Wide pH Range Potentiometric and Spectrophotometric Investigation into the Acidic Constants of Quercetin, Luteolin and l-Ascorbic Acid in Aqueous Media
Abstract
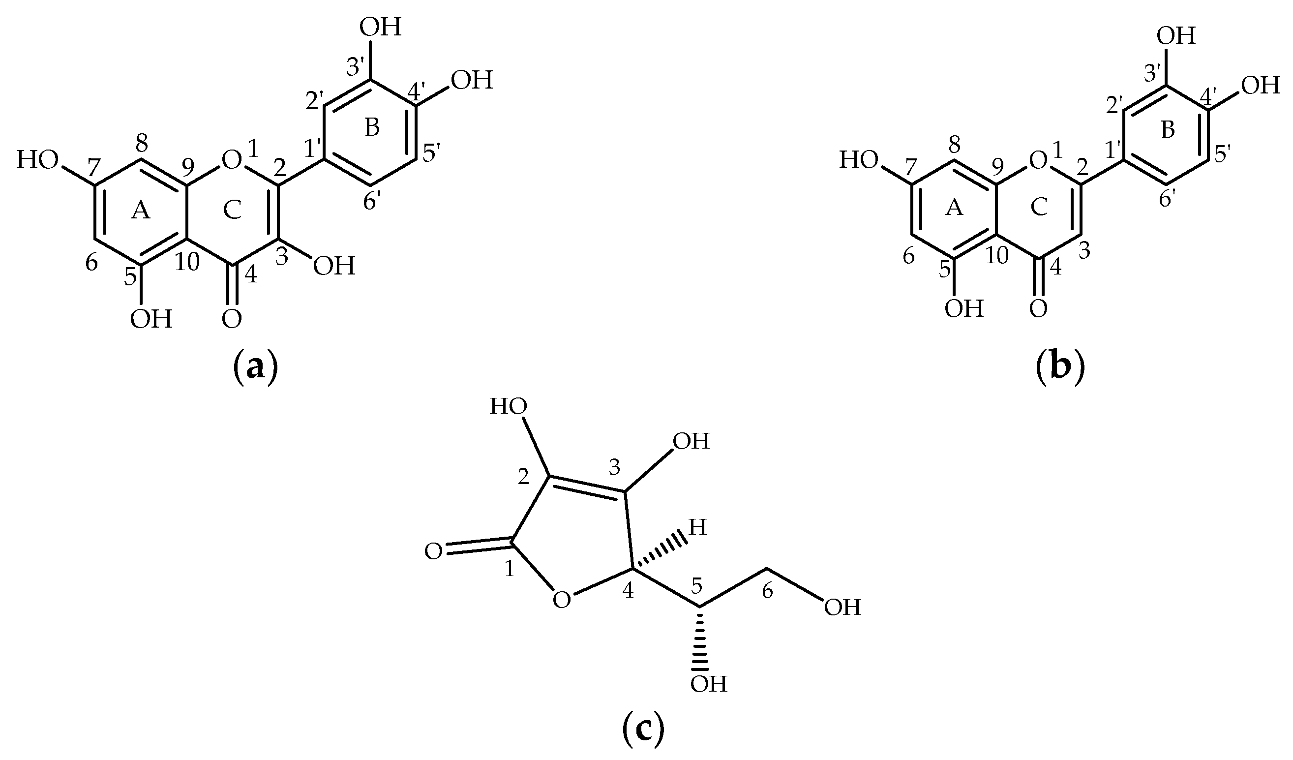
1. Introduction
2. Materials and Methods
2.1. Chemicals
2.2. Potentiometry and Spectrophotometry
3. Results
4. Discussion
Author Contributions
Funding
Institutional Review Board Statement
Informed Consent Statement
Data Availability Statement
Conflicts of Interest
Appendix A



| Method | Medium | °C | log K* | pKa1 | pKa2 | pKa3 | pKa4 | pKa5 | Ref. | |
|---|---|---|---|---|---|---|---|---|---|---|
| Que | Electroph. | H2O | 25 | 7.1 ± 0.1 | 9.1 ± 0.1 | 11.1 ± 0.4 | [42] | |||
| Colorim. | H2O | 25 | 1.8 ± 0.1 | 6.4 ± 0.1 | 8.1 ± 0.1 | 9.0 ± 0.1 | 9.6 ± 0.1 | 11.3 ± 0.1 | [31] | |
| Spectr. | 6.6 ± 0.1 | 8.1 ± 0.1 | 11.4 ± 0.1 | |||||||
| Lut | Pot. | 0.16 M NaCl | 37 | 8.9 ± 0.1 | [14] | |||||
| A.A. | Cond. | H2O | 25 | 4.147 | [45] | |||||
| Pot. | 0.16 M NaCl | 37 | 3.86 ± 0.01 | [11] | ||||||
| Spectr. | H2O | 25 | 4.16 ± 0.01 | 11.73 ± 0.02 | [46] | |||||
| Titr. | H2O | 16–18 | 4.14 | 11.43 | [47] |
References
- Beltran, J.L.; Sanli, N.; Fonrodona, G.; Barron, D.; Ozkan, G.; Barbosa, J. Spectrophotometric, potentiometric and chromatographic pKa values of polyphenolic acids in water and acetonitrile–water media. Anal. Chim. Acta 2003, 484, 253–264. [Google Scholar] [CrossRef]
- Erdemgil, F.Z.; Sanli, S.; Sanli, N.; Ozkan, G.; Barbosa, J.; Guiteras, J.; Beltran, J.L. Determination of pK(a) values of some hydroxylated benzoic acids in methanol-water binary mixtures by LC methodology and potentiometry. Talanta 2007, 72, 489–496. [Google Scholar] [CrossRef]
- Ragnar, M.; Lindgren, C.T.; Nilvebrant, N.-O. pKa-Values of guaiacyl and syringyl phenols related to lignin. J. Wood Chem. Technol. 2000, 20, 277–305. [Google Scholar] [CrossRef]
- Lee, S.K.; Mbwambo, Z.H.; Chung, H.S.; Luyengi, L.; Gamez, E.J.C.; Mehta, R.G.; Kinghorn, A.D.; Pezzuto, J.M. Evaluation of the antioxidant potential of natural products. Comb. Chem. High Throughput Screen. 1998, 1, 35–46. [Google Scholar] [CrossRef] [PubMed]
- Di Donna, L.; Bartella, L.; De Vero, L.; Gullo, M.; Giufrè, A.M.; Zappia, C.; Capocasale, M.; Poiana, M.; D’Urso, S.; Caridi, A. Vinegar production from Citrus bergamia by-products and preservation of bioactive compounds. Eur. Food Res. Technol. 2020, 246, 1981–1990. [Google Scholar] [CrossRef]
- Bartella, L.; Mazzotti, F.; Talarico, I.R.; De Luca, G.; Santoro, I.; Prejanò, M.; Riccioni, C.; Marino, T.; Di Donna, L. Structural Characterization of Peripolin and Study of Antioxidant Activity of HMG Flavonoids from Bergamot Fruit. Antioxidants 2022, 11, 1847. [Google Scholar] [CrossRef]
- Nijveldt, R.J.; van Nood, E.; van Hoorn, D.E.C.; Boelens, P.G.; van Norren, K.; van Leeuwen, P.A.M. Flavonoids: A review of probable mechanisms of action and potential applications. Am. J. Clin. Nutr. 2001, 74, 418–425. [Google Scholar] [CrossRef]
