An Improved Chaos Driven Hybrid Differential Evolutionand Butterfly Optimization Algorithm for Passive Target Localization Using TDOA Measurements
Abstract
1. Introduction
- To formulate a new problem of localization of a passive target using the obtained TDOA measurements.
- To present a new global optimization method that is a hybridization of BOA and DE algorithms, named ICDEBOA, so that the passive target localization problem can be solved successfully.
- To validate the proposed algorithm’s performance on benchmark test functions by comparing simulation results to a number of state-of-the-art methods.
- To show how well the proposed method works by comparing simulation results on an example localization system to well-known approaches and derived CRLB.
2. Background and Related Work
3. Localization Problem
4. Formulation of Maximum Likelihood Estimator
5. Constrained Weighted Least-Squares
- Step 1:
- Initialize elements of matrix of weights as .
- Step 2:
- Using the standard root finding algorithm determine all real-valued roots of the Equation (26).
- Step 3:
- Substitute obtained in previous step into Equation (25), and determine all sub estimates of for which the is minimal.
- Step 4:
- Using the Equation (20) construct the weighting matrix .
- Step 5:
- Repeat steps 2–4 until satisfies the stopping criterion.
6. Differential Evolution Algorithm and Improvements
6.1. Conventional DE
6.1.1. Initialization
6.1.2. Mutation
6.1.3. Crossover
6.1.4. Selection
6.2. Improvement of the Differential Evolution Algorithm
6.3. Mutation Scheme DE/current-to-pbest/1
7. Butterfly Optimization Algorithm and Improvements
7.1. Original BOA Algorithm
- All butterflies attract each-other by emitting a scent.
- Their flight is random or aimed to the best butterfly emitting more intense scent.
- Butterfly stimulus strength is determined by the objective function value at the considered butterfly.
7.2. Chaos Enhanced BOA Algorithm
8. Improved Chaos-Driven Hybrid Differential Evolution and Butterfly Optimization Algorithm
- DE/rand/1 mutation strategy with adaptive scale factor , which is calculated according to the Equation (35). Therefore the expression for calculating the mutation vector is
- Novel DE/rand-global-BOA/2 mutation strategy, which is produced by introducing the parts of BOA global search step into the DE/rand/2 mutation strategy. Therefore, to achieve this the term in Equation (29) is replaced with the term from Equation (45). Furthermore, the adaptive scale factor given in Equation (35) is introduced instead the conventional scale factor F. Additionally, the sine chaos map-based sensory fragrance is employed in determining the term . Therefore, the DE/rand-global-BOA/2 mutation strategy has the form
- The usage of DE/best/1 mutation strategy with adaptive scale factor from Equation (35) is proposed, which can be expressed as
- A new DE/best-local-BOA/2, produced by hybridizing the mutation operator DE/best/2 form DE algorithm with the local search step of BOA algorithm given in Equation (46). In this regard, the term from the Equation (31) is replaced with the term from Equation (46). Furthermore, the adaptive scale factor from Equation (35) and sine chaos map-based sensory fragrance from Equation (48) have been introduced, providing the following expression
| Algorithm 1 ICDEBOA algorithm pseudo-code |
Initialize parameters , Generation of initial population of individual Generate sine map for Initialize values of for whiledo Determine the probability of choosing the appropriate mutation scheme Update sensory fragrance using the Equation (55) for do Generate three random integers such that Use roulette wheel to select k switch k do case k = 1 Apply mutation operator in Equation (57) case k = 2 Apply hybrid mutation operator DE/rand-global-BOA/2 in Equation (58) case k = 1 Apply mutation operator in Equation (59) case k = 1 Apply hybrid mutation operator DE/best-local-BOA/2 in Equation (60) end switch Calculate the success rate using Equation (61) Perform crossover Generate random number for do end for Perform selection end for end while |
9. Cramer-Rao Lower Bound
10. Experimental Analysis
10.1. Statistical Comparisons on CEC2014 Problems
- Unimodal functions (1–3),
- Simple multimodal functions (4–16),
- Hybrid objective functions(17–22),
- Composition functions (23–30).
