Nonlinear Aeroelastic Characteristics of a Supersonic All-Movable Fin with Single or Multiple Freeplay Nonlinearities
Abstract
1. Introduction
2. Aeroelastic Model and Analysis Method
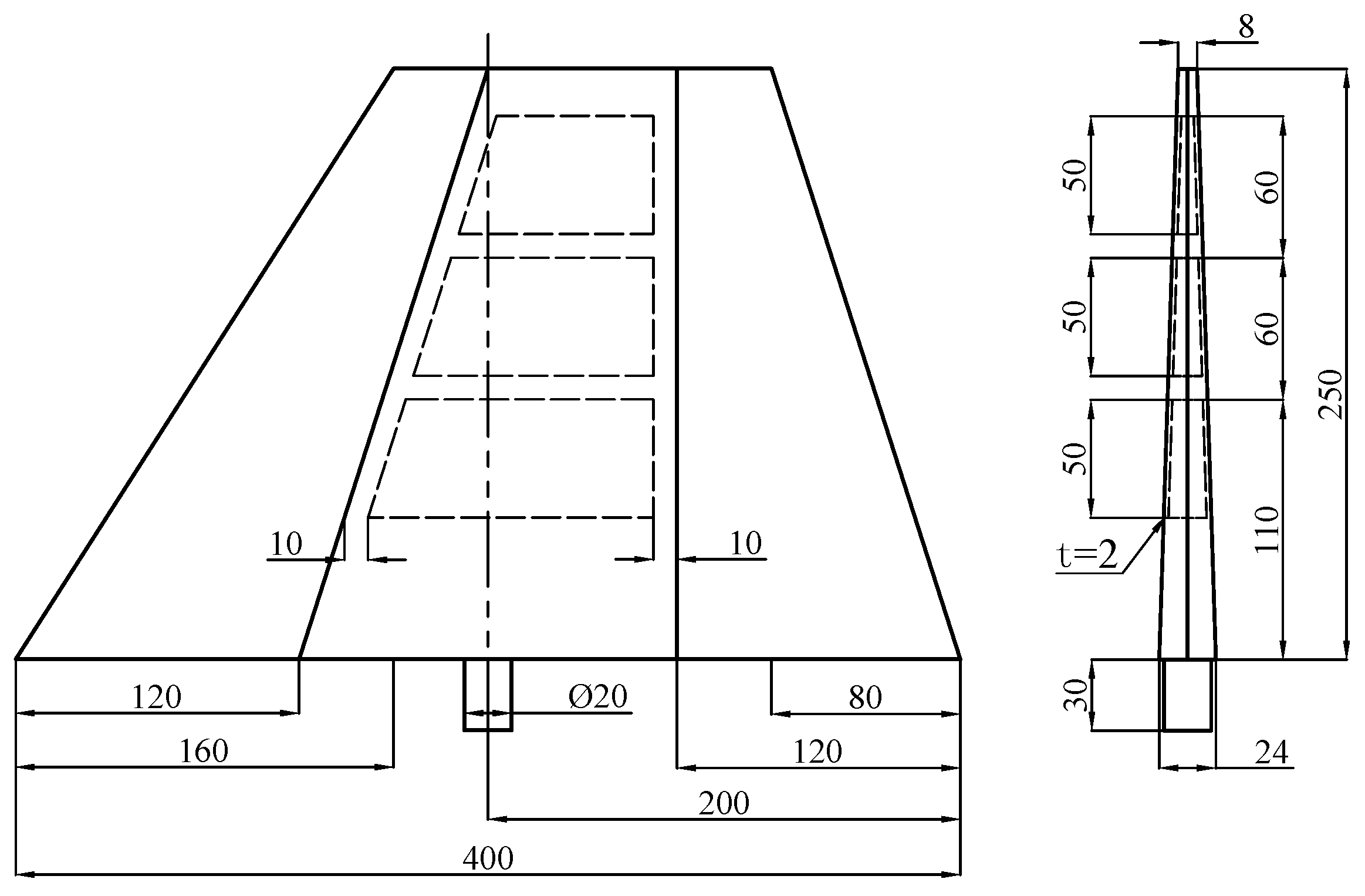
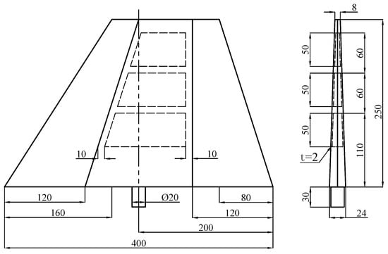
2.1. Structural Model
2.2. Aerodynamic Model
2.3. Analysis Methods for Aeroelastic Model with Freeplay
2.3.1. Describing Function Method
- (1)
- Assume a nondimensional LCO amplitude A in the nonlinear element and obtain the equivalent stiffness ;
- (2)
- Replace or with in Equation (13) and obtain a new matrix ;
- (3)
- Calculate the eigenvalues of with the variation of the free-stream velocity V;
- (4)
- As V increases, find the eigenvalue first crossing the imaginary axis from negative to positive, and record the free-stream velocity V, the crossing eigenvalue and corresponding eigenvector at this time;
- (5)
- Change the assumed nondimensional LCO amplitude and repeat steps (1) to (5) until the end.
