CPM-GFDM: A Novel Combination of Continuous Phase Modulation and Generalized Frequency Division Multiplexing for Wireless Communication
Abstract
1. Introduction
2. Proposed CPM-GFDM Transceiver
2.1. CPM-GFDM Transmitter
2.2. CPM-GFDM Receiver
2.2.1. Received Signal and the Channel
2.2.2. GFDM Demodulator
2.2.3. Matched Filter Receiver
2.2.4. Zero Forcing Receiver
2.2.5. Viterbi Decoder
3. Numerical Results
3.1. Power Spectral Density
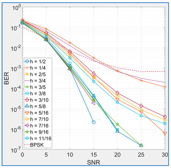
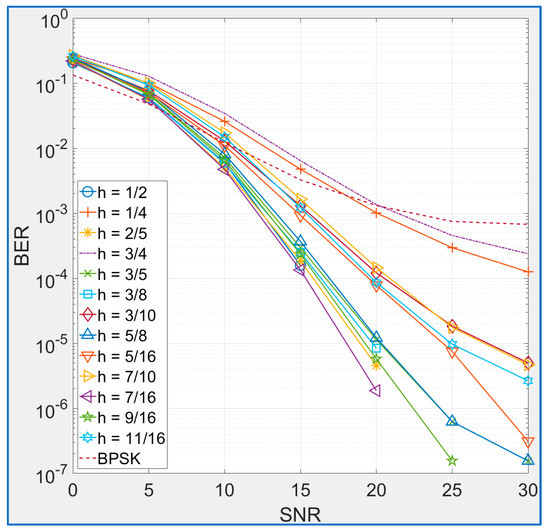
3.2. Performance in the AWGN Channel
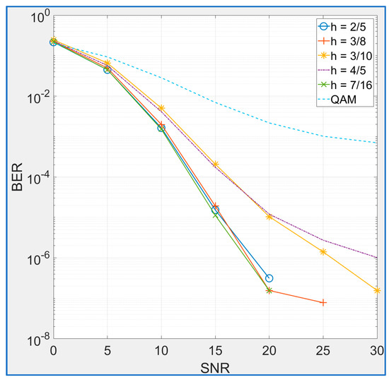
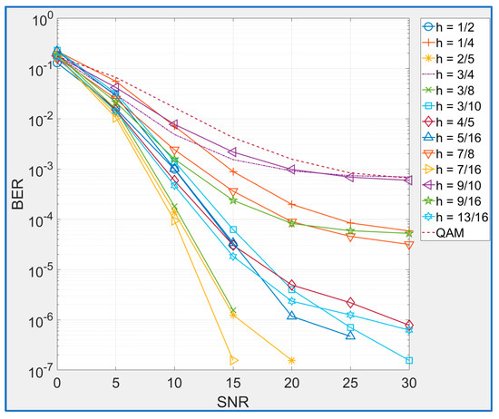
3.3. Performance in Frequency-Selective Channel
4. Discussion
5. Conclusions
Funding
Institutional Review Board Statement
Informed Consent Statement
Data Availability Statement
Acknowledgments
Conflicts of Interest
References
- Schaich, F.; Wild, T. Waveform Contenders for 5g—OFDM Vs. FBMC Vs. UFMC. In Proceedings of the 2014 6th International Symposium on Communications, Control and Signal Processing (ISCCSP), Athens, Greece, 21–23 May 2014. [Google Scholar]
- Bellanger, M.; Le Ruyet, D.; Roviras, D.; Terré, M.; Nossek, J.; Baltar, L.; Bai, Q.; Waldhauser, D.; Renfors, M.; Ihalainen, T. Fbmc Physical Layer: A Primer. PHYDYAS 2010, 25, 7–10. [Google Scholar]
- Shawqi, F.S.; Audah, L.; Mostafa, S.A.; Gunasekaran, S.S.; Baz, A.; Hammoodi, A.T.; Alhakami, H.; Hassan, M.H.; Jubair, M.; Alhakami, W. A New SLM-UFMC Model for Universal Filtered Multi-Carrier to Reduce Cubic Metric and Peak to Average Power Ratio in 5g Technology. Symmetry 2020, 12, 909. [Google Scholar] [CrossRef]
- Ahmed, M.A.; Baz, A.; Tsimenidis, C.C. Performance Analysis of Noma Systems over Rayleigh Fading Channels with Successive-Interference Cancellation. IET Commun. 2020, 14, 1065–1072. [Google Scholar] [CrossRef]
- Saito, Y.; Kishiyama, Y.; Benjebbour, A.; Nakamura, T.; Li, A.; Higuchi, K. Non-Orthogonal Multiple Access (NOMA) for Cellular Future Radio Access. In Proceedings of the 2013 IEEE 77th Vehicular Technology Conference (VTC Spring), Dresden, Germany, 2–5 June 2013. [Google Scholar]
- Abdoli, J.; Jia, M.; Ma, J. Filtered OFDM: A New Waveform for Future Wireless Systems. In Proceedings of the 2015 IEEE 16th International Workshop on Signal Processing Advances in Wireless Communications (SPAWC), Stockholm, Sweden, 28 June–1 July 2015. [Google Scholar]
