Abstract
Thermoplastic materials are sensitive to humidity, temperature variations, enzyme activities, and cyclic loading. All these factors can cause changes to the mechanical properties of the material. The aim of this study was to determine the influence of different cleaning protocols on the surface roughness of orthodontic retainers. Samples of two brands of polyethylene terephthalate glycol (PET-G) material were exposed to four cleaning protocols: Corega (alkaline peroxide tablets), Toothbrush, Corega + toothbrush, Toothbrush + toothpaste, and Control. Measurement of the surface roughness of the sample on both the top and bottom side was carried out before and after cleaning. There was no statistical difference between the final values of the measured parameters. However, looking at the extent of the change in surface roughness, there was a statistically significant difference in the upper side of the Corega + toothbrush group between Materials A and B. This suggests that there was a greater change in the roughness of material A (Erkodur), given that the mean change in roughness of Material A was Ra 0.047, whereas the mean change in roughness of Material B was Ra 0.022. Almost all the tested cleaning procedures significantly increased the surface roughness of the PET-G retainer material. Of all the methods, the Corega tablets had the lowest influence on surface roughness.
1. Introduction
Ensuring the stability of orthodontic treatment results represents a great challenge for every orthodontist. After the completion of active orthodontic treatment, changes in tooth position may occur due to occlusal-, periodontal-, or growth-related factors [1]. In order to prevent relapse and unwanted tooth movement, orthodontic retention with fixed or removable retainers is required [2]. Wearing full-time retainers is, unquestionably, important, as maintaining the final orthodontic outcome is one of the most important goals after treatment completion. Given that retainers fail in approximately 70% of orthodontic treatments, they should be worn consistently [3]. After Sheridan introduced the Essix retainer in 1993, it became the most widely used type of retention because it was comfortable and almost invisible. The vacuum-formed retainer (VFR) is one of the most common types of orthodontic retainer, and patients prefer it over Hawley retainers because of its excellent esthetic characteristics, ease of use, superior formability, maintenance of good oral hygiene, and lack of discomfort. Thermoplastic vacuum-formed retainers are fabricated from polyethylene, polyurethane, and polypropylene, meaning they are prone to morphological and physical changes [4]. However, from a clinical standpoint, VFRs have significant limitations due to their material properties. The forming procedure, because of heating, might cause some changes to the mechanical properties of the material [5]. Furthermore, during intraoral use, mechanical and chemical degradation of the material has been noticed. Thermoplastic materials are sensitive to humidity, temperature variations, enzyme activities, and cyclic pressure/loading. All these factors can cause changes to the mechanical properties of the material [6]. Furthermore, there has been a lot of research conducted on bacterial colonization of retainers and bacterial eradication protocols, but not on the impact of these same protocols on the mechanical and chemical properties of retainers. Any change in the chemical composition and mechanical properties of the material could have a significant impact on the form and function of the retainer. There are no uniform guidelines for keeping thermoplastic orthodontic retainers clean. Brushing is one of the most widely accepted methods of cleaning removable appliances, according to the Dental Professional Recommendation, even though brushing alone, with or without toothpaste, can still increase surface roughness [7]. However, Albanna et al. [6] reported that mechanical brushing itself has no effect when compared to its chemical counterpart. Numerous studies have been conducted to date on the accumulation of microorganisms (such as Streptococcus spp., Staphylococcus spp., Enterobacteriaceae, and Candida spp.) on removable orthodontic devices [8,9,10,11]. A 2019 study [11] investigated the effect of three different cleaning methods (peroxide-based cleanser tablets + brushing, control (only brushing), and vinegar + brushing) on the Streptococcus mutans and Lactobacillus. Bacteria counts were determined, indicating that mechanical cleaning alone was insufficient to maintain the hygiene of clear vacuum-formed retainers. The majority of OCC products contain alkalizing agents, such as sulfate or carbonate groups, which aid in pH buffering. It is possible that differences in the effectiveness of appliance plaque removal by different chemical methods are due to their different mechanisms of action. One of the most commonly used active ingredients in cleaning tablets is sodium perborate. In a saturated aqueous solution, this ingredient buffers H2O2 to a pH of about 10. Oxygen is liberated during the oxidation of H2O2. Evolved O2 appears to be associated with the effervescing action of cleaner solutions, which is thought to have a mechanical cleaning effect [12]. Citric acid in a cleaning tablet, for example, reacts with sodium bicarbonate to form washing soda, which is an excellent agent for removing biofilm from material surfaces. Alkaline peroxide-based commercial cleansing tablets are thus the most commonly recommended agents today. There is no evidence that these cleaning procedures affect the surface roughness of TORs. Many previous studies claim that brushing with or without toothpaste affects structural properties of various dental materials by creating macro and microscopic irregularities on the surface and thus consequently increasing surface roughness [7,13,14,15]. The final effect on material roughness depends on the applied load and brushing duration. Even though toothbrushing affects surface roughness, it is still the most commonly recommended method for maintaining the hygiene of retainers [16]. Polypropylene and polyethylene materials are now widely used in the production of orthodontic retainers. Recent research indicates that copolyester- and polyurethane-based retainers are becoming increasingly popular due to their clear and thin surfaces [17,18] and efficacy in maintaining incisor position and alignment [19]. The physical surface of a target material is important when it comes to bacterial adhesion because it contains a variety of influential factors [20,21], such as surface charge [22], surface hydrophobicity [23], and surface roughness (in terms of bacterial colonization) [24]. Orthodontics and prosthodontics have seen an increase in the use of daily, ready-to-use cleaning tablets. Cleaning tablets were found to be more effective than controls at reducing bacteria adherence to thermoplastic sheets in an in vitro study published in 2019 [25]. However, a randomized clinical trial found no significant difference in the bacterial count when Essix® was cleaned with various cleansing tablets versus mechanical cleaning [8]. Several researchers have attempted to use vinegar as a cleaning chemical agent for orthodontic appliances due to its low cost, ease of access, and antibacterial properties [26,27]. However, the optimal vinegar concentration for retainer cleaning has yet to be determined. The modes of action and usage directions of vinegar solutions differ, emphasizing the need for additional research [28]. Copolyesters and polyurethane are becoming more widely used in orthodontics due to their hydrolyzable ester bonds, which contribute to potential biodegradability [29,30,31]. Furthermore, copolyester contains molecules that are susceptible to microbial attack, such as aliphatic polyester and terephthalic acid [31]. The aliphatic polyester is broken down in two steps: depolymerization (or surface erosion) and enzymatic hydrolysis, which produces water-soluble intermediates that microorganisms can use [32]. Previous research has shown that polyethylene materials have superior esthetic and mechanical properties to polypropylene materials [33,34]. By searching the internet, it is possible to find various instructions and guidelines referring to the maintenance of retainer hygiene. These instructions and guidelines are commonly not unanimous and can confuse patients. Patients are instructed to keep their retainers clean, so the aim of this study was to determine the influence of different cleaning protocols on the surface roughness of orthodontic retainers.
