Next Article in Journal
HAL Training in Spinal Cord Injured Patients: A Narrative Review of 10 Years Experience
Previous Article in Journal
RGCLN: Relational Graph Convolutional Ladder-Shaped Networks for Signed Network Clustering
Previous Article in Special Issue
A Sustainable Polygeneration System for a Residential Building
 
 
Font Type:
Arial Georgia Verdana
Font Size:
Aa Aa Aa
Line Spacing:
Column Width:
Background:
Article

ISO 50001 Data Driven Methods for Energy Efficiency Analysis of Thermal Power Plants

by
Francesco Grimaccia
*,
Alessandro Niccolai
,
Marco Mussetta
and
Giuseppe D’Alessandro
Department of Energy, Politecnico di Milano, Via La Masa, 34, 20156 Milan, Italy
*
Author to whom correspondence should be addressed.
Appl. Sci. 2023, 13(3), 1368; https://doi.org/10.3390/app13031368
Submission received: 6 December 2022 / Revised: 14 January 2023 / Accepted: 17 January 2023 / Published: 20 January 2023
(This article belongs to the Special Issue Polygeneration, Energy Efficiency, and Sustainability)

Abstract

This paper proposes an energy management system based on an Artificial Neural Network (ANN) to be integrated with the standard ISO 50001 and aims to describe the definition and the enhancement of the energy baselines by means of artificial intelligence techniques applied and tested on the real electrical absorption data of the auxiliary units of different thermal power plants in Italy. Power plant optimized operations are important both for cost and energy performance reasons with related effects on the environment in the next future energy transition scenario. The improvement of the energy baselines consists in determining more accurate consumption monitoring models that are able to track inefficiencies and absorption drifts through data analytics and Artificial Intelligence. Starting from the analysis of the energy vectors at the production site level, we performed a multi-scale analysis to define the consumption at macro areas level and finally find the most relevant consumption units within the plants. A comparison of different ANNs applied to several real power plant data was performed to model complex plant architecture and optimize energy savings with respect to pre-set thresholds according to the ISO 50001 standard procedure. The energy baselines are determined through the analysis of the data available in the power plants’ Distributed Control System (DCS), and we can identify the consumption derived from the unit’s proper operation. Based on the reported numerical simulations, improved baselines have been reached up to a 5% threshold for different plant sub-units, thus representing a relevant overall saving in terms of alert threshold definition and related control efficiency: a potential saving of about 140 MWh throughout the considered three-year dataset was obtained taking into account a cooling tower sub-unit, representing a considerable economic benefit. The results obtained highlight the neural technique efficiency in defining more accurate energy baselines and represents a valuable tool for large energy plant asset management to face relevant energy drifts observed in the last years of plant operation.

