Next Article in Journal
A Visual Fault Detection Algorithm of Substation Equipment Based on Improved YOLOv5
Previous Article in Journal
Leaving the Business Security Burden to LiSEA: A Low-Intervention Security Embedding Architecture for Business APIs
 
 
Font Type:
Arial Georgia Verdana
Font Size:
Aa Aa Aa
Line Spacing:
Column Width:
Background:
Article

Field and Numerical Study of the Bearing Capacity of Pre-Stressed High-Strength Concrete (PHC)-Pipe-Pile-Reinforced Soft Soil Foundations with Tie Beams

1
Key Laboratory of Ministry of Education for Geomechanics and Embankment Engineering, Hohai University, Nanjing 210098, China
2
Institute of Geotechnical Science and Engineering, Hohai University, Nanjing 210098, China
3
Institute of Tunnel and Underground Engineering, Hohai University, Nanjing 210098, China
*
Author to whom correspondence should be addressed.
Appl. Sci. 2023, 13(21), 11786; https://doi.org/10.3390/app132111786
Submission received: 26 September 2023 / Revised: 14 October 2023 / Accepted: 26 October 2023 / Published: 27 October 2023
(This article belongs to the Section Civil Engineering)

Abstract

:

Featured Application

Landslide-prone road sections pose a continuous challenge in civil engineering and infrastructure development. This study presents an innovative solution—a composite roadbed structure that utilizes PHC pipe piles and tie beams. The findings demonstrate that this approach effectively reduces post-construction settlement and lateral displacement, thereby enhancing roadbed stability. Furthermore, the structure exhibits excellent construction resilience in controlling settlement and preventing sliding. The research holds promise for widespread implementation in landslide-prone areas, allowing engineers to customize roadbed support based on geological conditions and project requirements. The practical insights gained from this study offer valuable guidance for future applications.

Abstract

Pre-stressed high-strength concrete pipe piles (PHC pipe piles) have been widely used in actual soft foundation treatment projects due to their reliable quality, fast construction, assembly line production, and environmental friendliness. However, large-scale slip damage still occurs in construction projects. In order to reduce and avoid such accidents, a highway in Guangdong (section K31+100~K31+388) was taken as an example for this study. Plaxis 2D software (V22.01.00) was used to establish a PHC pipe pile composite roadbed model and investigate the effects of tie beam form, pile lengths, pile spacings, pile verticality, and embankment filling loading modes on the settlement and stability of the composite roadbed. The results show that the original treatment plan, which had the form of a PHC pipe pile with caps, had a low horizontal bearing capacity and a poor anti-disturbance ability, leading to the occurrence of a landslide accident. A comparison of different structural forms revealed that the longitudinal and transverse tie beam form was the most stable, followed by the transverse tie beam form, longitudinal tie beam form, PHC pipe pile form with caps, and PHC pipe pile form without caps. Compared to the structural form of PHC pipe piles with pile caps, the stabilities of the transverse tie beam form and the longitudinal tie beam form were improved by 42.47% and 38.61%, respectively, while that of the longitudinal and transverse tie beam form was improved by 50.87%. The application of longitudinal and transverse tie beams effectively reduced the settlement of the composite roadbed, as confirmed by both measured data and finite element analysis. This structure achieved the desired vertical settlement control and lateral anti-slip effects.

1. Introduction

Pre-stressed high-strength concrete pipe piles (PHC pipe piles) are manufactured using pre-stressing technology and a centrifugal pipe molding process in specialized factories [1,2]. These piles are autoclaved, cured, and then sunk into the ground as the foundations of soft-foundation embankments using either the hammering method or the static compression method [3,4]. The advantages of PHC pipe piles include production in an assembly line, easy control of pile quality, fast construction, the high bearing capacity of a single pile, and environmental friendliness. PHC pipe piles are primarily used for the soft foundation treatments in high-grade highways, particularly for road sections with structural objects, bridge head transition sections, and embankments with high reclamation and thick layers of weak soil. Additionally, they are also suitable for road sections with a tight schedule and general soft foundation conditions [5,6,7,8].
Numerous studies have been conducted on the bearing capacity and load transfer laws of PHC pipe piles [9,10,11]. These studies have included field tests, finite element simulation studies [12,13], predictions of pile bearing capacities [14,15], and construction reliability [16]. Despite these efforts, slip accidents still occur in actual projects, notably in regions like southwestern and southeastern China [5,17], primarily due to insufficient horizontal bearing capacities [18,19]. Common structural forms, such as monopile structural forms without a pile cap and monopile structural forms with a pile cap, provide limited horizontal restraints on composite roadbeds and lack sufficient lateral stability [20,21]. The absence of connections between the piles and the reliance on soil constraints between piles and the bottom of the piles result in a weak overturning resistance. Additionally, different construction influences can contribute to the problem of the insufficient bearing capacity of composite roadbeds.
Relevant scholars have explored the use of an integral structural form consisting of piles and tie beams in various practical projects. These projects include micropiles [22], rotary spray piles, and gated double-row piles [23]. The findings suggest that this form can promote uniform stress and deformation throughout the skidding-resistant system, while enhancing the overall stiffness and horizontal bearing capacity of the structures. Low et al. [24] conducted model tests and a theoretical analysis, revealing that combining pile cap beams with geotextiles can mitigate uneven settlement issues in embankments supported by piles with individual square pile caps. Ye et al. [25] introduced a new composite structural form for pile caps with beams in practical engineering. This form incorporates multiple cross-floor beams connecting traditional pile caps (refer to Figure 1). Field monitoring demonstrated significant reductions of 57.1% in the lateral displacement of the roadbed, 44.8% in the total settlement between the piles and the surrounding soil, and 79.9% in the differential settlement. However, there is limited literature on the structural form and engineering applications of PHC pipe pile composite roadbeds with tie beams. To minimize the occurrence of such accidents, further research is necessary to investigate the structural form of PHC pipe pile composite roadbeds and their load carrying capacity. This is crucial because sliding damage to composite roadbeds can be sudden and often leads to a ‘domino effect’.
This paper focuses on investigating the impact of various structural forms and construction factors on the load-bearing capacity of PHC pipe pile composite roadbeds. The K31+100~K31+388 section of a highway in Guangdong, China, was studied as the actual engineering background and a composite roadbed model was established using Plaxis 2D finite element software (V22.01.00). In this context, ‘K31+100’ refers to the location 100 m after the 31-kilometer marker, while ‘K31+388’ indicates the point 388 m beyond the same marker. The second part presents the process of constructing the finite element calculation model. The third part analyzes the results of the finite element calculation, taking into account various construction factors such as the pile length, pile spacing, pile verticality, and filling loading method. The fourth part provides a subjective and objective analysis of the causes of the landslide accident. The fifth part includes a finite element analysis of different structural forms and proposes treatment and reinforcement measures for the collapsed section. The findings of this study can be valuable for analyzing and mitigating similar quality problems in the application and treatment of PHC pipe pile composite roadbeds, providing useful references for future research and practice.

2. Finite Element Modeling

2.1. Model Size and Boundary Conditions

This study focuses on the left side of the roadbed in sections K31+100~K31+388 of a highway treated with a PHC pipe pile composite roadbed. The slip of the roadbed is shown in Figure 2. The calculation was based on the background of these sections, and specifically on the representative section K31+295. This specific section was chosen due to its notable features, including a higher fill height and a thicker layer of soft soil. In order to simplify the calculation model and improve efficiency, a semi-symmetric finite element calculation model was established to analyze the plane strain problem. The embankment has a maximum filling height of 6.0 m, a top width of the half embankment of 24.0 m, and a slope ratio of 1:1.5. To eliminate the influence of the model boundary size, the foot of the embankment extends outward by 47.0 m, making the width of the model 80.0 m. The depth of the model was determined based on the ratio of self-gravitational stress to additional stress, which should be more than 10. Therefore, the depth of the model was set to 60.0 m, which is the maximum depth.
The top surface of the model is a free boundary, the bottom boundary constrains the horizontal and vertical displacement, and the left and right boundaries constrain the horizontal displacement. The location of the groundwater level is determined based on the actual conditions, with the head taken from the top surface of the soft soil layer, specifically at −0.5 m as indicated in the ground investigation data. Furthermore, the seepage of groundwater is restricted by the left and right boundaries as well as the bottom boundary of the model.