2. Materials and Methods
2.1. Specimen Preparation
The following thermoplastic materials used for the fabrication of thermoplastic orthodontic retainers (TOR) were evaluated in this study: Erkodur-A1 (Erkodent, Erich Kopp GmbH, Pfalzgrafenweiler, Germany), hereafter referred to as “Material A”, and Biolon (Dreve, Unna, Germany), hereafter referred to as “Material B”. Both materials used were polyethylene terephthalate glycol (PET-G), which is the most commonly used material for thermoforming retainers and is not resistant to mechanical and chemical influence. Specimens were of 1.0 mm thickness. Models were constructed to mimic the average thickness of the incisal edge (2 mm), clinical crown height (8.5 mm), and width (8.31 mm) of the maxillary central incisor in Croatian adults [35], as proposed by Min et al. [36]. A fabricated mold was placed in the thermoforming caster Erkoform-3D plus (Erkodent, Pfalzgrafenweiler, Germany). Heat and vacuum were applied during thermoforming as recommended by the manufacturer (temperature of 160 °C and cooling time of 45 s). The models generated from the deformed thermoplastic materials were removed, and surface X was cut out from each model and used as a specimen for analysis (Figure 1). The study was approved by the Ethics Committee of the School of Dental Medicine Zagreb, University of Zagreb (number: 05-PA-30-13-12/2022), in accordance with the ethical standards of the Declaration of Helsinki.
Figure 1.
Models constructed to mimic the average dimensions of the maxillary central incisor in Croatia [35]. Surface X—the graphically highlighted area was cut and used as a specimen.
2.2. Sample Size
Considering the study design and normality assumption, comparison of the surface roughness of 2 brands of TORs before and after 5 different cleaning protocols indicated F test groups for sample size analysis: ANOVA for repeated measures, within–between interactions, effect size f (0.25), α err prob. (0.05), and power (0.8) = 80. Every TOR brand should have 40 samples, 8 in each cleaning protocol group for achieving the appropriate power. A priori statistical analysis was performed to ensure adequate statistical power in the study. This analysis was conducted using the program Statistica (TIBCO® Statistica™ Version 14.0.0.15, Palo Alto, CA, USA). The main objective was to determine the difference in surface roughness changes between the two investigated PET-G brands.
2.3. Cleaning Protocol
The samples were divided into 5 groups: Corega (alkaline peroxide tablets), Toothbrush, Corega + toothbrush, Toothbrush + toothpaste, and Control. Samples in the Corega group were placed 30 times into a glass of water at room temperature (to prevent possible deformation of the PET-G material at high temperatures) for 5 min. to simulate the cumulative effect of using Corega Bio Formula tablets (Stafford-Miller, Dungarvan Co. Waterford, Ireland) for 30 days. Toothbrushing was performed on a self-made device modeled after SD Mechatronik Germany with a Curaprox CS5460 toothbrush (Curaden AG, Kriens, Switzerland) for 15 min, to simulate 30 days of cumulative brushing (30 s per day). In the toothbrush + toothpaste group, with the aforementioned brushing protocol, a pea-sized amount of Aquafresh Active White toothpaste (Procter & Gamble UK, Weybridge, Germany) was applied to each sample.
2.4. Surface Roughness
The measurement of the surface roughness of the sample on both the top and bottom side of the specimen was carried out with a high-precision profilometer, Mitutoyo SJ-210 surface roughness tester (Mitutoyo, Japan), according to the ISO 4287:1997 standard [37]. These tests determined the roughness parameters Ra and Rz after preparation and after cleaning all the groups of material with the aim of determining the influence of cleaning protocol on surface roughness values. For the tests in this work, the vertical roughness parameters Ra, Rq, and Rz were taken into account. The parameter Ra represents the mean arithmetic deviation of the profile; on the unit length of the surface of the total amount of roughness amplitudes, the mean value is calculated. Rq is defined by root mean square deviation of the assessed profile. Parameter Rz represents the height of the unevenness of the profile in 10 points; on the unit length of the surface, 5 points of the highest hill and the deepest valley are taken, and from these points the average value representing Rz is calculated.