- Fettweis, G.; Krondorf, M.; Bittner, S. GFDM-Generalized Frequency Division Multiplexing. In Proceedings of the VTC Spring 2009-IEEE 69th Vehicular Technology Conference, Barcelona, Spain, 26–29 April 2009. [Google Scholar]
- Li, Y.; Niu, K.; Dong, C. Polar-Coded GFDM Systems. IEEE Access 2019, 7, 149299–149307. [Google Scholar] [CrossRef]
- Ahamad, R.Z.; Javed, A.R.; Mehmood, S.; Khan, M.Z.; Noorwali, A.; Rizwan, M. Interference Mitigation in D2D Communication Underlying Cellular Networks: Towards Green Energy. CMC-Comput. Mater. Contin. 2021, 68, 45–58. [Google Scholar] [CrossRef]
- Zhong, J.; Chen, G.; Mao, J.; Dang, S.; Xiao, P. Iterative Frequency Domain Equalization for MIMO-GFDM Systems. IEEE Access 2018, 6, 19386–19395. [Google Scholar] [CrossRef]
- Matthé, M.; Mendes, L.; Gaspar, I.; Michailow, N.; Zhang, D.; Fettweis, G. Precoded GFDM Transceiver with Low Complexity Time Domain Processing. EURASIP J. Wirel. Commun. Netw. 2016, 2016, 1–9. [Google Scholar] [CrossRef]
- Michailow, N.; Mendes, L.; Matthé, M.; Gaspar, I.; Festag, A.; Fettweis, G. Robust WHT- GFDM for the Next Generation of Wireless Networks. IEEE Commun. Lett. 2014, 19, 106–109. [Google Scholar] [CrossRef]
- Farhang, A.; Marchetti, N.; Doyle, L.E. Low-Complexity Modem Design for GFDM. IEEE Trans. Signal Process. 2015, 64, 1507–1518. [Google Scholar] [CrossRef]
- Gaspar, I.; Michailow, N.; Navarro, A.; Ohlmer, E.; Krone, S.; Fettweis, G. Low Complexity GFDM Receiver Based on Sparse Frequency Domain Processing. In Proceedings of the 2013 IEEE 77th Vehicular Technology Conference (VTC Spring), Dresden, Germany, 2–5 June 2013. [Google Scholar]
- Datta, R.; Michailow, N.; Lentmaier, M.; Fettweis, G. GFDM Interference Cancellation for Flexible Cognitive Radio Phy Design. In Proceedings of the 2012 IEEE Vehicular Technology Conference (VTC Fall), Quebec City, QC, Canada, 3–6 September 2012. [Google Scholar]
- Chen, P.-C.; Su, B.; Huang, Y. Matrix Characterization for GFDM: Low Complexity Mmse Receivers and Optimal Filters. IEEE Trans. Signal Process. 2017, 65, 4940–4955. [Google Scholar] [CrossRef]
- Matthé, M.; Zhang, D.; Fettweis, G. Low-Complexity Iterative MMSE-Pic Detection for MIMO- GFDM. IEEE Trans. Commun. 2017, 66, 1467–1480. [Google Scholar] [CrossRef]
- Maraş, M.; Ayvaz, E.N.; Gömeç, M.; Savaşcıhabeş, A.; Özen, A. A Novel GFDM Waveform Design Based on Cascaded WHT-LWT Transform for the Beyond 5g Wireless Communications. Sensors 2021, 21, 1831. [Google Scholar] [CrossRef] [PubMed]
- Wang, Z.; Mei, L.; Sha, X. Ber Analysis for GFDM Systems with Gabor Mmse Receiver. IEEE Commun. Lett. 2018, 22, 2222–2225. [Google Scholar] [CrossRef]
