Flow and Heat Transfer Characteristics of the Turbine Blade Variable Cross-Section Internal Cooling Channel with Turning Vane
Abstract
1. Introduction
2. Research Object and Numerical Analysis Model
2.1. Research Object
2.2. Parameter Definitions
2.3. Numerical Method
3. Results and Discussion
3.1. Comprehensive Performance under Stationary Condition
3.2. Comprehensive Performance under Rotating Condition
4. Conclusions
- (1)
- When stationary, after arranging the turning vane, the wall Nu of each region increases in different degree with the arguments of the turning vane thickness, especially for the turning zones and the tip wall. The turning vane can ameliorate the flow separation phenomenon at inlets of pass2 and pass3. Moreover, affected by the rectification of the turning vane, the uniformity is improved in pass2 and pass3, which reduces the disturbance and weakens the heat transfer there.
- (2)
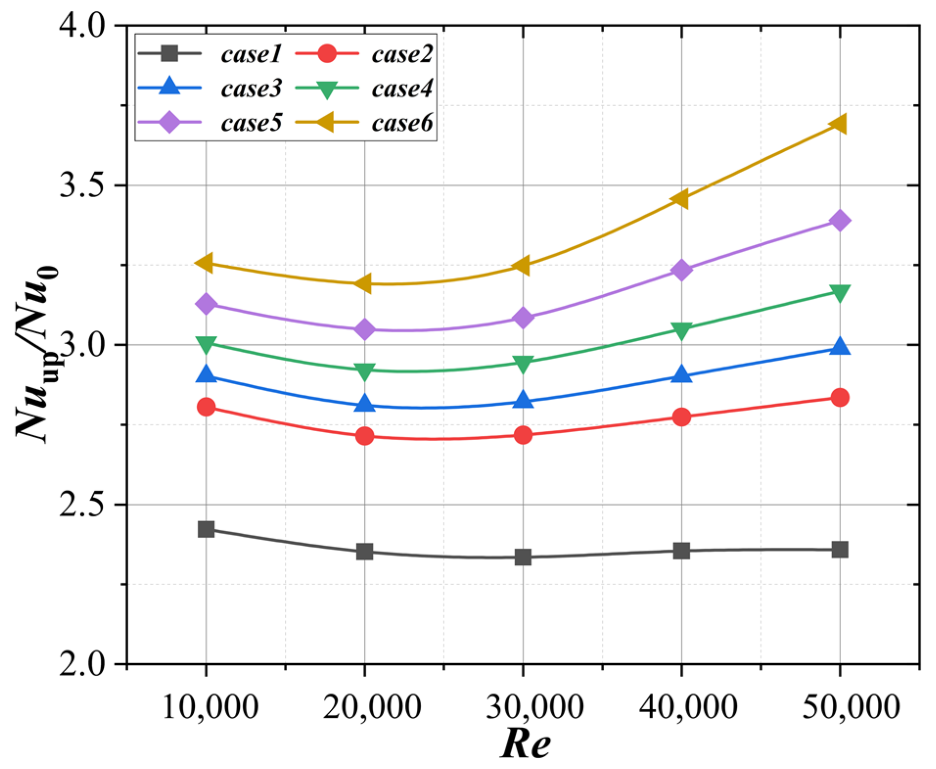
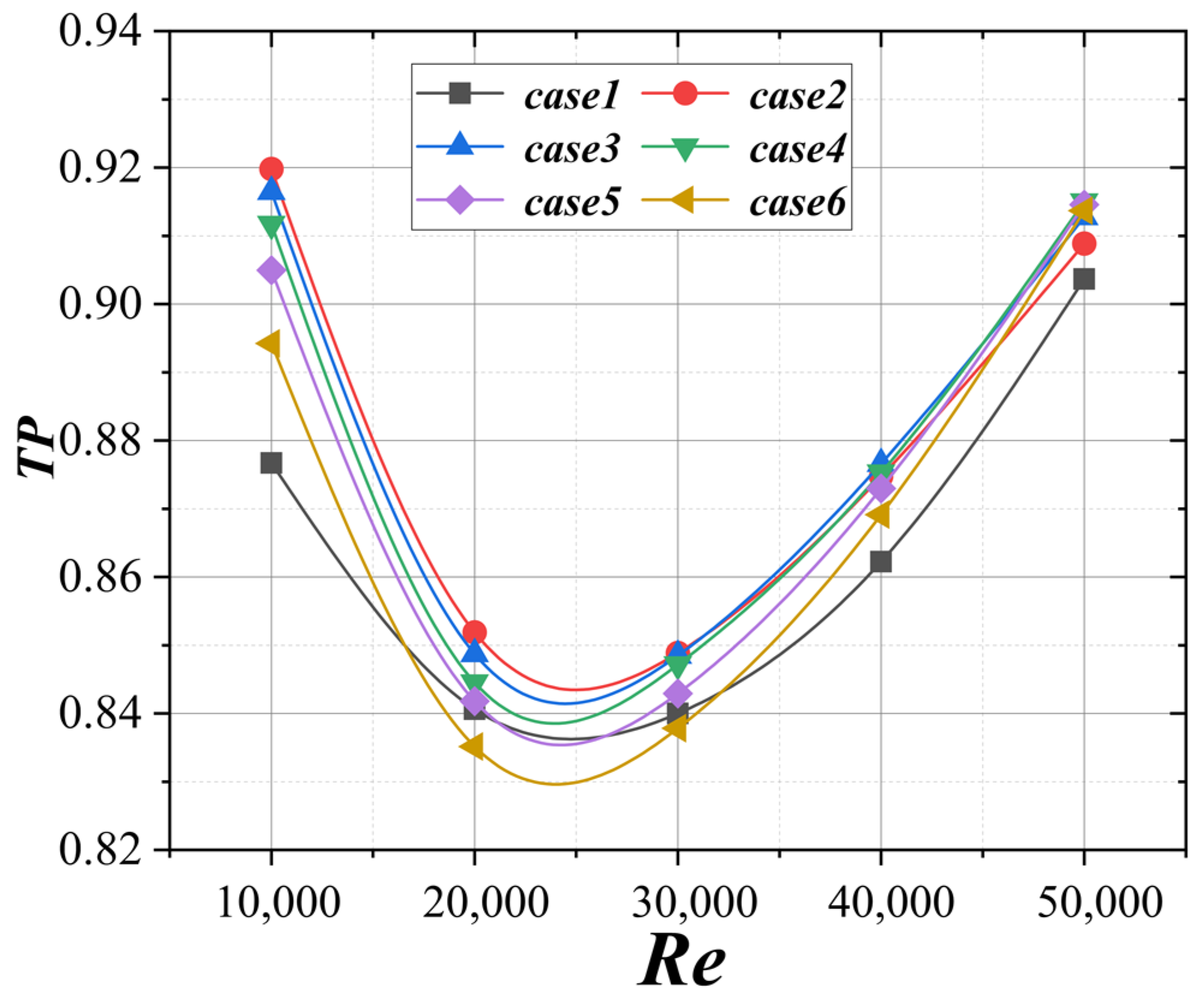
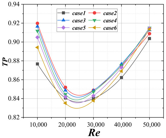
- In the range of Re = 10,000–50,000, as the turning vane thickness increases, the Nu of the turning area and the tip wall increases. Compared with case1, the Nuup/Nu0 is increased by 56.5% at the maximum (case6, Re = 50,000), f/f0 is reduced by 14.2% at the maximum (case2, Re = 10,000), and the TP is increased by 4.5% at the maximum (case2, Re = 10,000). When Re is low (Re ≤ 30,000), the turning vane with smaller thickness should be selected, and when Re is high (Re > 30,000), the turning vane with larger thickness is better.
- (3)
- When rotating, the wall Nu of pass1 and pass3 has a relative relationship of ‘RSTR > RSLE’, while the Nu presents a state of ‘RSLE > RSTR’ in pass2 owing to centrifugal force and Coriolis force. The Nu of turning zones and the tip wall in channels with turning vane also improves remarkably. The improvement degree increases with the increase of the turning vane. Under the influence of turning vane, the velocity of fluid in pass2 and pass3 is lower, while the Nu of the RSLE in pass2 and the RSTR in pass3 are significantly reduced.