2.5. Statistical Analysis
Descriptive statistics were processed using the program Statistica (TIBCO® Statistica™ Version 14.0.0.15, Palo Alto, CA, USA). Numeric variables were tested for normality using the Shapiro–Wilk test, as well as using measurements of symmetry, skewness, and kurtosis. Non-normally distributed data were compared using the Kruskal–Wallis test and Mann–Whitney U test with post hoc correction, while for normally distributed data one-way ANOVA and a paired t-test were used.
3. Results
In this research, forty samples of two brands were divided into four groups (according to the cleaning protocol) and one control group. Subsequently, eight samples of each brand were assigned to one cleaning method. Descriptive statistics (the median and interquartile range) of values of surface roughness parameters before and after cleaning protocol can be found in Table 1, as well as the inter- and intra-group comparison. Final surface roughness values of measured parameters did not show statistical difference. However, if we look at the extent of the change in surface roughness, there is a statistically significant difference in the upper side (Top) in the Corega + toothbrush group between Materials A and B (Ra p = 0.00489, Rq p = 0.049883). This suggests that there was a greater change in the roughness of Material A (Erkodur), given that the mean change in roughness of Material A was Ra 0.047 and Rq 0.049, whereas the mean change in roughness of Material B was Ra 0.022 and Rq 0.027. Even though there was no distinct difference in the final surface roughness values between the cleaning protocol groups, we found notable differences in the pre- and post-cleaning surface roughness values. On the top sides of specimens, statistically significant change was observed in the toothbrush (Erkodur p = 0.049 and Biolon a p = 0.011719), Corega + toothbrush (Erkodur p = 0.0117 and Biolon a p = 0.011719), and toothbrush + toothpaste (Erkodur p = 0.0499 and Biolon a p = 0.0117) groups of both investigated brands, while on the bottom side there was considerable change found in the Corega and Corega + toothbrush groups of brand B (Biolon; Corega p = 0.012889, Corega + toothbrush p = 0.018613). This indicates that brushing had the greatest influence on the top sides of the specimens, and that the Corega tablets had the greatest influence on the bottom sides of the specimens. The change in surface roughness of one side of the material in different cleaning protocols is presented in Figure 2, Figure 3, Figure 4 and Figure 5, in which lowercase letters emphasize statistically heterogeneous data or statistical significance.
Table 1.
Descriptive statistics of surface roughness parameters before (Ra, Rq and Rz) and after cleaning protocol (Rap, Rqp and Rzp).
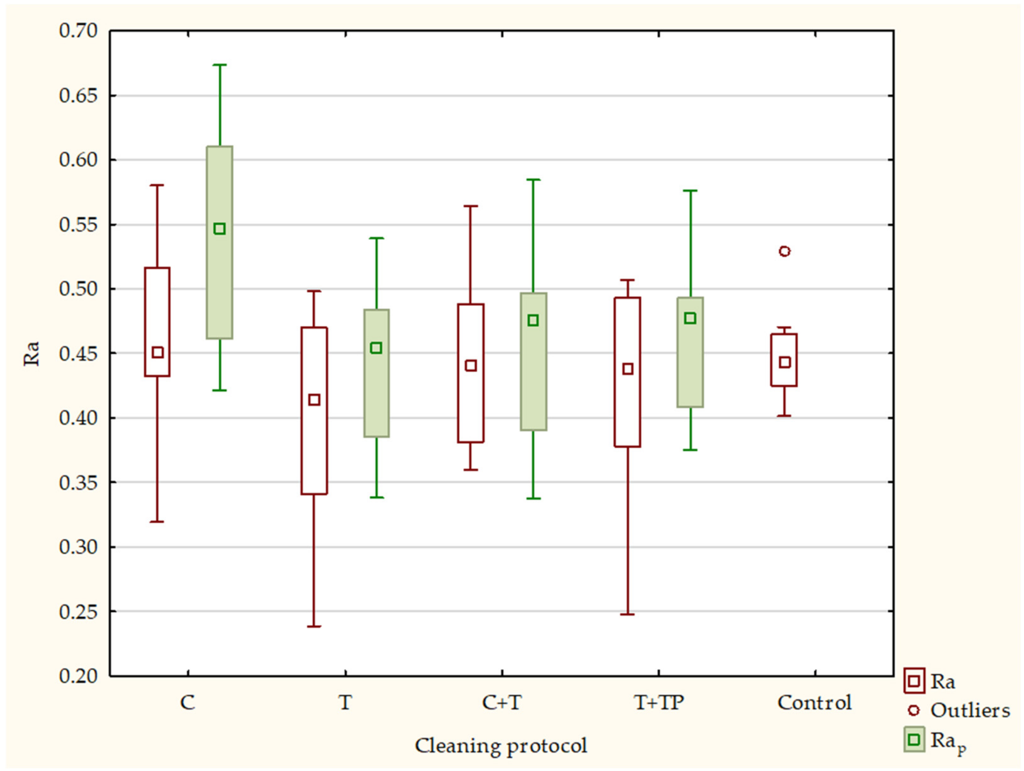
Figure 2.
Surface roughness of the Erkodur-A1 top side in different cleaning protocols; median, box: 25–75%, whisker: non-outlier range; C—Corega, T—toothbrush, TP—toothpaste, Rap—surface roughness after cleaning protocol; a p = 0.0499 b p = 0.0117 c p = 0.0499.
Figure 3.
Surface roughness of the Erkodur-A1 bottom side in different cleaning protocols; median, box: 25–75%, whisker: non-outlier range; C—Corega, T—toothbrush, TP—toothpaste, Rap—surface roughness after cleaning protocol.
