Study on Paste Transformation and Parameter Optimization of Cemented Backfilling with Fine Tailings in Deep Gold Deposits
Abstract
1. Introduction
2. Engineering Background
3. Transformation of Medium and Fine Tailings Paste Backfilling Technology
3.1. Method of Medium Transformation, Fine Tailings Paste Backfilling Process and Modifying the Process of Making Homogenous Pulp in a Sand Silo
3.2. Addition and Experiment Using Flocculant Equipment
3.3. Retrofit of Backfilling Slurry Preparation Process

4. Characteristic Test of Medium and Fine Tailings Paste Backfilling Body
4.1. Particle Size Classification Experiment
4.2. Ratio Optimization Experiment
5. Numerical Calculation Analysis
6. Results and Discussion
7. Conclusions
Author Contributions
Funding
Conflicts of Interest
References
- Adiansyah, J.S.; Rosano, M.; Vink, S. A framework for a sustainable approach to mine tailings management: Disposal strategies. J. Clean. Prod. 2015, 108, 1050–1062. [Google Scholar] [CrossRef]
- Li, Q.-M.; Zhang, H.; Yang, Z. Digital Tailings System for Non-coal Mine Solid Waste Safety Treatment. In Proceedings of the 2017 3rd International Forum on Energy, Environment Science and Materials, Shenzhen, China, 25–26 November 2017; pp. 2000–2006. [Google Scholar]
- Das, A.; Hill, B.; Rossiter, P. Characterization and processing of plant tailings for the recovery of fine garnet-a case study. Sep. Sci. Technol. 2021, 56, 821–833. [Google Scholar] [CrossRef]
- Deng, Z.; Wu, S.; Fan, Z. Research on the Overtopping-Induced Breaching Mechanism of Tailings Dam and Its Numerical Simulation. Adv. Civ. Eng. 2019, 3264342. [Google Scholar] [CrossRef]
- Makarov, D.V.; Konina, O.T.; Goryachev, A.A. Dusting Suppression at Tailings Storage Facilities. J. Min. Sci. 2021, 57, 681–688. [Google Scholar] [CrossRef]
- Plokhov, A.S.; Pashkevich, M.A.; Isakov, A.E. Study of the ways to utilize ore dressing tailings for obtaining a useful component. Top. Issues Ration. Use Nat. Resour. 2019, 379–386. [Google Scholar]
- Ye, T.; Chen, Z.; Chen, Y. Green synthesis of ZSM-5 zeolite for selective catalytic reduction of NO via template-free method from tailing residue. J. Environ. Chem. Eng. 2022, 10, 107766. [Google Scholar] [CrossRef]
- Zhai, W.; Wang, Y.; Deng, Y. Recycling of asbestos tailings used as reinforcing fillers in polypropylene based composites. J. Hazard. Mater. 2014, 270, 137–143. [Google Scholar] [CrossRef]
- Zhao, K.; Yang, Z.; Zeng, P. Infrasound characteristics of cemented tailing backfilling material under uniaxial compression. J. Coal Sci. Engineering. 2019, 44, 92–100. [Google Scholar]
- Saedi, A.; Jamshdi-zanjani, A.; Darban, A.K. A review on different methods of activating tailings to improve their cementitious property as cemented paste and reusability. J. Environ. Manag. 2020, 270, 110881. [Google Scholar] [CrossRef]
- Fang, K.; Fall, M. Chemically Induced Changes in the Shear Behaviour of Interface Between Rock and Tailings Backfill Undergoing Cementation. Rock Mech. Rock Eng. 2019, 52, 3047–3062. [Google Scholar] [CrossRef]
