Time-Dependency in the Corrosion Process of Reinforced Concrete Subjected to a Chloride Solution
Abstract
:1. Introduction
2. Reviews for Corrosion Detection Techniques
2.1. Half-Cell Potential
2.2. Galvanostatic Pulse Technique
2.3. Electrochemical Impedance Spectroscopy
3. Experiments
3.1. Experimental Setup
3.2. Testing for Corrosion Measurement
4. Results and Discussion
4.1. Corrosion Potential with Time
4.2. Electrical Parameters in Galvanostatic Pulse Technique
4.3. Responses for Elements in Equivalent Electrical Circuit
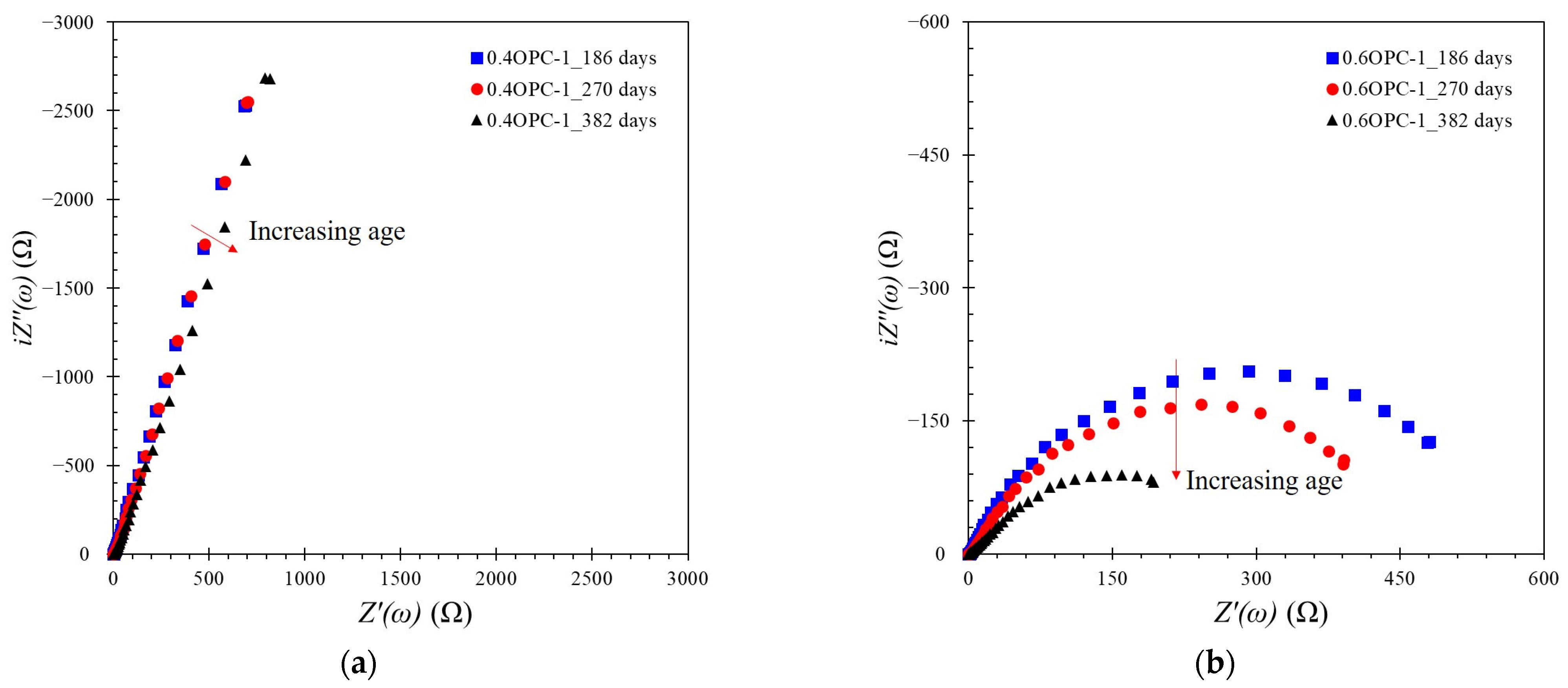
4.4. Electrical Response for Time-Dependency
5. Conclusions
Author Contributions
Funding
Institutional Review Board Statement
Informed Consent Statement
Data Availability Statement
Conflicts of Interest
References
- Taffesea, W.Z.; Sistonen, E. Service life prediction of repaired structures using concrete recasting method: State-of-the-art. Procedia Eng. 2013, 57, 1138–1144. [Google Scholar] [CrossRef]
- Liu, X.; Niu, D.; Li, X.; Lv, Y.; Fu, Q. Pore solution pH for the corrosion initiation of rebars embedded in concrete under a long-term natural carbonation reaction. Appl. Sci. 2018, 8, 128. [Google Scholar] [CrossRef]
- Liu, M.; Cheng, X.; Li, X.; Zhou, C.; Tan, H. Effect of carbonation on the electrochemical behavior of corrosion resistance low alloy steel rebars in cement extract solution. Constr. Build. Mater. 2017, 130, 193–201. [Google Scholar] [CrossRef]
- Jasniok, M.; Jasniok, T. Corrosion Diagnostics Performed on Cores Drilled from Concrete Structures, Using the Laboratory Simulation of Temperature and Relative Humidity Impact. Appl. Sci. 2022, 12, 7134. [Google Scholar] [CrossRef]
- Elsener, B. Half-cell potential measurements—Potential mapping on reinforced concrete structures. Mater. Struct. 2003, 36, 461–471. [Google Scholar] [CrossRef]
- Elsener, B. Macrocell corrosion of steel in concrete–Implications for corrosion monitoring. Cem. Conc. Comps. 2002, 24, 65–72. [Google Scholar] [CrossRef]
- Park, S.-M.; Yoo, J.-S. Peer reviewed: Electrochemical impedance spectroscopy for better electrochemical measurements. Anal. Chem. 2003, 75, 455–461. [Google Scholar] [CrossRef]
- Montemor, M.; Simões, A.M.; Ferreira, M.G. Chloride-induced corrosion on reinforcing steel: From the fundamentals to the monitoring techniques. Cem Concr. Compos. 2003, 25, 491–502. [Google Scholar] [CrossRef]
- Frølund, T.; Klinghoffer, O.; Sørensen, H.E. Pros and Cons of half-cell potentials and corrosion rate measurements. In Proceedings of the 10th International Conference and Exhibition–Structural Faults Repair Conference, London, UK, 1–3 July 2003. [Google Scholar]
