Experimental Study of the Dynamic Characteristics and Microscopic Mechanism of Lightweight Soil Modified with Expanded Polystyrene and Sisal Fibre
Abstract
:1. Introduction
2. Test Material and Programme
2.1. Test Apparatus
2.2. Test Materials
2.2.1. Clay
2.2.2. EPS Particles
2.2.3. Sisal Fibre
2.3. Test Programme
3. The Trend of Change in Dynamic Characteristics
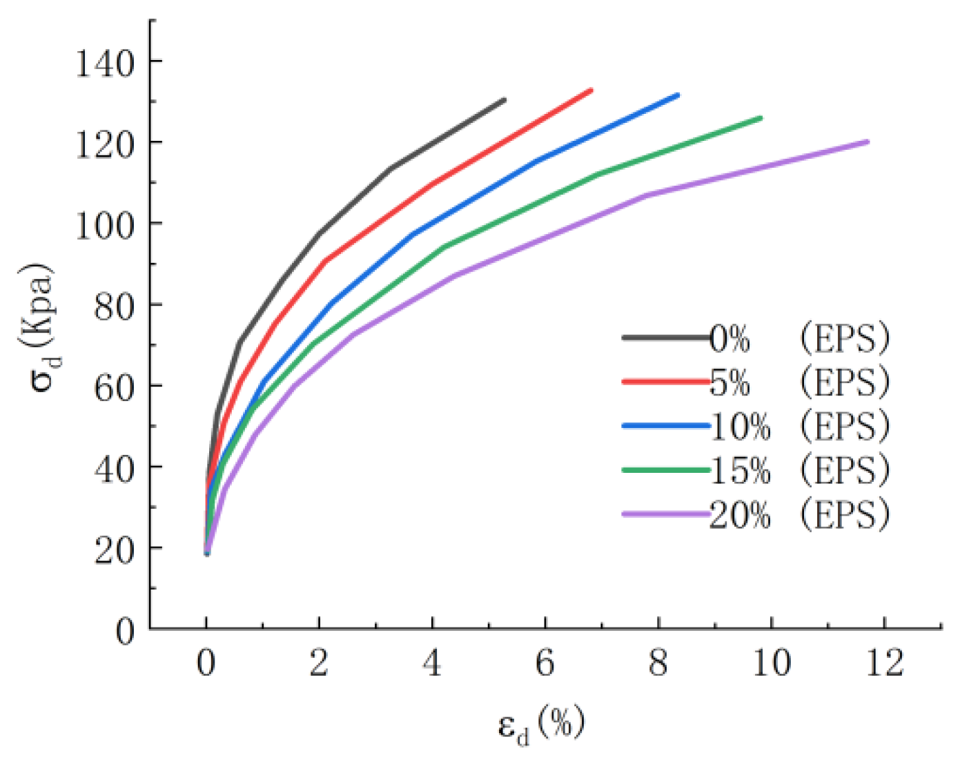
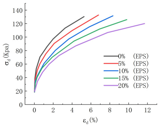
3.1. Variation in the Dynamic Elastic Modulus of EPS-Modified Lightweight Soils
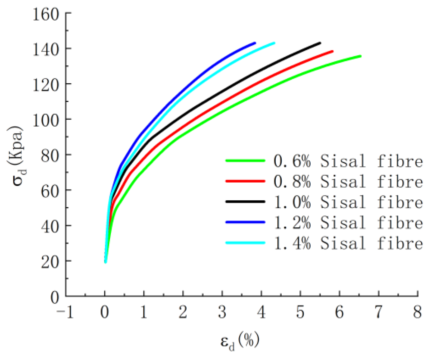
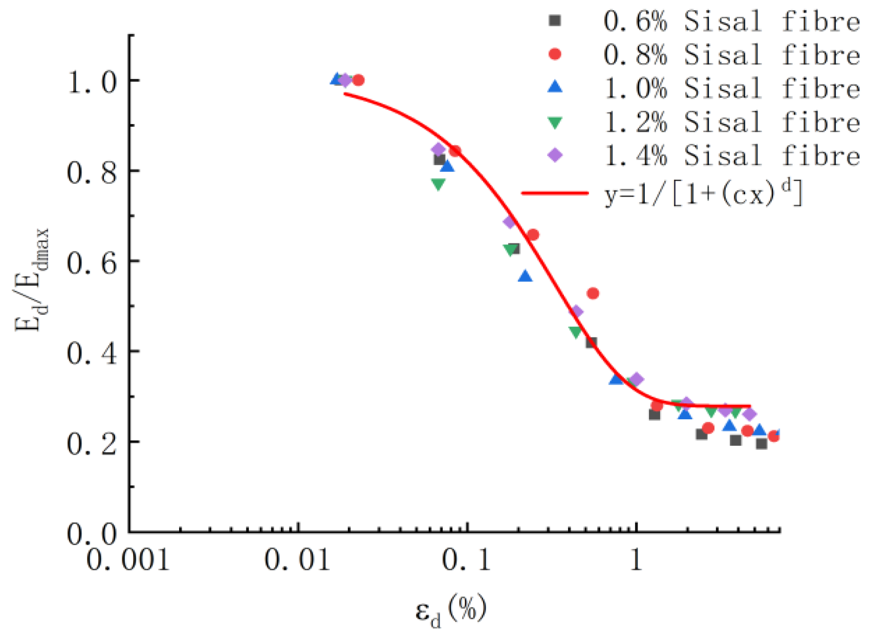
3.2. Variation in the Dynamic Elastic Modulus of EPS-Sisal-Modified Lightweight Soils
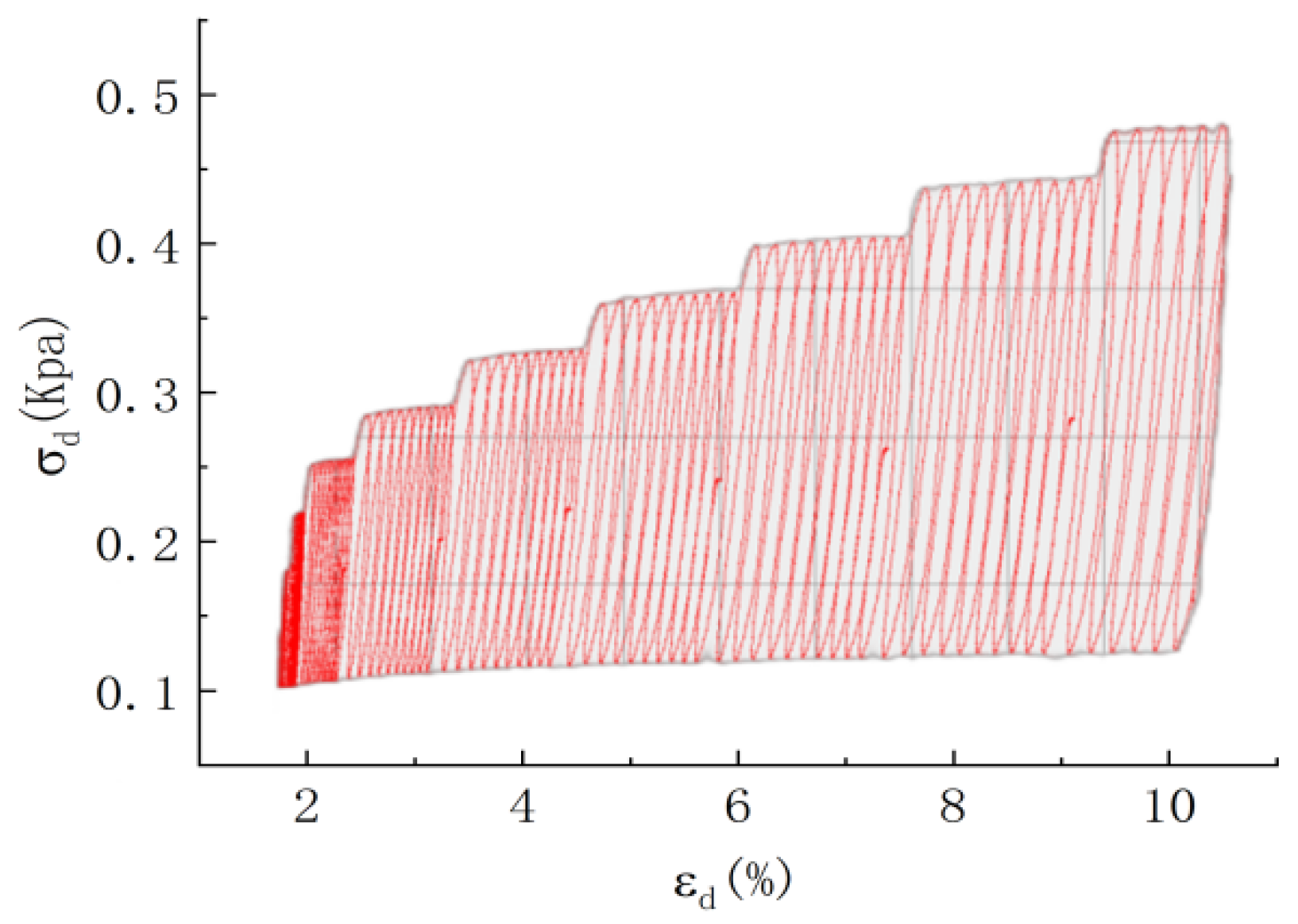
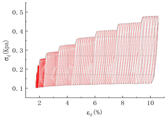
3.3. Equivalent Damping Ratio Variation Pattern
4. Micro-Scale Analysis
4.1. Nuclear Magnetic Resonance (NMR)
4.2. Scanning Electron Microscopy (SEM)
5. Conclusions
Author Contributions
Funding
Institutional Review Board Statement
Informed Consent Statement