Figure 4.
Surface roughness of the Biolon top side in different cleaning protocols; median, box: 25–75%, whisker: non-outlier range; C—Corega, T—toothbrush, TP—toothpaste, Rap—surface roughness after cleaning protocol; a p = 0.011719, b p = 0.011719, c p = 0.011719.
Figure 5.
Surface roughness of the Biolon bottom side in different cleaning protocols; median, box: 25–75%, whisker: non-outlier range; C—Corega, T—toothbrush, TP—toothpaste, Rap—surface roughness after cleaning protocol; a p = 0.012889, b p = 0.018613.
4. Discussion
Patients are advised to use a variety of cleaning procedures for retainers. Although antimicrobial activity is present in both over-the-counter (OCC) and applied-chemical orthodontic appliance cleaners (ACC), the effectiveness of these cleaners is not comparable due to heterogeneity in the study design, materials and methods, and evaluation methods used by current research data [28]. Therefore, the present study evaluated changes in surface roughness of polyethylene terephthalate glycol (PET-G) material exposed to mechanical and chemical cleaning methods. In this study, Ra was used as it is a common parameter in industry and therefore ensures the stability of the parameter, not being affected by any accidental stray spikes or scratches. Brushing is a mechanical cleaning method, while Corega tablets fall under chemical cleaning procedures. In our study, there was a statistically significant difference between baseline and final roughness values on the top side of all specimens that were exposed to the toothbrush, Corega + toothbrush, and toothbrush + toothpaste cleaning protocols. By contrast, in the Corega group, no statistically significant difference was found. The combination of brushing + Corega and brushing + toothpaste led to greater surface roughness values than brushing only. Thus, toothbrushing affected surface material. Corega tablets caused an increase in surface roughness, but this rise was not significant. Greater values of Ra can be explained by the chemical properties of the tablet’s components. When sodium perborate comes into contact with water, it decomposes into hydrogen peroxide, sodium metaborate, and nascent oxygen [38,39,40]. It can be assumed that the active oxygen released by the hydrogen peroxide solution is the main reason for increased surface roughness. Furthermore, oxygen bubbles released from this oxygen-liberating solution are responsible for both mechanical and chemical cleaning/damage of the material [38,40]. Another explanation for the changed surface roughness after exposure to dissolving Corega tablets is the absorption of water. PET-G material has a high water-absorption property [41,42,43]. Water penetrates polymer material; several physicochemical changes can occur and mechanical properties can be irreversibly degraded. All this can cause a change in the nanoroughness of the polymer material [43,44]. Corega tablets in the study by Porojan et al. [43] also caused an increase in surface roughness of Biolon, but the results were statistically insignificant, which corresponds to our findings. The importance of brushing on the retainer clearance is described in the Chang et al. study. They reported that brushing with toothpaste leads to 99.9% reduction of Streptococcus mutans [45]. However, we must keep in mind that brushing can scratch the surface of the retainer, resulting in an increased surface area that is conducive to bacterial colonization. Moreover, brushing may damage the cosmetic appearance of the retainer and reduce its longevity [45]. Porojan et al. [43] discovered that brushing affected the surface roughness of PET-G material more than chemical cleaning procedures, but their findings were statistically insignificant. Other studies, however, found that brushing has no effect on the surface roughness of polyurethane and copolyester retainer material [29,30]. Brushing with distilled water was less effective than brushing with toothpaste in a study conducted by Chang et al. [45]. Furthermore, there was no statistically significant difference between the control group and rinsing with sterile distilled water, indicating that it is ineffective at removing biofilm [45]. It is well-known that abrasive toothpastes can cause increased surface roughness of various restorative and thermoplastic materials [46,47,48]. In this study, whitening toothpastes affected the surface roughness of the PET-G material. This was expected, since they increase surface porosities [49] and, according to the literature, contain titanium oxide and hydrated silica, which are known to have abrasive properties [50,51]. The value that explains a toothpaste’s abrasivity is most commonly defined as relative dentin abrasivity (RDA). It is a value determined in vitro by comparing a toothpaste slurry’s ability to remove radioactive dentine during a brushing protocol with a standard abrasive or toothpaste formulation. According to the International Standards Organization (ISO), the abrasivity of a test formulation for dentine should not be more than 2.5 times that of the reference abrasive, implying that the RDA should be less than 250 [52,53]. The RDA values of whitening toothpastes on the market typically range between 98 and 120, with activated charcoal toothpaste having the lowest (RDA 50) and Colgate Max Fresh having the highest (RDA 175) [51,54,55,56]. In the present study, Aquafresh toothpaste with an RDA of 113 was used. The final roughness of all investigated specimens on the top side was below 0.2 µm, which is in concordance with the Porojan et al. study [43]. This is clinically significant because of potential bacterial adhesion [57,58]. Moreover, the smooth surface of the vestibular part of the retainer is not only important in aspects of microbiology, but also for the patient’s comfort. According to the literature, roughness values greater than 0.5 µm can be felt by the patient’s tongue [59,60]. Furthermore, increased surface roughness can accelerate potential staining due to pigment/dye accumulation in the porosities of the material [61]. Corega tablets and Corega in combination with brushing induced statistically significant increased surface roughness on the bottom side of Material B. Roughness was also increased on the bottom side of Material A; however, this difference was not statistically significant. The bottom sides of specimens initially showed greater roughness values than the top sides. This can be explained by the contact of the bottom side of the samples with the rough surface of dental casts during thermoforming. Thus, the irregular and bumpy surface of the plaster caused porosities on the bottom side of our prepared samples. These porosities, i.e., increased surface roughness on the bottom side of specimens, can increase the probability of the attachment of oxygen bubbles released from the Corega tablets. This is a result of the higher probability of the presence of micro and nanobubbles at the sample’s surface [62]. This could be an explanation for the increased effect of Corega tablets on the bottom sides. This aforementioned phenomenon could have an influence on the retention and stability of orthodontic retainers because the investigated bottom sides of the specimens represent the inside of a retainer in clinical conditions. Since there was no statistical difference between the final values of the measured parameters, we can conclude that the two different brands acted similarly when exposed to various cleaning procedures. There was only a statistically significant difference in the upper side (Top) in the Corega + toothbrush group between Materials A and B, which is possibly due to different manufacturing processes between the two brands. Moreover, we need to take into consideration that the thermoforming process itself can affect the material surface. One study showed that the thermoplastic surface becomes statistically significantly rougher and more irregular after this process [63]. Limitations of this study include the shape of the polyethylene specimens, which were flat and did not completely reflect the shape of a real retainer. Additionally, in vivo environmental differences in abrasive wear may occur when a retainer is opposed by natural dentition versus the simultaneous wearing of two retainers [64]. A retainer’s resistance to wear is also influenced by thermoforming and oral exposure [4]. The present report evaluated roughness. In the future, the evaluation of other significant variables, such as flexural strength [65] and hardness [66], will importantly supplement the results of the present study.
