The Influence of Slicing Thickness on the Perpendicular to Grain Tensile Properties of Oak (Quercus robur L. and Quercus petraea L.) Lamellae
Abstract
:1. Introduction
2. Materials and Methods
2.1. Materials
2.2. Methodology
2.2.1. Mechanical Tensile Tests
2.2.2. Statistical Analysis
2.2.3. Digital Image Correlation Investigation
3. Results and Discussion
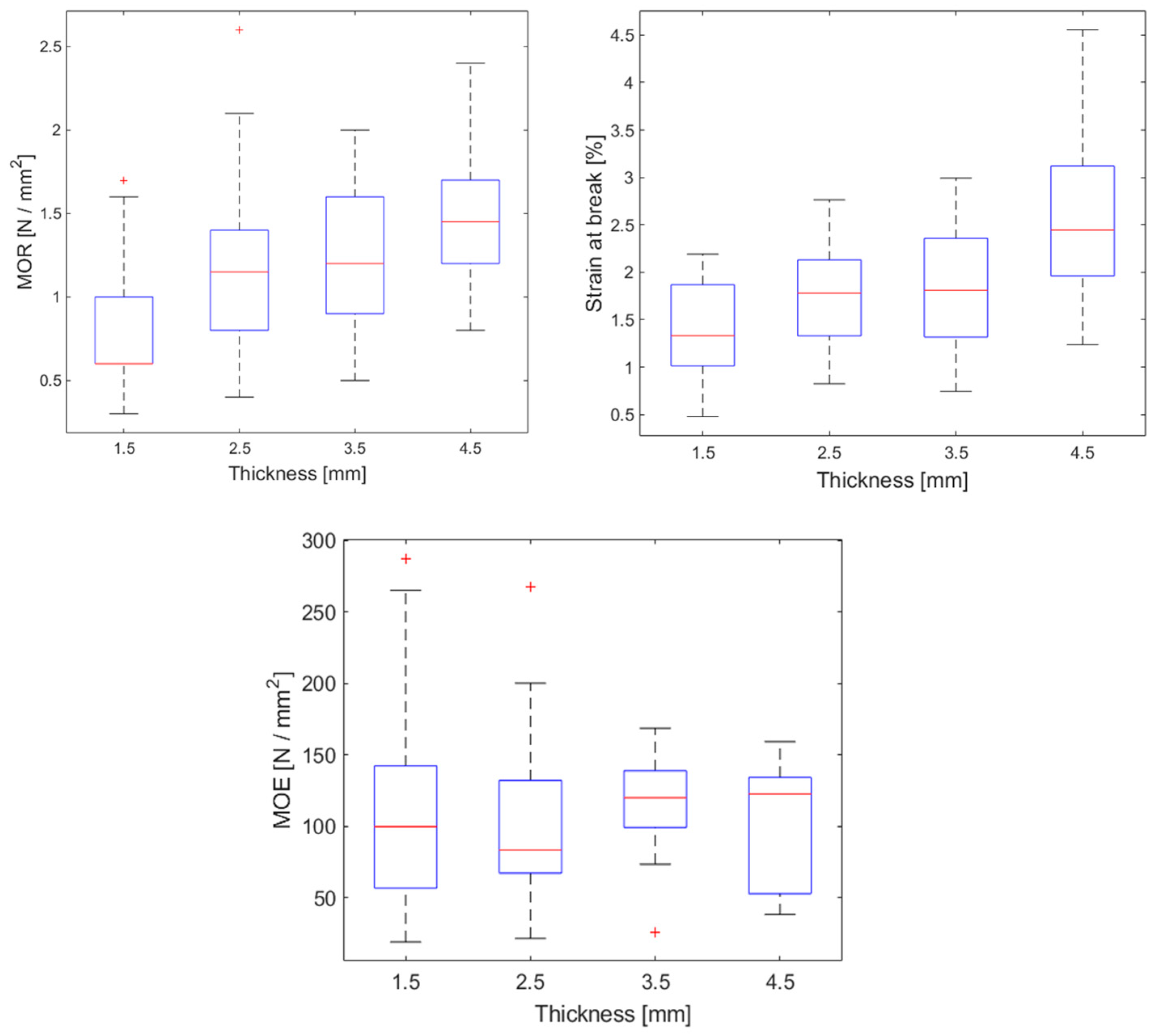
3.1. Mechanical Properties
3.2. Slicing Check Characteristics
3.3. DIC Analysis
4. Conclusions
Author Contributions
Funding
Data Availability Statement
Conflicts of Interest
References
- Niemz, P.; Teischinger, A.; Sandberg, D. Springer Handbook of Wood Science and Technology; Springer International Publishing AG: Cham, Switzerland, 2023. [Google Scholar]
- Vasileva, R. LVL is Unlocking the ‘Timber Age’. 2019. Available online: https://www.raute.com/blog/industry-insights/lvl-is-unlocking-the-timber-age/ (accessed on 21 September 2023).