1. Introduction

Energy efficiency has become a key aspect in recent years due to increasing environmental concerns and increasing energy prices. This is a key aspect for having a competitive business, and it can be enhanced by the Industry 4.0 revolution [1].
The development of innovative energy systems and the efficient exploitation of natural resources surely represent a key way to foster the energy transition to renewables and reduce the dependence on fossil fuels [2]. Sustainability can be achieved by hybridizing traditional fossil fuel plants with renewables [3], but it is also possible to apply novel digital technologies to increase efficiency following crucial industrial energy standards.
In this framework, the ISO 50001 certification is an international standard in industrial organizations to implement continual improvement in energy management, allowing companies to lead by example within their respective industries and regulatory requirements to obtain enhancements in final energy uses, meeting proper energy efficiency and performance [4]. The standard essentially contains the requirements to build an advanced Energy Management System (EMS) involving the participation of the entire hierarchical structure of the firm: from the field operators to the top management [5].
Indeed, the standard proposes a data driven, fact-based analysis of the organization processes. The Deming cycle, also known as the PDCA Cycle (Plan, Do, Check, Act), represents the core of this standard: it was originally proposed by Edward Deming, an electrical engineer devoted to statistical process control [6].
In recent years, the topic of energy baseline and energy performance indicators’ analysis, based on ISO 50001 and machine learning techniques, has gained more attention also from the scientific community: for example, an interesting data driven framework was proposed to implement effective EMS in the energy-intensive industrial-scale decarbonization system, to comply with this standard [7].
In order to evaluate the real improvements and benefits of the proposed techniques, it is important to define a proper energy performance indicator (EnPI) and energy baseline (EnB) as a measure or unit of quantitative reference for energy performance [4]. Indeed, an EMS allows the organization to reach goals of energy and optimization targets. The approach proposed by the standard is a data driven, fact-based analysis of the industrial processes. The modifications may be highlighted through instruments described in the document. It is possible to detect the improvements using instruments such as EnPI and EnB:
  • The EnPI is defined as “a measure or unit of energy performance, as defined by the organization” [4].
  • The EnB is defined as “quantitative references providing a basis for comparisons of energy performances” [4].
In recent years, the application of this standard has been tested at different levels both from an industrial and a scientific point of view. In [8], the authors have assessed the practical implementation of the ISO 50001 standard in the industrial context, analyzing the application in three Chinese industries. Additional studies have been carried out investigating the application of the standard in municipalities [9]. The EMS is not a static tool, but it evolves and dynamically improves throughout the time. In order to implement the dynamical approach, we can apply the PDCA cycle to the plant EMS.
In the green energy transition and renewable energy sources intermittency context, Combined Cycle Power Plants (CCPP) still represent a great potential in terms of higher efficiency, availability, reduced environmental pollution and smaller site space [10]. In Figure 1, a layout of a classical combined power plant with one gas turbine and a steam turbine is sketched. This plant is a well-recognized technology based on the transformation of gas fossil fuels in electrical energy. The process is based on one or more gas turbines working in parallel and a steam turbine alimented by the waste heat of the gas combustion process. The extra power generated leads to a production that is 50% greater with respect to a traditional simple cycle, with an overall efficiency up to 60% [11].
Proper power plant modeling is a significant aspect of power plant operation optimization, cost reduction and energy efficiency [12]. Data driven modeling has been addressed in the recent past in order to consider also power plant monitoring and risk management [13]. In this framework, model-based methods use numerical surrogate models for the system under control for fault diagnosis and maintenance purposes [14].
In recent years, several Artificial Intelligence (AI) and machine learning techniques have been implemented in order to predict and monitor power production [15], power consumption [16] and optimized energy management and power control systems [17]. Among these techniques, several neural network approaches [18] have been adopted as well as deep learning techniques [19] and probabilistic approaches [20]. Alternatively, energy savings can be improved by using population-based multi-optimization techniques, as shown in [21,22].
The original target of this work, from a broad perspective, was to introduce novel artificial intelligence techniques in a common thermal power plant owned by a big energy company, where traditionally energy savings, sustainability and environmental impacts were not taken into account as a priority.
In the context of a real combined cycle power plant, in order to enhance the digital technologies to be implemented in a structured multi-level energy analysis, we develop an AI-based tool with the aim of improving the existing industrial procedures and overtaking their obsolete in-field operation for each plant.
More specifically, the main novel contributions of this work are on the one hand to develop an AI-based energy model to improve predictive capability with respect to traditional thermal consumption units, and on the other hand to perform an energy efficiency analysis using the above-mentioned performance indicators (EnPI and EnB).
This manuscript is structured as follows: Section 2 describes a preliminary analysis of the power plant consumption, starting from the ISO 50001 recommendations, to build a proper neural model of the power plant subsystems; in Section 3, a definition of cooling towers’ optimal consumptions through a feed-forward artificial neural network is described. Results are presented and commented upon in Section 4, before the conclusions.