2.2. Model Parameters

2.2.1. Soil Model and Parameterization

Each soil unit adopts the Mohr–Coulomb model, and soil layers are drainable. To ensure the calculation accuracy, the soil body was simulated using a 15-node triangular unit. The basic physical and mechanical properties of each soil layer were obtained from the engineering ground investigation report of the road section, which provides recommended values for the design parameters of the soil layers. The calculation of the soil layer parameter indicators is presented in Table 1.

2.2.2. Parameters of Pipe Piles and Pile Caps

This study utilizes a two-dimensional calculation model for the finite element calculation. The elastic–plastic model was selected for both the pile cap and the pile body. To simulate the PHC pipe pile, a plate unit representation is employed, converting the actual three-dimensional pile into a two-dimensional equivalent wall based on the principle of equivalent stiffness. The vertical stiffness of the slab–soil composite roadbed remains the same before and after the equivalence. The two-dimensional equivalent slab body is modeled using a six-node triangular unit based on Mindlin’s slab theory [26]. Table 2 and Table 3 present the calculated parameters for the PHC pipe pile and pile cap, respectively, when the diameter of the pile diameter is 0.3 m.
The parameters in the table are calculated as follows.
  • Width of the equivalent plate body.
According to the principle that the area of soil treated by a single pipe pile is equal, the area replacement rate is calculated via Equation (1).
m = d 2 d e 2
According to the principle that the area replacement rates of the pile and plate to soil are the same, the width of the two-dimensional equivalent plate body is calculated by Equation (2).
B = m × S
2.
Axial stiffness and flexural stiffness of the equivalent plate body.
Since the area and elastic modulus of sheet and pile are the same in the composite subgrade per unit area, the vertical compressive stiffness of the composite subgrade before and after equivalence should also be the same. The axial stiffness and flexural stiffness of the plate are defined to obtain the internal force of the pile. The axial stiffness and flexural stiffness of the two-dimensional equivalent plate are calculated by Equations (3) and (4).
E A = E × B × S
E I = E × S × B 3 12
3.
Equivalent plate body bulk weight.
In the computational model, the plates are stacked on a continuum, so the plates overlap the soil. In order to accurately calculate the bulk density of the soil and structure in the finite element model, the bulk density of the plate material should be subtracted from the bulk density of the soil, so the bulk weight of the equivalent plate is calculated by Equation (5).
w = ( γ c o n c r e t e γ s o i l ) × B

2.2.3. Parameters of the Geogrid

Geogrids are only subject to tension and not compression, have no bending stiffness, and are placed within the bedding layer. They can be simulated in Plaxis software (V22.01.00) with specialized geogrid units, each defined by a six-node triangular unit. The geogrid is represented as a flexible elastic unit with a single material property, which is the tensile stiffness, EA. This property is determined using Equation (6).
E A = F ε
Based on the characteristics of the chosen GSL 50/PP geogrid, it can be observed that the elongation at 2% and 5% of the grating tensile force exceeds 17 kN/m and 34 kN/m, respectively. The average value of the tensile stiffness of the geogrid can be determined using Equation (1) as 765 kN/m.

2.3. Simplification of Embankment Loading

The upper loads include embankment fill loads, pavement structural loads, a certain amount of safety reserve loads, etc., and only the embankment fill loads are completed before the project slides. Converting the embankment fill to fill loads once does not take into account the time effect of the composite roadbed under load. The embankment fill soil load will adjust the pile-to-soil load bearing ratio through bedding and pile caps, and it is applied to both the PHC pipe piles and the soil between the piles. Therefore, the calculation takes into account the adjustment of pile/soil load bearing ratio by considering the bedding layer, pile cap, and other factors. The embankment fill is directly converted into load and applied to the PHC pipe piles and the soil between the piles based on different pile/soil load bearing ratios: 5:5, 6:4, 7:3, and 8:2. When the pile spacing is 2.6 m, the pile and inter-pile soil loads for each pile inside and outside the shoulder are shown in Table 4.
The parameters in the table are calculated as follows.
The embankment load within each pile spacing outside the road shoulder is determined by Equation (7).
F o u t s i d e = γ A e S
The embankment load within each pile spacing within the curb is determined by Equation (8).
F i n s i d e = γ h S 2
where F i n s i d e is the load of the embankment inside the shoulder and h is the filling height.

2.4. Finite Element Analysis Model

Through the above transformation of the embankment load, the following finite element calculation model can be determined, as shown in Figure 3a. In order to improve the computational accuracy and computational convergence, the mesh division was chosen to be global medium encryption, and the specific mesh division is shown in Figure 3b.

3. Results and Discussion

In the formulation of the PHC pipe pile composite roadbed model, the results of finite element simulation are statistically analyzed and the change rule of settlement deformation and the stability of PHC pipe pile composite roadbeds is revealed.