5. Conclusions
The current study suggests that the mechanical properties of thermoplastic materials may change. Almost all the tested cleaning procedures significantly increased the surface roughness of the PET-G retainer material. The top-side roughness of both the tested PET-G materials increased significantly when using a toothbrush following any protocol, while the Corega tablets did not produce any significant effects. By contrast, the bottom side was more sensitive to the Corega tablets, while brushing did not result in greater roughness of the already-rougher surface. In the future, in vivo studies could be performed in order to obtain more realistic results. Moreover, considering bottom-side-retainer porosity due to cast manufacturing and the influence of Corega, printed retainers should be considered in future research.
Author Contributions
Conceptualization, L.Š. and S.M.; methodology, L.Š.; software, L.Š.; validation, L.Š., T.B. and S.M.; formal analysis, L.Š.; investigation, L.Š.; resources, T.B.; data curation, L.Š.; writing—original draft preparation, T.B.; writing—review and editing, L.Š. and T.B.; visualization, L.Š. and T.B.; supervision, S.M.; project administration, S.M. All authors have read and agreed to the published version of the manuscript.
Funding
This research received no external funding.
Institutional Review Board Statement
The study was approved by the Ethics Committee of the School of Dental Medicine Zagreb (number: 05-PA-30-13-12/2022) in accordance with the ethical standards of the Declaration of Helsinki.
Informed Consent Statement
Not applicable.
Data Availability Statement
Not applicable.
Conflicts of Interest
The authors declare no conflict of interest.
References
- Littlewood, S.; Kandasamy, S.; Huang, G. Retention and Relapse in Clinical Practice. Aust. Dent. J. 2017, 62, 51–57. [Google Scholar] [CrossRef] [PubMed]
- Wouters, C.; Lamberts, T.A.; Kuijpers-Jagtman, A.M.; Renkema, A.M. Development of a Clinical Practice Guideline for Orthodontic Retention. Ortho. Craniofac. Res. 2019, 22, 69–80. [Google Scholar] [CrossRef]
- Kiatwarawut, K. The Interesting Types of Plastic of Invisible Retainers. Open Access J. Dent. Oral Surg. 2022, 3, 1040. [Google Scholar] [CrossRef] [PubMed]
- Ahn, H.W.; Ha, H.R.; Lim, H.N.; Choi, S. Effects of aging procedures on the molecular, biochemical, morphological, and mechanical properties of vacuum-formed retainers. J. Mech. Behav. Biomed. Mater. 2015, 51, 356–366. [Google Scholar] [CrossRef] [PubMed]
- Ryu, J.-H.; Kwon, J.-S.; Jiang, H.B.; Cha, J.-Y.; Kim, K.-M. Effects of Thermoforming on the Physical and Mechanical Properties of Thermoplastic Materials for Transparent Orthodontic Aligners. Korean J. Orthod. 2018, 48, 316. [Google Scholar] [CrossRef]
- Ryokawa, H.; Miyazaki, Y.; Fujishima, A.; Miyazaki, T.; Maki, K. The mechanical properties of dental thermoplastic materials in a simulated intraoral environment. Orthod. Waves 2006, 65, 64–72. [Google Scholar] [CrossRef]
- Kiesow, A.; Sarembe, S.; Pizzey, R.L.; Axe, A.S.; Bradshaw, D.J. Material compatibility and antimicrobial activity of consumer products commonly used to clean dentures. J. Prosthet. Dent. 2016, 115, 189–198.e188. [Google Scholar] [CrossRef]
- Albanna, R.H.; Farawanah, H.M.; Aldrees, A.M. Microbial evaluation of the effectiveness of different methods for cleansing clear orthodontic retainers: A randomized clinical trial. Angle Orthod. 2017, 87, 460–465. [Google Scholar] [CrossRef]
- Batoni, G.; Pardini, M.; Giannotti, A.; Ota, F.; Rita Giuca, M.; Gabriele, M.; Campa, M.; Senesi, S. Effect of removable orthodontic appliances on oral colonisation by mutans streptococci in children. Eur. J. Oral Sci. 2001, 109, 388–392. [Google Scholar] [CrossRef]
- Pathak, A.K.; Sharma, D.S. Biofilm associated microorganisms on removable oral orthodontic appliances in children in the mixed dentition. J. Clin. Pediatr. Dent. 2013, 37, 335–340. [Google Scholar] [CrossRef]
- Akgün, F.A.; Şenışık, N.E.; Çetin, E.S. Evaluation of the Efficacy of Different Cleaning Methods for Orthodontic Thermoplastic Retainers in terms of Bacterial Colonization. Turk. J. Orthod. 2019, 32, 219–228. [Google Scholar] [CrossRef] [PubMed]
- Mueller, H.J.; Greener, E.H. Characterization of some denture cleansers. J. Prosthet. Dent. 1980, 43, 491–496. [Google Scholar] [CrossRef]