- Taverna, D.; Di Donna, L.; Mazzotti, F.; Tagarelli, A.; Napoli, A.; Furia, E.; Sindona, G. Rapid discrimination of bergamot essential oil by paper spray mass spectrometry and chemometric analysis. J. Mass Spectrom. 2016, 51, 761–767. [Google Scholar] [CrossRef]
- Corradini, E.; Foglia, P.; Giansanti, P.; Gubbiotti, R.; Samperi, R.; Laganà, A. Flavonoids: Chemical properties and analytical methodologies of identification and quantitation in foods and plants. Nat. Prod. Res. 2011, 25, 469–495. [Google Scholar] [CrossRef]
- Furia, E.; Marino, T.; Russo, N. Insights into the coordination mode of quercetin with Al(III) ion from a combined experimental and theoretical study. Dalton Trans. 2014, 43, 7269–7274. [Google Scholar] [CrossRef]
- Cesario, D.; Furia, E.; Mazzone, G.; Beneduci, A.; De Luca, G.; Sicilia, E. The Complexation of Al3+ and Ni2+ by l-Ascorbic Acid: An Experimental and Theoretical Investigation. J. Phys. Chem. A 2017, 121, 9773–9781. [Google Scholar] [CrossRef] [PubMed]
- Corrente, G.A.; Malacaria, L.; Beneduci, A.; Furia, E.; Marino, T.; Mazzone, G. Experimental and theoretical study on the coordination properties of quercetin towards aluminum(III), iron(III) and copper(II) in aqueous solution. J. Mol. Liq. 2021, 325, 115171. [Google Scholar] [CrossRef]
- Malacaria, L.; Corrente, G.A.; Beneduci, A.; Furia, E.; Marino, T.; Mazzone, G. A review on coordination properties of Al(III) and Fe(III) towards natural antioxidant molecules: Experimental and theoretical insights. Molecules 2021, 26, 2603. [Google Scholar] [CrossRef] [PubMed]
- Malacaria, L.; La Torre, C.; Furia, E.; Fazio, A.; Caroleo, M.C.; Cione, E.; Gallelli, L.; Marino, T.; Plastina, P. Aluminum(III), iron(III) and copper(II) complexes of luteolin: Stability, antioxidant, and anti-inflammatory properties. J. Mol. Liq. 2022, 345, 117895. [Google Scholar] [CrossRef]
- Ritacca, A.G.; Malacaria, L.; Sicilia, E.; Furia, E.; Mazzone, G. Experimental and theoretical study of the complexation of Fe3+ and Cu2+ by l-ascorbic acid in aqueous solution. J. Mol. Liq. 2022, 355, 118973. [Google Scholar] [CrossRef]
- Hilgers, R.; Bijlsma, J.; Malacaria, L.; Vincken, J.-P.; Furia, E.; De Bruijn, W.J.C. Transition metal cations catalyze 16O/18O exchange of catechol motifs with H218O. Org. Biomol. Chem. 2022, 20, 9093–9097. [Google Scholar] [CrossRef]
- Malacaria, L.; Bijlsma, J.; Hilgers, R.; De Bruijn, W.J.C.; Vincken, J.-P.; Furia, E. Insights into the complexation and oxidation of quercetin and luteolin in aqueous solutions in presence of selected metal cations. J. Mol. Liq. 2023, 369, 120840. [Google Scholar] [CrossRef]
- Crisponi, G.; Nurchi, V.M.; Bertolasi, V.; Remelli, M.; Faa, G. Chelating agents for human diseases related to aluminium overload. Coord. Chem. Rev. 2012, 256, 89–104. [Google Scholar] [CrossRef]