2.3.2. Numerical Integration Approach
- (1)
- change the integral variable from time t to the monitored variable , and assume a new vector of the states ; that is,
- (2)
- integrate the above equation using the RK45 method from to the crossing point as the integral variable is moved from to ;
- (3)
- restore the integral variable to the time t, and integrate Equation (14) from using the RK45 method until the next crossing point. Then repeat steps (1) to (3) until the end.
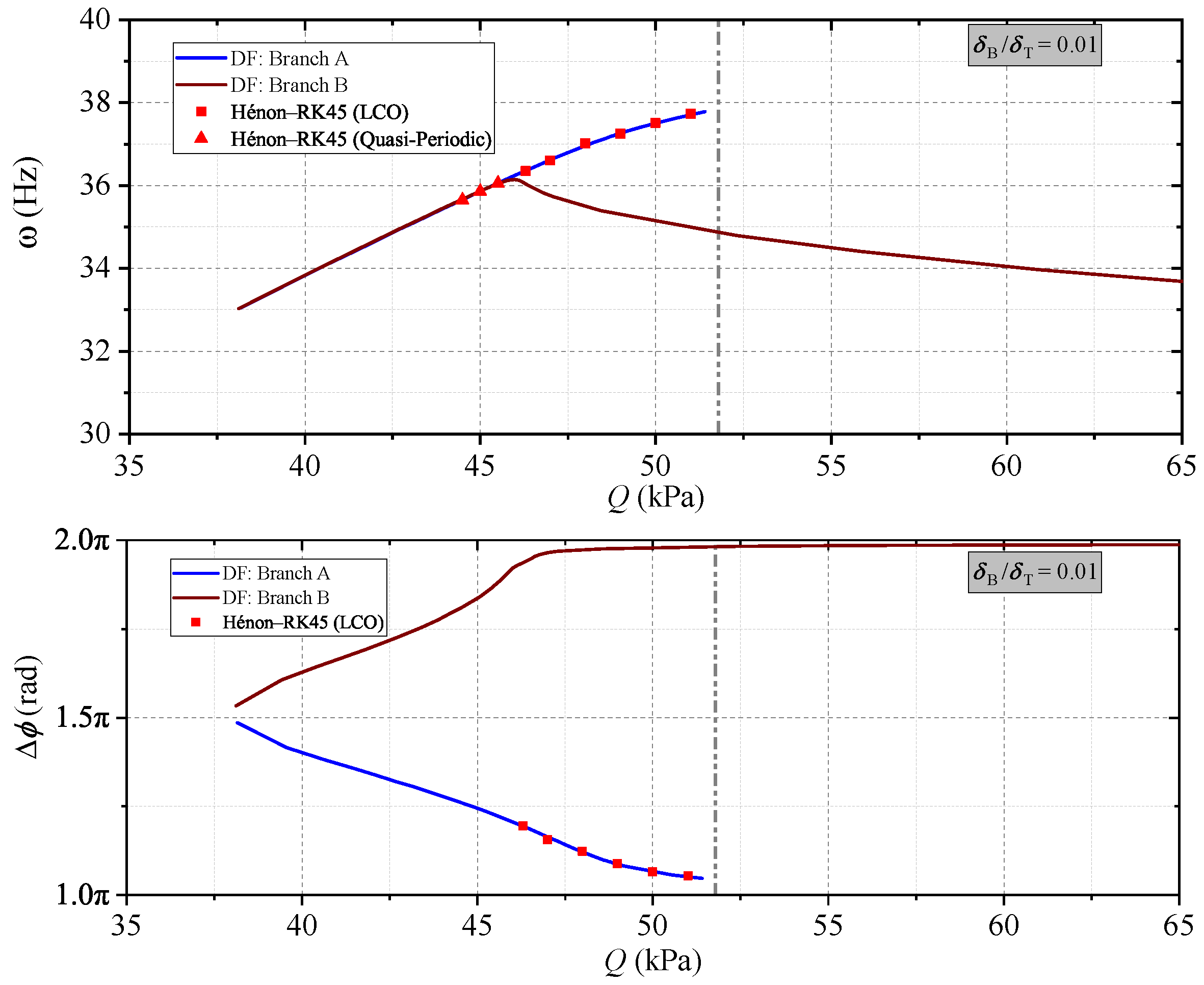
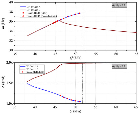
2.3.3. Harmonic Initial Conditions Derived from Frequency-Domain LCO Solutions
- (1)
- when and ;
- (2)
- .
3. Results and Discussion
