Enhancing Control: Unveiling the Performance of Poisson EWMA Charts through Simulation with Poisson Mixture DATA
Abstract
:1. Introduction
2. Materials and Methods
2.1. Ewma Control Charts
2.2. Poisson EWMA Control Chart
2.3. Mixture Distributions
2.4. Poisson Mixture Distributions
2.5. Expectation Maximization Algorithm
- E-stepThe posterior probability of data point i belonging to component k at iteration r is denoted as is obtained by using Bayes’ theorem and given in Equation (25).where is the mixing proportion of component k at iteration r, and is the probability density function of component k evaluated at data point using parameters .
- M-stepUpdate the parameter estimates to maximize the expected based on the computed posterior probabilities in the E-step. These steps are repeated until the expected log-likelihood converges to the maximum.
3. Performance Evaluation and Experimental Design
- Step 1: Set the simulation parameters, including the replication length (or the number of sample data) and the number of replications.
- Step 2: Select the parameters for the PEWMA control chart, including , , and A.
- Step 3: Define the Poisson mixture parameters ( values) to represent desired shifts in the mean, based on values ranging from 0 to 1.
- Step 4: Run simulation.
- Step 5: Calculate the PEWMA statistics and determine the control limits UCL and LCL.
- Step 6: Check if falls within the control limits. If LCL or UCL, record the sample index number as RL (Run Length).
- Step 7: Repeat Steps 4 and 6 for each replication.
- Step 8: Calculate the ARL by computing the average of all recorded RL values.
- Step 9: Return to Step 2 and run the simulation for different PEWMA control chart parameters.
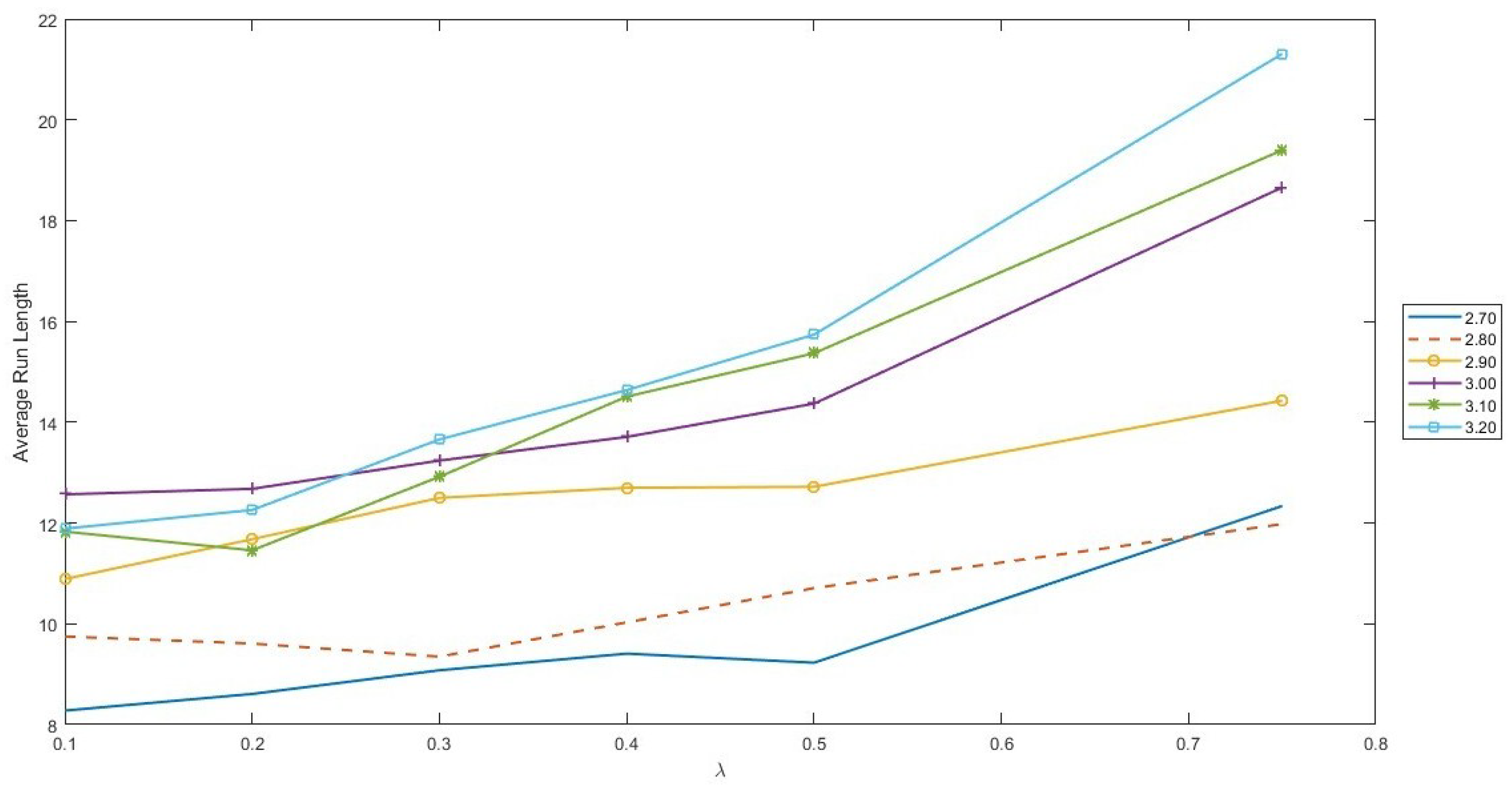
Analysis of Experimental Results
4. Application in Fastener Quality Control
Reliability
5. Discussion
6. Conclusions
Author Contributions
Funding
Institutional Review Board Statement
Informed Consent Statement
Data Availability Statement
Conflicts of Interest
Abbreviations
| EWMA | Exponentially Weighted Moving Average |
| PEWMA | Poisson-Exponentially Weighted Moving Average |
| CUSUM | Cumulative Sum |
| SPC | Statistical Process Control |
| RL | Run Length |
| ARL | Average Run Length |
References
- Petrović, S.; Milosavljević, P.; Lozanović Šajić, J. Rapid evaluation of maintenance process using statistical process control and simulation. Int. J. Simul. Model. 2018, 17, 119–132. [Google Scholar] [CrossRef] [PubMed]
- Wan, Q.; Chen, L.; Zhu, M. A reliability-oriented integration model of production control, adaptive quality control policy and maintenance planning for continuous flow processes. Comput. Ind. Eng. 2023, 176, 108985. [Google Scholar] [CrossRef]
- Hajej, Z.; Nyoungue, A.C.; Abubakar, A.S.; Mohamed Ali, K. An integrated model of production, maintenance, and quality control with statistical process control chart of a supply chain. Appl. Sci. 2021, 11, 4192. [Google Scholar] [CrossRef]
