.; Apetrei, C. Assessment of the Antioxidant Activity of Catechin in Nutraceuticals: Comparison between a Newly Developed Electrochemical Method and Spectrophotometric Methods. IJMS 2022, 23, 8110. [Google Scholar] [CrossRef] [PubMed]
- Apetrei, I.M.; Apetrei, C. Development of a Novel Biosensor Based on Tyrosinase/Platinum Nanoparticles/Chitosan/Graphene Nanostructured Layer with Applicability in Bioanalysis. Materials 2019, 12, 1009. [Google Scholar] [CrossRef]
- Azevedo, A.M.; Martins, V.C.; Prazeres, D.M.F.; Vojinović, V.; Cabral, J.M.S.; Fonseca, L.P. Horseradish Peroxidase: A Valuable Tool in Biotechnology. In Biotechnology Annual Review; Elsevier: Amsterdam, The Netherlands, 2003; Volume 9, pp. 199–247. [Google Scholar] [CrossRef]
- Hamid, M.; Khalil-ur-Rehman. Potential Applications of Peroxidases. Food Chem. 2009, 115, 1177–1186. [Google Scholar] [CrossRef]
- Apetrei, C.; Apetrei, I.M. Biosensor Based on Tyrosinase Immobilized on a Single-Walled Carbon Nanotube-Modified Glassy Carbon Electrode for Detection of Epinephrine. IJN 2013, 8, 4391. [Google Scholar] [CrossRef]
- Veitch, N.C. Horseradish Peroxidase: A Modern View of a Classic Enzyme. Phytochemistry 2004, 65, 249–259. [Google Scholar] [CrossRef]
- Apetrei, I.M.; Apetrei, C. Biosensing Application of Hybrid Thin-Film Layers-Based Biosensors. IEEE Sens. J. 2015, 15, 6926–6932. [Google Scholar] [CrossRef]
- Yang, S.; Li, Y.; Jiang, X.; Chen, Z.; Lin, X. Horseradish Peroxidase Biosensor Based on Layer-by-Layer Technique for the Determination of Phenolic Compounds. Sens. Actuators B: Chem. 2006, 114, 774–780. [Google Scholar] [CrossRef]
- Felisardo, R.J.A.; Luque, A.M.; Silva, Q.S.; Soares, C.M.F.; Fricks, A.T.; Lima, Á.S.; Cavalcanti, E.B. Biosensor of Horseradish Peroxidase Immobilized onto Self-Assembled Monolayers: Optimization of the Deposition Enzyme Concentration. J. Electroanal. Chem. 2020, 879, 114784. [Google Scholar] [CrossRef]
- Wu, L.; Yin, W.; Tang, K.; Li, D.; Shao, K.; Zuo, Y.; Ma, J.; Liu, J.; Han, H. Enzymatic Biosensor of Horseradish Peroxidase Immobilized on Au-Pt Nanotube/Au-Graphene for the Simultaneous Determination of Antioxidants. Anal. Chim. Acta 2016, 933, 89–96. [Google Scholar] [CrossRef]
- Imabayashi, S.; Kong, Y.-T.; Watanabe, M. Amperometric Biosensor for Polyphenol Based on Horseradish Peroxidase Immobilized on Gold Electrodes. Electroanalysis 2001, 13, 408–412. [Google Scholar] [CrossRef]
- Yang, S.; Chen, Z.; Jin, X.; Lin, X. HRP Biosensor Based on Sugar-Lectin Biospecific Interactions for the Determination of Phenolic Compounds. Electrochim. Acta 2006, 52, 200–205. [Google Scholar] [CrossRef]
- Raghu, P.; Reddy, T.M.; Gopal, P.; Reddaiah, K.; Sreedhar, N.Y. A Novel Horseradish Peroxidase Biosensor towards the Detection of Dopamine: A Voltammetric Study. Enzym. Microb. Technol. 2014, 57, 8–15. [Google Scholar] [CrossRef]
- Ozoner, S.K.; Yilmaz, F.; Celik, A.; Keskinler, B.; Erhan, E. A Novel Poly(Glycine Methacrylate-Co-3-Thienylmethyl Methacrylate)-Polypyrrole-Carbon Nanotube-Horseradish Peroxidase Composite Film Electrode for the Detection of Phenolic Compounds. Curr. Appl. Phys. 2011, 11, 402–408. [Google Scholar] [CrossRef]
- Sen, U. Concanavalin A—Horse radish peroxidase (Con A-HRP) labelling technique in detection and prognosis of cancer of uterine cervix. Eur. J. Gynaecol. Oncol. 1989, 10, 289–291. [Google Scholar]
- Mello, L.D.; Sotomayor, M.D.P.T.; Kubota, L.T. HRP-Based Amperometric Biosensor for the Polyphenols Determination in Vegetables Extract. Sens. Actuators B: Chem. 2003, 96, 636–645. [Google Scholar] [CrossRef]
- Korkut, S.; Erhan, E.; Yilmaz, F. Enzyme Based Phenol Biosensors. In Environmental Biosensors; Somerset, V., Ed.; InTech: London, UK, 2011; ISBN 978-953-307-486-3. [Google Scholar] [CrossRef]
- Bounegru, A.; Apetrei, C. Voltammetric Sensors Based on Nanomaterials for Detection of Caffeic Acid in Food Supplements. Chemosensors 2020, 8, 41. [Google Scholar] [CrossRef]
- Available online: https://www.sigmaaldrich.com/RO/en/technical-documents/technical-article/analytical-chemistry/photometry-and-reflectometry/ir-spectrum-table (accessed on 2 June 2022).