3.1. Single Freeplay Nonlinearity
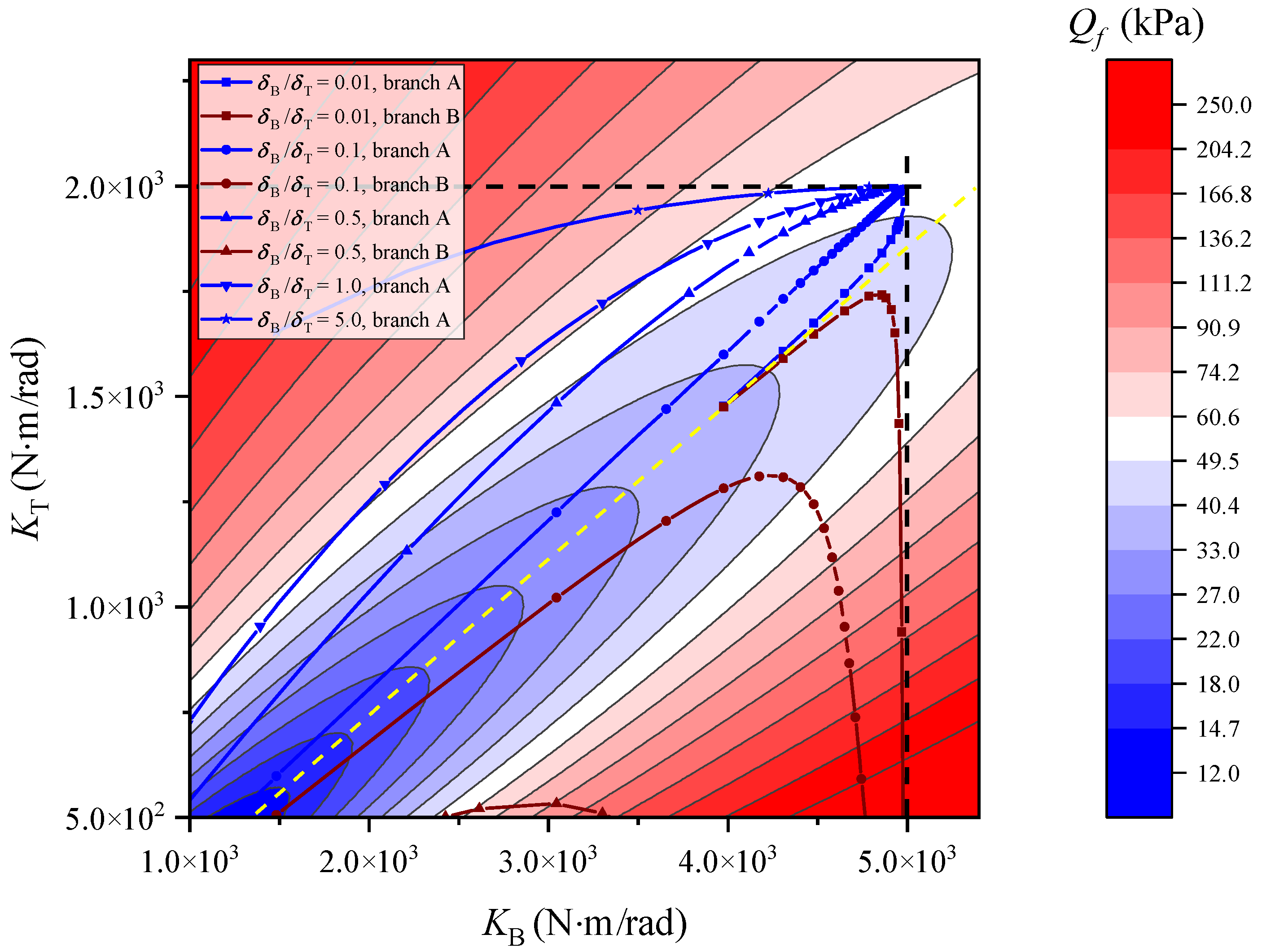
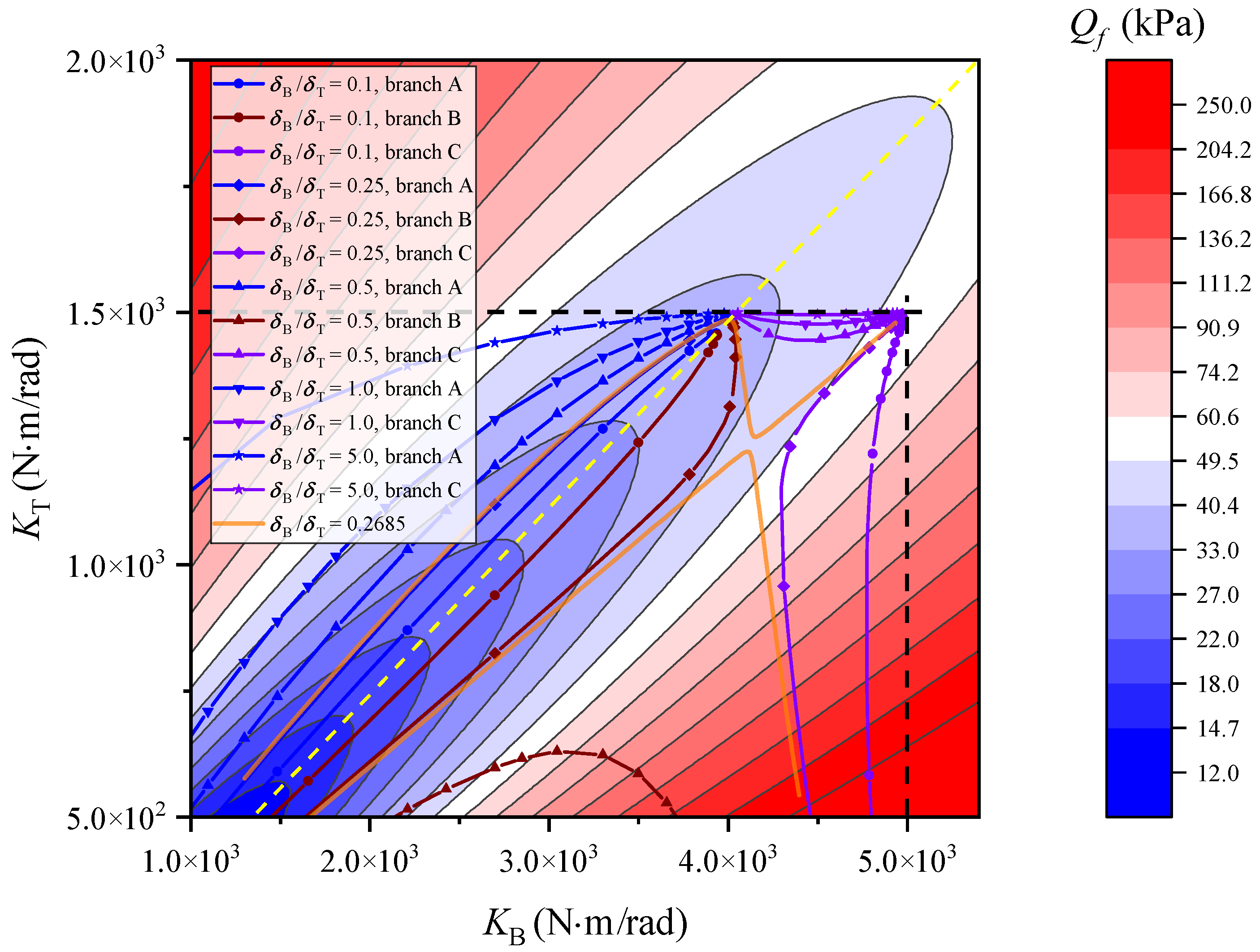
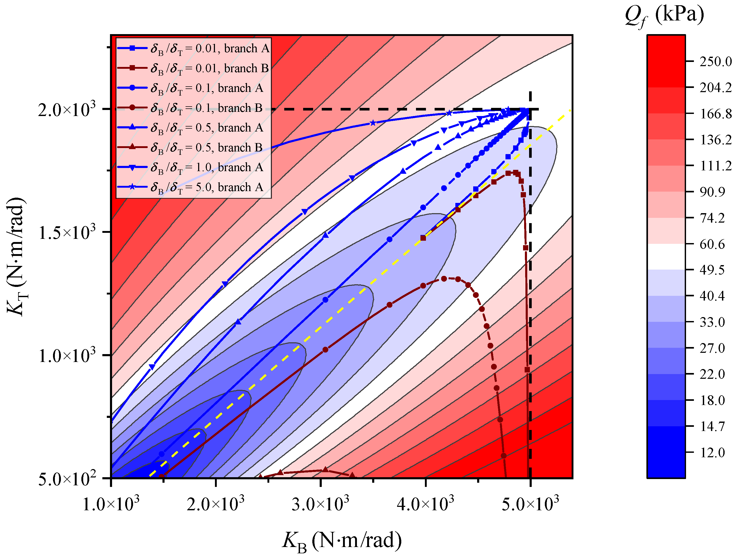
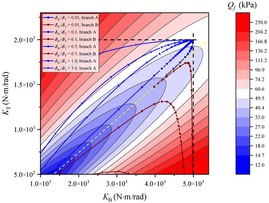
3.2. Multiple Freeplay Nonlinearities
3.2.1. Discrete Scanning Method
3.2.2. Case 1: ,
3.2.3. Case 2: ,
4. Conclusions
- (1)
- The DF method has shown good applicability to the analysis and solution of the LCO characteristics of the system with single or multiple freeplay nonlinearities. In this paper, a discrete scanning method based on the DF method was established to solve the problem of amplitude alignment, and this can avoid missing solutions and give consideration to efficiency.
- (2)
- Systems with a single freeplay nonlinearity exhibit two different types of LCO. A system with LCO-i characteristics has stable LCO motions below the linear flutter boundary, while a system with LCO-ii characteristics only has unstable LCO motions above the linear flutter boundary, and the divergence boundary is not lower than the linear flutter boundary. From a flutter suppression perspective, LCO-ii is more beneficial.
- (3)
- Systems with bending and torsion freeplay nonlinearities exhibit complex dynamical behaviors, such as LCO and quasi-periodic and chaotic motions. The initial conditions have a great influence on the system response. The introduction of harmonic initial conditions will effectively improve the efficiency of using time-domain integration to verify frequency-domain LCO solutions, especially for those with a small attraction domain.
- (4)
- The support stiffness at the root of the fin and freeplay size ratio have impressive effects on the LCO characteristics. The ratio of bending stiffness to torsional stiffness determines the LCO characteristics of a fin with a single freeplay nonlinearity. For a fin with multiple freeplay nonlinearities, when the difference between the two freeplay sizes is large, its nonlinear aeroelastic characteristics are mainly determined by the freeplay with the larger value.