- Koetsier, A.; van der Veer, S.N.; Jager, K.J.; Peek, N.; de Keizer, N.F. Control charts in healthcare quality improvement. Methods Inf. Med. 2012, 51, 189–198. [Google Scholar]
- Flegner, P.; Kačur, J.; Durdán, M.; Laciak, M. Statistical Process Control Charts Applied to Rock Disintegration Quality Improvement. Appl. Sci. 2020, 10, 8343. [Google Scholar] [CrossRef]
- Montgomery, D.C. Introduction to Statistical Quality Control; John Wiley & Sons: Hoboken, NJ, USA, 2019. [Google Scholar]
- Roberts, S. Control chart tests based on geometric moving averages. Technometrics 2000, 42, 97–101. [Google Scholar] [CrossRef]
- Borror, C.M.; Montgomery, D.C.; Runger, G.C. Confidence intervals for variance components from gauge capability studies. Qual. Reliab. Eng. Int. 1997, 13, 361–369. [Google Scholar] [CrossRef]
- Borror, C.M.; Champ, C.W.; Rigdon, S.E. Poisson EWMA control charts. J. Qual. Technol. 1998, 30, 352–361. [Google Scholar] [CrossRef]
- Crowder, S.V. A simple method for studying run–length distributions of exponentially weighted moving average charts. Technometrics 1987, 29, 401–407. [Google Scholar]
- Crowder, S.V. Design of exponentially weighted moving average schemes. J. Qual. Technol. 1989, 21, 155–162. [Google Scholar] [CrossRef]
- Maravelakis, P.E.; Castagliola, P.; Khoo, M.B. Run length properties of run rules EWMA chart using integral equations. Qual. Technol. Quant. Manag. 2019, 16, 129–139. [Google Scholar] [CrossRef]
- Brook, D.; Evans, D. An approach to the probability distribution of CUSUM run length. Biometrika 1972, 59, 539–549. [Google Scholar] [CrossRef]
- Testik, M.C.; McCullough, B.; Borrar, C.M. The effect of estimated parameters on Poisson EWMA control charts. Qual. Technol. Quant. Manag. 2006, 3, 513–527. [Google Scholar] [CrossRef]
- Champ, C.W.; Rigdon, S.E. A comparison of the Markov chain and the integral equation approaches for evaluating the run length distribution of quality control charts. Qual. Control. Appl. Stat. 1992, 37, 407–408. [Google Scholar] [CrossRef]
- Maravelakis, P.E.; Castagliola, P. An EWMA chart for monitoring the process standard deviation when parameters are estimated. Comput. Stat. Data Anal. 2009, 53, 2653–2664. [Google Scholar] [CrossRef]
- Lucas, J.M.; Saccucci, M.S. Exponentially weighted moving average control schemes: Properties and enhancements. Technometrics 1990, 32, 1–12. [Google Scholar] [CrossRef]
- Sukparungsee, S.; Mititelu, G. A Modified Poisson Exponentially Weighted Moving Average Chart Based on Improved Square Root Transformation. Thail. Stat. 2016, 14, 197–202. [Google Scholar]
- Cabral Morais, M.; Knoth, S. Improving the ARL profile and the accuracy of its calculation for Poisson EWMA charts. Qual. Reliab. Eng. Int. 2020, 36, 876–889. [Google Scholar] [CrossRef]