- Wang, Z.; Mei, L.; Sha, X.; Leung, V.C.M. Ber Analysis of Wfrft Precoded OFDM and GFDM Waveforms with an Integer Time Offset. IEEE Trans. Veh. Technol. 2018, 67, 9097–9111. [Google Scholar] [CrossRef]
- Carrillo, D.; Kumar, S.; Fraidenraich, G.; Mendes, L.L. Bit Error Probability for Mmse Receiver in GFDM Systems. IEEE Commun. Lett. 2018, 22, 942–945. [Google Scholar] [CrossRef]
- Wang, Y.; Fortier, P. Performance Analysis of Ldpc Coded GFDM Systems. IET Commun. 2022, 16, 1663–1673. [Google Scholar] [CrossRef]
- Wang, H.-F.; Ueng, F.-B.; Chiang, C.-T. High Spectral Efficiency and Low Error Rate MIMO-GFDM for Next-Generation Communication Systems. IEEE Trans. Veh. Technol. 2021, 71, 503–517. [Google Scholar] [CrossRef]
- Wang, H.-F.; Ueng, F.-B.; Shen, Y.-S.; Lin, K.-X. Low-Complexity Receivers for Massive MIMO-GFDM Communications. Trans. Emerg. Telecommun. Technol. 2021, 32, e4219. [Google Scholar] [CrossRef]
- Wang, H.-F.; Ueng, F.-B.; Sung, Y.-H. Low-Complexity Mu-MIMO-GFDM Joint Receivers. Int. J. Electron. 2022, 110, 1–22. [Google Scholar] [CrossRef]
- Wang, Y.; Fortier, P. Polynomial Expansion-Based Mmse Channel Estimation and Precoding for Massive MIMO-GFDM Systems. Wirel. Pers. Commun. 2022, 127, 1–21. [Google Scholar] [CrossRef]
- Wang, Y.; Fortier, P. Union Bound on the Bit Error Rate for MIMO-GFDM Systems. Wirel. Pers. Commun. 2022, 123, 1825–1839. [Google Scholar] [CrossRef]
- Kassam, J.; Miri, M.; Magueta, R.; Castanheira, D.; Pedrosa, P.; Silva, A.; Dinis, R.; Gameiro, A. Two-Step Multiuser Equalization for Hybrid mmwave Massive MIMO GFDM Systems. Electronics 2020, 9, 1220. [Google Scholar] [CrossRef]
- Li, S.; Zhao, Y.; He, L.; Wu, Z.; Li, Y. Design and Performance Analysis of a GFDM-DCSK Communication System. In Proceedings of the 2016 13th IEEE Annual Consumer Communications & Networking Conference (CCNC), Las Vegas, NV, USA, 9–12 January 2016. [Google Scholar]
- Aulin, T.; Sundberg, C.-E. Bounds on the Performance of Binary Cpfsk Type of Signaling with Input Data Symbol Pulse Shaping. In Proceedings of the NTC’78, National Telecommunications Conference, Birmingham, AL, USA, 3–6 December 1978; Volume 1. [Google Scholar]
- Aulin, T.; Sundberg, C. Continuous Phase Modulation-Part I: Full Response Signaling. IEEE Trans. Commun. 1981, 29, 196–209. [Google Scholar] [CrossRef]
- Aulin, T.; Rydbeck, N.; Sundberg, C.-E. Continuous Phase Modulation-Part II: Partial Response Signaling. IEEE Trans. Commun. 1981, 29, 210–225. [Google Scholar] [CrossRef]