Data Availability Statement
Conflicts of Interest
References
- Huang, C.; Huang, M.; Cai, W. Study on microstructure of silt with different clay content. Chin. J. Geotech. Eng. 2020, 42, 758–764. [Google Scholar]
- Fu, R.; Feng, J.; Jiang, K. Experimental study on fluidity of ready-mixed flow EPS light soil. Highway 2023, 68, 397–402. [Google Scholar]
- Hou, T.; Cui, Y.; Pan, X. Characteristics of dynamic shear modulus and damping ratio and the structural formula of EPS particles lightweight soil. Soil Dyn. Earthq. Eng. 2023, 166, 107768. [Google Scholar] [CrossRef]
- Gao, H.; Shen, Y.; Wang, Z. Dynamic modulus and damping ratio characteristics of EPS mixed soil. Chin. J. Geotech. Eng. 2017, 39, 279–286. [Google Scholar]
- Yang, K.; Hou, T. Influence of compaction test type on the compaction characteristics of lightweight soil of EPS particles. Rock Soil Mech. 2020, 41, 1971–1982. [Google Scholar]
- Hou, T.; Yang, K. model test study on static earth pressure characteristics of EPS granular mixed lightweight soil filler behind retaining wall. Rock Soil Mech. 2021, 42, 3249–3259+3270. [Google Scholar]
- Li, G.; Hao, J.; Zhang, H. Shear behavior and mechanism of sisal fiber reinforced expansive soil. J. Gansu Sci. 2023, 35, 78–82+93. [Google Scholar]
- Cao, Q.; Zheng, H.; Ju, H. Early-age cracking resistance of multiscale fiber-reinforced concrete with steel fiber, sisal fiber, and nanofibrillated cellulose. J. Mater. Civ. Eng. 2023, 35, 04023065. [Google Scholar] [CrossRef]
- Ma, K.; Liu, J.; Jiang, C. Compressive and tensile strength of polymer-based fiber composite sand. J. Cent. South Univ. 2022, 29, 528–545. [Google Scholar] [CrossRef]
- Hao, J.; Zhang, H.; Li, G. Strength and fracture development characteristics of expansive soil improved by fly ash-sisal fiber composite. J. Railw. Sci. Eng. 2022, 19, 2620–2628. [Google Scholar]
- Dai, W.; Si, Z. Pavement performance test of sisal fiber cement reinforced soil. J. Jilin Univ. (Eng. Sci.) 2020, 50, 589–593. [Google Scholar]
- GBT50123-2019; Standard for Geotechnical Testing Method. GB National Standard: Singapore, 2019.