3.1. Analysis of the Effect of Different Pile Lengths

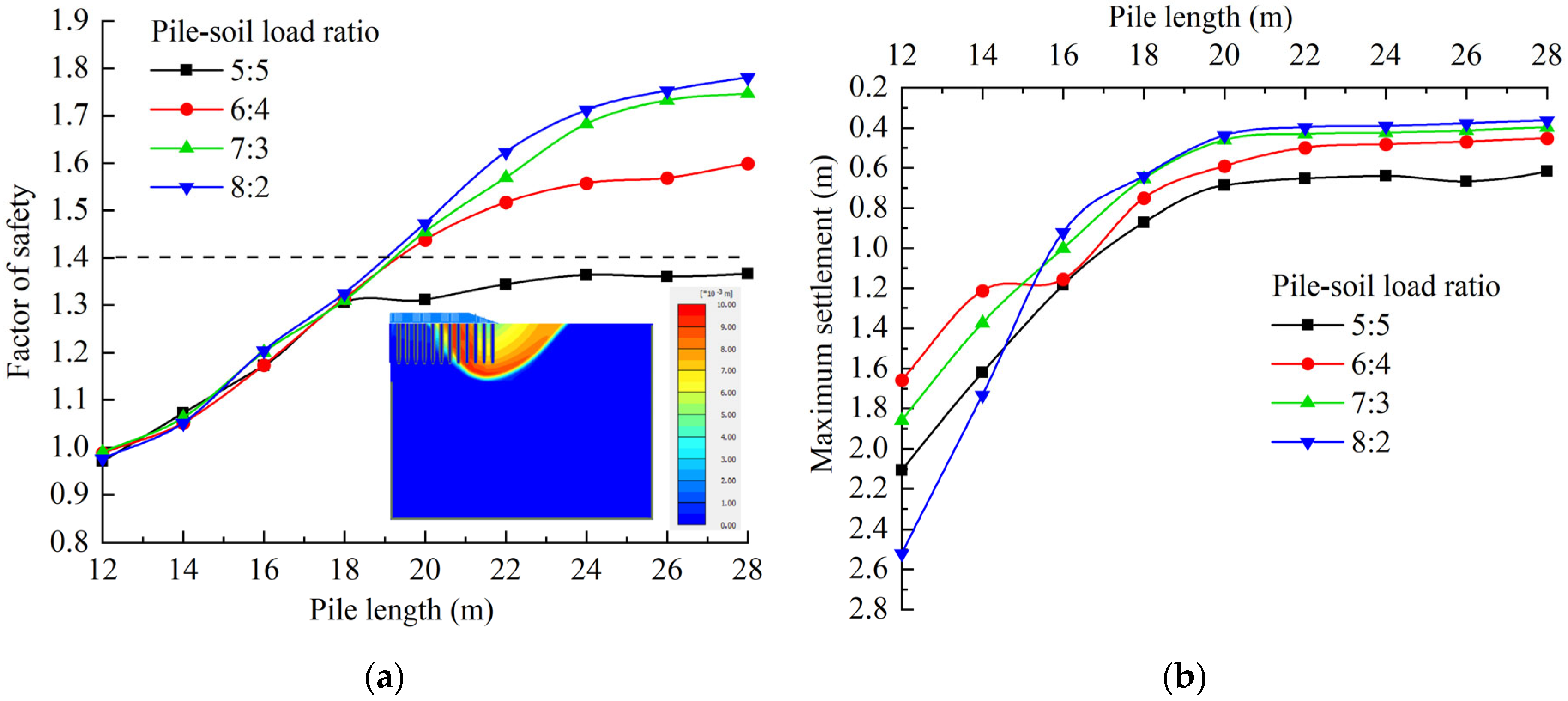
In slope stability analyses, the strength discount theory is applied [27,28]. According to GBT 50783-2012 Technical Specification for Composite Foundations [29], a safety coefficient of 1.4 was used as the control standard for stability requirements. Figure 4 illustrates the impact of varying pile lengths and pile/soil load ratios on the FOS of the composite roadbed with PHC piles at the maximum settlement.
Based on the findings presented in Figure 4, it can be observed that the FOS shows an increasing trend as the pile length increases at a constant pile/soil load ratio. Specifically, when the pile/soil load ratio is 5:5, increasing the pile length from 12 to 18 m results in a 34.39% increase in the FOS. However, when the pile length is further increased from 18 to 28 m, the FOS only increases by 4.6%. On the other hand, for pile/soil load ratios of 6:4, 7:3, or 8:2, the FOS exhibits a linear increase with the pile length from 12 to 22 m. After reaching 24 m, the rate of increase slows down. In the case of a pile/soil load ratio of 5:5, the FOS remains below 1.4 regardless of the variation in pile length from 12 to 28 m. Similarly, for pile/soil load ratios of 6:4, 7:3, and 8:2, the effective pile lengths show minimal differences, typically around 19m. Piles with lengths exceeding 20 m have a FOS greater than 1.4, while those with lengths below the effective length have an FOS smaller than 1.4. Moreover, for a given pile length, the FOS increases linearly with the increase in the pile/soil load from 12 to 22 m. Additionally, the FOS increases with the increase in the pile/soil load ratio, albeit at a decreasing rate. The difference in the FOS between pile/soil load ratios of 7:3 and 8:2 is minimal. When the pile length is 12 m, the composite roadbed becomes visible through the sliding surface, indicating a relatively low strength in the silt layer. However, as the pile length increases to a certain point, no connected sliding surface is formed. This highlights the importance of setting a reasonable pile length, as it effectively limits the development of the plastic zone and prevents the occurrence of thorough plastic damage within the soil body.
When the pile length was increased from 12 to 20 m, the maximum settlement of the composite roadbed decreased by 67.4%, 64.3%, 75.2%, and 88.2% under the pile/soil load ratios of 5:5, 6:4, 7:3, and 8:2, respectively. Furthermore, the settlement gradually stabilized after reaching 20 m. In other words, regardless of how much the pile length increases beyond 20 m, the impact on the composite roadbed’s settlement becomes smaller when the pile/soil load ratio exceeds 6:4. A comparison between two cases—one with the pile not penetrating the soft soil layer (pile length of 12 m) and the other with the pile penetrating the soft soil layer (pile lengths of 18 m, 20 m)—reveals that the settlement of the PHC pipe pile when passing through the soft soil layer and with the pile end placed in the better soil layer is significantly smaller than that of the pile not penetrating the soft soil layer. However, after the pile penetrates the soft soil layer and reaches a depth of 20 m, the impact of further increasing the pile length on reducing the settlement diminishes. When the pile length is short, the influence range of the pile body is limited to the surrounding soil, which limits its strengthening depth. However, as the pile length increases, the soil around the pile becomes more compacted, resulting in an increase in the strengthening depth of the pile. Additionally, the increase in pile length allows the pile and soil to share the load transmitted by the superstructure, effectively increasing the bearing capacity of the foundation. Therefore, the pile length has a more significant effect on the settlement of the PHC pipe pile composite roadbed, enhancing the vertical bearing effect provided by the lateral friction of the pile. A reasonable increase in pile length can improve the roadbed’s bearing capacity.

3.2. Analysis of the Effect of Different Pile Spacing

The effect of variations in pile spacing under different pile/soil load ratios on the FOS and maximum settlement of the composite roadbed is shown in Figure 5.
According to Figure 5, the FOS for a pile spacing of 2.0 m is the largest when the pile/soil load ratio is constant, and it continuously decreases as the pile spacing increases. Similarly, when the pile spacing is constant, a higher pile/earth load ratio results in a larger FOS. For pile spacings increasing from 2.0 to 2.4 m, the FOS for pile/soil load ratios of 5:5, 6:4, and 7:3 decreases only slightly, while the FOS for a pile/soil load ratio of 8:2 decreases by 5.6%. When the pile spacing increases from 2.4 to 4.2 m, the reduction rates in the FOS for pile/soil load ratios of 5:5, 6:4, 7:3, and 8:2 are 25.8%, 29.0%, 22.2%, and 27.2%, respectively. At a pile spacing of 4.2 m, the FOS for all pile/soil load ratios is less than 1.4. The FOS for a pile/soil load ratio of 5:5 is greater than 1.4 only for pile spacings of 2.0 m and 2.4 m, while for pile/soil load ratios of 6:4, 7:3, and 8:2, a pile spacing of up to 3.0 m is required for a FOS greater than 1.4. The effective pile spacings corresponding to pile/soil load ratios of 5:5, 6:4, 7:3, and 8:2 are 2.51 m, 3.15 m, 3.62 m, and 3.75 m, respectively. This indicates that different pile/soil load ratios necessitate different pile spacings for the same pile length. The FOS is below 1.4 for pile spacings below the effective pile spacing, and the effective pile spacing varies significantly for pile/soil load ratios of 5:5, 6:4, 7:3, and 8:2, increasing with the increase in the pile/soil load ratio. For the same pile spacing, the FOS increases with the increase in the pile/soil load ratio, and the change in the FOS after increasing the pile spacing from 2.4 m for pile/soil load ratios of 7:3 and 8:2 is essentially the same.
In the case of pile/soil load ratios of 7:3 and 8:2, the change in pile spacing between 2.0 and 4.2 m has a minimal impact on roadbed settlement. The pattern of change remains consistent, with the settlement of the composite roadbed increasing by 31.27% and 31.66%, respectively, when the spacing is increased from 2.0 to 4.2 m. However, when the pile/soil load ratios are 5:5 and 6:4, the pile spacing significantly affects the roadbed settlement, resulting in an increase of 49.01% and 62.80%, respectively, when the spacing is increased from 2.0 to 4.2 m. Irrespective of the variation in pile spacing within the range of 2.0 to 4.2 m, the settlement of the roadbed decreases as the pile/soil load ratio increases. Only when the pile/soil load ratio is 7:3 or higher, and the pile spacing is 4.2 m, can the roadbed settlement reach a smaller value. Conversely, in the case of pile/soil load ratios of 5:5 and 6:4, the settlement of the roadbed generally increases with the increase in pile spacing. The increase in pile spacing results in a sparser pile layout, leading to a decrease in the rate of area displacement of piles. This directly weakens the horizontal stiffness of the composite roadbed. With the same pile-to-soil load ratio, increasing the pile spacing reduces the number of piles. As a result, when the total load of the piles remains constant, each pile bears a relatively larger load. This decreases the number of piles supporting the upper load per unit area while increasing the load area between piles without changing the overall load. Consequently, the pile-to-soil stress ratio of the composite roadbed gradually increases with the increase in pile spacing. This is because, with a smaller pile spacing, each pile bears a relatively smaller upper load, allowing the bearing capacity of pipe piles to be fully utilized. However, as the pile spacing increases, the adjustment of pile and soil displacement becomes unstable, resulting in a significant change in the pile/soil stress ratio. Therefore, the pile spacing should be set reasonably in PHC pipe pile composite roadbeds for the bearing capacity of the pile and soil between piles to have the best effect.