2. Case Study

Starting from the analysis of the energy vectors at the single plant site level, following the ISO 50001 standard, we analyze the so called SEUs (Significant Energy Users), namely the most energy-consuming areas and then the most energy consuming units within the plant facility. For each unit, an energy baseline is defined through the analysis of the historical data of the absorptions available in the DCS (Distributed Control System) of each power plant.
The consumptions beyond the target baselines can be considered as potential inefficiencies: in the asset management context, the reduction of the percentage variations represents an enhancement of the monitoring system since the model can detect earlier inefficiencies and drifts.
The guidelines propose to monitor and analyze the main energy vectors in the target industrial plant (e.g., natural gas and electrical energy in our case study) following the criteria of a minimum percentage contribution with respect to the overall consumptions. For each of the power plants considered, for example, the site level analysis has a minimum consumption threshold of the considered energy vector (e.g., 5%), allowing us to neglect contributions lower than this value. If the consumption is in the range of 5% and 10%, the energy vector should be estimated, but it is not necessary to measure it. Thus, the standard means that the energy vector has to be measured over a consumption of 10%.
Following the ISO 50001 standard, the Pareto analysis (see Figure 2) shows that the selected plant main consumptions according to the SEU approach reach the desired target monitoring level, selecting six significant energy users that represent the main sub-systems in that particular power plant. The reported data have been analyzed both in the time domain and with respect to the production cluster they relate to.
From the time-domain analysis, it is possible to highlight if there is any seasonality or drift effects of particular plants’ units, as shown in Figure 3; in the first case, there is a low possibility of improving the performances because the technology used strongly depends on environmental conditions, while in the second case, the monitoring system could be helpful to plan a predictive maintenance schedule in order to not over-consume for an excessively long time period.
The energy baseline model developed according to the ISO standard suggested to focus on a specific part of the power plant, namely the so-called cooling tower reported in Figure 4, which was identified as one of the most critical components to be controlled and optimized in order to improve the overall plant efficiency.
In this section, we briefly describe the steps followed in the creation of a neural procedure based only on environmental and process data to overcome the limitations of physical model, thus allowing a more effective monitoring process on the overall consumptions of this unit based on the so called wet and dry mechanical draft technology.
The water absorbs the evaporative heat from the steam, making it condensate. The cooling water is then cooled down through the cooling towers system depicted in Figure 5. The air enters from the bottom of the tower thanks to the vacuum created by the fan located at the top of the tower. A system of spray nozzles distributes the water in tiny droplets from the peak of the tower [24].
This cooling system contains 16 energy-intensive fans installed in the structure, and their critical behavior can be assessed by means of a polynomial relationship having as inputs the environmental temperature and relative humidity. Even if the physical model has narrow acceptance bands due to its accuracy, it is subject to a strong limitation, which is the requirement of the dynamic number of fans active as single input data. Thus, starting from the analysis of the physical process, a parameter was defined to filter out the outlier over-consumptions during the real operation time of the past three years, used as the available input dataset. A correlation study was preliminarily performed between the available data and the actual consumptions of the fan system. The selected variables were then used as inputs for an ad hoc feed-forward neural network model trained on the pre-filtered dataset.
The complex parameters affecting the performance of shower cooling towers include geometrical parameters (initial diameter of water droplets, height of the tower, etc.), physical parameters (water to air mass flow rate ratio, inlet air velocity, initial water droplets speed, etc.) and environmental conditions (ambient air temperature, relative humidity, other minor factors). A correlation study was preliminarily performed on the wide data set available (more than thousands of plant sensor parameters from the DCS) to limit the input variables to the most significant ones adopting the Pearson correlation coefficient method, and many of these parameters have a strong cross-correlation that cannot be neglected. For example, the dependence of the outlet water temperature on the variation of the ambient relative humidity decreases when the ambient dry-bulb air temperature reduces [23].
An important variable to consider in the neural model is also the condenser vacuum level. It is a key aspect for the efficiency of the steam turbine since the potential work available is proportional to the pressure differences between the inlet turbine pressure and the condenser pressure. The vacuum is created thanks to the vacuum ejectors and the huge difference between the specific volume of the steam, which for simplicity can be considered as an ideal gas, and the specific volume of water.
The vacuum level again is strictly dependent on the condensation of the steam, and thus on the temperature of the cooling water circulating into the towers: the lower the temperature of the cooling water, the more steam condensates and the more vacuum is created. Many other correlation issues could be found in other plant units, and the analysis takes quite a long time, but we use the active power produced by the turbine units as the main output variable related to the overall plant performance.
The need for a low value of the vacuum requires maximum effort from the fans. Thus, when the vacuum level is not at its minimum, more fans are activated by the field operators even if the environmental conditions would not require it. For this reason, the inefficiencies are searched only at vacuum levels considered already optimal for the steam turbine efficiency. Optimal vacuum values can be considered in the range of 30–36 mbar.
In Table 1, we summarize the critical variables chosen as input of the neural network. The highest positive and negative correlation coefficients have been included. Alongside the correlation coefficient, the physical explanation of the chosen variables has also been considered. The last row of Table 1 represents the chosen single output of the neural network; the remaining 10 variables are the reduced input data set used in the design of the neural model. Thus, the data set is composed of a matrix of 10 × 16,171 rows that correspond to the filtered hourly data from March 2018 to August 2020. The expected output is the estimation of current absorptions of the fans running in the cooling towers.
In the next section, the developed machine learning model is described in order to be included in the PDCA cycle, with the aim of improving the process and its efficiency.

3. Methodology and Preliminary Analysis

As commonly known, an Artificial Neural Network (ANN) is a piece of a computing system designed to simulate the way the human brain analyzes and processes information, based on basic building blocks called neurons, connected with each other through synaptic weights. Thus, the neurons receive weighted information from the neurons they relate to an activation function.
From the perspective of an AI-based approach, four steps have to be considered: (a) data processing, (b) feature selection, (c) modeling and (d) testing, as clearly described in [25]. Regarding items (a) and (b), the description of how the data were pre-processed and features selected has been provided in the previous Section 2. For the modeling (c), a description of the adopted approach is provided in the following, while testing results (d) are provided in the next Section 4.