- Wu, Y.; Niu, B. Experimental study on mechanical properties of randomly distributed sisal fiber reinforced soil. Hydrogeol. Eng. Geol. 2012, 39, 77–81. [Google Scholar]
- Yu, Z.; Zhai, G.; Mei, G. One-dimensional consolidation of double-layer soil at continuous drainage boundary under cyclic loading. J. Huazhong Univ. Sci. Technol. (Nat. Sci. Ed.) 2021, 49, 99–105. [Google Scholar]
- Zhuang, X.; Zhao, H.; Wang, J. Experimental study on dynamic elastic modulus and damping ratio of Hefei expansive soil. J. Zhejiang Univ. (Eng. Sci.) 2020, 54, 759–766. [Google Scholar]
- Zhuang, X.; Zhou, M.; Zhou, R.; Tao, G. Pore characteristics and hysteresis curve morphology of expansive soil improved by EPS. J. Zhejiang Univ. (Eng. Sci.) 2022, 56, 1353–1362+1403. [Google Scholar]
- Jian, W.; Jun, M.Z.; Zheng, J.Z. Effect of wetting and drying cycles on the dynamic properties of compacted loess. Adv. Civ. Eng. 2022, 2022, 8748109. [Google Scholar]
- Zhuang, X.; Zhao, H.; Tao, G. Experimental study on cumulative deformation and dynamic strength characteristics of weak expansive soil under cyclic loading. Rock Soil Mech. 2020, 41, 3192–3200. [Google Scholar]
- Qian, N.; Luo, W.; Ye, Y. Effects of the ductility and brittle point of modified asphalt on the free-ze-break behavior of asphalt concrete: A 3D-mesoscopic damage FE model. Constr. Build. Mater. 2023, 386, 131555. [Google Scholar] [CrossRef]
- Yang, J.; Fall, M. Coupled two-phase flow and elastodamage modeling of laboratory and in situ gas injection experiments in saturated claystone as a potential host rock for nuclear waste repository. Int. J. Geomech. 2023, 23, 04023023. [Google Scholar] [CrossRef]
- Cai, Y.; Wang, J.; Hai, J. Study on strength and deformation characteristics of saturated soft clay under bidirectional excitation cyclic loads. Chin. J. Rock Mech. Eng. 2008, 196, 495–504. [Google Scholar]
- Zhuang, X.; Yang, W.; Wang, K. Experimental study on expansibility and strength of light soil modified by phosphorus tailings and EPS. Yellow River 2020, 42, 144–142+147. [Google Scholar]
- Hou, T.; Cui, Y. Study on Dynamic deformation characteristics of EPS particles mixed lightweight soil and modified Hardin-Drnevich model. Chin. J. Geotech. Eng. 2021, 43, 1602–1611. [Google Scholar]
- Li, X.; Pan, D.; Huang, Y. Shaking table test and numerical simulation of free field in sand-sawdust mixed soil. Soil Dyn. Earthq. Eng. 2023, 165, 107707. [Google Scholar] [CrossRef]
- He, J.; Zhang, C.; Guang, J. Dynamic deformation characteristics of alkali residue solidified dredged sludge. Chin. J. Rock Mech. Eng. 2023, 42, 3712–3721. [Google Scholar]
- Huang, M.; Bian, X.; Chen, Y. Soil dynamics and geotechnical earthquake engineerin. J. Civ. Eng. 2020, 53, 64–86. [Google Scholar]
- Seyfettin, U.U. Assessment of sustainable expanded glass granules for enhancing shallow soil stabilization and dynamic behaviour of clay through resonant column tests. Eng. Sci. Technol. 2023, 42, 101415. [Google Scholar]
- Kong, B.; Ding, Z.; He, S. Pore characteristics and dynamic characteristics of freeze-thawed soft soil under free-to-pressure conditions. Chin. J. Rock Mech. Eng. 2020, 39, 2328–2340. [Google Scholar]
- Liang, W.; Wei, C.; Zhang, Q. Characteristics of expansion force evolution and water distribution in the moisture absorption process Characteristics of expansion force evolution and water distribution in the moisture absorption process of bentonite. J. Geotech. Eng. 2023, 45, 283–291. [Google Scholar]