- FEP. FEP 2020 Statistics; FEP General Assembly: Trenton, NJ, USA, 2021. [Google Scholar]
- Lutz, J.F. Wood veneer: Log selection, cutting, and drying. In Technical Bulletin No.1577; USDA Forest Products Laboratory: Madison, WI, USA, 1977. [Google Scholar]
- Marchal, R.; Mothe, F.; Denaud, L.E.; Thibaut, B.; Bleron, L. Cutting forces in wood machining—Basics and applications in industrial processes. A review COST Action E35 2004-2008: Wood machining—Micromechanics and fracture. Holzforschung 2009, 63, 157–167. [Google Scholar]
- Pfriem, A.; Buchelt, B. Influence of the slicing technique on mechanical properties of the produced veneer. Eur. J. Wood Prod. 2011, 69, 93–99. [Google Scholar] [CrossRef]
- Rohumaa, A.; Hunt, C.G.; Hughes, M.; Frihart, C.R.; Logren, J. The influence of lathe check depth and orientation on the bond quality of phenol-formaldehyde—Bonded birch plywood. Holzforschung 2013, 67, 779–786. [Google Scholar] [CrossRef]
- DeVallance, D.B.; Funck, J.W.; Reeb, J.E. Douglas-fir plywood gluebond quality as influenced by veneer roughness, lathe checks, and annual ring characteristics. For. Prod. J. 2007, 57, 21–28. [Google Scholar]
- Purba, C.Y.C.; Pot, G.; Viguier, J.; Ruelle, J.; Denaud, L. The influence of veneer thickness and knot proportion on the mechanical properties of laminated veneer lumber (LVL) made from secondary quality hardwood. Eur. J. Wood Prod. 2019, 77, 393–404. [Google Scholar] [CrossRef]
- Pałubicki, B.; Marchal, R.; Butaud, J.-C.; Denaud, L.-E.; Bléron, L.; Collet, R.; Kowaluk, G. A Method of Lathe Checks Measurement; SMOF device and its software. Eur. J. Wood Prod. 2010, 68, 151–159. [Google Scholar] [CrossRef]
- Denaud, L.; Bléron, L.; Ratle, A.; Marchal, R. Online control of wood peeling process: Acoustical and vibratory measurements of lathe checks frequency. Ann. For. Sci. 2007, 64, 569–575. [Google Scholar] [CrossRef]
- Antikainen, T.; Eskelinen, J.; Rohumaa, A.; Vainio, T.; Hughes, M. Simultaneous measurement of lathe check depth and the grain angle of birch (Betula pendula Roth) veneers using laser trans-illumination imaging. Wood Sci. Technol. 2015, 49, 591–605. [Google Scholar] [CrossRef]
- Dupleix, A.; Denaud, L.-E.; Bleron, L.; Marchal, R.; Hughes, M. The effect of log heating temperature on the peeling process and veneer quality: Beech, birch, and spruce case studies. Eur. J. Wood Prod. 2013, 71, 163–171. [Google Scholar] [CrossRef]
- Rohumaa, A.; Viguier, J.; Girardon, S.; Krebs, M.; Denaud, L. Lathe check development and properties: Effect of log soaking temperature, compression rate, cutting radius and cutting speed during peeling process of European beech (Fagus sylvatica L.) veneer. Eur. J. Wood Prod. 2018, 76, 1653–1661. [Google Scholar] [CrossRef]
- Schramm, A. A Complete Guide to Hardwood Plywood and Face Veneer; Purdue University Press: West Lafayette, IN, USA, 2003. [Google Scholar]
- Cassens, D.; Leng, Y.L.; McCabe, G. Face check development in veneered furniture panels. For. Prod. J. 2003, 53, 79–86. [Google Scholar]
- Buchelt, B.; Wagenführ, A.; Dietzel, A.; Raßbach, H. Quantification of cracks and cross-section weakening in sliced veneers. Eur. J. Wood Prod. 2018, 76, 381–384. [Google Scholar] [CrossRef]