3.1. Definition of the Neural Network Based Analytical Model

In particular, in designing our feed-forward neural network, the main choice was the number of layers and their proper sizing [26]. In this light, a rich literature gives several empirical equations to better estimate the number of ideal structures of the neural computing engine in terms of neurons in the hidden layer. Since our main application is related to the power sector, we decided to follow the interesting approach proposed in [27], suggesting a hidden layer between 10 and 14.
The algorithm chosen to train the network is the Levenberg–Marquardt because compared to classical Gradient Descent and Newton methods, we experienced a general best behavior along with the Bayesian regularization algorithm. The characteristics of the simulations are a maximum number of epochs, set to 1000, and a maximum number of validation failures, limited to six. The number of validation failures has been set to this value because it was considered a reasonable standard in our practice allowing us not to lose the generalization capability of the network.
The dataset has been divided into three parts: 70% of the data is dedicated to the training part, 15% to the validation and the remaining 15% to the testing phase. In order to stress the design robustness of the neural network, regardless of the literature on ANN structure, other attempts have been conducted on three neural models with different numbers of neurons and layers: namely, 2 with a single layer structure (with 14 and 70 neurons, respectively) and 1 with two hidden layers (with 14 and 12 neurons, respectively).
After this preliminary analysis, as reported in the following, the selected neural model is the single layer neural network with 14 neurons in the hidden layer, since it has been shown to have similar results to bigger networks in terms of the confidence coefficient R and MSE (Mean Square Error) but a lower computational effort on the whole plant dataset. The non-linear relationships are estimated through the sigmoid function. The output value is varied through a linear relationship with the weighted connections from the former layer.

3.2. Preliminary in Field Analysis

The potential energy savings in the selected power plant, applying the designed neural system, have been evaluated in terms of electric current absorption above a threshold of 140 A; this threshold has been selected since it is the value of the maximum nominal absorption of each single fan. A difference higher than the selected threshold indicates that at least one fan could have been turned off during the hour considered.
The inefficiencies were expected to be in the low condenser pressure and low enthalpy area since it is the zone where the working conditions are the most favorable and the absorptions are expected to decrease.
Figure 5 and Figure 6 show the results of the analysis on the difference between the real absorptions reported by the plant managers and the outputs of the neural network. Each dot represents a particular operating point of the power plant with respect to the electric power generation in MW. The red dots represent the inefficient hours with a steam turbine output greater than 140 MW where two gas turbine groups were active at the same time. The green dots are instead related to the hours where the steam turbine production is lower than 140 MW, corresponding to a condition where only one gas turbine group was running.