- Fang, K.; Fall, M. Shear Behavior of the Interface Between Rock and Cemented Backfill: Effect of Curing Stress, Drainage Condition and Backbackfilling Rate. Rock Mech. Rock Eng. 2020, 53, 325–336. [Google Scholar] [CrossRef]
- Chen, S.; Liu, X.; Han, Y. Experimental study of creep hardening characteristic and mechanism of backfilling paste. Chin. J. Rock Mech. Eng. 2016, 35, 570–578. [Google Scholar]
- Zaid, A.; Mamadou, F. Coupled effect of sulphate and temperature on the reactivity of cemented tailings backfill. Int. J. Min. Reclam. Environ. 2021, 35, 80–94. [Google Scholar]
- Sun, Q.; Zhang, X.; Zhang, S. Experimental Study on the Preparation of High-strength Paste Backfilling Materials with Mine’s Solid Waste. Non-Met. Mines 2015, 38, 42–44. [Google Scholar]
- Zhao, K.; Huang, M.; Yan, Y. Mechanical properties and synergistic deformation characteristics of tailings cemented backfilling assembled material body with different cement-tailings ratios. Chin. J. Rock Mech. Eng. 2021, 40, 2781–2789. [Google Scholar]
- Zhao, K.; Wu, J.; Yan, Y. Multi-scale characteristics of crack evolution of cemented tailings backfill. Chin. J. Rock Mech. Eng. 2022, 41, 1626–1636. [Google Scholar]
- Jia, Q.; Jian, Z.; Li, L. An analytical solution to estimate the settlement of tailings or backfill slurry by considering the sedimentation and consolidation. Int. J. Min. Sci. Technol. 2021, 31, 463–471. [Google Scholar]
- Sun, X.; Zhou, H.; Wang, G. Digital Simulation of Strata Control by Solid Waste Paste-like Body for Backbackfilling. J. Min. Saf. Eng. 2007, 1, 117–121. [Google Scholar]
- Can, S.; Huang, G.; Wu, D. Experimental and Modeling Study on the Rheological Properties of Tailings Backfill. J. Northeast. Univ. (Nat. Sci.) 2015, 36, 882–886. [Google Scholar]
- Skrzypkowski, K. Determination of the Backbackfilling Time for the Zinc and Lead Ore Deposits with Application of the BackfillCAD Model. Energies 2021, 14, 3186. [Google Scholar] [CrossRef]
- Gan, D.; Sun, H.; Xie, Z. Transport state evolution of the packed slurry with the influence of temperature. J. China Univ. Min. Technol. 2021, 50, 248–255. [Google Scholar]
- Wang, C.; Liu, Y.; Elmo, D. Investigation of the spatial distribution pattern of 3D microcracks in single-cracked breakage. Int. J. Rock Mech. Min. Sci. 2022, 154, 105126. [Google Scholar] [CrossRef]
- Wang, C.; Zhou, B.; Lu, H. Experimental investigation on the spatio-temporal-energy evolution pattern of limestone fracture using acoustic emission monitoring. J. Appl. Geophys. 2022, 206, 104787. [Google Scholar] [CrossRef]
- Wang, C.; Hou, X.; Liu, Y. Three-Dimensional Crack Recognition by Unsupervised Machine Learning. Rock Mech. Rock Eng. 2020, 54, 893–903. [Google Scholar] [CrossRef]
- Xiu, Z.; Wang, S.; Ji, Y. The effects of dry and wet rock surfaces on shear behavior of the interface between rock and cemented paste backfill. Powder Technol. 2021, 381, 324–337. [Google Scholar] [CrossRef]
- Skrzypkowski, K. 3D Numerical Modelling of the Application of Cemented Paste Backfill on Displacements around Strip Excavations. Energies 2021, 14, 7750. [Google Scholar] [CrossRef]