- Sun, Y. Optimal Parameter Design of Continuous Phase Modulation for Future Gnss Signals. IEEE Access 2021, 9, 58487–58502. [Google Scholar] [CrossRef]
- Imran, M.; Rashid, M.; Jafri, A.R.; Najam-ul-Islam, M. Acryp-Proc: Flexible Asymmetric Crypto Processor for Point Multiplication. IEEE Access 2018, 6, 22778–22793. [Google Scholar] [CrossRef]
- Rashid, M.; Imran, M.; Jafri, A.R.; Al-Somani, T.F. Flexible Architectures for Cryptographic Algorithms—A Systematic Literature Review. J. Circuits Syst. Comput. 2019, 28, 1930003. [Google Scholar] [CrossRef]
- Alves, B.M.; Mendes, L.L.; Guimaraes, D.A.; Gaspar, I.S. Performance of GFDM over Frequency-Selective Channels. In Proceedings of the International Workshop on Telecommunications, Santa Rita do Sapuca, Brazil, 2–4 July 2013. [Google Scholar]
- Proakis, J.G.; Salehi, M. Digital Communications; McGraw-Hill: New York, NY, USA, 2008. [Google Scholar]
- Tasadduq, I.A.; Rao, R.K. OFDM-CPM Signals. Electron. Lett. 2002, 38, 80–81. [Google Scholar] [CrossRef]
- Anderson, J.B.; Aulin, T. Digital Phase Modulation; Plenum: New York, NY, USA, 1986. [Google Scholar]
- Matthe, M.; Michailow, N.; Gaspar, I.; Fettweis, G. Influence of Pulse Shaping on Bit Error Rate Performance and out of Band Radiation of Generalized Frequency Division Multiplexing. In Proceedings of the 2014 IEEE International Conference on Communications Workshops (ICC), Sydney, Australia, 10–14 June 2014. [Google Scholar]
- Das, S.S.; Tiwari, S. Discrete Fourier Transform Spreading-Based Generalised Frequency Division Multiplexing. Electron. Lett. 2015, 51, 789–791. [Google Scholar] [CrossRef]
- Michailow, N.; Matthe, M.; Gaspar, I.S.; Caldevilla, A.N.; Mendes, L.L.; Festag, A.; Fettweis, G. Generalized Frequency Division Multiplexing for 5th Generation Cellular Networks. IEEE Trans. Commun. 2014, 62, 3045–3061. [Google Scholar] [CrossRef]
- Tasadduq, I.A.; Rao, R.K. OFDM-CPM Signals for Wireless Communications. Can. J. Electr. Comput. Eng. 2003, 28, 19–25. [Google Scholar] [CrossRef]
- Sklar, B. Digital Communications: Fundamentals and Applications, 2nd ed.; Prentice-Hall: Englewood Cliffs, NJ, USA, 2001. [Google Scholar]
- Haykin, S. Communication Systems; John Wiley & Sons: Hoboken, NJ, USA, 2008. [Google Scholar]
- Vodafone Chair Mobile Communications Systems—Testbed. Available online: http://owl.ifn.et.tu-dresden.de/GFDM/ (accessed on 3 January 2023).