- Nurchi, V.M.; Crespo-Alonso, M.; Toso, L.; Lachowicz, J.I.; Crisponi, G. Chelation Therapy for Metal Intoxication: Comments from a Thermodynamic Viewpoint. Mini-Rev. Med. Chem. 2013, 13, 1541–1549. [Google Scholar] [CrossRef]
- Hofer, T.; Jørgensen, T.O.; Olsen, R.L. Comparison of food antioxidants and iron chelators in two cellular free radical assays: Strong protection by Luteolin. J. Agric. Food Chem. 2014, 62, 8402–8410. [Google Scholar] [CrossRef]
- Crisponi, G.; Dean, A.; Di Marco, V.; Lachowicz, J.I.; Nurchi, V.M.; Remelli, M.; Tapparo, A. Different approaches to the study of chelating agents for iron and aluminium overload pathologies. Anal. Bioanal. Chem. 2013, 405, 585–601. [Google Scholar] [CrossRef]
- Drüeke, T.B. Intestinal absorption of aluminium in renal failure. Nephrol. Dial. Transplant. 2002, 17, 13–16. [Google Scholar] [CrossRef][Green Version]
- Cherrak, S.A.; Mokhtari-Soulimane, N.; Berroukeche, F.; Bensenane, B.; Cherbonnel, A.; Merzouk, H.; Elhabiri, M. In Vitro Antioxidant versus Metal Ion Chelating Properties of Flavonoids: A Structure-Activity Investigation. PLoS ONE 2016, 11, e0165575. [Google Scholar] [CrossRef]
- Selvaraj, S.; Krishnaswamy, S.; Devashya, V.; Sethuraman, S.; Krishnan, U.M. Flavonoid-Metal Ion Complexes: A Novel Class of Therapeutic Agents. Med. Res. Rev. 2014, 34, 677–702. [Google Scholar] [CrossRef] [PubMed]
- Kostyuk, V.A.; Potapovich, A.I.; Kostyuk, T.V.; Cherian, M.G. Metal complexes of dietary flavonoids: Evaluation of radical scavenger properties and protective activity against oxidative stress in vivo. Cell. Mol. Biol. 2007, 53, 62–69. [Google Scholar] [PubMed]
- Biedermann, G.; Sillén, L.G. Studies on the hydrolysis of metal ions. IV. Liquid junction potentials and constancy of activity factors in NaClO4–HClO4 ionic medium. Arkiv Kemi. 1953, 5, 425–440. [Google Scholar]
- Gran, G. Determination of the equivalent point in potentiometric titrations. Acta Chem. Scand. 1950, 4, 559–577. [Google Scholar] [CrossRef]
- Gran, G. Determination of the equivalence point in potentiometric titrations. Part II. Analyst 1952, 77, 661–670. [Google Scholar] [CrossRef]
- Beneduci, A.; Corrente, G.A.; Marino, T.; Aiello, D.; Bartella, L.; Di Donna, L.; Napoli, A.; Russo, N.; Romeo, I.; Furia, E. Insight on the chelation of aluminum(III) and iron(III) by curcumin in aqueous solution. J. Mol. Liq. 2019, 296, 111805. [Google Scholar] [CrossRef]
- Gans, P.; Sabatini, A.; Vacca, A. Investigation of equilibria in solution. Determination of equilibrium constants with the HYPERQUAD suite of programs. Talanta 1996, 43, 1739–1753. [Google Scholar] [CrossRef]
- Chebotarev, A.N.; Snigur, D.V. Study of the Acid Base Properties of Quercetin in Aqueous Solutions by Color Measurements. J. Anal. Chem. 2015, 70, 55–59. [Google Scholar] [CrossRef]
- Gans, P.; Sabatini, A.; Vacca, A. SUPERQUAD: An improved general program for computation of formation constants from potentiometric data. J. Chem. Soc. Dalton Trans. 1985, 1195–1200. [Google Scholar] [CrossRef]