- Grubii, V.; Johansson, J. An image processing algorithm for detection and analysis of slicing checks. Eur. J. Wood Wood Prod. 2021, 79, 999–1006. [Google Scholar] [CrossRef]
- Leavengood, S.; Funck, J.W.; Reeb, J.E. A note on face veneer checking in maple plywood. Int. Wood Prod. J. 2011, 2, 120–123. [Google Scholar] [CrossRef]
- Burnard, M.; Leavengood, S.; Muszyński, L.; Ganio, L. Investigating face veneer check development in decorative plywood panels: The impact of four common manufacturing factors. Eur. J. Wood Prod. 2019, 77, 961–979. [Google Scholar] [CrossRef]
- Christiansen, A.W.; Knaebe, M. Diagnostic Guide for Evaluating Surface Distortions in Veneered Furniture and Cabinetry; General Technical Report FPL-GTR-143; US Forest Service, Forest Products Laboratory: Madison, WI, USA, 2004. [Google Scholar]
- Grubîi, V.; Johansson, J. Performance of multi-layered wood flooring elements produced with sliced and sawn lamellas. Pro Ligno 2019, 15, 166–172. [Google Scholar]
- Pramreiter, M.; Stadlmann, A.; Huber, C.; Konnerth, J.; Halbauer, P.; Baumann, G.; Müller, U. The Influence of Thickness on the Tensile Strength of Finnish Birch Veneers under Varying Load Angles. Forests 2021, 12, 87. [Google Scholar] [CrossRef]
- Kang, H.-Y.; Muszynski; Milota, M.R.; Kang, C.-W.; Matsumura, J. Preliminary tests for optically measuring drying strains and check formation in wood. J. Fac. Agric. Kyushu Univ. 2011, 56, 313–316. [Google Scholar]
- van Blokland, J.; Olsson, A.; Oscarsson, J.; Daniel, G.; Adamopoulos, S. Crack formation, strain distribution and fracture surfaces around knots in thermally modified timber loaded in static bending. Wood Sci. Technol. 2020, 54, 1001–1028. [Google Scholar] [CrossRef]
- Ljungdahl, J.; Berglund, L.A.; Burman, M. Transverse anisotropy of compressive failure in European oak—A digital speckle photography study. Holzforschung 2006, 60, 190–195. [Google Scholar] [CrossRef]
- Fernández Zúñiga, E.; García Esteban, L.; García Fernández, F.; de Palacios, P.; García-Iruela, A.; García, I.; Lozano, M.; Fernández-Canteli, A. Applying Digital Image Correlation (DIC) Techniques to Characterise Plywood According to UNE-EN 314 Standards: Bonding Quality Tests. Forests 2022, 13, 2135. [Google Scholar] [CrossRef]
- Peng, M.; Ho, Y.-C.; Wang, W.-C.; Chui, Y.H.; Gong, M. Measurement of wood shrinkage in jack pine using three dimensional digital image correlation (DIC). Holzforschung 2012, 66, 639–643. [Google Scholar] [CrossRef]
- Burnard, M.D.; Muszyński, L.; Leavengood, S.; Ganio, L. An optical method for rapid examination of check development in decorative plywood panels. Eur. J. Wood Prod. 2018, 76, 1367–1377. [Google Scholar] [CrossRef]
- Grubîi, V.; Johansson, J.; Dagbro, O. Measurement of surface-checking in sliced lamellae-based engineered wood flooring using digital image correlation. Eur. J. Wood Wood Prod. 2023, 81, 1427–1436. [Google Scholar] [CrossRef]
- DIN 52188; Bestimmung der Zugfestigkeit Parallel zur Faser. Dtsch. Inst. für Norm.: Berlin, Germany, 1979.