- Üçüncü, A.B.; Yilmazx, A.Ö. Out-of-Band Radiation Comparison of GFDM, WCP-COQAM and OFDM at Equal Spectral Efficiency. arXiv 2015, arXiv:1510.01201. [Google Scholar]
- Behrouz, F.-B. OFDM Versus Filter Bank Multicarrier. IEEE Signal Process. Mag. 2011, 28, 92–112. [Google Scholar]
- Sim, Z.A.; Juwono, F.H.; Reine, R.; Zang, Z.; Gopal, L. Performance of GFDM Systems Using Quadratic Programming Pulse Shaping Filter Design. IEEE Access 2020, 8, 37134–37146. [Google Scholar] [CrossRef]
- Michailow, N.; Datta, R.; Krone, S.; Lentmaier, M.; Fettweis, G. Generalized Frequency Division Multiplexing: A Flexible Multi-Carrier Modulation Scheme for 5th Generation Cellular Networks. In Proceedings of the German Microwave Conference (GeMiC), Ilmenau, Germany, 12–14 March 2012. [Google Scholar]
- Murad, M.; Tasadduq, I.A.; Otero, P. Towards Multicarrier Waveforms Beyond OFDM: Performance Analysis of GFDM Modulation for Underwater Acoustic Channels. IEEE Access 2020, 8, 222782–222799. [Google Scholar] [CrossRef]
- Li, W.; Lilleberg, J.; Rikkinen, K. On Rate Region Analysis of Half-and Full-Duplex OFDM Communication Links. IEEE J. Sel. Areas Commun. 2014, 32, 1688–1698. [Google Scholar] [CrossRef]

















| Parameters | Value |
|---|---|
| No. of subcarriers () | 128 |
| No. of sub-symbols per subcarrier () | 5 |
| No. of active subcarriers () | 128 |
| No. of active sub-symbols () | 5 |
| Cyclic prefix (CP) | 32 |
| Roll off factor () | 0.5 |
| Pulse shape | RRC |
| Mapper | QAM, PSK, CPM |
| Sampling rate | 10 MHz |
| No. | |||
|---|---|---|---|
| 1 | 1 | 2 | 0.5 |
| 1 | 1 | 4 | 0.25 |
| 2 | 1 | 5 | 0.2 |
| 3 | 1 | 8 | 0.125 |
| 4 | 1 | 10 | 0.1 |
| 5 | 1 | 16 | 0.0625 |
| 6 | 2 | 5 | 0.4 |
| 7 | 3 | 4 | 0.75 |
| 8 | 3 | 5 | 0.6 |
| 9 | 3 | 8 | 0.375 |
| 10 | 3 | 10 | 0.3 |
| 11 | 3 | 16 | 0.1875 |
| 12 | 4 | 5 | 0.8 |
| 13 | 5 | 8 | 0.625 |
| 14 | 5 | 16 | 0.3125 |
| 15 | 6 | 10 | 0.6 |
| 16 | 7 | 8 | 0.875 |
| 17 | 7 | 10 | 0.7 |
| 18 | 7 | 16 | 0.4375 |
| 19 | 9 | 10 | 0.9 |
| 20 | 9 | 16 | 0.5625 |
| 21 | 11 | 16 | 0.6875 |
| 22 | 13 | 16 | 0.8125 |
| 23 | 15 | 16 | 0.9375 |
| Tap | Relative Delay (ns) | Average Power (dB) |
|---|---|---|
| 1 | 0 | |
| 2 | 300 | |
| 3 | 700 | |
| 4 | 1100 | |
| 5 | 1700 | |
| 6 | 2500 |
| AWGN Channel | Frequency-Selective Channel | |||||||||||
|---|---|---|---|---|---|---|---|---|---|---|---|---|
| MF | ZF | MF | ZF | MF | ZF | MF | ZF | MF | ZF | MF | ZF | |
| 1/2 | ✓ | - | ✓ | - | - | ✓ | ✓ | - | - | - | - | - |
| 1/4 | ✓ | - | ✓ | - | ✓ | ✓ | ✓ | - | - | ✓ | ✓ | ✓ |
| 1/5 | - | - | - | - | ✓ | ✓ | - | - | - | - | - | - |
| 1/8 | - | - | - | - | - | ✓ | - | - | - | - | - | - |