- Yuan, S.; Sun, B.; Han, G.; Duan, W.; Wang, Z. Application and Prospect of Curtain Grouting Technology in Mine Water Safety Management in China: A Review. Water 2022, 14, 4093. [Google Scholar] [CrossRef]
- Yuan, S.; Han, G. Combined Drilling Methods to Install Grout Curtains in a Deep Underground Mine: A Case Study in Southwest China. Mine Water Environ. 2020, 39, 902–909. [Google Scholar] [CrossRef]
- Yuan, S.; Sui, W.; Han, G.; Duan, W. An Optimized Combination of Mine Water Control, Treatment, Utilization, and Reinjection for Environmentally Sustainable Mining: A Case Study. Mine Water Environ. 2022, 41, 828–839. [Google Scholar] [CrossRef]
- Wen, X.; Mingui, H.; Pan, L. Influence of freeze–thaw cycles on mechanical responses of cemented paste tailings in surface storage. Int. J. Min. Reclam. Environ. 2020, 34, 326–342. [Google Scholar]
- Hu, Z.; Chen, Z.; Zhang, G. Laboratory experimental study on static liquefaction of fine tailings. Chin. J. Rock Mech. Eng. 2022, 41, 3002–3009. [Google Scholar]
- Fu, Z.; Qiao, D.; Guo, Z. A model for calculating strength of ultra-fine tailings cemented hydraulic fill and its application. Rock Soil Mech. 2018, 39, 3147–3156. [Google Scholar]
- Peng, X.; Guo, L.; Chen, X. Study on Bleeding Characteristics of Tailings Backfill Slurry and Its Influence on Cemented Backfill. Nonferrous Met. Eng. 2022, 12, 93–99. [Google Scholar]
- Xiao, S.; Xiao, W.; Xiang, W. Dual waste utilization in cemented paste backfill using steel slag and mine tailings and the heavy metals immobilization effects. Powder Technol. 2022, 403, 117413. [Google Scholar]
- Mazzinghy, D.B.; Figueiredo, R.A.; Parbhakar-Fox, A.; Yahyaei, M.; Vaughan, J.; Powell, M.S. Trialling one-part geopolymer production including iron ore tailings as fillers. International J. Min. Reclam. Environ. 2022, 36, 1–12. [Google Scholar] [CrossRef]
- Juan, Z.; Yu, T.; Hu, F. Utilization of low-alkalinity binders in cemented paste backfill from sulphide-rich mine tailings. Constr. Build. Mater. 2021, 290, 123221. [Google Scholar]
- Wang, X.; Wang, H.; Wu, A. Evaluation of time-dependent rheological properties of cemented paste backfill incorporating superplasticizer with special focus on thixotropy and static yield stress. J. Cent. South Univ. 2022, 29, 1239–1249. [Google Scholar] [CrossRef]
- Wu, Z.; Ji, H.; Jiang, H. Study of mechanical properties of frozen saline cemented tailings backfill. Rock Soil Mech. 2020, 41, 1874–1880. [Google Scholar]
- Qiao, L.; Qu, C.; Cu, M. Effect of fines content on engineering characteristics of tailings. Rock Soil Mech. 2015, 36, 923–927+45. [Google Scholar]
- Zhuang, X.; Zhou, S. An Experimental and Numerical Study on the Influence of Backfilling Materials on Double-Crack Propagation. Rock Mech. Rock Eng. 2020, 53, 5571–5591. [Google Scholar] [CrossRef]
- Fahad, A.; Mamadou, F. Geotechnical behaviour of layered paste tailings in shaking table testing. Int. J. Min. Reclam. Environ. 2022, 36, 174–195. [Google Scholar]
- Shuai, C.; Gaili, X.; Erol, Y. Assessment of rheological and sedimentation characteristics of fresh cemented tailings backfill slurry. Int. J. Min. Reclam. Environ. 2021, 35, 319–335. [Google Scholar]