4. Results and Discussion

The implemented neural model described in Section 3 was able to find the optimal operative range with respect to critical plant control parameters (cfr. condenser unit pressure, moist air enthalpy) in terms of expected output (active power in MW) and internal losses (fan absorption in the cooling tower unit). The major concentration of the inefficiencies can be found in the low enthalpy and low condenser pressure region. This result underlines the effectiveness of the neural network in pointing out actual inefficiencies based on the current operations since most of the inefficient hours were highlighted in the region with a favorable external environment and process conditions.
As a final important remark, the potential energy savings were estimated in the hours where at least one fan could be turned off.
The minimum difference considered among the actual consumptions and the estimated ones from the ANN trained on the filtered dataset was set to 140 A because it corresponds to the maximum nominal absorption of a single fan. The result is a potential saving of about 140 MWh throughout the three-year dataset, representing a considerable economic benefit if we consider for example the price of electricity in January 2022.
In Figure 7, the authors report the enhancements achieved in terms of bands’ reduction and energy consumption control through the data and engineering preliminary analysis by means of the AI-tool based on the units defined as SEU:
Thus, the new baselines reached a sensible upgrade for the energy company since they represent a relevant overall saving in terms of alert threshold definition and related control efficiency in the common plant operations. The band reduction allows more accurate monitoring and practical control actions, since abnormal behaviors have been previously observed and reported to the responsible units without any link to the specific area and related impacts in terms of final energy use. The real and expected values were normalized by the output of the production group related to the monitored unit/area or the running hours of the power plant. In this way, it was possible to develop an ad hoc performance index that describes the normalized consumptions for each kind of utility with respect to the real energy produced.
Following our primary scope, the creation of these performance indexes is the basis for a benchmark between the entire power plant generation of the company, which manages a large portfolio of similar but not identical plants. From the benchmarking, following the ISO 50001 standard approach, it is possible to highlight the most efficient and the least efficient utilities and understand the reasons for the over-bandwidth consumptions.
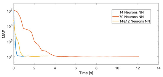
In Figure 8, the training time and performances of the considered three neural network configurations are shown: the training time remains in any case limited, and the resulting errors reached similar values in a short time window. The y-axis is set in a logarithmic scale to include the complete range of the errors. The best performances of the different architectures in the testing part are shown in Figure 8 in all the three cases considered: the lowest value is obtained for the 70-neuron singlelayer ANN.
Figure 9 shows the different computational efforts in the three cases analyzed. The number of epochs is compared to the time needed to complete the training and validation cycles. The datasets in this case are equal. The lowest computational effort of the single-layer ANN could be explained as a lower number of weights; therefore, a lower number of variables was required for determination with the same amount of data available to test. Thus, a lower number of variables led to a smaller computational effort.
For a complete analysis, Figure 10 shows instead the computational efforts required by the NNs when the dataset of training is adapted to the number of variables. The 14-neuron single-layer ANN is trained on the whole dataset, but the single-layer 70-neuron ANN and the two-layer ANN are trained on a smaller dataset. Since the 14-neuron single-layer network is about 5 times smaller than the 70-neuron single-layer ANN, the 70 neurons and the two-layer ANN are trained on a dataset that is reduced accordingly with respect to the original whole dataset.
The results in Figure 11 highlight how the 70-neuron ANN requires in any case the highest computational effort even in these conditions. The two-layer ANN is instead faster with respect to the 14-neuron single-layer ANN in the case of different training datasets. For the development of the cooling towers model, we chose the 14-neuron single-layer ANN.
Since the results of the network training are dependent also on the initialization values that are stochastically determined, the selected network has been trained multiple times and the results have been recorded. Figure 11 shows the results of the MSE for 30 different training sessions. The y-axis is set in a logarithmic scale to include the complete range of the errors.
The convergence of the results is in all cases on the order of fractions of a second. The MSE value is always around 10 4 , which corresponds to a percentage error of about 7–10%, as shown in the comparison reported in Table 2.
Following the analysis described in the previous Section 3, to reduce the input data set complexity by two orders of magnitude, in a structured multi-level energy analysis, the ANN was designed with the aim of improving the predictive capability of power consumptions with respect to traditional models currently used in each plant.
The optimal neural network, with 10 neurons in the input layer, 14 in the hidden one and 1 output (total current adsorption for the 16 fans, in Amps), selected after a comparative study on different structures, was trained and tested on the filtered dataset with the behavior reported in Figure 12; the resulting accuracy is reported in Table 2 in terms of the R coefficient, MAE (Mean Absolute Error), MSE and MAPE (Mean Absolute Percentage Error).
All the errors in training, validation and testing are centered on and contained in a tall and narrow bell-shaped form. This indicates that the result is almost symmetrical, and the network is well centered on the filtered plant input dataset. The neural network shows a good accuracy since the R coefficient is around 0.97 in the training and testing sessions.

5. Conclusions

The enhancement of the energy monitoring process according to the ISO 50001 standard using computational intelligence techniques represents a key point of the PDCA cycle because it allows more accurate analysis of the performances of the process analyzed.
Large energy companies, by adopting more accurate monitoring systems, can keep better maintenance schedules, reduce over-consumptions and ultimately save money from the avoided energy waste. The model based on the ANN, properly trained and tuned with energy engineering field operation knowledge, can monitor the overall consumptions and even suggest the optimal number of active fans by estimating the overall power losses and best operating areas.
The same model includes in the analysis a higher number of variables affecting the output variables that cannot be included by using the previously discussed tools. This higher number of variables increases the accuracy of the model as well as of the monitoring performances.
Based on the reported numerical simulations, improved baselines have been reached up to a 5% threshold for different plant sub-units, thus representing a relevant overall saving in terms of alert threshold definition and related control efficiency: a potential saving of about 140 MWh throughout the considered three-year dataset was obtained taking into account a cooling tower sub-unit, representing a considerable economic benefit.
A possible future development of this work could be an energy baseline specifically defined on seasonal datasets since the environmental conditions crucially affect the performances of the analyzed consumption units; however, in our paper, we used a comprehensive approach using two and a half years of time-continuous data.
Finally, the AI approach could be extended to all the consumption units monitored in the thermal power plants as well as applying its use to other power plants that are globally active. Scaling the use of AI to improve energy management requires further investigations, however, as well as studies that would improve the current lacking literature with respect to the international standards.