Author Contributions
Funding
Institutional Review Board Statement
Informed Consent Statement
Data Availability Statement
Conflicts of Interest
Abbreviations
| LCO | limit-cycle oscillation |
| DOF | degree-of-freedom |
| DF | describing function |
| RK45 | fourth–-fifth-order Runge–-Kutta |
| 3D | three-dimensional |
References
- Panchal, J.; Benaroya, H. Review of control surface freeplay. Prog. Aeronaut. Sci. 2021, 127, 100729. [Google Scholar] [CrossRef]
- Dowell, E.H.; Edwards, J.; Strganac, T. Nonlinear aeroelasticity. J. Aircr. 2003, 40, 857–874. [Google Scholar] [CrossRef]
- Danowsky, B.; Thompson, P.M.; Kukreja, S. Nonlinear analysis of aeroservoelastic models with free play using describing functions. J. Aircr. 2013, 50, 329–336. [Google Scholar] [CrossRef]
- Woolston, D.S.; Runyan, H.L.; Andrews, R.E. An Investigation of Effects of Certain Types of Structural NonHnearities on Wing and Control Surface Flutter. J. Aeronaut. Sci. 1957, 24, 57–63. [Google Scholar] [CrossRef]
- Shen, S.F. An Approximate Analysis of Nonlinear Flutter Problems. J. Aerosp. Sci. 1959, 26, 25–32. [Google Scholar] [CrossRef]
- Yang, Z.; Zhao, L. Analysis of limit cycle flutter of an airfoil in incompressible flow. J. Sound Vibr. 1988, 123, 1–13. [Google Scholar] [CrossRef]
- Lee, B.H.K.; Tron, A. Effects of structural nonlinearities on flutter characteristics of the CF-18 aircraft. J. Aircr. 1989, 26, 781–786. [Google Scholar] [CrossRef]
- Lee, I.; Kim, S.H. Aeroelastic analysis of a flexible control surface with structural nonlinearity. J. Aircr. 1995, 32, 868–874. [Google Scholar] [CrossRef]
- Tang, D.; Dowell, E.H.; Virgin, L. Limit cycle behavior of an airfoil with a control surface. J. Fluids Struct. 1998, 12, 839–858. [Google Scholar] [CrossRef]
- Padmanabhan, M.A.; Dowell, E.H. Gust Response Computations with Control Surface Freeplay Using Random Input Describing Functions. AIAA J. 2020, 58, 2899–2908. [Google Scholar] [CrossRef]
- Wayhs-Lopes, L.D.; Dowell, E.H.; Bueno, D.D. Influence of friction and asymmetric freeplay on the limit cycle oscillation in aeroelastic system: An extended Hénon’s technique to temporal integration. J. Fluids Struct. 2020, 96, 103054. [Google Scholar] [CrossRef]
- Iannelli, A.; Lowenberg, M.; Marcos, A. On the effect of model uncertainty on the Hopf bifurcation of aeroelastic systems. Nonlinear Dyn. 2021, 103, 1453–1473. [Google Scholar] [CrossRef]
- Wang, X.; Wu, Z.; Yang, C. Integration of Freeplay-Induced Limit Cycles Based On a State Space Iterating Scheme. Appl. Sci. 2021, 11, 741. [Google Scholar] [CrossRef]
- Hénon, M. On the numerical computation of Poincaré maps. Physica D 1982, 5, 412–414. [Google Scholar] [CrossRef]
- Conner, M.D.; Virgin, L.N.; Dowell, E.H. Accurate numerical integration of state-space models for aeroelastic systems with free play. AIAA J. 1996, 34, 2202–2205. [Google Scholar] [CrossRef]
- Dai, H.; Yue, X.; Yuan, J.; Xie, D.; Atluri, S. A comparison of classical Runge-Kutta and Henon’s methods for capturing chaos and chaotic transients in an aeroelastic system with freeplay nonlinearity. Nonlinear Dyn. 2015, 81, 169–188. [Google Scholar] [CrossRef]
- Lee, B.; Price, S.; Wong, Y. Nonlinear aeroelastic analysis of airfoils: Bifurcation and chaos. Prog. Aeronaut. Sci. 1999, 35, 205–334. [Google Scholar] [CrossRef]