- (4)
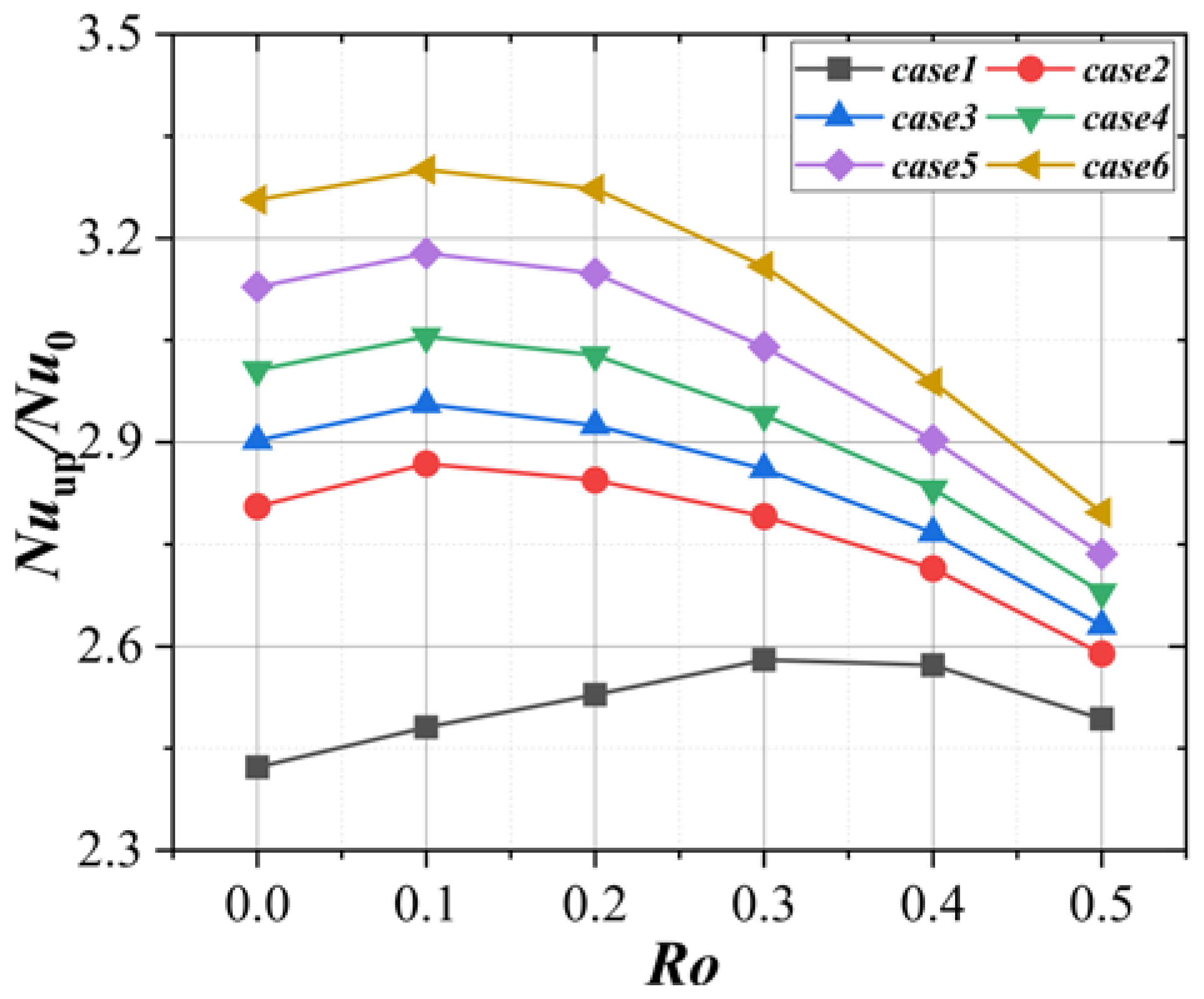
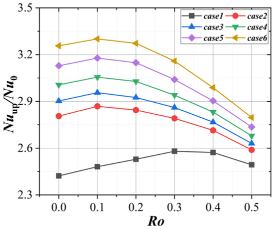
- In the range of Ro = 0–0.5 under rotating condition, compared with case1, the Nuup/Nu0 is increased by 33.0% at the maximum (case6, Ro = 0.1), and the Nuall/Nu0 is increased by 4.0% at the maximum (case6, Ro = 0.1).