Author Contributions

Conceptualization, F.G., M.M. and G.D.; Methodology, A.N.; Software, A.N. and G.D.; Formal analysis, F.G. and M.M.; Data curation, A.N. and G.D.; Writing–original draft, G.D.; Writing–review & editing, F.G., A.N. and M.M. All authors have read and agreed to the published version of the manuscript.

Funding

This research received no external funding.

Institutional Review Board Statement

Not applicable.

Informed Consent Statement

Not applicable.

Data Availability Statement

Restrictions apply to the availability of these data.

Conflicts of Interest

The authors declare no conflict of interest.

Abbreviations

The following abbreviations are used in this manuscript:
AIArtificial Intelligence
ANNArtificial Neural Network
CCPPCombined Cycle Power Plants
DCSDistributed Control System
EMSEnergy Management System
EnBEnergy Baseline
EnPIEnergy Performance Indicator
ISOInternational Organization for Standardization
MAEMean Absolute Error
MAPEMean Absolute Percentage Error
MSEMean Square Error
NNNeural Net
PDCAPlan, Do, Check, Act
SEUSignificant Energy Users

References

  1. Chen, M.; Sinha, A.; Hu, K.; Shah, M.I. Impact of technological innovation on energy efficiency in industry 4.0 era: Moderation of shadow economy in sustainable development. Technol. Forecast. Soc. Chang. 2021, 164, 120521. [Google Scholar] [CrossRef]
  2. Algieri, A.; Amelio, M.; Bova, S.; Morrone, P. Energy Efficiency Analysis of Monolith and Pellet Emission Control Systems in Unidirectional and Reverse-Flow Designs. SAE Int. J. Engines 2009, 2, 684–693. [Google Scholar] [CrossRef]
  3. Morrone, P.; Amelio, M.; Algieri, A.; Perrone, D. Hybrid biomass and natural gas combined cycles: Energy analysis and comparison between different plant configurations. Energy Convers. Manag. 2022, 267, 115874. [Google Scholar] [CrossRef]
  4. ISO 50001; Energy Management Systems—Requirements with Guidance for Use. ISO: Geneva, Switzerland, 2018.
  5. Poveda-Orjuela, P.P.; García-Díaz, J.C.; Pulido-Rojano, A.; Cañón-Zabala, G. ISO 50001: 2018 and its application in a comprehensive management system with an energy-performance focus. Energies 2019, 12, 4700. [Google Scholar] [CrossRef]
  6. Deming, W.E. Out of the Crisis, Reissue; MIT Press: Cambridge, MA, USA, 2018. [Google Scholar]
  7. Moghadasi, M.; Izadyar, N.; Moghadasi, A.; Ghadamian, H. Applying machine learning techniques to implement the technical requirements of energy management systems in accordance with ISO 50001:2018, an industrial case study. Energy Sources Part A Recover. Util. Environ. Eff. 2021, 0, 1–18. [Google Scholar] [CrossRef]
  8. Jin, Y.; Long, Y.; Jin, S.; Yang, Q.; Chen, B.; Li, Y.; Xu, L. An energy management maturity model for China: Linking ISO 50001: 2018 and domestic practices. J. Clean. Prod. 2021, 290, 125168. [Google Scholar] [CrossRef]
  9. Kaselofsky, J.; Rošā, M.; Jekabsone, A.; Favre, S.; Loustalot, G.; Toma, M.; Delgado Marín, J.P.; Moreno Nicolás, M.; Cosenza, E. Getting municipal energy management systems ISO 50001 certified: A study with 28 European municipalities. Sustainability 2021, 13, 3638. [Google Scholar] [CrossRef]
  10. Kotowicz, J.; Job, M.; Brzęczek, M. The characteristics of ultramodern combined cycle power plants. Energy 2015, 92, 197–211. [Google Scholar] [CrossRef]
  11. Dev, N.; Samsher; Kachhwaha, S.S.; Attri, R. GTA modeling of combined cycle power plant efficiency analysis. Ain Shams Eng. J. 2015, 6, 217–237. [Google Scholar] [CrossRef]
  12. Xu, R.; Yan, W. Continuous Modeling of Power Plant Performance with Regularized Extreme Learning Machine. In Proceedings of the 2019 International Joint Conference on Neural Networks (IJCNN), Budapest, Hungary, 14–19 July 2019; pp. 1–8. [Google Scholar] [CrossRef]
  13. Onoda, T.; Ito, N.; Hironobu, Y. One-Class SVM based Unusual Condition Monitoring for Risk Management of Hydroelectric Power Plants. In Proceedings of the 2007 International Joint Conference on Neural Networks, Orlando, FL, USA, 12–17 August 2007; pp. 857–862. [Google Scholar] [CrossRef]
  14. Ruz-Hernandez, J.; Sanchez, E.; Suarez, D. Neural networks-based scheme for fault diagnosis in fossil electric power plants. In Proceedings of the 2005 IEEE International Joint Conference on Neural Networks, Montreal, QC, Canada, 31 July–4 August 2005; Volume 3, pp. 1740–1745. [Google Scholar] [CrossRef]
  15. Nespoli, A.; Leva, S.; Mussetta, M.; Ogliari, E.G.C. A Selective Ensemble Approach for Accuracy Improvement and Computational Load Reduction in ANN-Based PV Power Forecasting. IEEE Access 2022, 10, 32900–32911. [Google Scholar] [CrossRef]
  16. Veeramsetty, V.; Chandra, D.R.; Grimaccia, F.; Mussetta, M. Short Term Electric Power Load Forecasting Using Principal Component Analysis and Recurrent Neural Networks. Forecasting 2022, 4, 149–164. [Google Scholar] [CrossRef]
  17. García-Triviño, P.; Sarrias-Mena, R.; García-Vázquez, C.A.; Leva, S.; Fernández-Ramírez, L.M. Optimal online battery power control of grid-connected energy-stored quasi-impedance source inverter with PV system. Appl. Energy 2023, 329, 120286. [Google Scholar] [CrossRef]
  18. Mansoor, M.; Grimaccia, F.; Leva, S.; Mussetta, M. Comparison of echo state network and feed-forward neural networks in electrical load forecasting for demand response programs. Math. Comput. Simul. 2021, 184, 282–293. [Google Scholar] [CrossRef]