| 1/10 | - | - | - | - | - | ✓ | - | - | - | - | - | - |
| 1/16 | - | - | - | - | - | - | - | - | - | - | - | - |
| 2/5 | ✓ | - | ✓ | - | ✓ | ✓ | ✓ | - | ✓ | - | - | - |
| 3/4 | ✓ | - | ✓ | - | - | - | ✓ | - | - | - | - | - |
| 3/5 | ✓ | - | - | - | - | - | ✓ | - | - | - | - | - |
| 3/8 | ✓ | - | ✓ | - | ✓ | ✓ | ✓ | - | ✓ | - | - | - |
| 3/10 | ✓ | - | ✓ | - | ✓ | ✓ | ✓ | - | ✓ | ✓ | ✓ | ✓ |
| 3/16 | - | - | - | - | ✓ | ✓ | - | - | - | - | - | - |
| 4/5 | - | - | ✓ | - | ✓ | ✓ | - | - | ✓ | - | ✓ | ✓ |
| 5/8 | ✓ | - | - | - | ✓ | ✓ | ✓ | - | - | - | - | - |
| 5/16 | ✓ | - | ✓ | - | ✓ | ✓ | ✓ | - | - | ✓ | ✓ | - |
| 7/8 | - | - | ✓ | - | ✓ | ✓ | - | - | - | - | - | - |
| 7/10 | ✓ | - | - | - | ✓ | ✓ | ✓ | - | - | - | - | - |
| 7/16 | ✓ | - | ✓ | - | ✓ | - | ✓ | - | ✓ | - | - | - |
| 9/10 | - | - | ✓ | - | ✓ | ✓ | - | - | - | - | - | - |
| 9/16 | ✓ | - | ✓ | - | ✓ | ✓ | ✓ | - | - | - | - | - |
| 11/16 | ✓ | - | - | - | ✓ | ✓ | ✓ | - | - | - | - | - |
| 13/16 | - | - | ✓ | - | ✓ | ✓ | - | - | - | - | - | - |
| 15/16 | - | - | - | - | ✓ | ✓ | - | - | - | - | - | - |
Disclaimer/Publisher’s Note: The statements, opinions and data contained in all publications are solely those of the individual author(s) and contributor(s) and not of MDPI and/or the editor(s). MDPI and/or the editor(s) disclaim responsibility for any injury to people or property resulting from any ideas, methods, instructions or products referred to in the content. |
© 2023 by the author. Licensee MDPI, Basel, Switzerland. This article is an open access article distributed under the terms and conditions of the Creative Commons Attribution (CC BY) license (https://creativecommons.org/licenses/by/4.0/).
Share and Cite
Tasadduq, I.A. CPM-GFDM: A Novel Combination of Continuous Phase Modulation and Generalized Frequency Division Multiplexing for Wireless Communication. Appl. Sci. 2023, 13, 854. https://doi.org/10.3390/app13020854
Tasadduq IA. CPM-GFDM: A Novel Combination of Continuous Phase Modulation and Generalized Frequency Division Multiplexing for Wireless Communication. Applied Sciences. 2023; 13(2):854. https://doi.org/10.3390/app13020854
Chicago/Turabian StyleTasadduq, Imran A. 2023. "CPM-GFDM: A Novel Combination of Continuous Phase Modulation and Generalized Frequency Division Multiplexing for Wireless Communication" Applied Sciences 13, no. 2: 854. https://doi.org/10.3390/app13020854
APA StyleTasadduq, I. A. (2023). CPM-GFDM: A Novel Combination of Continuous Phase Modulation and Generalized Frequency Division Multiplexing for Wireless Communication. Applied Sciences, 13(2), 854. https://doi.org/10.3390/app13020854