Author Contributions
Funding
Institutional Review Board Statement
Informed Consent Statement
Data Availability Statement
Acknowledgments
Conflicts of Interest
References
- Jiang, H.; Ren, J.; Xueying, L.I.; Tan, Q. Status and Development Trend of the Heavy Duty Gas Turbine. Proc. Csee 2014, 34, 5096–5102. [Google Scholar]
- Amano, R.S.; Guntur, K.; Lucci, J.M.; Ashitaka, Y. Study of Flow through a Stationary Ribbed Channel for Blade Cooling. In Proceedings of the American Society of Mechanical Engineers Turbomachinery Technical Conference and Exposition 2010, Glasgow, Scotland, 14–18 March 2010. [Google Scholar]
- Kim, K.M.; Park, S.H.; Jeon, Y.H.; Lee, D.H.; Cho, H.H. Heat and mass transfer characteristics in angled ribbed channels with various bleed ratios and rotation numbers. J. Turbomach. 2008, 130, 209–218. [Google Scholar] [CrossRef]
- Hahn, T.; Deakins, B.; Buechler, A.; Kumar, S.; Amano, R.S. Experimental analysis of the heat transfer variations within an internal passage of a typical gas turbine blade using varied internal geometries. In Proceedings of the ASME International Design Engineering Technical Conferences and Computers Information in Engineering Conference, Online, 17–19 August 2021. [Google Scholar]
- Rallabandi, A.P.; Yang, H.; Han, J.-C. Heat Transfer and Pressure Drop Correlations for Square Channels With 45 Deg Ribs at High Reynolds Numbers. J. Heat Transf. ASME 2009, 7, 131. [Google Scholar] [CrossRef]
- Dai, Y.; Tyacke, J.C.; Tucker, P.G. Rib shape effects on heat transfer performance in internal cooling passages. In Proceedings of the American Institute of Aeronautics and Astronautics 53rd AIAA Aerospace Sciences Meeting, Kissimmee, FL, USA, 5–9 January 2015. [Google Scholar]
- Smith, M.A.; Mathison, R.M.; Dunn, M.G. Heat transfer for high aspect ratio rectangular channels in a stationary serpentine passage with turbulated and smooth surfaces. J. Turbomach. 2014, 136, 51002. [Google Scholar] [CrossRef]
- Ravi, B.V.; Singh, P.; Ekkad S, V. Numerical investigation of turbulent flow and heat transfer in two-pass ribbed channels. Int. J. Therm. Sci. 2017, 112, 31–43. [Google Scholar] [CrossRef]
- Afanasyev, V.; Chudnovsky, Y.P.; Leontiev, A.; Roganov, P. Turbulent flow friction and heat transfer characteristics for spherical cavities on a flat plate. Exp. Therm. Fluid Sci. 1993, 7, 1–8. [Google Scholar] [CrossRef]
- Chyu, M.; Yu, Y.; Ding, H.; Downs, J.P.; Soechting, F.O. Concavity enhanced heat transfer in an internal cooling passage. In Proceedings of the ASME 1997 International Gas Turbine and Aeroengine Congress and Exhibition, Orlando, FL, USA, 2–7 June 1997. [Google Scholar]
- Moon, H.; O’Connell, T.; Glezer, B. Channel height effect on heat transfer and friction in a dimpled passage. J. Eng. Gas Turb. Power 2000, 122, 3410–3415. [Google Scholar] [CrossRef]
- Burgess, N.; Oliveira, M.; Ligrani, P. Nusselt number behavior on deep dimpled surfaces within a channel. J. Heat Transf. ASME 2003, 125, 11. [Google Scholar] [CrossRef]
- Burgess, N.; Ligrani, P. Effects of dimple depth on channel Nusselt numbers and friction factors. J. Heat Transf. ASME 2005, 127, 839–847. [Google Scholar] [CrossRef]