3.3. Analysis of the Effect of Different Pile Verticality Values

Improper construction techniques, such as pile driving, pre-compression, and excavation, can result in the tilting of PHC pipe piles and lead to new engineering accidents in PHC pipe pile composite roadbeds. In these accidents, the piles typically exhibit a tilt in the same direction which is accompanied by lateral movement under vertical loads, ultimately resulting in lateral instability. Figure 6 illustrates the settlement cloud diagram of a roadbed with varying pile verticality values at a pile/soil load ratio of 7:3. The values in the legend indicate settlement.
As can be seen from Figure 6, the roadbed exhibits different deformation characteristics under vertical loads depending on the verticality of the piles. Within the range of verticality values studied, the maximum settlement deformation consistently increases with the increase in verticality. When the pile is inclined, the deformation of the soil layer under the pile decreases as the inclination angle increases, resulting in a decrease in the reaction support provided. On the other hand, the deformation of the soil layer around the top of the pile increases, leading to an increase in the reaction force perpendicular to the pile. This means that the contribution of the deep soil layer to the bearing capacity of the roadbed decreases, while the contribution of the soil layer around the top of the pile becomes more significant. The inclination angle of the pile has a negative effect on the vertical bearing performance of the foundation, with the maximum deformation of the roadbed occurring gradually in the middle. This results in increasingly noticeable uneven settlements. The overall settlement and deformation of the roadbed move towards the lower left, and the area of soil movement increases with the inclination angle. This movement of the soil can have an adverse effect on the composite roadbed. When a PHC pipe pile composite roadbed with a consistent pile inclination angle is subjected to vertical loads, this inevitably causes lateral movement of the roadbed. If this lateral movement is excessive, it can lead to the destruction of the roadbed. The larger the inclination angle, the greater the pile side displacement and the poorer the lateral stability of the pile side. As a result, the composite roadbed may experience significant settlement and loss of bearing capacity under the action of overlying fill, leading to slip and collapse.

3.4. Analysis of the Effect of Different Embankment Fill Loadings

The effects of half and full width loading filling heights of 0.3 m, 0.6 m, 0.9 m, 1.2 m, and 1.5 m, and construction intervals of 2d, 7d, and 15d on the FOS of the composite roadbed with PHC pipe piles are shown in Figure 7, where 2d, 7d, and 15d indicate the time intervals between two fill constructions. Half and full width loading refers to scenarios where either half or the entire road width is filled, respectively, exploring the impact of loading uniformity on the roadbed response.
From Figure 7, it can be seen that the FOS of the PHC pipe pile composite roadbed decreases continuously as the filling height increases from 0.3 m to 1.5 m with the same interval, both for half-width loading and full-width loading. The FOS under half-width and full-width loading, at intervals of 2d, decreased by 9.35% and 12.50%, respectively. Similarly, at intervals of 7d, the FOS decreased by 8.84% and 11.60%, respectively, and at intervals of 15d, the FOS decreased by 16.34% and 16.38%, respectively. When the loading interval was extended from 2d to 15d, the FOS of the composite roadbed gradually increased, indicating that an increase in filling rate leads to a decrease in the FOS. Therefore, the loading method (half width or full width), loading rate (interval time), and filling height have varying degrees of influence on the stability of PHC pipe pile composite roadbeds. Although a fast construction rate may save cost and time, it can compromise the FOS of the composite roadbed during the construction process. This is because the soil layers of each stratum may not be sufficiently consolidated, resulting in a reduced stability of the composite roadbed. Especially during the rainy season, the intrusion of rainwater can make the composite roadbed heavier and more prone to accidents such as sliding and collapsing.
The settlement rate and consolidation degree of the soft soil layer can be affected by the filling rate. These factors, in turn, impact the strength of the soft soil layer. Therefore, it is crucial to determine a reasonable construction interval in order to enhance the stability and safety of the composite roadbed. A smaller filling rate results in a longer settlement and consolidation time, which effectively compacts the soft soil and improves its strength to some extent. This helps prevent excessive overall settlement of the roadbed, which could affect the slope’s stability. When piling and filling soft soil in a composite roadbed, it is important to consider that the strength of the soft soil layer may not be sufficient to bear excessive loads. Therefore, the initial discharge height should not be too high. As the soft soil layer settles and consolidates over time, its strength improves, allowing for an increase in the subsequent filling height. Considering the actual construction process, construction cost, and other factors, a slower loading rate is not necessarily better for PHC pipe pile composite roadbeds. A single filling height of approximately 0.6~0.9 m is relatively optimal.

4. Analysis of the Causes of Landslides

In the left section of the roadbed from K31+100 to K31+388, the depth of subsidence ranges from 2.0 to 4.6 m. The landslide extends for a length of 172 m, occupying most of the roadbed between the structures at both ends. The landslide body exhibits a low inside and high outside formation, meaning that the subsidence at the shoulder is noticeably smaller than that at the center of the road. Additionally, the farmland at the foot of the left slope of the embankment, approximately 10 m away, experienced compression and a 2 m upward arch. The main cause of the landslide accident was the insufficient bearing capacity of the PHC pipe pile composite roadbed. The investigation, evidence collection, and analysis of the original construction data and process revealed numerous objective and subjective factors contributing to the roadbed’s insufficient bearing capacity in the K31+100~K31+388 section. There are many reasons for the insufficient bearing capacity of the PHC pipe pile composite roadbed, and there are a lot of objective and subjective factors from the investigation of and evidence collection after the collapse of the K31+100~K31+388 section, as well as the original construction data and construction process.

4.1. Analysis of Objective Factors of Roadbed Landslides

The influence of various objective unfavorable factors leading to the occurrence of composite roadbed slip and collapse accidents was analyzed in the following.
  • Geological conditions.
The spatial combination of topography, stratigraphy, lithology, and geological structure constitutes the slope structure of a landslide, and the slope structure determines the boundary and spatial form of the landslide. In the K31+100~K31+388 section of the highway phase II project, the soft foundation is particularly complex due to factors such as topography, geomorphology, and construction environment. The soft soil layer in this section has a low shear strength, a high compression coefficient, a low bearing capacity, and a high compression in the underlayment, which makes the design and construction control of soft foundation treatment challenging. Accurate geological data are essential for the design and construction of the roadbed. However, it is difficult to obtain a clear understanding of the geological conditions in each section, especially in an area where plains and hills meet. Therefore, continuous adjustments and corrections are necessary during the actual construction to minimize potential hazards. Insufficient analysis of geological data and field test results can indirectly impact the anti-disturbance ability of composite roadbed construction. The complexity of the geological conditions poses risks to the project quality and adds to the difficulty of construction control.
  • Limited construction environment.
The construction environment of the K31+100~K31+388 section is challenging due to various uncontrollable factors. Land acquisition difficulties have resulted in the construction of this section being carried out only on the left width, with the right width serving as a construction right-of-way. This half-width construction method has posed challenges in maintaining the integrity of the bedding form and achieving evenness in the composite roadbed treatment. These issues have impacted the overall settlement problem of the section, leading to cracks in the embankment and increased difficulty in implementing waterproofing measures during construction. Additionally, the high rainfall in the area prior to the slide collapse has further compounded the situation, as rainfall infiltration alters the gravity and physical properties of the soil body. Rainwater infiltration also transforms into groundwater, exerting dynamic and hydrostatic pressure on the slip surface [30]. The difficulty in land acquisition also results in a shorter construction period and varying filling thicknesses and loading speeds. These factors not only affect the formation of the composite roadbed bearing system but also influence the amount and speed of pile piercing. Excessive loading rates can lead to increased lateral extrusion displacement of the composite roadbed and a decline in roadbed stability.
Fishponds are widely distributed around the road section, and the poor nature of the stratum is accompanied by differences in geological conditions, which leads to discontinuous changes in the topography and weak horizontal binding force on the top of the PHC pipe piles. Such a localized phenomenon of low safety often occurs in road sections with significant geological variations and is often the origin of landslides. However, it is difficult to avoid such localized variance situations in the design stage.
  • Limitations of roadbed bearing.
From a site perspective, the PHC piles at the center of the road after the slide collapse, such as the fracture occurring at about 2.5~7.5 m, and the settlement of the roadbed against the center of the road were particularly large. The localized sudden shear damage of the soil between the piles at its weakest point resulted in the nearby piles experiencing a load similar to a dynamic load. This load mainly consisted of an approximate horizontal driving force, which caused excessive horizontal thrust. As a result, the pipe piles suffered from large offsets or pile fractures, leading to local instability of the composite roadbed.
Figure 8 shows the load transfer and soil arch effect of the PHC pipe pile composite roadbed.
In the lower part of the slope of the composite roadbed with multiple rows of tubular piles, it is difficult to form a soil arch at the top of the piles, and there is unbalanced horizontal thrust on both sides of the piles. The filling soil in the middle of the roadbed is high and uniform, there is no bias load on the pile top, the load is concentrated on the top of PHC piles, and a soil arch can be formed. The filling load of the embankment side slope is triangularly distributed, and the filling height of the pile top decreases from inside to outside, leading to easy introduction of a bias load from the inside to the outside. A soil arch is not easily formed; it is difficult to concentrate the load on the top of the tubular piles; multiple rows of tubular piles on the outside form a cantilevered structure; the stability of the roadbed of the outer side slope basically relies on the maintenance of the bending capacity of the piles; and the sliding surface of the roadbed is located on the outer sides of the second and the third rows of piles. The filling load of the embankment slope is distributed in a triangular shape, and the filling height of the pile top decreases from inside to outside, easily producing a bias load from the inside to the outside. A soil arch is not easily formed. It is difficult to concentrate the load on the top of the pipe pile, and multiple outer rows of pipe piles form a cantilever structure. The stability of the roadbed of the outer slope basically relies on the maintenance of the bending capacity of the pile itself, and the sliding surface of the roadbed is located on the outer side of the second and third rows of piles. When the hard shell layer is thin, especially close to the fishpond, the sliding risk of the outer rows of piles increases significantly.