- Okamoto, S.; Akiyama, N.; Nakamura, N.; Aoki, K.; Inayama, M. Estimation of the perpendicular-to-the-grain tensile strength of Scots pine glued laminated timber via three-point bending tests. J. Wood Sci. 2021, 67, 33. [Google Scholar] [CrossRef]
- MTS Systems Corporation. Detailed Technical Specifications—Comparative. 2023. Available online: https://www.mts.com/en/products/materials/static-materials-test-systems/exceed-electromechanical (accessed on 12 September 2023).
- MTS Systems Corporation. MTS TestSuiteTM TW Software; Version 4.3.1.375; MTS Systems Corporation: Technology Drive: Eden Prairie, MN, USA, 2023. [Google Scholar]
- Witte, R.S.; Witte, J.S. Statistics; J. Wiley & Sons Hoboken, NJ: Hoboken, NJ, USA, 2010. [Google Scholar]
- Sutton, M.A.; Schreier, H.; Orteu, J.-J. Image Correlation for Shape, Motion and Deformation Measurements: Basic Concepts, Theory and Applications; Springer: New York, NY, USA, 2009. [Google Scholar]
- International Digital Image Correlation Society. A Good Practices Guide for Digital Image Correlation; Jones, E.M.C., Iadicola, M.A., Eds.; International Digital Image Correlation Society: Washington, DC, USA, 2018. [Google Scholar]
- Yang, J.; Bhattacharya, K. Augmented Lagrangian Digital Image Correlation. Exp. Mech. 2019, 59, 187–205. [Google Scholar] [CrossRef]
- Yang, J. Augmented Lagrangian Digital Image Correlation (2D_ALDIC); CaltechDATA: London, UK, 2020. [Google Scholar]
- Savill, P.S. Anatomical characters in the wood of oak (Quercus-robur L and Q-Petraea Liebl) which predispose trees to shake. Commonw. For. Rev. 1986, 65, 109–116. [Google Scholar]
- Boatright, S.W.J.; Garrett, G.G. The Effect of Microstructure and Stress State on the Fracture-Behavior of Wood. J. Mater. Sci. 1983, 18, 2181–2199. [Google Scholar] [CrossRef]
- Blumer, S.; Niemz, P.; Serrano, E.; Gustafsson, P.J. Moisture induced stresses and deformations in parquet floors: An experimental and numerical study. Wood Res. 2009, 54, 89–101. [Google Scholar]
- Wang, H.H.; Youngs, R.L. Drying stress and check development in the wood of two oaks. Iawa J. 1996, 17, 15–30. [Google Scholar] [CrossRef]





| Thickness (mm) | No. Samples | Mean | Coeff. of Variation (%) | Standard Error | C.I. 95% of the Mean | 2-Way ANOVA p-Value | p-Value ANOVA Contrasts Thickness (mm) | ||||
|---|---|---|---|---|---|---|---|---|---|---|---|
| 1.5 | 2.5 | 3.5 | 4.5 | ||||||||
| MOR (N mm−2) | |||||||||||
| 1.5 | 30 | 0.80 | 47.88 | 0.07 | 0.66 | 0.95 | 8.4 × 10−7 * | NA | 8.6 × 10−3 * | 3.4 × 10−4 * | 3.9 × 10−7 * |