- Sillén, L.G. Some Graphical Methods for Determining Equilibrium Constants. II. On “Curve-fitting” Methods for Two-variable Data. Acta Chem. Scand. 1956, 10, 186–202. [Google Scholar] [CrossRef]
- De Stefano, C.; Foti, C.; Giuffrè, O.; Sammartano, S. Dependence on Ionic Strength of Protonation Enthalpies of Polycarboxylate Anions in NaCl Aqueous Solution. J. Chem. Eng. Data 2001, 46, 1417–1424. [Google Scholar] [CrossRef]
- Zhang, C.; Korshin, G.V.; Kuznetsov, A.M.; Yan, M. Experimental and quantum-chemical study of differential absorbance spectra of environmentally relevant species: A study of quercetin deprotonation and its interactions with copper (II) ions. Sci. Total Environ. 2019, 679, 229–236. [Google Scholar] [CrossRef]
- Álvarez-Diduk, R.; Ramírez-Silva, M.T.; Galano, A.; Merkoçi, A. Deprotonation mechanism and acidity constants in aqueous solution of flavonols: A combined experimental and theoretical study. J. Phys. Chem. B 2013, 117, 12347–12359. [Google Scholar] [CrossRef]
- Musialik, M.; Kuzmicz, R.; Pawłowski, T.S.; Litwinienko, G. Acidity of Hydroxyl Groups: An Overlooked Influence on Antiradical Properties of Flavonoids. J. Org. Chem. 2009, 74, 2699–2709. [Google Scholar] [CrossRef]
- Amat, A.; De Angelis, F.; Sgamellotti, A.; Fantacci, S. Acid-base chemistry of Luteolin and its methyl-ether derivatives: A DFT and ab initio investigation. Chem. Phys. Lett. 2008, 462, 313–317. [Google Scholar] [CrossRef]
- Agrawal, P.K.; Schneider, H.-J. Deprotonation induced 13C NMR shifts in phenols and flavonoids. Tetrahedron Lett. 1983, 24, 177–180. [Google Scholar] [CrossRef]
- Tyukavkina, N.A.; Pogodaeva, N.N. Ultraviolet Absorption of Flavonoids VIII. Ionization Constants of Kaempferol and Quercetin. Chem. Nat. Compd. 1975, 11, 741–743. [Google Scholar] [CrossRef]
- Zenkevich, I.G.; Guschina, S.V. Determination of Dissociation Constants of Species Oxidizable in Aqueous Solution by Air Oxygen on an Example of Quercetin. J. Anal. Chem. 2010, 65, 371–375. [Google Scholar] [CrossRef]
- Herrero-Martínez, J.M.; Sanmartin, M.; Rosés, M.; Bosch, E.; Ràfols, C. Determination of dissociation constants of flavonoids by capillary electrophoresis. Electrophoresis 2005, 26, 1886–1895. [Google Scholar] [CrossRef] [PubMed]
- Jovanovic, S.V.; Steenken, S.; Tosic, M.; Marjanovic, B.; Simic, M.G. Flavonoids as Antioxidants. J. Am. Chem. Soc. 1994, 116, 4846–4851. [Google Scholar] [CrossRef]
- Herrero-Martínez, J.M.; Repollés, C.; Bosch, E.; Rosés, M.; Ràfols, C. Potentiometric Determination of Aqueous Dissociation Constants of Flavonols Sparingly Soluble in Water. Talanta 2008, 74, 1008–1013. [Google Scholar] [CrossRef] [PubMed]
- Rimpapa, Z.; Pleho-Kapić, A.; Galijašević, S.; Šapčanin, A.; Korać, F. Change in Acidity of l-Ascorbic Acid in the Mixed Solvent DMSO—Water Followed by Conductometric Determination of Dissociation Constants. Bull. Chem. Technol. Bosnia. Herzeg. 2013, 40, 35–38. [Google Scholar]