  19. Niccolai, A.; Orooji, S.; Matteri, A.; Ogliari, E.; Leva, S. Irradiance Nowcasting by Means of Deep-Learning Analysis of Infrared Images. Forecasting 2022, 4, 338–348. [Google Scholar] [CrossRef]
  20. Pretto, S.; Ogliari, E.; Niccolai, A.; Nespoli, A. A New Probabilistic Ensemble Method for an Enhanced Day-Ahead PV Power Forecast. IEEE J. Photovoltaics 2022, 12, 581–588. [Google Scholar] [CrossRef]
  21. Mallala, B.; Papana, V.P.; Sangu, R.; Palle, K.; Chinthalacheruvu, V.K.R. Multi-Objective Optimal Power Flow Solution Using a Non-Dominated Sorting Hybrid Fruit Fly-Based Artificial Bee Colony. Energies 2022, 15, 4063. [Google Scholar] [CrossRef]
  22. Mallala, B.; Dwivedi, D. Salp swarm algorithm for solving optimal power flow problem with thyristor-controlled series capacitor. J. Electron. Sci. Technol. 2022, 20, 100156. [Google Scholar] [CrossRef]
  23. Deziani, M.; Rahmani, K.; Roudaki, S.M.; Kordloo, M. Feasibility study for reduce water evaporative loss in a power plant cooling tower by using air to Air heat exchanger with auxiliary Fan. Desalination 2017, 406, 119–124. [Google Scholar] [CrossRef]
  24. Guo, Y.; Wang, F.; Jia, M.; Zhang, S. Parallel hybrid model for mechanical draft counter flow wet-cooling tower. Appl. Therm. Eng. 2017, 125, 1379–1388. [Google Scholar] [CrossRef]
  25. Moghadasi, M.; Ozgoli, H.A.; Farhani, F. Steam consumption prediction of a gas sweetening process with methyldiethanolamine solvent using machine learning approaches. Int. J. Energy Res. 2021, 45, 879–893. [Google Scholar] [CrossRef]
  26. Sazli, M.H. A brief review of feed-forward neural networks. In Communications Faculty of Sciences University of Ankara Series A2-A3 Physical Sciences and Engineering; Ankara University: Ankara, Türkiye, 2006; Volume 50. [Google Scholar]
  27. Song, J.; Chen, Y.; Wu, X.; Ruan, S.; Zhang, Z. A novel approach for energy efficiency prediction of various natural draft wet cooling towers using ANN. J. Therm. Sci. 2021, 30, 859–868. [Google Scholar] [CrossRef]
Figure 1. Combined Cycle Power Plant conceptual scheme, and cooling system to be optimized for energy efficiency (red box).
Figure 1. Combined Cycle Power Plant conceptual scheme, and cooling system to be optimized for energy efficiency (red box).
Applsci 13 01368 g001
Figure 2. SEU analysis.
Figure 2. SEU analysis.
Applsci 13 01368 g002
Figure 3. Observed energy drift effect in a plant sub-unit (2019–2020).
Figure 3. Observed energy drift effect in a plant sub-unit (2019–2020).
Applsci 13 01368 g003
Figure 4. Cooling tower representation [23].
Figure 4. Cooling tower representation [23].
Applsci 13 01368 g004
Figure 5. Difference greater than 140A, pressure vs active power produced by the steam turbine.
Figure 5. Difference greater than 140A, pressure vs active power produced by the steam turbine.
Applsci 13 01368 g005
Figure 6. Difference greater than 140 A, enthalpy vs fans’ current absorptions.
Figure 6. Difference greater than 140 A, enthalpy vs fans’ current absorptions.
Applsci 13 01368 g006
Figure 7. Plant A acceptance bands (%) for energy consumption.
Figure 7. Plant A acceptance bands (%) for energy consumption.
Applsci 13 01368 g007
Figure 8. Different neural networks’ test performances.
Figure 8. Different neural networks’ test performances.
Applsci 13 01368 g008
Figure 9. Comparisons of different computational efforts with the same training dataset.
Figure 9. Comparisons of different computational efforts with the same training dataset.
Applsci 13 01368 g009
Figure 10. Comparisons of computational efforts with different adapted datasets.
Figure 10. Comparisons of computational efforts with different adapted datasets.
Applsci 13 01368 g010
Figure 11. MSE error for different initializations of the 14-neuron single-layer ANN.
Figure 11. MSE error for different initializations of the 14-neuron single-layer ANN.
Applsci 13 01368 g011
Figure 12. Optimal neural network predictive performance.
Figure 12. Optimal neural network predictive performance.
Applsci 13 01368 g012
Table 1. Correlation Analysis.
Table 1. Correlation Analysis.
Input Variables DescriptionCorrelation
Active power produced by the steam turbine0.61
Condensate water flow0.58
Active power produced by the gas turbine 10.51
Active power produced by the gas turbine 20.47
Average temperature water outgoing the steam turbine condenser 10.47
Average temperature water outgoing the steam turbine condenser 20.43
Ambient temperature0.40
Temperature of the last blades stage of the steam turbine−0.16
Relative humidity−0.19
Pressure of the condenser−0.33
Output variables descriptionR 2
Fans absorptions1.00
Table 2. Accuracy of the selected neural model.
Table 2. Accuracy of the selected neural model.
MAEMSEMAPER 2
Training80.31100597.090.9551
Validation142.592862512.220.9386
Test129.182402511.620.9423
Disclaimer/Publisher’s Note: The statements, opinions and data contained in all publications are solely those of the individual author(s) and contributor(s) and not of MDPI and/or the editor(s). MDPI and/or the editor(s) disclaim responsibility for any injury to people or property resulting from any ideas, methods, instructions or products referred to in the content.