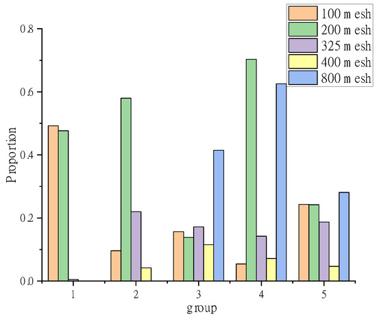
| N° | Particle Size Ratio (%) | ||||
|---|---|---|---|---|---|
| 100 | 200 | 325 | 400 | 800 | |
| 1 | 49.25 | 47.65 | 0.50 | 0 | 0 |
| 2 | 9.60 | 58.00 | 22.00 | 4.20 | 0 |
| 3 | 15.66 | 13.83 | 17.20 | 11.53 | 41.48 |
| 4 | 5.45 | 70.33 | 14.20 | 7.15 | 62.60 |
| 5 | 24.28 | 24.23 | 18.75 | 4.65 | 28.10 |
| N° | Lime-Sand Ratio | Content (%) | Compressive Strength (MPa) | ||
|---|---|---|---|---|---|
| 3d | 7d | 14d | |||
| 1 | 1:4 | 62 | 1.74 | 2.52 | 2.79 |
| 2 | 1:4 | 64 | 2.20 | 2.66 | 3.77 |
| 3 | 1:4 | 66 | 1.62 | 2.86 | 2.42 |
| 4 | 1:4 | 68 | 1.067 | 2.135 | 3.208 |
| 5 | 1:6 | 62 | 0.944 | 1.45 | 1.751 |
| 6 | 1:6 | 64 | 0.66 | 1.35 | 1.92 |
| 7 | 1:6 | 66 | 1.43 | 2.049 | 2.249 |
| 8 | 1:6 | 68 | 1.198 | 1.681 | 1.937 |
| 9 | 1:8 | 62 | 1.08 | 1.473 | 1.777 |
| 10 | 1:8 | 64 | 0.61 | 1.23 | 1.56 |
| 11 | 1:8 | 66 | 0.675 | 1.891 | 1.997 |
| 12 | 1:8 | 68 | 1.193 | 1.308 | 1.587 |
| 13 | 1:10 | 62 | 0.58 | 1.55 | 1.95 |
| 14 | 1:10 | 64 | 0.64 | 1.98 | 2.12 |
| 15 | 1:10 | 66 | 0.63 | 1.14 | 1.83 |
| 16 | 1:10 | 68 | 0.743 | 0.787 | 0.909 |
| Lithology | Density (kg·m−3) | Elastic Modulus (GPa) | Poisson Ratio | Cohesion (MPa) | Friction (/°) | Tension (MPa) |
|---|---|---|---|---|---|---|
| Top Plate | 2700 | 12.54 | 0.22 | 1.4 | 33 | 2.6 |
| Mine | 2780 | 8.72 | 0.23 | 1.2 | 32 | 2.4 |
| Bottom Plate | 2700 | 15.36 | 0.20 | 2.0 | 34 | 3.5 |
| Backfilling Body | 2100 | 0.009 | 0.26 | 0.5 | 24 | 0.16 |
Disclaimer/Publisher’s Note: The statements, opinions and data contained in all publications are solely those of the individual author(s) and contributor(s) and not of MDPI and/or the editor(s). MDPI and/or the editor(s) disclaim responsibility for any injury to people or property resulting from any ideas, methods, instructions or products referred to in the content. |
© 2023 by the authors. Licensee MDPI, Basel, Switzerland. This article is an open access article distributed under the terms and conditions of the Creative Commons Attribution (CC BY) license (https://creativecommons.org/licenses/by/4.0/).
Share and Cite
Wen, X.; Ge, Z.; Zhao, Y.; Zhang, Z.; Sun, X. Study on Paste Transformation and Parameter Optimization of Cemented Backfilling with Fine Tailings in Deep Gold Deposits. Appl. Sci. 2023, 13, 1850. https://doi.org/10.3390/app13031850
Wen X, Ge Z, Zhao Y, Zhang Z, Sun X. Study on Paste Transformation and Parameter Optimization of Cemented Backfilling with Fine Tailings in Deep Gold Deposits. Applied Sciences. 2023; 13(3):1850. https://doi.org/10.3390/app13031850
Chicago/Turabian StyleWen, Xinglin, Zhengchen Ge, Yuemao Zhao, Zhenghua Zhang, and Xianteng Sun. 2023. "Study on Paste Transformation and Parameter Optimization of Cemented Backfilling with Fine Tailings in Deep Gold Deposits" Applied Sciences 13, no. 3: 1850. https://doi.org/10.3390/app13031850
APA StyleWen, X., Ge, Z., Zhao, Y., Zhang, Z., & Sun, X. (2023). Study on Paste Transformation and Parameter Optimization of Cemented Backfilling with Fine Tailings in Deep Gold Deposits. Applied Sciences, 13(3), 1850. https://doi.org/10.3390/app13031850