- Seok, Y.-J.; Kap-Seok, Y.; Sa-Ouk, K. A simple spectrophotometric determination of dissociation constants of organic compounds. Anal. Chim. Acta 1995, 306, 351–356. [Google Scholar] [CrossRef]
- Birch, T.W.; Harris, L.J. The titration curve and dissociation constants of vitamin C. Biochem. J. 1933, 27, 595. [Google Scholar]
- Zumreoglu-Karan, B. The coordination chemistry of Vitamin C: An overview. Coord. Chem. Rev. 2006, 250, 2295–2307. [Google Scholar] [CrossRef]

| log K* | log Ka1 | log Ka2 | log Ka3 | log Ka4 | log Ka5 | |
|---|---|---|---|---|---|---|
| Quercetin | Superquad | |||||
| 2.00 ± 0.06 | −8.29 ± 0.03 | −8.61 ± 0.01 | −9.5 ± 0.1 | −9.7 ± 0.3 | −10.4 ± 0.3 | |
| Hyperquad | ||||||
| / | −8.5 ± 0.6 | −9.0 ± 0.3 | −9.5 ± 0.6 | −10.0 ± 0.3 | −10.5 ± 0.9 | |
| Luteolin | Superquad | |||||
| 2.3 ± 0.1 | −8.29 ± 0.03 | −8.6 ± 0.1 | −8.8 ± 0.3 | −9.3 ± 0.3 | ||
| Hyperquad | ||||||
| / | −8.1 ± 0.3 | −8.80 ± 0.05 | −9.6 ± 0.6 | −9.8 ± 0.6 | ||
| l-Ascorbic Acid | log K* | log Ka1 | log Ka2 | |||
| Superquad | ||||||
| 1.2 ± 0.1 | - | −3.86 ± 0.03 | / | |||
| Hyperquad | ||||||
| 1.16 ± 0.05 | −3.75 ± 0.06 | −10.6 ± 0.1 | ||||
Disclaimer/Publisher’s Note: The statements, opinions and data contained in all publications are solely those of the individual author(s) and contributor(s) and not of MDPI and/or the editor(s). MDPI and/or the editor(s) disclaim responsibility for any injury to people or property resulting from any ideas, methods, instructions or products referred to in the content. |
© 2023 by the authors. Licensee MDPI, Basel, Switzerland. This article is an open access article distributed under the terms and conditions of the Creative Commons Attribution (CC BY) license (https://creativecommons.org/licenses/by/4.0/).
Share and Cite
Malacaria, L.; Furia, E. Wide pH Range Potentiometric and Spectrophotometric Investigation into the Acidic Constants of Quercetin, Luteolin and l-Ascorbic Acid in Aqueous Media. Appl. Sci. 2023, 13, 776. https://doi.org/10.3390/app13020776
Malacaria L, Furia E. Wide pH Range Potentiometric and Spectrophotometric Investigation into the Acidic Constants of Quercetin, Luteolin and l-Ascorbic Acid in Aqueous Media. Applied Sciences. 2023; 13(2):776. https://doi.org/10.3390/app13020776
Chicago/Turabian StyleMalacaria, Luana, and Emilia Furia. 2023. "Wide pH Range Potentiometric and Spectrophotometric Investigation into the Acidic Constants of Quercetin, Luteolin and l-Ascorbic Acid in Aqueous Media" Applied Sciences 13, no. 2: 776. https://doi.org/10.3390/app13020776
APA StyleMalacaria, L., & Furia, E. (2023). Wide pH Range Potentiometric and Spectrophotometric Investigation into the Acidic Constants of Quercetin, Luteolin and l-Ascorbic Acid in Aqueous Media. Applied Sciences, 13(2), 776. https://doi.org/10.3390/app13020776