- Wang, J.; Xie, Y. Predicting the Influence of Soil-Structure Interaction on Seismic Responses of Reinforced Concrete Frame Buildings Using Convolutional Neural Network. Buildings 2023, 13, 564. [Google Scholar] [CrossRef]
- Zhang, C.; Zhu, Z.; Liu, F. Efficient machine learning method for evaluating the compressive strength of cement stabilized soft soil. Constr. Build. Mater. 2023, 392, 131887. [Google Scholar] [CrossRef]


















| Natural Density ρ/(g/cm3) | Specific Gravity ds/(−) | Liquid Limit WL/(%) | Plastic Limit WP/(%) | Moisture Content/(%) |
|---|---|---|---|---|
| 1.7 | 2.68 | 39.46 | 19.46 | 21.65 |
| Wire Density/(g/km) | Unevenness of Linear Density/(%) | Breaking Strength/(cN) | Strong Unevenness/(%) | Elongation at Break/(%) |
|---|---|---|---|---|
| 32.7 | 13.47 | 684.87 | 36.17 | 1.87 |
| Specimen Number | Surrounding Pressure (kPa) | Frequency (Hz) | EPS Volume Ratio (%) | Dynamic Stress Amplitude (kPa) | Sisal Quality Ratio (%) |
|---|---|---|---|---|---|
| A-1 | 100 | 1 | 0 | 20–160 | 0 |
| A-2 | 100 | 1 | 5 | 20–160 | 0 |
| A-3 | 100 | 1 | 10 | 20–160 | 0 |
| A-4 | 100 | 1 | 15 | 20–160 | 0 |
| A-5 | 100 | 1 | 20 | 20–160 | 0 |
| B-1 | 100 | 1 | 5 | 20–160 | 0.6 |
| B-2 | 100 | 1 | 5 | 20–160 | 0.8 |
| B-3 | 100 | 1 | 5 | 20–160 | 1.0 |
| B-4 | 100 | 1 | 5 | 20–160 | 1.2 |
| B-5 | 100 | 1 | 5 | 20–160 | 1.4 |
| EPS Volume Dose (%) | Absolute Quality Reduction Rate (%) | Absolute Dynamic Modulus of Elasticity Reduction (%) | Modified Effect Factor |
|---|---|---|---|
| 5 | 4.82 | 12.36 | 0.39 |
| 10 | 9.64 | 28.24 | 0.34 |
| 15 | 14.46 | 45.12 | 0.32 |
| 20 | 19.28 | 62.56 | 0.31 |
Disclaimer/Publisher’s Note: The statements, opinions and data contained in all publications are solely those of the individual author(s) and contributor(s) and not of MDPI and/or the editor(s). MDPI and/or the editor(s) disclaim responsibility for any injury to people or property resulting from any ideas, methods, instructions or products referred to in the content. |
© 2023 by the authors. Licensee MDPI, Basel, Switzerland. This article is an open access article distributed under the terms and conditions of the Creative Commons Attribution (CC BY) license (https://creativecommons.org/licenses/by/4.0/).
Share and Cite
Zhuang, X.; Zhao, J. Experimental Study of the Dynamic Characteristics and Microscopic Mechanism of Lightweight Soil Modified with Expanded Polystyrene and Sisal Fibre. Appl. Sci. 2023, 13, 11502. https://doi.org/10.3390/app132011502
Zhuang X, Zhao J. Experimental Study of the Dynamic Characteristics and Microscopic Mechanism of Lightweight Soil Modified with Expanded Polystyrene and Sisal Fibre. Applied Sciences. 2023; 13(20):11502. https://doi.org/10.3390/app132011502
Chicago/Turabian StyleZhuang, Xinshan, and Jinze Zhao. 2023. "Experimental Study of the Dynamic Characteristics and Microscopic Mechanism of Lightweight Soil Modified with Expanded Polystyrene and Sisal Fibre" Applied Sciences 13, no. 20: 11502. https://doi.org/10.3390/app132011502
APA StyleZhuang, X., & Zhao, J. (2023). Experimental Study of the Dynamic Characteristics and Microscopic Mechanism of Lightweight Soil Modified with Expanded Polystyrene and Sisal Fibre. Applied Sciences, 13(20), 11502. https://doi.org/10.3390/app132011502