- Wan, L.; Song, Y.; Zhu, H.; Wang, Y.; Wang, L. Electron Transfer of Co-immobilized Cytochrome c and Horseradish Peroxidase in Chitosan-Graphene Oxide Modified Electrode. Int. J. Electrochem. Sci. 2011, 6, 4700–4713. [Google Scholar]
- Karyakin, A.A. Prussian Blue and Its Analogues: Electrochemistry and Analytical Applications. Electroanalysis 2001, 13, 813–819. [Google Scholar] [CrossRef]
- Gunache (Roșca), R.O.; Apetrei, C. Determination of Diosmin in Pharmaceutical Products with Chemically Modified Voltammetric Sensors. IJMS 2021, 22, 7315. [Google Scholar] [CrossRef] [PubMed]
- Dinu, A.; Apetrei, C. Development of Polypyrrole Modified Screen-Printed Carbon Electrode Based Sensors for Determination of L-Tyrosine in Pharmaceutical Products. IJMS 2021, 22, 7528. [Google Scholar] [CrossRef] [PubMed]
- Bounegru, A.V.; Apetrei, C. Voltamperometric Sensors and Biosensors Based on Carbon Nanomaterials Used for Detecting Caffeic Acid—A Review. IJMS 2020, 21, 9275. [Google Scholar] [CrossRef] [PubMed]
- Tango, R.; Koeda, A.; Nagamine, K.; Tokito, S.; Niwa, O.; Ishikawa, S.; Sugimoto, M. Development of a Highly Sensitive Prussian-Blue-Based Enzymatic Biosensor for l-Carnitine Employing the Thiol/Disulfide Exchange Reaction. Anal. Sci. 2022, 38, 963–968. [Google Scholar] [CrossRef] [PubMed]
- Gunache (Roșca), R.O.; Bounegru, A.V.; Apetrei, C. Determination of Atorvastatin with Voltammetric Sensors Based on Nanomaterials. Inventions 2021, 6, 57. [Google Scholar] [CrossRef]
- García-Guzmán, J.J.; López-Iglesias, D.; Cubillana-Aguilera, L.; Lete, C.; Lupu, S.; Palacios-Santander, J.M.; Bellido-Milla, D. Assessment of the polyphenol indices and antioxidant capacity for beers and wines using a tyrosinase-based biosensor prepared by sinusoidal current method. Sensors 2019, 19, 66. [Google Scholar] [CrossRef]
- Vasilescu, I.; Eremia, S.A.V.; Kusko, M.; Radoi, A.; Vasile, E.; Radu, G.L. Molybdenum disulphide and graphene quantum dots as electrode modifiers for laccase biosensor. Biosens. Bioelectron. 2016, 75, 232–237. [Google Scholar] [CrossRef]
- Đurđić, S.; Stanković, V.; Vlahović, F.; Ognjanović, M.; Kalcher, K.; Veličković, T.Ć.; Mutić, J.; Stanković, D.M. Laccase Polyphenolic Biosensor Supported on MnO2@GNP Decorated SPCE: Preparation, Characterization, and Analytical Application. J. Electrochem. Soc. 2021, 168, 037510. [Google Scholar] [CrossRef]
- Gamella, M.; Campuzano, S.; Reviejo, A.J.; Pingarrón, J.M. Electrochemical estimation of the polyphenol index in wines using a laccase biosensor. J. Agric. Food Chem. 2006, 54, 7960–7967. [Google Scholar] [CrossRef]
- Gomes, S.A.S.S.; Nogueira, J.M.F.; Rebelo, M.J.F. An amperometric biosensor for polyphenolic compounds in red wine. Biosens. Bioelectron. 2004, 20, 1211–1216. [Google Scholar] [CrossRef]
- Júnior, A.R.S.; Rebelo, M.J.F. Biosensors for the Polyphenolic Content of Wine Determination: Port. Electrochim. Acta 2007, 26, 117–124. [Google Scholar] [CrossRef]







| Sensitive Material | Detection Technique | Analyte | LOD (μM) | Reference |
|---|---|---|---|---|
| HRP/thiol-modified gold | Amperometry | (+)-Catechin | 2.2 | [34] |
| Au/MPA/HRP | Amperometry | Guaiacol | 0.8 | [35] |