4.2. Analysis of Subjective Factors of Roadbed Landslides

The influence of various subjective unfavorable factors leading to the occurrence of composite roadbed slip and collapse accidents was analyzed in the following.
  • Adverse effects of construction.
Unfavorable factors during construction can have a negative impact on the bearing capacity and stability of PHC pipe pile composite roadbeds. Unconventional construction practices, such as biased filling (0.3 m subgrade and 0.6 m pre-compression load) and a fast loading rate (2d to complete the filling, equivalent to 0.8 m of embankment), can lead to problems. The verticality deviation of PHC piles often exceeds the specified requirement of 1%, reaching a maximum of 6.78%. Excessive deviation and pile leakage can result in increased pile spacings and insufficient bedding thicknesses. When the right width is used as a construction right-of-way and heavy machinery such as vehicles and rollers pass through, the mechanical vibration forms a bias load, which is likely to produce a horizontal extrusion effect on the outer piles.
  • Inadequate cost control issues.
The cost of using piles should not be reduced, as it is scientifically necessary to ensure that the pile lengths, strengths, and stiffnesses, as well as thicknesses and materials of bedding layers, are sufficient. For example, in the road section design, if the pile length is shortened and the pile spacing is increased compared to the original design, this can lead to problems. If the project cost is blindly reduced, it often results in necessary treatment and protective measures not being implemented properly, indirectly affecting and limiting the intentions of the designers. This increases the risk of accidents in the project and may lead to inherent quality hazards.
  • Inappropriate site management issues.
If special circumstances, such as the half-width construction of the roadbed, are not properly handled, this can lead to embankment cracking and seepage issues. These cracks can cause continuous damage, reducing the strength of the roadbed and impacting its load-bearing capacity. Moreover, misleading test results and imperfections in the testing system can affect the judgment of construction and engineering management personnel, leading to hidden quality problems.
  • On-site monitoring issues.
The cumulative deep horizontal displacement and section settlement data for section K31+290 before the slide are presented in Figure 9.
As can be seen in Figure 9, lateral displacement of the soil body mainly occurs within the depth range of 0~17 m, and it follows a parabolic pattern with increasing and then decreasing cumulative lateral displacement along the depth direction. The largest cumulative lateral displacement of the soil body is observed at a depth of approximately 5 m, reaching 110 mm. The displacement rate curve exhibits a similar parabolic shape, with the maximum displacement occurring at a depth of 5–10 m. The latest field observation recorded a displacement rate of 25 mm/d, which is significantly higher than the warning value of 5 mm/d for deeper layers. Starting from 2 months before the slide collapse, the cumulative settlement remained unchanged on the right side of the section, while the left side of the road experienced significantly larger cumulative settlement. This difference in cumulative settlement within the same section is attributed to the construction activities on the left half of the section. The settlement rate during the first two months was stable at less than 4 mm/d, but it increased to 11.6 mm/d prior to the slide, surpassing the warning value of 10 mm/d. Based on the observation data from section K31+290, both the deep horizontal displacement and surface settlement values exceed the warning threshold.
The on-site monitoring work during the construction process was poorly managed, leading to a failure in the timely detection of quality hazards and missed opportunities to take remedial actions. The selection of information collection points was not comprehensive, resulting in fewer observation sections in the landslide area. Furthermore, the failure to dynamically control the construction via on-site monitoring data and the insufficient knowledge of the state of the PHC pipe pile composite roadbed led to the occurrence of landslide accidents by carrying out the filling construction of sub-base and pre-compression load when the horizontal displacement and surface settlement values were greater than the warning values.

5. Analysis of the Effect of Landslide Treatment

5.1. Analysis of Treatment Effects of Different Structural Forms

5.1.1. Finite Element Modeling of Different Structural Forms

Different structural forms have varying impacts on the bearing capacity of PHC pipe pile composite roadbeds. Based on the specific engineering requirements and the characteristics of PHC pipe pile composite roadbeds, the structural forms can be categorized into two types: common structural forms (such as PHC single-pile structural forms, PHC pipe pile forms with caps) and overall structural forms (including transverse tie-beam forms, longitudinal tie-beam forms, and longitudinal and transverse tie beam forms). To illustrate, let us consider the example of the longitudinal and transverse tie beam form of a PHC pipe pile composite roadbed. Figure 10a shows the 3D model of this form, where the tie beams, pile caps, and piles are represented by plate units. The tie beams were modeled using a linear–elastic principal model, which employs the principle of equivalent stiffness to transform the actual three-dimensional tie beams. The layout of the longitudinal and transverse tie-beam form is depicted in Figure 10b, with the tie beam section having a bottom width of 0.8 m, a height of 0.7 m, and a weight of 28 kN·m−3.
The arrangement of tie beams was divided into an L region above the pile tops and a T region above the soil between the piles. The modulus of elasticity of the longitudinal tie beams in the L region was 35 GPa, and dividing the modulus of elasticity in the L region by the spacing of 2.6 m led to an equivalent stiffness of 13.46 GPa in the T region. The calculated parameters of the tie beams are shown in Table 5.
Combined with the determination of the finite element calculation parameters of the longitudinal and transverse tie beams, the calculation model of the PHC pipe pile composite roadbed with longitudinal and transverse tie beams is shown in Figure 5a, and the mesh delineation of the model in this form is shown in Figure 11b.

5.1.2. Finite Element Modeling of Different Structural Forms

The following comparative analyses of the factor of safety (FOS) and maximum settlement of PHC pipe pile composite roadbeds in the form of a PHC pile structure without caps, a PHC pipe pile structure with caps, transverse tie beams, longitudinal tie beams, and longitudinal and transversal tie beam forms were carried out as shown in Table 6.
As can be seen from Table 6, under the same calculation conditions, the composite roadbed may experience slip and collapse under common structural forms. The inclusion of tie beams significantly reduces the settlement of the composite roadbed. The settlement is the smallest when using longitudinal and transversal tie beams. However, different arrangements of tie beams have a minimal influence on the maximum settlement of the composite roadbed. The FOS of different structural forms can be ranked as follows: longitudinal and transversal tie beams > transverse tie beams > longitudinal tie beams > PHC pipe piles with pile caps > monopile form. The installation of tie beams significantly improves the transverse stability and skidding-resistant effect of the composite roadbed of PHC piles. The FOS of the PHC pipe piles with pile caps is increased by 18.26% compared to the monopile form. The FOS of the transverse tie beam and longitudinal tie beam is improved by 42.47% and 38.61%, respectively, compared to the PHC pipe piles with pile caps. In the case of the same square pile layout (i.e., the same amount of tie beam material), it is preferable to choose transverse tie beams. Compared to the PHC pipe piles with pile caps, the FOS of the longitudinal and transverse bollard form increased by 50.87%. This indicates that the longitudinal and transverse bollard form is the best form in terms of stability and has a better ability to resist overturning and load bearing drops caused by construction factors.