- Avci, E.; Alturk, S.; Soylu, E.N. Comparison count regression models for overdispersed alga data. Int. J. Res. Rev. Appl. Sci. 2015, 25, 1. [Google Scholar]
- Jesus, B.D.; Ferreira, P.H.; Boaventura, L.L.; Fiaccone, R.L.; Bertoli, W.; Ramos, P.L.; Louzada, F. Statistical process control of overdispersed count data based on one-parameter Poisson mixture models. Qual. Reliab. Eng. Int. 2022, 38, 2324–2344. [Google Scholar] [CrossRef]
- Mustafa, F.; Sherwani, R.A.K.; Raza, M.A. A new exponentially weighted moving average control chart to monitor count data with applications in healthcare and manufacturing. J. Stat. Comput. Simul. 2023, 1–21. [Google Scholar] [CrossRef]
- McLachlan, G.J.; Lee, S.X.; Rathnayake, S.I. Finite mixture models. Annu. Rev. Stat. Its Appl. 2019, 6, 355–378. [Google Scholar] [CrossRef]
- Karlis, D.; Xekalaki, E. Mixed poisson distributions. Int. Stat. Rev. Int. Stat. 2005, 73, 35–58. [Google Scholar] [CrossRef]
- Dempster, A.P.; Laird, N.M.; Rubin, D.B. Maximum likelihood from incomplete data via the EM algorithm. J. R. Stat. Soc. Ser. B (Methodol.) 1977, 39, 1–22. [Google Scholar] [CrossRef]
- Qiu, P. Introduction to Statistical Process Control; CRC Press: Boca Raton, FL, USA, 2013. [Google Scholar]
- Boaventura, L.L.; Ferreira, P.H.; Fiaccone, R.L.; Ramos, P.L.; Louzada, F. New statistical process control charts for overdispersed count data based on the Bell distribution. An. Acad. Bras. Ciências 2023, 95, e20200246. [Google Scholar] [CrossRef] [PubMed]













| = 5 | = 5.5 | = 5 | = 6 | = 5 | = 6.5 | = 5 | = 7 | ||||
|---|---|---|---|---|---|---|---|---|---|---|---|
| Sample | Sample | Sample | Sample | ||||||||
| 1 | 1.00 | 0.00 | 12 | 1.00 | 0.00 | 23 | 1.00 | 0.00 | 34 | 1.00 | 0.00 |
| 2 | 0.90 | 0.10 | 13 | 0.90 | 0.10 | 24 | 0.90 | 0.10 | 35 | 0.90 | 0.10 |
| 3 | 0.80 | 0.20 | 14 | 0.80 | 0.20 | 25 | 0.80 | 0.20 | 36 | 0.80 | 0.20 |
| 4 | 0.70 | 0.30 | 15 | 0.70 | 0.30 | 26 | 0.70 | 0.30 | 37 | 0.70 | 0.30 |
| 5 | 0.60 | 0.40 | 16 | 0.60 | 0.40 | 27 | 0.60 | 0.40 | 38 | 0.60 | 0.40 |
| 6 | 0.50 | 0.50 | 17 | 0.50 | 0.50 | 28 | 0.50 | 0.50 | 39 | 0.50 | 0.50 |
| 7 | 0.40 | 0.60 | 18 | 0.40 | 0.60 | 29 | 0.40 | 0.60 | 40 | 0.40 | 0.60 |
| 8 | 0.30 | 0.70 | 19 | 0.30 | 0.70 | 30 | 0.30 | 0.70 | 41 | 0.30 | 0.70 |
| 9 | 0.20 | 0.80 | 20 | 0.20 | 0.80 | 31 | 0.20 | 0.80 | 42 | 0.20 | 0.80 |
| 10 | 0.10 | 0.90 | 21 | 0.10 | 0.90 | 32 | 0.10 | 0.90 | 43 | 0.10 | 0.90 |
| 11 | 0.00 | 1.00 | 22 | 0.00 | 1.00 | 33 | 1.00 | 0.00 | 44 | 0.00 | 0.00 |
| Replication | Iter | k | AIC | BIC | LL |
|---|---|---|---|---|---|
| 1 | 2 | 1 | 8059.960 | 8063.398 | −4028.980 |
| 2 | 20 | 2 | 4236.763 | 4247.077 | −2115.382 |
| 3 | 43 | 3 | 3123.799 | 3140.990 | −1556.900 |
| 4 | 64 | 3 | 3123.799 | 3140.990 | −1556.900 |
| 5 | 135 | 4 | 2905.724 | 2929.791 | −1445.862 |
| 6 | 111 | 5 | 2905.724 | 2940.667 | −1445.862 |
| 7 | 152 | 4 | 2905.724 | 2929.791 | −1445.862 |