| SAP/HRP/Au-GN | Cyclic Voltammetry Linear Scanning Voltammetry | Butylated hydroxyanisole Propyl gallate | 0.255 0.113 | [36] |
| Poly(Gly)/SiSG/MWCNTs/HRP | Differential pulse voltammetry | Dopamine | 0.6 | [37] |
| Con A-HRP | Amperometry | Catechol Phenol o-Cresol | 0.6 0.2 0.4 | [38] |
| HRP/DNA | Amperometry | Chlorogenic acid | 0.7 | [39] |
| Poly(GMA-co-MTM)/PPy/CNT/HRP | Amperometry | Phenol Hydroquinone Pyrocatechol 2-Aminophenol | 0.732 0.336 0.516 0.247 | [40] |
| Sensitive Material | Detection Technique | Linearity Range (μM) | Limit of Detection (μM) | Reference |
|---|---|---|---|---|
| PEDOT-Tyr | CV | 10–300 | 4.33 | [50] |
| MoS2-GQDs-TvL | CV | 0.38–10 10–100 | 0.32 | [51] |
| GNP@MnO2/Lac | Amperometry | 5–320 | 1.9 | [52] |
| GCE/TvL | Amperometry | 4–55 | 4 | [53] |
| AgCl/Ag-Pt/polyethersulfone membrane/Laccase | Amperometry | 2–14 | 1 | [54] |
| Polyethersulfone membranes/Laccase | Amperometry | 5–35 | 0.88 | [55] |
| PB/HRP | CV | 5–74 | 0.9 | This study |
| Caffeic Acid 20 μM + Interfering Compound 20 μM | Potential (V) | Potential Change (%) | Current (μA) | Current Change (%) |
|---|---|---|---|---|
| Caffeic acid | 1.100 | - | 140.2 | - |
| Caffeic acid + catechol | 1.105 | 0.45 | 141.3 | 0.78 |
| Caffeic acid + catechin | 1.092 | 0.72 | 138.7 | 1.07 |
| Caffeic acid + gallic acid | 1.110 | 0.91 | 143.5 | 2.35 |
| Food Supplement | Caffeic Acid Content (%) | |
|---|---|---|
| Biosensor | Declared Content by Producer (%) | |
| Telom-R Diab | 2.54 ± 0.08 | 2.5 |
| Calmogen Plant Somn | 1.20 ± 0.002 | - |
| DVR-Stem Glycemo | 2.47 ± 0.06 | 2.5 |
Disclaimer/Publisher’s Note: The statements, opinions and data contained in all publications are solely those of the individual author(s) and contributor(s) and not of MDPI and/or the editor(s). MDPI and/or the editor(s) disclaim responsibility for any injury to people or property resulting from any ideas, methods, instructions or products referred to in the content. |
© 2023 by the authors. Licensee MDPI, Basel, Switzerland. This article is an open access article distributed under the terms and conditions of the Creative Commons Attribution (CC BY) license (https://creativecommons.org/licenses/by/4.0/).
Share and Cite
Trifan, A.G.; Apetrei, I.M. Development of Novel Electrochemical Biosensors Based on Horseradish Peroxidase for the Detection of Caffeic Acid. Appl. Sci. 2023, 13, 2526. https://doi.org/10.3390/app13042526
Trifan AG, Apetrei IM. Development of Novel Electrochemical Biosensors Based on Horseradish Peroxidase for the Detection of Caffeic Acid. Applied Sciences. 2023; 13(4):2526. https://doi.org/10.3390/app13042526
Chicago/Turabian StyleTrifan, Andra Georgiana, and Irina Mirela Apetrei. 2023. "Development of Novel Electrochemical Biosensors Based on Horseradish Peroxidase for the Detection of Caffeic Acid" Applied Sciences 13, no. 4: 2526. https://doi.org/10.3390/app13042526
APA StyleTrifan, A. G., & Apetrei, I. M. (2023). Development of Novel Electrochemical Biosensors Based on Horseradish Peroxidase for the Detection of Caffeic Acid. Applied Sciences, 13(4), 2526. https://doi.org/10.3390/app13042526