- Bouteiller, V.; Cremona, C.; Baroghel-Bouny, V.; Maloula, A. Corrosion initiation of reinforced concretes based on Portland or GGBS cements: Chloride contents and electrochemical characterizations versus time. Cem. Concr. Res. 2012, 42, 1456–1467. [Google Scholar] [CrossRef]
- ASTM C876-15; Standard Test Method for Corrosion Potentials of UncoSated Reinforcing Steel in Concrete. ASTM: West Conshohocken, PA, USA, 2015.
- Elsener, B. Corrosion rate of steel in concrete—Measurements beyond the Tafel law. Corros. Sci. 2005, 47, 3019–3033. [Google Scholar] [CrossRef]
- Birbilis, N.; Nairn, K.M.; Forsyth, M. On the electrochemical response and interfacial properties of steel-Ca(OH)2 and the steel-concrete system measured using galvanostatic pulses. Electrochim. Acta 2004, 49, 4331–4339. [Google Scholar] [CrossRef]
- Sagüés, A.A.; Kranc, S.C.; Moreno, E.I. The time-domain response of a corroding system with constant phase angle interfacial component: Application to steel in concrete. Corros. Sci. 1995, 37, 1097–1113. [Google Scholar] [CrossRef]
- Birbilis, N.; Nairn, K.M.; Forsyth, M. Transient response analysis of steel in concrete. Corros. Sci. 2003, 45, 1895–1902. [Google Scholar] [CrossRef]
- Song, H.; Saraswathy, V. Corrosion Monitoring of Reinforced Concrete Structures—A Review. Int. J. Electrochem. Sci. 2007, 2, 1–28. [Google Scholar] [CrossRef]
- Christodoulou, C.; Goodier, C.I.; Austin, S.A.; Webb, J.; Glass, G. On-site transient analysis for the corrosion assessment of reinforced concrete. Corros. Sci. 2012, 62, 176–183. [Google Scholar] [CrossRef]
- Nam, K.M.; Shin, D.H.; Jung, N.; Joo, M.G.; Jeon, S.; Park, S.M. Development of galvanostatic Fourier transform electrochemical impedance spectroscopy. Anal. Chem. 2013, 85, 2246–2252. [Google Scholar] [CrossRef]
- Nygaard, P.V.; Geiker, M.R.; Elsener, B. Corrosion rate of steel in concrete: Evaluation of confinement techniques for on-site corrosion rate measurements. Mater. Struct. 2009, 42, 1059–1076. [Google Scholar] [CrossRef]
- Pereira, E.V.; Salta, M.M.; Fonseca, I.T.E. On the measurement of the polarisation resistance of reinforcing steel with embedded sensors: A comparative study. Mater. Corros. 2015, 65, 1029–1038. [Google Scholar] [CrossRef]
- John, D.G.; Searson, P.C.; Dawson, J.L. Use of AC impedance technique in studies on steel in concrete in immersed conditions. Br. Corros. J. 1981, 16, 102–106. [Google Scholar] [CrossRef]
- BS EN 197-1:2000; Cement—Part 1: Composition, Specifications and Conformity Criteria for Common Cements. BSI: London, UK, 2000.