Share and Cite

MDPI and ACS Style

Grimaccia, F.; Niccolai, A.; Mussetta, M.; D’Alessandro, G. ISO 50001 Data Driven Methods for Energy Efficiency Analysis of Thermal Power Plants. Appl. Sci. 2023, 13, 1368. https://doi.org/10.3390/app13031368

AMA Style

Grimaccia F, Niccolai A, Mussetta M, D’Alessandro G. ISO 50001 Data Driven Methods for Energy Efficiency Analysis of Thermal Power Plants. Applied Sciences. 2023; 13(3):1368. https://doi.org/10.3390/app13031368

Chicago/Turabian Style

Grimaccia, Francesco, Alessandro Niccolai, Marco Mussetta, and Giuseppe D’Alessandro. 2023. "ISO 50001 Data Driven Methods for Energy Efficiency Analysis of Thermal Power Plants" Applied Sciences 13, no. 3: 1368. https://doi.org/10.3390/app13031368

APA Style

Grimaccia, F., Niccolai, A., Mussetta, M., & D’Alessandro, G. (2023). ISO 50001 Data Driven Methods for Energy Efficiency Analysis of Thermal Power Plants. Applied Sciences, 13(3), 1368. https://doi.org/10.3390/app13031368

Note that from the first issue of 2016, this journal uses article numbers instead of page numbers. See further details here.

Article Metrics

Back to TopTop