| 8 | 166 | 4 | 2905.724 | 2929.791 | −1445.862 |
| 9 | 149 | 4 | 2905.724 | 2929.791 | −1445.862 |
| 10 | 175 | 4 | 2905.724 | 2929.791 | −1445.862 |
| Replication | Iter | k | AIC | BIC | LL |
|---|---|---|---|---|---|
| 1 | 2 | 1 | 10,346.030 | 10,349.747 | −5172.015 |
| 2 | 12 | 2 | 4435.795 | 4446.946 | −2214.897 |
| 3 | 7 | 3 | 1790.279 | 1808.865 | −890.139 |
| 4 | 10,000 | 4 | 1793.368 | 1819.405 | −889.693 |
| 5 | 10,000 | 4 | 1793.368 | 1819.405 | −889.693 |
| 6 | 10,000 | 4 | 1793.368 | 1819.405 | −889.693 |
| 7 | 10,000 | 4 | 1793.368 | 1819.405 | −889.693 |
| 8 | 10,000 | 5 | 1793.368 | 1830.836 | −889.693 |
| 9 | 10,000 | 5 | 1793.368 | 1830.839 | −889.693 |
| 10 | 10,000 | 5 | 1797.383 | 1830.836 | −889.691 |
| Product | Proportions | Parameters | ||||||
|---|---|---|---|---|---|---|---|---|
| Square Nut | 0.14 | 0.39 | 0.09 | 0.38 | 11.165 | 60.348 | 163.485 | 29.883 |
| Large Flange Rivet | 0.06 | 0.53 | 0.41 | - | 115.11 | 0.697 | 21.782 | - |
| Shift in Mean | A = 3.50 | A = 3.20 | A = 2.90 | A = 2.85 | A = 2.70 | A = 2.50 |
|---|---|---|---|---|---|---|
| Multiple of | = 0.75 | = 0.5 | = 0.4 | = 0.3 | = 0.2 | = 0.1 |
| 0.00 | 419.33 | 360.49 | 245.72 | 237.14 | 223.07 | 125.27 |
| 0.25 | 247.24 | 147.58 | 88.77 | 77.22 | 71.30 | 61.33 |
| 0.52 | 72.04 | 49.99 | 32.80 | 31.29 | 26.65 | 20.39 |
| 0.76 | 37.16 | 15.47 | 12.7 | 8.91 | 8.61 | 8.02 |
Disclaimer/Publisher’s Note: The statements, opinions and data contained in all publications are solely those of the individual author(s) and contributor(s) and not of MDPI and/or the editor(s). MDPI and/or the editor(s) disclaim responsibility for any injury to people or property resulting from any ideas, methods, instructions or products referred to in the content. |
© 2023 by the authors. Licensee MDPI, Basel, Switzerland. This article is an open access article distributed under the terms and conditions of the Creative Commons Attribution (CC BY) license (https://creativecommons.org/licenses/by/4.0/).
Share and Cite
Uncu, N.; Koyuncu, M. Enhancing Control: Unveiling the Performance of Poisson EWMA Charts through Simulation with Poisson Mixture DATA. Appl. Sci. 2023, 13, 11160. https://doi.org/10.3390/app132011160
Uncu N, Koyuncu M. Enhancing Control: Unveiling the Performance of Poisson EWMA Charts through Simulation with Poisson Mixture DATA. Applied Sciences. 2023; 13(20):11160. https://doi.org/10.3390/app132011160
Chicago/Turabian StyleUncu, Nuşin, and Melik Koyuncu. 2023. "Enhancing Control: Unveiling the Performance of Poisson EWMA Charts through Simulation with Poisson Mixture DATA" Applied Sciences 13, no. 20: 11160. https://doi.org/10.3390/app132011160
APA StyleUncu, N., & Koyuncu, M. (2023). Enhancing Control: Unveiling the Performance of Poisson EWMA Charts through Simulation with Poisson Mixture DATA. Applied Sciences, 13(20), 11160. https://doi.org/10.3390/app132011160