- Yu, R.; Peng, Z. Experimental Study of Heat Transfer and Pressure Loss in Channels with Miniature V Rib-Dimple Hybrid Structure. Heat Transf. Eng. 2020, 41, 15–16. [Google Scholar]
- Shen, Z.; Qu, H.; Zhang, D.; Xie, Y. Effect of bleed hole on flow and heat transfer performance of U-shaped channel with dimple structure. Int. J. Heat Mass Transf. 2013, 66, 10–22. [Google Scholar] [CrossRef]
- Algawair, W.; Iacovides, H.; Kounadis, D.; Xu, Z. Experimental assessment of the effects of Prandtl number and of a guide vane on the thermal development in a ribbed square-ended U-bend. Exp. Therm. Fluid Sci. 2017, 32, 670–681. [Google Scholar] [CrossRef]
- Chen, W.; Ren, J.; Jiang, H. Effect of turning vane configurations on heat transfer and pressure drop in a ribbed internal cooling system. J. Turbomach. 2011, 133, 4. [Google Scholar] [CrossRef]
- Xie, G.; Zhang, W.; Sunden, B. Computational analysis of the influences of guide ribs/vanes on enhanced heat transfer of a turbine blade tip-wall. Int. J. Therm. Sci. 2012, 51, 184–194. [Google Scholar] [CrossRef]
- Yang, S.; Wu, H.; Han, J.; Zhang, L.; Moon, H. Heat transfer in a smooth rotating multi-passage channel with hub turning vane and trailing-edge slot ejection. Int. J. Heat Mass Transf. 2017, 109, 1–15. [Google Scholar] [CrossRef]
- Park, J.; Lee, D.; Lee, D.; Lee, S.; Kim, B.; Cho, H. Thermal performance in a rotating two-passage channel with various turning guide vanes. J. Mech. Sci. Technol. 2017, 31, 3581–3591. [Google Scholar] [CrossRef]
- Choi, S.; Jung, E.; Chung, H.; Cho, H. Numerical investigation of the effects of discrete guide vanes on the control of heat transfer on the tip surface of a turbine blade. Int. J. Therm. Sci. 2017, 112, 142–152. [Google Scholar] [CrossRef]
- Su, G.; Chen, H.C.; Han, J.C.; Heidmann, J.D. Computation of flow and heat transfer in rotating two-pass rectangular channels (AR= 1: 1, 1: 2, and 1: 4) with smooth walls by a Reynolds stress turbulence model. Int. J. Heat Mass Transf. 2004, 47, 5665–5683. [Google Scholar] [CrossRef]
- Shen, Z.; Xie, Y.; Zhang, D. Numerical predictions on fluid flow and heat transfer in U-shaped channel with the combination of ribs, dimples and protrusions under rotational effects. Int. J. Heat Mass Transf. 2015, 80, 494–512. [Google Scholar] [CrossRef]
- Tafti, D.; Dowd, C.; Tan, X. High Reynold number LES of a rotating two-pass ribbed duct. Appl. Sci. 2018, 5, 124. [Google Scholar] [CrossRef]
- Brahim, B.; Miloud, A. Numerical simulation of the effect of channel orientation on fluid flow and heat transfer at high Buoyancy number in a rotating two-pass channel with angled ribs. J. Heat Transf. ASME 2019, 141, 022502. [Google Scholar] [CrossRef]
- Pattanaprates, N.; Juntasaro, E.; Juntasaro, V. Numerical investigation on the modified bend geometry of a rotating multipass internal cooling passage in a gas turbine blade. J. Therm. Sci. Eng. Appl. 2018, 10, 061003. [Google Scholar]
- Wang, L.F.; Wang, S.T.; Wen, F.B.; Zhou, X.; Wang, Z. Hear transfer and flow characteristics of U-shaped cooling channels with novel wavy ribs under stationary and rotating condition. Int. J. Heat Mass Transf. 2018, 126, 312–333. [Google Scholar] [CrossRef]