5.2. Analysis of the Effect of Landslide Treatment

Combined with the analysis of the causes of the landslide accident, it is necessary to address both settlement and stability issues. Additionally, improving the horizontal bearing capacity of the composite roadbed as a whole is crucial. The treatment for this road section focuses on enhancing the skidding resistance of the composite roadbed. The proposed treatment program includes unloading the roadbed, filling in the sliding section, and replenishing pipe piles. The pile diameter is adjusted from 0.3 to 0.4 m, and the pile length is increased to over 24 m. The pile body layout consists of square piles, while the row of hooded piles within the shoulder does not have tie beams. For the four-five rows of piles outside the embankment shoulder, PHC piles with longitudinal and transversal tie beams were used. To prevent local slope sliding and ensure the overall stability of the composite roadbed, the overall structure of the composite roadbed incorporates longitudinal and transverse tie beams for four-five rows of piles outside the shoulder of the embankment. The treated composite roadbed is illustrated in Figure 12.
Reinforcement was in the form of a PHC pipe pile composite roadbed monolithic structure with tie beams, i.e., below the shoulder of the embankment. The tops of the PHC piles were rigidly connected together by tie beams, and tie beams with a section width of 0.8 m and a section height of 0.7 m were arranged in the longitudinal and transverse directions of the tops of the piles to increase the longitudinal and transversal stiffness of the original PHC pipe pile composite roadbed and to realize the effect of vertical settlement control and horizontal slip resistance. As the existing reinforced bedding layer was damaged after the landslide, the bedding layer had to be reset. The reinforced bedding layer plays a very important role in coordinating the pile/soil load ratio of the PHC pipe pile composite roadbed, and also reduces the differential settlement between the pipe pile and the soil between the piles. Thus, the upper load of the soil between the piles can be transferred to the top of the pipe pile more effectively. In order to improve the overall strength of the bedding layer and reduce the construction damage, 0.5 m-thick gravel bedding was laid at the bottom of the composite roadbed, and one layer of finely knitted, bi-directionally stretchable geogrids made of GSJ 100 high-strength polyester filament, and one layer of reinforcing mesh of φ12 mm @ 20 cm × 20 cm were set up to be sandwiched in the middle of the gravel bedding layer. The particle size of the graded gravel used was limited to a maximum of 30 mm. The settlement comparison curves of field monitoring and finite element modeling and the final settlement contours of finite element modeling over time are shown in Figure 13.
The results indicate that the cumulative settlement of the composite roadbed is less than 200 mm, and the settlement remains stable with pile load pre-compression (<5 mm/month). The treatment and reinforcement measures have significantly improved the overall stability and bearing capacity. Furthermore, no landslide accidents occurred during the construction process, meeting the requirements for road use. After completion, the settlement remained below 20 cm, and there were no noticeable undulations or surface defects. Overall, the road is in good condition with no significant issues.

6. Conclusions

This paper analyzes different structural forms with different influencing factors against the background of actual engineering and applies longitudinal and transverse tie beam forms to treat the landslide section. The landslide accident at the PHC pipe pile composite roadbed in the K31+140~K31+312 section was attributed to the insufficient bearing capacity of the roadbed structure, with causes related to construction, design, management, and on-site monitoring. The accident could be primarily attributed to the original treatment scheme’s low horizontal bearing capacity and poor resistance to interference. By combining engineering monitoring data and finite element analysis, this study verifies the feasibility of finite element analysis and the bearing capacity of the overall structural form of the PHC pipe pile composite roadbed with longitudinal and transverse tie beams. The main findings are as follows:
  • The order of the FOS of different structural forms is as follows: longitudinal and transverse tie beams > transverse tie beams > longitudinal tie beams > PHC pile with pile caps > monopile structure. Compared with the structural form of a PHC pile with pile caps, the FOS of transverse tie beam structures and longitudinal tie beam structures increased by 42.47% and 38.61%, respectively, while that of longitudinal and transverse tie beam structures increased by 50.87%.
  • In the case of a constant pile/soil load ratio, the FOS of the composite roadbed increases as the pile length increases (or pile spacing decreases), resulting in a decrease in roadbed settlement. When the pile/soil load ratio is 5:5, the change in pile length has s minimal influence on the FOS of the roadbed. For pile/soil load ratios of 6:4 or higher, the FOS of the roadbed with a pile length of 20 m or more is greater than 1.4, and the increase in pile length has a smaller effect on the settlement of the composite roadbed. Under pile/soil load ratios of 6:4, 7:3, and 8:2, the FOS remains greater than 1.4 for pile spacings up to 3.0 m.
  • As the pile verticality increases from 1 to 8°, the settlement of the composite roadbed gradually increases, while the contribution of the deep soil layer to the roadbed’s bearing capacity gradually decreases. It should be noted that with half-width loading, a fast loading rate and an excessively high single filling height can reduce the stability of the composite roadbed. For optimal stability, a single filling height around 0.6 to 0.9 m is recommended.
  • The slip road section adopts the overall structural form of a PHC pipe pile composite roadbed with longitudinal and transverse tie beams, and the settings of piles and bedding layer are optimized. The monitoring results demonstrate that this form effectively reduces the post-work settlement and horizontal displacement of the composite roadbed, improves the overall stability of the roadbed, and exhibits a strong resistance to disturbances during construction. It achieves vertical settlement control and horizontal slip resistance.
  • In order to effectively address various engineering conditions, it is important to select the appropriate bearing structure form for composite roadbeds. During the design process, it is crucial to consider the impact of each construction factor. The practical experience gained from previous engineering projects can serve as a valuable reference for future applications and management.

Author Contributions

Conceptualization, B.H. and Y.Y.; methodology, X.L.; software, Y.Y.; validation, D.S., Z.S. and G.W.; formal analysis, Y.Y.; investigation, Y.Y.; resources, B.H.; data curation, X.L.; writing—original draft preparation, Y.Y.; writing—review and editing, G.W.; visualization, Z.S.; supervision, D.S.; project administration, B.H.; funding acquisition, X.L. All authors have read and agreed to the published version of the manuscript.

Funding

This study was sponsored by the National Natural Science Foundation of China (Grant No. 51609071) and the Fundamental Research Funds for the Central Universities (Grant No. B200202087, B200204032).

Institutional Review Board Statement

Not applicable.

Informed Consent Statement

Not applicable.

Data Availability Statement

Not applicable.

Acknowledgments

The authors’ gratitude goes to the reviewers for their helpful comments and constructive suggestions to improve this paper.

Conflicts of Interest

The authors declare no conflict of interest.

Nomenclature

VariableDefinition
γ u n s a t Unsaturated density
ECompression modulus
cCohesive force
φAngle of internal friction
μPoisson’s ratio
mArea replacement rate
dAverage pile diameter
deEquivalent diameter of the treated subgrade area shared by each pile, de = 1.13S
SPile spacing
IEquivalent moment of inertia of plate section
AEquivalent plate section area
EModulus of pile deformation
EAAxial stiffness of the equivalent plate body
EIFlexural stiffness of the equivalent plate body
BWidth of the equivalent plate body
WEquivalent plate body bulk weight
γ c o n c r e t e Bulk weight of pile
γ s o i l Bulk weight of soil
FLoad
εElongation under load
F o u t s i d e Load of the embankment outside the shoulder
γ Weight of the embankment filled with soil
AeCross-sectional area of the embankment on the corresponding pile