10.1.1. Analyzing the Effectiveness of the Chaos Maps on BOA Performance
10.1.2. Analyzing the Effectiveness of the Proposed Hybridization
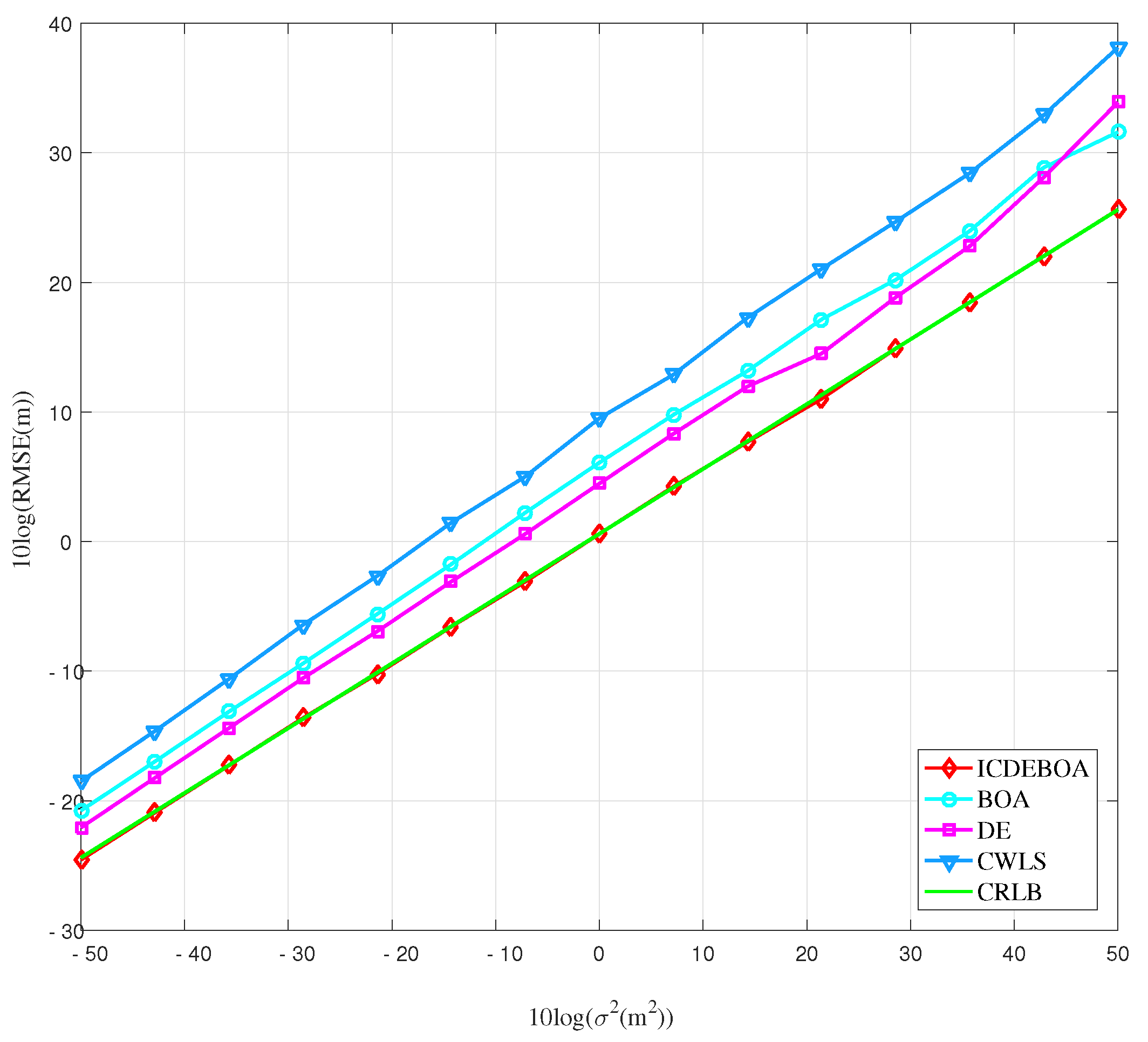
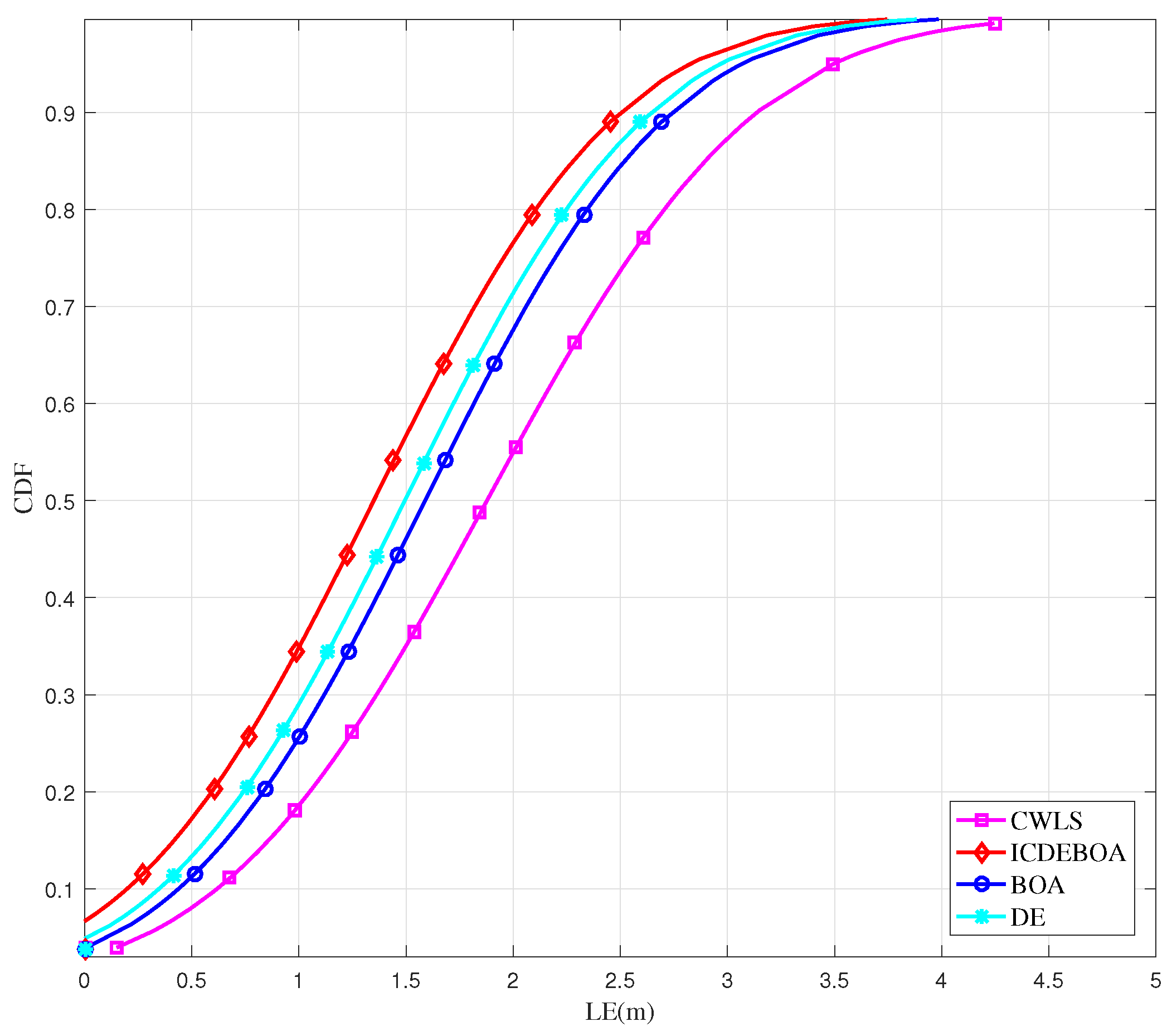
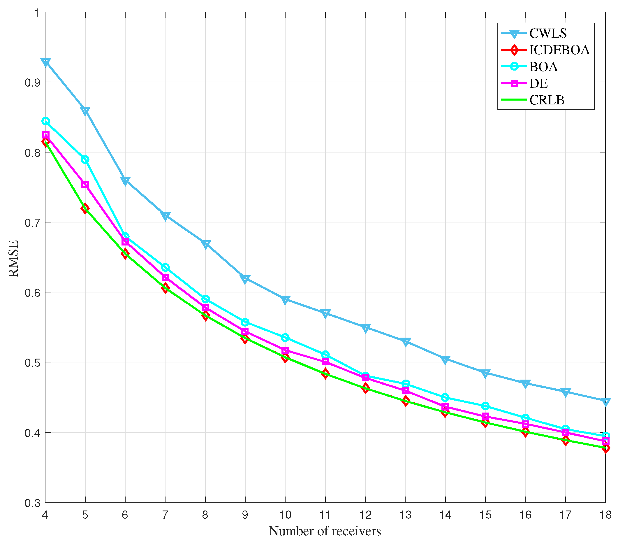
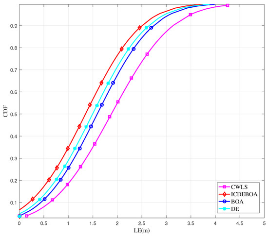
10.2. Evaluation of Accuracy of Localization
11. Conclusions
Author Contributions
Funding
Institutional Review Board Statement
Informed Consent Statement
Data Availability Statement
Conflicts of Interest
Appendix A
Appendix B
References
- Sachs, J. Handbook of Ultra-Wideband Short-Range Sensing: Theory, Sensors, Applications; John Wiley & Sons: Hoboken, NJ, USA, 2013. [Google Scholar] [CrossRef]