- Bueno, D.D.; Wayhs-Lopes, L.D.; Dowell, E.H. Control-Surface Structural Nonlinearities in Aeroelasticity: A State of the Art Review. AIAA J. 2022, 60, 3364–3376. [Google Scholar] [CrossRef]
- Padmanabhan, M.A.; Pasiliao, C.L.; Dowell, E.H. Simulation of Aeroelastic Limit-Cycle Oscillations of Aircraft Wings with Stores. AIAA J. 2014, 52, 2291–2299. [Google Scholar] [CrossRef]
- Padmanabhan, M.A.; Dowell, E.H. Calculation of Aeroelastic Limit Cycles due to Localized Nonlinearity and Static Preload. AIAA J. 2017, 55, 2762–2772. [Google Scholar] [CrossRef]
- Padmanabhan, M.A.; Dowell, E.H.; Pasiliao, C.L. Computational Study of Aeroelastic Limit Cycles due to Localized Structural Nonlinearities. J. Aircr. 2018, 55, 1531–1541. [Google Scholar] [CrossRef]
- Huang, R.; Hu, H.; Zhao, Y. Nonlinear aeroservoelastic analysis of a controlled multiple-actuated-wing model with free-play. J. Fluids Struct. 2013, 42, 245–269. [Google Scholar] [CrossRef]
- Huang, R.; Zhou, X. Parameterized Fictitious Mode of Morphing Wing with Bilinear Hinge Stiffness. AIAA J. 2021, 59, 2641–2656. [Google Scholar] [CrossRef]
- Tang, D.; Dowell, E.H. Aeroelastic Response Induced by Free Play, Part 1: Theory. AIAA J. 2011, 49, 2532–2542. [Google Scholar] [CrossRef]
- Tang, D.; Dowell, E.H. Aeroelastic Response Induced by Free Play, Part 2: Theoretical/Experimental Correlation Analysis. AIAA J. 2011, 49, 2543–2554. [Google Scholar] [CrossRef]
- Yang, N.; Wang, N.; Zhang, X.; Liu, W. Nonlinear flutter wind tunnel test and numerical analysis of folding fins with freeplay nonlinearities. Chin. J. Aeronaut. 2016, 29, 144–159. [Google Scholar] [CrossRef]
- He, H.; Tang, H.; Yu, K.; Li, J.; Yang, N.; Zhang, X. Nonlinear aeroelastic analysis of the folding fin with freeplay under thermal environment. Chin. J. Aeronaut. 2020, 33, 2357–2371. [Google Scholar] [CrossRef]
- Karpel, M.; Raveh, D. Fictitious mass element in structural dynamics. AIAA J. 1996, 34, 607–613. [Google Scholar] [CrossRef]
- Firouz-Abadi, R.; Alavi, S.; Salarieh, H. Analysis of non-linear aeroelastic response of a supersonic thick fin with plunging, pinching and flapping free-plays. J. Fluids Struct. 2013, 40, 163–184. [Google Scholar] [CrossRef]
- Laurenson, R.M.; Trn, R.M. Flutter Analysis of Missile Control Surfaces Containing Structural Nonlinearities. AIAA J. 1980, 18, 1245–1251. [Google Scholar] [CrossRef]
- Breitbach, E.J. Flutter Analysis of an Airplane with Multiple Structural Nonlinearities in the Control System; Technical Report; NASA: Washington, DC, USA, 1980. [Google Scholar]
- Lee, C.L. An iterative procedure for nonlinear flutter analysis. AIAA J. 1986, 24, 833–840. [Google Scholar] [CrossRef]
- Seo, Y.J.; Lee, S.J.; Bae, J.S.; Lee, I. Effects of multiple structural nonlinearities on limit cycle oscillation of missile control fin. J. Fluids Struct. 2011, 27, 623–635. [Google Scholar] [CrossRef]
- Gladwell, G.M.L. Branch mode analysis of vibrating systems. J. Sound Vib. 1964, 1, 41–59. [Google Scholar] [CrossRef]
- Tian, W.; Yang, Z.; Zhao, T. Nonlinear aeroelastic characteristics of an all-movable fin with freeplay and aerodynamic nonlinearities in hypersonic flow. Int. J. Non-Linear Mech. 2019, 116, 123–139. [Google Scholar] [CrossRef]