References

  1. Kou, H.L.; Chu, J.; Guo, W.; Zhang, M.Y. Field study of residual forces developed in pre-stressed high-strength concrete (PHC) pipe piles. Can. Geotech. J. 2016, 53, 696–707. [Google Scholar] [CrossRef]
  2. Liu, Z.; Bu, L.; Wang, Z.; Hu, G. Durability and microstructure of steam cured and autoclaved PHC pipe piles. Constr. Build. Mater. 2019, 209, 679–689. [Google Scholar] [CrossRef]
  3. Huang, F.Y.; Wu, S.W.; Luo, X.Y.; Chen, B.C.; Lin, Y. Pseudo–static low cycle test on the mechanical behavior of PHC pipe piles with consideration of soil–pile interaction. Eng. Struct. 2018, 171, 992–1006. [Google Scholar] [CrossRef]
  4. Alhozaimy, A.; Fares, G.; Al–Negheimish, A.; Jaafar, M.S. The autoclaved concrete industry: An easy–to–follow method for optimization and testing. Constr. Build. Mater. 2013, 49, 184–193. [Google Scholar] [CrossRef]
  5. Wu, P.; Guo, Y.; Zhu, D.; Jin, W.; Lee, C.F. Flexural performances of pre–stressed concrete piles reinforced with hybrid BFRP and steel bars. Eur. J. Environ. Civ. Eng. 2022, 26, 1433–1452. [Google Scholar] [CrossRef]
  6. Xing, H.F.; Zhao, H.W.; Ye, G.B.; Xu, C. Effect of driving long pre–stressed high–strength concrete pipe piles in alluvium and its mechanical behavior. Bull. Eng. Geol. Environ. 2012, 71, 771–781. [Google Scholar] [CrossRef]
  7. Lu, X.C.; Li, G.W.; Pei, H.F.; Su, G.Y.; Wu, J.T.; Amenuvor, A.C. Experimental investigations on load transfer of PHC piles in highway foundation using FBG sensing technology. Int. J. Geomech. 2017, 17, 04016123. [Google Scholar] [CrossRef]
  8. Wang, G.; Hong, B.; Liu, X.; Sun, D.; Shao, Z.; Yao, Y. Experimental study on the shear properties of soil around piles with permeation grouting. Appl. Sci. 2023, 13, 621. [Google Scholar] [CrossRef]
  9. Kim, S.; Whang, S.W.; Kim, S. Pile foundation design through the increased bearing capacity of extended end pile. J. Asian Arch. Build. Eng. 2017, 16, 395–402. [Google Scholar] [CrossRef]
  10. Józefiak, K.; Zbiciak, A.; Maślakowski, M.; Piotrowski, T. Numerical modelling and bearing capacity analysis of pile foundation. Procedia. Eng. 2015, 111, 356–363. [Google Scholar] [CrossRef]
  11. Wei, Y.; Wang, D.; Li, J.; Jie, Y.; Ke, Z.; Li, J.; Wong, T. Evaluation of ultimate bearing capacity of pre–stressed high–strength concrete pipe pile embedded in saturated sandy soil based on in–situ test. Appl. Sci. 2020, 10, 6269. [Google Scholar] [CrossRef]
  12. Yang, M.; Liu, S. Field tests and finite element modeling of a prestressed concrete pipe pile–composite foundation. KSCE J. Civ. Eng. 2015, 19, 2067–2074. [Google Scholar] [CrossRef]
  13. Li, G.W.; Pei, H.F.; Yin, J.H.; Lu, X.C.; Teng, J. Monitoring and analysis of PHC pipe piles under hydraulic jacking using FBG sensing technology. Measurement 2014, 49, 358–367. [Google Scholar] [CrossRef]
  14. Kou, H.L.; Yu, F.; Liu, T. Strain monitoring on PHC pipe piles based on fiber bragg grating sensors. J. Perform. Constr. Facil. 2019, 33, 04019003. [Google Scholar] [CrossRef]
  15. Amjad, M.; Ahmad, I.; Ahmad, M.; Wróblewski, P.; Kamiński, P.; Amjad, U. Prediction of pile bearing capacity using XGBoost algorithm: Modeling and performance evaluation. Appl. Sci. 2022, 12, 2126. [Google Scholar] [CrossRef]
  16. Kumar, M.; Bardhan, A.; Samui, P.; Hu, J.W.; Kaloop, M.R. Reliability analysis of pile foundation using soft computing techniques: A comparative study. Processes 2021, 9, 486. [Google Scholar] [CrossRef]
  17. Zhou, D.Q.; Feng, C.X. Engineering characteristics and reinforcement program of inclined pre-stressed concrete pipe piles. KSCE J. Civ. Eng. 2019, 23, 3907–3923. [Google Scholar] [CrossRef]
  18. Xi, P.S.; Sun, X.K. Analysis the influence of non-prestressed reinforcement for horizontal bearing capacity of PHC pipe pile. Adv. Mater. Res. 2014, 919, 649–653. [Google Scholar] [CrossRef]
  19. Yang, Z.; Li, G.; Nan, B. Study on seismic performance of improved high-strength concrete pipe-pile cap connection. Adv. Mater. Sci. Eng. 2020, 2020, 4326208. [Google Scholar] [CrossRef]
  20. Zhu, B.; Zhu, Z.J.; Li, T.; Liu, J.C.; Liu, Y.F. Field tests of offshore driven piles subjected to lateral monotonic and cyclic loads in soft clay. J. Waterw. Port. Coast. 2017, 143, 05017003. [Google Scholar] [CrossRef]
  21. Wu, J.T.; Ye, X.; Li, J.; Li, G.W. Field and numerical studies on the performance of high embankment built on soft soil reinforced with PHC piles. Comput. Geotech. 2019, 107, 1–13. [Google Scholar] [CrossRef]
  22. Wang, Y.; Han, M. Optimal design of slope reinforcement by a new developed polymer micro anti-slide pile in case of emergency and disaster relief. Nat. Hazards 2022, 112, 899–917. [Google Scholar] [CrossRef]
  23. Li, H.; Wang, H.; Yue, G.; Zhao, F.; Li, W. Arch antislide pile-wall structure system: Model and optimization. Math. Probl. Eng. 2021, 2021, 8489627. [Google Scholar] [CrossRef]
  24. Low, B.K.; Tang, S.K.; Choa, V. Arching in piled embankments. J. Geotech. Eng. 1994, 120, 1917–1938. [Google Scholar] [CrossRef]
  25. Ye, X.; Wu, J.; Li, G. Time–dependent field performance of PHC pile–cap–beam–supported embankment over soft marine clay. Transp. Geotech. 2021, 26, 100435. [Google Scholar] [CrossRef]
  26. Wulandari, P.S.; Tjandra, D. Analysis of piled raft foundation on soft soil using PLAXIS 2D. Procedia Eng. 2015, 125, 363–367. [Google Scholar] [CrossRef]
  27. Pradhan, S.; Toll, D.G.; Rosser, N.J.; Brain, M.J. An investigation of the combined effect of rainfall and road cut on landsliding. Eng. Geol. 2022, 307, 106787. [Google Scholar] [CrossRef]
  28. Lin, H.D.; Wang, W.C.; Li, A.J. Investigation of dilatancy angle effects on slope stability using the 3D finite element method strength reduction technique. Comput. Geotech. 2020, 118, 103295. [Google Scholar] [CrossRef]
  29. GBT50783–2012; Technical Code for Composite Foundation. China Planning Press: Beijing, China, 2012. (In Chinese)
  30. Gao, L.; Zhang, L.M.; Cheung, R.W.M. Relationships between natural terrain landslide magnitudes and triggering rainfall based on a large landslide inventory in Hong Kong. Landslides 2018, 15, 727–740. [Google Scholar] [CrossRef]
Figure 1. Field construction drawings for a PHC pile-cap-beam-supported embankment. (Reproduced from (X. Ye et al., 2022 [25])).
Figure 1. Field construction drawings for a PHC pile-cap-beam-supported embankment. (Reproduced from (X. Ye et al., 2022 [25])).
Applsci 13 11786 g001
Figure 2. K31+100~K31+388 section of the left width of the slip phenomenon occurred.
Figure 2. K31+100~K31+388 section of the left width of the slip phenomenon occurred.
Applsci 13 11786 g002
Figure 3. Finite element computational modeling and meshing: (a) finite element calculation model; (b) meshing.
Figure 3. Finite element computational modeling and meshing: (a) finite element calculation model; (b) meshing.
Applsci 13 11786 g003
Figure 4. Effect of pile length variation on PHC pipe pile composite roadbeds under different pile/soil load ratios. (a) Patterns of change in the factor of safety; (b) Patterns of change in maximum settlement.
Figure 4. Effect of pile length variation on PHC pipe pile composite roadbeds under different pile/soil load ratios. (a) Patterns of change in the factor of safety; (b) Patterns of change in maximum settlement.
Applsci 13 11786 g004
Figure 5. Effect of pile spacing variation on PHC pipe pile composite roadbeds under different pile/soil load ratios. (a) Patterns of change in the factor of safety; (b) patterns of change in maximum settlement.
Figure 5. Effect of pile spacing variation on PHC pipe pile composite roadbeds under different pile/soil load ratios. (a) Patterns of change in the factor of safety; (b) patterns of change in maximum settlement.
Applsci 13 11786 g005
Figure 6. Settlement cloud of a composite roadbed with different pile verticality values under a pile/soil load ratio of 7:3. Pile verticality is (a) 1°, (b) 3°, (c) 4°, (d) 6°, (e) 7°, (f) 8°.
Figure 6. Settlement cloud of a composite roadbed with different pile verticality values under a pile/soil load ratio of 7:3. Pile verticality is (a) 1°, (b) 3°, (c) 4°, (d) 6°, (e) 7°, (f) 8°.
Applsci 13 11786 g006
Figure 7. Effect of different embankment fill loading methods on the safety factor of PHC pipe pile composite roadbeds.
Figure 7. Effect of different embankment fill loading methods on the safety factor of PHC pipe pile composite roadbeds.
Applsci 13 11786 g007
Figure 8. Schematic diagram of load transfer and soil arch effect of the PHC pipe pile composite roadbed. (a) Load transfer of PHC pipe pile composite roadbed; (b) soil arch effect.
Figure 8. Schematic diagram of load transfer and soil arch effect of the PHC pipe pile composite roadbed. (a) Load transfer of PHC pipe pile composite roadbed; (b) soil arch effect.
Applsci 13 11786 g008
Figure 9. Cumulative horizontal displacement and cumulative settlement changes of section K31+290. (a) Cumulative horizontal displacement; (b) cumulative settlement.
Figure 9. Cumulative horizontal displacement and cumulative settlement changes of section K31+290. (a) Cumulative horizontal displacement; (b) cumulative settlement.
Applsci 13 11786 g009
Figure 10. Three-dimensional modeling and plan layout of longitudinal and transverse tie beam forms. (a) Three-dimensional modeling of longitudinal and transverse tie beam forms; (b) layout in the form of longitudinal and transverse tie beams.
Figure 10. Three-dimensional modeling and plan layout of longitudinal and transverse tie beam forms. (a) Three-dimensional modeling of longitudinal and transverse tie beam forms; (b) layout in the form of longitudinal and transverse tie beams.
Applsci 13 11786 g010
Figure 11. Finite element computational modeling and meshing of longitudinal and transverse tie beam forms. (a) Finite element calculation model; (b) meshing.
Figure 11. Finite element computational modeling and meshing of longitudinal and transverse tie beam forms. (a) Finite element calculation model; (b) meshing.
Applsci 13 11786 g011
Figure 12. Schematic diagram of the treated tie beam composite roadbed.
Figure 12. Schematic diagram of the treated tie beam composite roadbed.
Applsci 13 11786 g012
Figure 13. (a) Settlement time course comparison curves and (b) settlement contour plots for finite elements.
Figure 13. (a) Settlement time course comparison curves and (b) settlement contour plots for finite elements.
Applsci 13 11786 g013
Table 1. Soil parameters.
Table 1. Soil parameters.
Soil Nameγunsat (kN/m3)E (kN/m2)c (kN/m2)φ (°)μModel
Embankment fill20.02.5 × 10425.028.00.30Mohr–Coulomb
Bedding25.05.0 × 1041.036.00.25Mohr–Coulomb
Farming soil17.8476013.011.50.32Mohr–Coulomb
Soft soil14.6137010.08.10.33Mohr–Coulomb
Mucky silty clay17.062003.76.90.33Mohr–Coulomb
Sandy soil19.53.5 × 104027.00.30Mohr–Coulomb
Silty clay19.0950012.812.10.31Mohr–Coulomb
Table 2. Calculation parameters for PHC pipe piles.
Table 2. Calculation parameters for PHC pipe piles.
Pile Spacing (m)EA (kN)EI (kN·m2)B (m)W (kPa)μ
2.02.68 × 106277.200.0350.310.15
2.42.68 × 106192.500.0290.230.15
2.62.68 × 106164.030.0270.240.15
3.02.68 × 106123.200.0230.210.15
3.42.68 × 10695.920.0210.180.15
4.22.68 × 10662.860.0170.150.15
Table 3. Calculation parameters of the pile cap.
Table 3. Calculation parameters of the pile cap.
EA (kN)EI (kN·m2)Thicknesses (m)B (m)W (kPa)
5.04 × 1063.78 × 1040.300.600.99
Table 4. Summary of loads on top of piles and soil between piles for a pile spacing of 2.6 m.
Table 4. Summary of loads on top of piles and soil between piles for a pile spacing of 2.6 m.
Pile/Soil Load RatioLoadShoulder of a RoadOutside Shoulder 1Outside Shoulder 2Outside Shoulder 3
5:5Pile (kN/m)144.0143.1890.036.82
Soil (kN/m)60.046.6729.3312.0
6:4Pile (kN/m)172.80171.82108.044.18
Soil (kN/m)48.037.3323.479.60
7:3Pile (kN/m)201.60200.45126.051.55
Soil (kN/m)36.028.017.607.20
8:2Pile (kN/m)230.40229.09144.058.91
Soil (kN/m)24.018.6711.734.80
Note: 1 is the load at the top of the pile and soil at the location of the first pile outside of the shoulder, 2 indicates the location of the second pile outside of the shoulder, 3 indicates the location of the third pile outside of the shoulder.
Table 5. Calculated parameters of tie beams.
Table 5. Calculated parameters of tie beams.
FormE (GPa)EA (kN)EI (kN·m2)μ
Longitudinal tie beam352.24 × 1071.19 × 1060.15
Transverse tie beam13.468.61 × 1064.59 × 1050.15
Table 6. Maximum settlements and safety factors for stabilization of different structural forms.
Table 6. Maximum settlements and safety factors for stabilization of different structural forms.
FormMonopile FormWith Pile Caps Transverse Tie BeamsLongitudinal Tie BeamsLongitudinal and Transverse Tie Beams
Maximum settlement (mm)621.74313.68177.63179.61174.92
Safety factor1.1171.3211.8821.8311.993
Disclaimer/Publisher’s Note: The statements, opinions and data contained in all publications are solely those of the individual author(s) and contributor(s) and not of MDPI and/or the editor(s). MDPI and/or the editor(s) disclaim responsibility for any injury to people or property resulting from any ideas, methods, instructions or products referred to in the content.