- González, J.A.; Andrade, C. Effect of Carbonation, Chlorides and Relative Ambient Humidity on the Corrosion of Galvanized Rebars Embedded in Concrete. Br. Corros. J. 1982, 17, 21–28. [Google Scholar] [CrossRef]
- Morris, W.; Vico, A.; Vazquez, M.; De Sanchez, S.R. Corrosion of reinforcing steel evaluated by means of concrete resistivity measurements. Corros. Sci. 2002, 44, 81–99. [Google Scholar] [CrossRef]
- Angst, U.M.; Elsener, B.; Larsen, C.K.; Vennesland, Ø. Chloride-induced reinforcement corrosion: Electrochemical monitoring of initiation stage and chloride threshold values. Corros. Sci. 2011, 53, 1451–1464. [Google Scholar] [CrossRef]
- Reou, J.S.; Ann, K.Y. Electrochemical assessment on the corrosion risk of steel embedment in OPC concrete depending on the corrosion detection techniques. Mater. Chem. Phys. 2009, 113, 78–84. [Google Scholar] [CrossRef]
- Dehghanian, C. Study of surface irregularity on corrosion of steel in alkaline media. Cem. Concr. Res. 2003, 33, 1963–1966. [Google Scholar] [CrossRef]
- Flis, J.; Pickering, H.W.; Osseo-Asare, K. Interpretation of impedance data for reinforcing steel in alkaline solution containing chlorides and acetates. Electrochim. Acta 1998, 43, 1921–1928. [Google Scholar] [CrossRef]
- Sánchez, M.; Gregori, J.; Alonso, M.C.; García-Jareño, J.J.; Vicente, F. Anodic growth of passive layers on steel rebars in an alkaline medium simulating the concrete pores. Electrochim. Acta 2006, 52, 47–53. [Google Scholar] [CrossRef]
- Chen, D.; Yen, M.; Lin, P.; Groff, S.; Lampo, R.; McInerney, M.; Ryan, J. A corrosion sensor for monitoring the early-stage environmental corrosion of A36 carbon steel. Materials 2014, 7, 5746–5760. [Google Scholar] [CrossRef]
- Glass, G.K. An assessment of the coulostatic method applied to the corrosion of steel in concrete. Corros. Sci. 1995, 37, 597–605. [Google Scholar] [CrossRef]
- González, J.A.; Cobo, A.; González, M.N.; Feliu, S. On-site determination of corrosion rate in reinforced concrete structures by use of galvanostatic pulses. Corros. Sci. 2001, 43, 611–625. [Google Scholar] [CrossRef]
- Birbilis, N.; Holloway, L.J. Use of the time constant to detect corrosion speed in reinforced concrete structures. Cem. Concr. Compos. 2007, 29, 330–336. [Google Scholar] [CrossRef]
- Kim, J.; Park, K.-T.; Kwon, T.H. Influencing Factors of Steel States in Concrete Based on Electrochemical Impedance Spectroscopic Measurements. Appl. Sci. 2022, 12, 611. [Google Scholar] [CrossRef]
- McCarter, W.J.; Taha, H.M.; Suryanto, B.; Starrs, G. Two-point concrete resistivity measurements: Interfacial phenomena at the electrode–concrete contact zone. Meas. Sci. Technol. 2015, 26, 085007. [Google Scholar] [CrossRef]
- Koleva, D.A.; Hu, J.; Fraaij, A.L.A.; Stroeven, P.; Boshkov, N.; De Wit, J.H.W. Quantitative characterisation of steel/cement paste interface microstructure and corrosion phenomena in mortars suffering from chloride attack. Corros. Sci. 2006, 48, 4001–4019. [Google Scholar] [CrossRef]
- Zoltowski, P. On the electrical capacitance of interfaces exhibiting constant phase element behaviour. J. Electroanal. Chem. 1998, 443, 149–154. [Google Scholar] [CrossRef]