- Kaizer, M.R.; De Oliveira-Ogliari, A.; Cenci, M.S.; Opdam, N.J.; Moraes, R.R. Do nanofill or submicron composites show improved smoothness and gloss? A systematic review of in vitro studies. Dent. Mater. 2014, 30, e41–e78. [Google Scholar] [CrossRef] [PubMed]
- Tanoue, N.; Matsumura, H.; Atsuta, M. Wear and surface roughness of current prosthetic composites after tooth-brush/dentifrice abrasion. J. Prosthet. Dent. 2000, 84, 93–97. [Google Scholar] [CrossRef]
- AlAli, M.; Silikas, N.; Satterthwaite, J. The Effects of Toothbrush Wear on the Surface Roughness and Gloss of Resin Composites with Various Types of Matrices. Dent. J. 2021, 9, 8. [Google Scholar] [CrossRef]
- Tsolakis, A.Ι.; Kakali, L.; Prevezanos, P.; Bitsanis, I.; Polyzois, G. Use of Different Cleaning Methods for Removable Orthodontic Appliances: A Questionnaire Study. Oral Health Prev. Dent. 2019, 17, 299–302. [Google Scholar] [PubMed]
- Mai, W.; He, J.A.; Meng, H.; Jiang, Y.; Huang, C.; Li, M.; Yuan, K.; Kang, N. Comparison of vacuum-formed and Hawley retainers: A systematic review. Am. J. Orthod. Dentofac. Orthop. 2014, 145, 720–727. [Google Scholar] [CrossRef] [PubMed]
- Hichens, L.; Rowland, H.; Williams, A.; Hollinghurst, S.; Ewings, P.; Clark, S.; Ireland, A.; Sandy, J. Cost-effectiveness and patient satisfaction: Hawley and vacuum-formed retainers. Eur. J. Orthod. 2007, 29, 372–378. [Google Scholar] [CrossRef]
- Edman Tynelius, G.; Bondemark, L.; Lilja-Karlander, E. Evaluation of orthodontic treatment after 1 year of retention—A randomized controlled trial. Eur. J. Orthod. 2010, 32, 542–547. [Google Scholar] [CrossRef]
- Barth, E.; Myrvik, Q.M.; Wagner, W.; Gristina, A.G. In vitro and in vivo comparative colonization of Staphylococcus aureus and Staphylococcus epidermidis on orthopaedic implant materials. Biomaterials 1989, 10, 325–328. [Google Scholar] [CrossRef]
- Oga, M.; Sugioka, Y.; Hobgood, C.; Gristina, A.; Myrvik, Q. Surgical biomaterials and differential colonization by Staphylococcus epidermidis. Biomaterials 1988, 9, 285–289. [Google Scholar] [CrossRef]
- Hogt, A.; Dankert, J.; De Vries, J.; Feijen, J. Adhesion of coagulase-negative staphylococci to biomaterials. Microbiology 1983, 129, 2959–2968. [Google Scholar] [CrossRef] [PubMed]
- Pringle, J.; Fletcher, M. Influence of substratum hydration and adsorbed macromolecules on bacterial attachment to surfaces. Appl. Environ. Microbiol. 1986, 51, 1321–1325. [Google Scholar] [CrossRef] [PubMed]
- Locci, R.; Peters, G.; Pulverer, G. Microbial colonization of prosthetic devices. I. Microtopographical characteristics of intravenous catheters as detected by scanning electron microscopy. Zent. Fur Bakteriol. Mikrobiol. Und Hyg. 1. Abt. Orig. B Hyg. 1981, 173, 285–292. [Google Scholar]
- Pilloni, J.A. Human Saliva Biofilm Reduction by Thermoplastic Retainer Cleaners: An In Vitro Study; State University of New York at Stony Brook: New York, NY, USA, 2019. [Google Scholar]
- Agarwal, M.; Wible, E.; Ramir, T.; Altun, S.; Viana, G.; Evans, C.; Lukic, H.; Megremis, S.; Atsawasuwan, P. Long-term effects of seven cleaning methods on light transmittance, surface roughness, and flexural modulus of polyurethane retainer material. Angle Orthod. 2018, 88, 355–362. [Google Scholar] [CrossRef]
- Wible, E.; Agarwal, M.; Altun, S.; Ramir, T.; Viana, G.; Evans, C.; Lukic, H.; Megremis, S.; Atsawasuwan, P. Long-term effects of different cleaning methods on copolyester retainer properties. Angle Orthod. 2019, 89, 221–227. [Google Scholar] [CrossRef]
- Kiatwarawut, K.; Rokaya, D.; Sirisoontorn, I. Antimicrobial Activity of Various Disinfectants to Clean Thermoplastic Polymeric Appliances in Orthodontics. Polymers 2022, 14, 2256. [Google Scholar] [CrossRef]
- Zheng, Y.; Yanful, E.K.; Bassi, A.S. A review of plastic waste biodegradation. Crit. Rev. Biotechnol. 2005, 25, 243–250. [Google Scholar] [CrossRef]
- Allen, A.B.; Hilliard, N.P.; Howard, G.T. Purification and characterization of a solublepolyurethane degrading enzyme from Comamonasacidovorans. Int. Biodeterior. Biodegrad. 1999, 43, 37–41. [Google Scholar] [CrossRef]
- Abou-Zeid, D.-M.; Müller, R.-J.; Deckwer, W.-D. Biodegradation of Aliphatic Homopolyesters and Aliphatic−Aromatic Copolyesters by Anaerobic Microorganisms. Biomacromolecules 2004, 5, 1687–1697. [Google Scholar] [CrossRef]
- Müller, R.-J.; Kleeberg, I.; Deckwer, W.-D. Biodegradation of polyesters containing aromatic constituents. J. Biotechnol. 2001, 86, 87–95. [Google Scholar] [CrossRef]