- Bai, L.; Wu, Z.; Yang, C. Nonlinear flutter modes and flutter suppression of an all-movable fin with freeplay. J. Beijing Univ. Aeronaut. Astronaut. 2022. (In Chinese) [Google Scholar] [CrossRef]
- Hayes, W.D. On hypersonic similitude. Q. Appl. Math. 1947, 5, 105–106. [Google Scholar] [CrossRef]
- Lighthill, M.J. Oscillating Airfoils at High Mach Number. J. Aeronaut. Sci. 1953, 20, 402–406. [Google Scholar] [CrossRef]
- Liu, D.D.; Yao, Z.X.; Sarhaddi, D.; Chavez, F. From Piston Theory to a Unified Hypersonic-Supersonic Lifting Surface Method. J. Aircr. 1997, 34, 304–312. [Google Scholar] [CrossRef]
- Van Dyke, M.D. A Study of Second-Order Supersonic Flow Theory; Technical Report; NASA: Washington, DC, USA, 1952. [Google Scholar]
- Strang, G. Linear Algebra and Its Applications; Thomson, Brooks/Cole: Belmont, CA, USA, 2006. [Google Scholar]
- Dimitriadis, G. Introduction to Nonlinear Aeroelasticity; John Wiley & Sons: Hoboken, NJ, USA, 2017. [Google Scholar]
- Wolf, A.; Swift, J.B.; Swinney, H.L.; Vastano, J.A. Determining Lyapunov exponents from a time series. Phys. D 1985, 16, 285–317. [Google Scholar] [CrossRef]
- Sprott, J.C. Chaos and Time-Series Analysis; Oxford University Press: Oxford, UK, 2003. [Google Scholar]






















| Parameter | Description | Value |
|---|---|---|
| m | Mass | |
| Mass moment of inertia | ||
| Mass moment of inertia | ||
| Mass moment of inertia | ||
| Bending spring stiffness | ||
| Torsional spring stiffness | ||
| Center-of-gravity position |
| Parameter | Description | Value |
|---|---|---|
| Modal frequency of mode 1 | ||
| Modal frequency of mode 2 | ||
| Flutter velocity | ||
| Flutter dynamic pressure | ||
| Flutter frequency |
Disclaimer/Publisher’s Note: The statements, opinions and data contained in all publications are solely those of the individual author(s) and contributor(s) and not of MDPI and/or the editor(s). MDPI and/or the editor(s) disclaim responsibility for any injury to people or property resulting from any ideas, methods, instructions or products referred to in the content. |
© 2023 by the authors. Licensee MDPI, Basel, Switzerland. This article is an open access article distributed under the terms and conditions of the Creative Commons Attribution (CC BY) license (https://creativecommons.org/licenses/by/4.0/).
Share and Cite
Bai, L.; Wu, Z.; Yang, C. Nonlinear Aeroelastic Characteristics of a Supersonic All-Movable Fin with Single or Multiple Freeplay Nonlinearities. Appl. Sci. 2023, 13, 1262. https://doi.org/10.3390/app13031262
Bai L, Wu Z, Yang C. Nonlinear Aeroelastic Characteristics of a Supersonic All-Movable Fin with Single or Multiple Freeplay Nonlinearities. Applied Sciences. 2023; 13(3):1262. https://doi.org/10.3390/app13031262
Chicago/Turabian StyleBai, Liuyue, Zhigang Wu, and Chao Yang. 2023. "Nonlinear Aeroelastic Characteristics of a Supersonic All-Movable Fin with Single or Multiple Freeplay Nonlinearities" Applied Sciences 13, no. 3: 1262. https://doi.org/10.3390/app13031262
APA StyleBai, L., Wu, Z., & Yang, C. (2023). Nonlinear Aeroelastic Characteristics of a Supersonic All-Movable Fin with Single or Multiple Freeplay Nonlinearities. Applied Sciences, 13(3), 1262. https://doi.org/10.3390/app13031262