- Jorcin, J.-B.; Orazem, M.E.; Ere, N.; Tribollet, B. CPE analysis by local electrochemical impedance spectroscopy. Electrochim. Acta 2006, 51, 1473–1479. [Google Scholar] [CrossRef]
- Dhouibi, L.; Triki, E.; Raharinaivo, A. The application of electrochemical impedance spectroscopy to determine the long-term effectiveness of corrosion inhibitors for steel in concrete. Cem. Concr. Compos. 2002, 24, 35–43. [Google Scholar] [CrossRef]
- Tang, F.; Chen, G.; Brow, R.K. Chloride-induced corrosion mechanism and rate of enamel- and epoxy-coated deformed steel bars embedded in mortar. Cem. Concr. Res. 2016, 82, 58–73. [Google Scholar] [CrossRef]
- Andrade, C.; Alonso, C. Test methods for on-site corrosion rate measurement of steel reinforcement in concrete by means of the polarization resistance method. Mater. Struct. 2004, 37, 623–643. [Google Scholar] [CrossRef]
- Videm, K. Electrochemical studies of steel in cement mortar containing chloride and micro-silica. Corros. Sci. 2007, 49, 1702–1717. [Google Scholar] [CrossRef]
- Andrade, C.; Soler, L.; Alonso, C.; Nbvoa, X.R.; Keddamt, M. The importance of geometrical consideration in the measurement of steel corrosion in concrete by means of AC impedance. Corros. Sci. 1995, 37, 2013–2023. [Google Scholar] [CrossRef]













| Open Circuit Potential (mV vs. CSE) | Corrosion Condition |
|---|---|
| <−500 | Severe corrosion |
| <−350 | High (<90% risk of corrosion) |
| −350 to −200 | Intermediate corrosion risk |
| >−200 | Low (10% risk of corrosion) |
| Type of Cement | W/C * | Cement Content (kg/m3) | Aggregate (kg/m3) | Sand (kg/m3) | Compressive Strength (MPa) | |
|---|---|---|---|---|---|---|
| F28 | F180 | |||||
| CEM I 52.5N | 0.4 | 460 | 1012 | 650 | 65.32 (7.62) ** | 84.23 (2.20) ** |
| 0.6 | 300 | 1100 | 707 | 38.34 (1.19) ** | 46.99 (1.35) ** | |
Disclaimer/Publisher’s Note: The statements, opinions and data contained in all publications are solely those of the individual author(s) and contributor(s) and not of MDPI and/or the editor(s). MDPI and/or the editor(s) disclaim responsibility for any injury to people or property resulting from any ideas, methods, instructions or products referred to in the content. |
© 2023 by the authors. Licensee MDPI, Basel, Switzerland. This article is an open access article distributed under the terms and conditions of the Creative Commons Attribution (CC BY) license (https://creativecommons.org/licenses/by/4.0/).
Share and Cite
Park, S.; Seo, D.-W.; Kim, J. Time-Dependency in the Corrosion Process of Reinforced Concrete Subjected to a Chloride Solution. Appl. Sci. 2023, 13, 12363. https://doi.org/10.3390/app132212363
Park S, Seo D-W, Kim J. Time-Dependency in the Corrosion Process of Reinforced Concrete Subjected to a Chloride Solution. Applied Sciences. 2023; 13(22):12363. https://doi.org/10.3390/app132212363
Chicago/Turabian StylePark, Sangki, Dong-Woo Seo, and Jaehwan Kim. 2023. "Time-Dependency in the Corrosion Process of Reinforced Concrete Subjected to a Chloride Solution" Applied Sciences 13, no. 22: 12363. https://doi.org/10.3390/app132212363
APA StylePark, S., Seo, D.-W., & Kim, J. (2023). Time-Dependency in the Corrosion Process of Reinforced Concrete Subjected to a Chloride Solution. Applied Sciences, 13(22), 12363. https://doi.org/10.3390/app132212363