- Guo, Z.; Rao, Y.; Li, Y.; Wang, W. Experimental and numerical investigation of turbulent flow heat transfer in a serpentine channel with multiple short ribbed passes and turning vanes. Int. J. Therm. Sci. 2021, 165, 106931. [Google Scholar] [CrossRef]
- Akella, K.V.; Han, J.C. Impingement Cooling in Rotating Two-Pass Rectangular Channels. J. Thermophys. Heat Transf. 1998, 12, 582–588. [Google Scholar] [CrossRef]



















| Surface | PS1 | PS2 | PS3 | SS1 | SS2 | SS3 |
|---|---|---|---|---|---|---|
| δ/mm | 1.44 | 2.16 | 1.80 | 2.40 | 2.16 | 1.80 |
| r/mm | 5.22 | 7.83 | 6.53 | 8.70 | 7.83 | 6.53 |
| Model | Case1 | Case2 | Case3 | Case4 | Case5 | Case6 |
|---|---|---|---|---|---|---|
| d/D | 0 | 0.06 | 0.12 | 0.18 | 0.24 | 0.30 |
| Parameters | Value |
|---|---|
| Heat flux density on PS, SS, and tip wall surface | 5000 [W·m2] |
| Inlet temperature | 298.15 [K] |
| Inlet turbulence intensity | 5% |
| Outlet pressure | 1 [atm] |
| Variable | Grid1 | Grid2 | Grid3 | Grid4 | |
|---|---|---|---|---|---|
| Number of grids (106) | 0.79 | 1.44 | 2.33 | 4.40 | |
| Stationary Re = 10,000 | Nuup | 104.1 | 101.1 | 99.1 | 98.7 |
| Relative deviation (%) | 5.5 | 2.4 | 0.4 | - | |
| Δp [Pa] | 1557 | 1507 | 1484 | 1471 | |
| Relative deviation (%) | 5.8 | 2.4 | 0.9 | - | |
| Rotating Re = 10,000 Ro = 0.1 | Nuup | 105.8 | 103.2 | 100.7 | 100.4 |
| Relative deviation (%) | 5.4 | 2.8 | 0.3 | - | |
| Δp [Pa] | 1144 | 1093 | 1080 | 1075 | |
| Relative deviation (%) | 6.4 | 1.7 | 0.5 | - | |
Disclaimer/Publisher’s Note: The statements, opinions and data contained in all publications are solely those of the individual author(s) and contributor(s) and not of MDPI and/or the editor(s). MDPI and/or the editor(s) disclaim responsibility for any injury to people or property resulting from any ideas, methods, instructions or products referred to in the content. |
© 2023 by the authors. Licensee MDPI, Basel, Switzerland. This article is an open access article distributed under the terms and conditions of the Creative Commons Attribution (CC BY) license (https://creativecommons.org/licenses/by/4.0/).
Share and Cite
Xu, T.; Shi, D.; Zhang, D.; Xie, Y. Flow and Heat Transfer Characteristics of the Turbine Blade Variable Cross-Section Internal Cooling Channel with Turning Vane. Appl. Sci. 2023, 13, 1446. https://doi.org/10.3390/app13031446
Xu T, Shi D, Zhang D, Xie Y. Flow and Heat Transfer Characteristics of the Turbine Blade Variable Cross-Section Internal Cooling Channel with Turning Vane. Applied Sciences. 2023; 13(3):1446. https://doi.org/10.3390/app13031446
Chicago/Turabian StyleXu, Tao, Dongbo Shi, Di Zhang, and Yonghui Xie. 2023. "Flow and Heat Transfer Characteristics of the Turbine Blade Variable Cross-Section Internal Cooling Channel with Turning Vane" Applied Sciences 13, no. 3: 1446. https://doi.org/10.3390/app13031446
APA StyleXu, T., Shi, D., Zhang, D., & Xie, Y. (2023). Flow and Heat Transfer Characteristics of the Turbine Blade Variable Cross-Section Internal Cooling Channel with Turning Vane. Applied Sciences, 13(3), 1446. https://doi.org/10.3390/app13031446