- Raja, T.A.; Littlewood, S.J.; Munyombwe, T.; Bubb, N.L. Wear resistance of four types of vacuum formed retainer materials: A laboratory study. Angle Orthod. 2014, 84, 656–664. [Google Scholar] [CrossRef] [PubMed]
- Gardner, G.D.; Dunn, W.J.; Taloumis, L. Wear comparison of thermoplastic materials used for orthodontic retainers. Am. J. Orthod. Dentofac. Orthop. 2003, 124, 294–297. [Google Scholar] [CrossRef] [PubMed]
- Vidaković, A.; Anić-Milošević, S.; Borić, D.N.; Meštrović, S. Mesiodistal and Buccolingual Dimensions in Croatian Orthodontic Hypodontia Patients’ Teeth. Acta Stomatol. Croat. 2018, 52, 12–17. [Google Scholar] [CrossRef] [PubMed]
- Min, S.; Hwang, C.J.; Yu, H.S.; Lee, S.B.; Cha, J.Y. The effect of thickness and deflection of orthodontic thermoplastic materials on its mechanical properties. Korean J. Orthod. 2010, 40, 16–26. [Google Scholar] [CrossRef]
- ISO 4287:1997; Geometrical Product Specifications (GPS)—Surface Texture: Profile Method—Terms, Definitions and Surface Texture Parameters. International Standards Organization: Geneva, Switzerland, 2005. Available online: https://www.iso.org/standard/10132.html (accessed on 16 January 2023).
- Marchado, A.L.; Breeding, L.C.; Vergani, C.E.; Cruz Perez, L.E. Hardness and surface roughness of reline and denture base acrylic resins after repeated disinfection procedures. J. Prosthet. Dent. 2009, 102, 115–122. [Google Scholar] [CrossRef]
- Loxley, E.C.; Liewehr, F.R.; Buxton, T.B.; McPherson, J.C., III. The effect of various intracanal oxidizing agents on the push-out strength of various perforation repair materials. Oral Surg. Oral Med. Oral Pathol. Oral Radiol. Endodontology 2003, 95, 490–494. [Google Scholar] [CrossRef]
- Ozylimaz, O.Y.; Akin, C. Effect of cleansers on denture base resins’ structural properties. J. Appl. Biomater. Funct. Mater. 2019, 17, 2280800019827797. [Google Scholar] [CrossRef]
- Babanouri, N.; Ahmadi, N.; Pakshir, H.R.; Ajami, S.; Habibagahi, R. Influence of a bleaching agent on surface and mechanical properties of orthodontic thermoplastic retainer materials: An in vitro study. J. Orofac. Orthop. 2022, 83, 332–338. [Google Scholar] [CrossRef]
- Pascual, A.L.; Beeman, C.S.; Hicks, E.P.; Bush, H.M.; Mitchell, R.J. The essential work of fracture of thermoplastic orthodontic retainer materials. Angle Orthod. 2010, 80, 554–561. [Google Scholar] [CrossRef]
- Porojan, L.; Vasiliu, R.D.; Porojan, S.D.; Birdeanu, M.I. Surface quality evaluation of removable thermoplastic dental appliances related to staining beverages and cleaning agents. Polymers 2020, 12, 1736. [Google Scholar] [CrossRef] [PubMed]
- Zhang, N.; Bai, Y.X.; Ding, X.J. Preparation and characterization of thermoplastic materials for invisible orthodontics. Dent. Mater. J. 2011, 30, 954–959. [Google Scholar] [CrossRef] [PubMed]
- Chang, C.S.; Al-Awadi, S.; Ready, D.; Noar, J. An assessment of the effectiveness of mechanical and chemical cleaning of Essix orthodontic retainer. J. Orthod. 2014, 41, 110–117. [Google Scholar] [CrossRef] [PubMed]
- Halis, G.; Köroğlu, A.; Sahin, O.; Dede, D.Ö.; Yilmaz, B. Effect of simulated tootbrushing on surface roughness of sealant agent coupled nanohybrid composite resins. J. Esthet. Restor. Dent. 2022, 34, 907–914. [Google Scholar] [CrossRef]
- Köroğlu, A.; Şahin, O.; Küçükekenci, A.S.; Dede, D.O.; Yıldırım, H.; Yilmaz, B. Influences of Toothbrushing and Different Toothpastes on the Surface Roughness and Color Stability of Interim Prosthodontic Materials. Materials 2022, 15, 5831. [Google Scholar] [CrossRef]
- Azmuddin, I.; Mustapha, N.M.N.; Khan, H.B.S.G.; Sinniah Saraswathy, D. Physical effects of cleaning agents on orthodontic thermoplastic retainer polymer: A narrative review. J. Int. Oral Health 2022, 14, 349–356. [Google Scholar]
- Dos Santos, J.H.; Silva, N.L.; Gomes, M.G.; Paschoal, M.A.; Gomes, I.A. Whitening toothpaste effect on nanoparticle resin composite roughness after a brushing challenge: An in vitro study. J. Clin. Exp. Dent. 2019, 11, e334–e339. [Google Scholar] [CrossRef]
- Luo, M.R.; Cui, G.; Rigg, B. The development of the CIE 2000 color difference formula: CIEDE2000. Color Res. Appl. 2001, 26, 340–350. [Google Scholar] [CrossRef]
- Hamza, B.; Tanner, M.; Attin, T.; Wegehaupt, F.J. Dentin Abrasivity and Cleaning Efficacy of Novel/Alternative Toothpastes. Oral Health Prev. Dent. 2020, 18, 713–718. [Google Scholar]
- ISO 11609; Dentistry—Dentifrices—Requirements, Test Methods and Marking. International Organisation for Standardization: Geneva, Switzerland, 2010.