| 2.5 | 1.16 | 43.33 | 0.09 | 0.98 | 1.35 | 8.6 × 10−3 * | NA | 0.8 | 0.058 | ||
| 3.5 | 1.26 | 33.49 | 0.08 | 1.11 | 1.42 | 3.4 × 10−4 * | 0.8 | NA | 0.35 | ||
| 4.5 | 1.43 | 28.33 | 0.08 | 1.28 | 1.59 | 3.9 × 10−7 * | 0.058 | 0.35 | NA | ||
| Strain at break (%) | |||||||||||
| 1.5 | 30 | 1.37 | 36.33 | 0.09 | 1.18 | 1.56 | 1.6 × 10−10 * | NA | 0.054 | 0.035 * | 5.4 × 10−11 * |
| 2.5 | 1.79 | 32.57 | 0.11 | 1.57 | 2.01 | 0.054 | NA | 0.99 | 1.17 × 10−5 * | ||
| 3.5 | 1.82 | 34.41 | 0.11 | 1.58 | 2.05 | 0.03 * | 0.99 | NA | 2.4 × 10−5 | ||
| 4.5 | 2.64 | 29.50 | 0.14 | 2.34 | 2.93 | 5.4 × 10−11 * | 1.17 × 10−5 * | 2.4 × 10−5 * | NA | ||
| MOE (N mm−2) | |||||||||||
| 1.5 | 30 | 110.7 | 62.03 | 12.5 | 85.0 | 136.3 | 0.56 | NA | 0.99 | 0.99 | 0.55 |
| 2.5 | 100.5 | 55.06 | 10.1 | 79.8 | 121.1 | 0.99 | NA | 0.99 | 0.47 | ||
| 3.5 | 118.1 | 26.38 | 5.7 | 106.5 | 129.7 | 0.99 | 0.99 | NA | 0.61 | ||
| 4.5 | 104.5 | 39.38 | 7.6 | 88.8 | 120.1 | 0.55 | 0.47 | 0.61 | NA | ||
Disclaimer/Publisher’s Note: The statements, opinions and data contained in all publications are solely those of the individual author(s) and contributor(s) and not of MDPI and/or the editor(s). MDPI and/or the editor(s) disclaim responsibility for any injury to people or property resulting from any ideas, methods, instructions or products referred to in the content. |
© 2023 by the authors. Licensee MDPI, Basel, Switzerland. This article is an open access article distributed under the terms and conditions of the Creative Commons Attribution (CC BY) license (https://creativecommons.org/licenses/by/4.0/).
Share and Cite
Grubîi, V.; Johansson, J. The Influence of Slicing Thickness on the Perpendicular to Grain Tensile Properties of Oak (Quercus robur L. and Quercus petraea L.) Lamellae. Appl. Sci. 2023, 13, 12254. https://doi.org/10.3390/app132212254
Grubîi V, Johansson J. The Influence of Slicing Thickness on the Perpendicular to Grain Tensile Properties of Oak (Quercus robur L. and Quercus petraea L.) Lamellae. Applied Sciences. 2023; 13(22):12254. https://doi.org/10.3390/app132212254
Chicago/Turabian StyleGrubîi, Victor, and Jimmy Johansson. 2023. "The Influence of Slicing Thickness on the Perpendicular to Grain Tensile Properties of Oak (Quercus robur L. and Quercus petraea L.) Lamellae" Applied Sciences 13, no. 22: 12254. https://doi.org/10.3390/app132212254
APA StyleGrubîi, V., & Johansson, J. (2023). The Influence of Slicing Thickness on the Perpendicular to Grain Tensile Properties of Oak (Quercus robur L. and Quercus petraea L.) Lamellae. Applied Sciences, 13(22), 12254. https://doi.org/10.3390/app132212254