Share and Cite

MDPI and ACS Style

Yao, Y.; Hong, B.; Liu, X.; Wang, G.; Shao, Z.; Sun, D. Field and Numerical Study of the Bearing Capacity of Pre-Stressed High-Strength Concrete (PHC)-Pipe-Pile-Reinforced Soft Soil Foundations with Tie Beams. Appl. Sci. 2023, 13, 11786. https://doi.org/10.3390/app132111786

AMA Style

Yao Y, Hong B, Liu X, Wang G, Shao Z, Sun D. Field and Numerical Study of the Bearing Capacity of Pre-Stressed High-Strength Concrete (PHC)-Pipe-Pile-Reinforced Soft Soil Foundations with Tie Beams. Applied Sciences. 2023; 13(21):11786. https://doi.org/10.3390/app132111786

Chicago/Turabian Style

Yao, Yunlong, Baoning Hong, Xin Liu, Guisen Wang, Zhiwei Shao, and Dongning Sun. 2023. "Field and Numerical Study of the Bearing Capacity of Pre-Stressed High-Strength Concrete (PHC)-Pipe-Pile-Reinforced Soft Soil Foundations with Tie Beams" Applied Sciences 13, no. 21: 11786. https://doi.org/10.3390/app132111786

APA Style

Yao, Y., Hong, B., Liu, X., Wang, G., Shao, Z., & Sun, D. (2023). Field and Numerical Study of the Bearing Capacity of Pre-Stressed High-Strength Concrete (PHC)-Pipe-Pile-Reinforced Soft Soil Foundations with Tie Beams. Applied Sciences, 13(21), 11786. https://doi.org/10.3390/app132111786

Note that from the first issue of 2016, this journal uses article numbers instead of page numbers. See further details here.

Article Metrics

Back to TopTop