- Philpotts, C.J.; Weader, E.; Joiner, A. The measurement in vitro of enamel and dentine wear by toothpastes of different abrasivity. Int. Dent. J. 2005, 55, 183–187. [Google Scholar] [CrossRef]
- Soares, C.N.; Amaral, F.L.; Mesquita, M.F.; Franca, F.M.; Basting, R.T.; Turssi, C.P. Tooth- pastes containing abrasive and chemical whitening agents: Efficacy in reducing extrinsic dental staining. Gen. Dent. 2015, 63, e24–e28. [Google Scholar]
- Hara, A.T.; Turssi, C.P. Baking soda as an abrasive in toothpastes: Mechanism of action and safety and effectiveness considerations. J. Am. Dent. Assoc. 2017, 148, 27–33. [Google Scholar] [CrossRef]
- Hamza, B.; Attin, T.; Cucuzza, C.; Gubler, A.; Wegehaubt, F.J. RDA and REA values of commercially available toothpastes utilising diamond powder and traditional abrasives. Oral Health Prev. Dent. 2020, 18, 807–814. [Google Scholar] [PubMed]
- Levrini, L.; Paracchini, L.; Bakaj, R.; Diaconu, A.; Cortese, S. Dental bleaching during orthodontic treatment with aligners. Int. J. Esthet. Dent. 2020, 15, 44–54. [Google Scholar] [PubMed]
- Al-Groosh, D.; Bozec, L.; Pratten, J.; Hunt, P.N. The influence of surface roughness and surface dynamics on the attachment of Methicillin-Resistant Staphylococcus aureus onto orthodontic retainer materials. Dent. Mater. J. 2015, 34, 585–594. [Google Scholar] [CrossRef] [PubMed]
- Jones, C.S.; Billington, R.W.; Pearson, G.J. The in vivo perception of roughness and restorations. Br. Dent. J. 2004, 196, 42–45. [Google Scholar] [CrossRef]
- Sarret, D.C. Polishing systems. ADA Prof. Product Rev. 2010, 5, 1–16. [Google Scholar]
- Jindal, P.; Juneja, M. Mechanical, and geometric properties of thermoformed and 3D printed clear dental aligners. Am. J. Orthod. Dentofac. Orthop. 2019, 156, 694–701. [Google Scholar] [CrossRef]
- Malysa, K.; Krasowska, M.; Krzan, M. Influence of surface active substances on bubble motion and collision with various interfaces. Adv. Colloid Interface Sci. 2005, 114, 205–225. [Google Scholar] [CrossRef]
- Suter, F.; Zinelis, S.; Patcas, R.; Schätzle, M.; Eliades, G.; Eliades, T. Roughness and wettability of aligner materials. J. Orthod. 2020, 47, 223–231. [Google Scholar] [CrossRef] [PubMed]
- Ohayon, M.M.; Li, K.K.; Guilleminault, C. Risk factors for sleep bruxism in the general population. Chest 2001, 119, 53–61. [Google Scholar] [CrossRef] [PubMed]
- Cacciafesta, V.; Sfondrini, M.F.; Lena, A.; Scribante, A.; Vallittu, P.K.; Lassila, L.V. Flexural Strengths of Fiber-Reinforced Composites Polymerized with Conventional Light-Curing and Additional Postcuring. Am. J. Orthod. Dentofac. Orthop. 2007, 132, 524–527. [Google Scholar] [CrossRef] [PubMed]
- Pieniak, D.; Walczak, A.; Walczak, M.; Przystupa, K.; Niewczas, A.M. Hardness and Wear Resistance of Dental Biomedical Nanomaterials in a Humid Environment with Non-Stationary Temperatures. Materials 2020, 13, 1255. [Google Scholar] [CrossRef] [PubMed]
Disclaimer/Publisher’s Note: The statements, opinions and data contained in all publications are solely those of the individual author(s) and contributor(s) and not of MDPI and/or the editor(s). MDPI and/or the editor(s) disclaim responsibility for any injury to people or property resulting from any ideas, methods, instructions or products referred to in the content. |
© 2023 by the authors. Licensee MDPI, Basel, Switzerland. This article is an open access article distributed under the terms and conditions of the Creative Commons Attribution (CC BY) license (https://creativecommons.org/licenses/by/4.0/).