- Chalise, B.K.; Zhang, Y.D.; Amin, M.G.; Himed, B. Target localization in a multi-static passive radar system through convex optimization. Signal Process. 2014, 102, 207–215. [Google Scholar] [CrossRef]
- Shen, L.; Zhang, Q.; Pang, J.; Xu, H.; Li, P.; Xue, D. ANTspin: Efficient Absolute Localization Method of RFID Tags via Spinning Antenna. Sensors 2019, 19, 2194. [Google Scholar] [CrossRef] [PubMed]
- Shen, M.; Wang, Y.; Jiang, Y.; Ji, H.; Wang, B.; Huang, Z. A new positioning method based on multiple ultrasonic sensors for autonomous mobile robot. Sensors 2019, 20, 17. [Google Scholar] [CrossRef] [PubMed]
- Siegele, D.; Staso, U.D.; Piovano, M.; Marcher, C.; Matt, D.T. State of the art of non-vision-based localization technologies for AR in facility management. In Proceedings of the International Conference on Augmented Reality, Virtual Reality and Computer Graphics, Lecce, Italy, 7–10 September 2020; pp. 255–272. [Google Scholar]
- Ulusar, U.D.; Celik, G.; Al-Turjman, F. Cognitive RF-based localization for mission-critical applications in smart cities: An overview. Comput. Electr. Eng. 2020, 87, 106780. [Google Scholar] [CrossRef]
- Liu, X.; Wang, Y.; Zhou, M.; Nie, W.; Yang, X. Indoor Passive Localization With Channel State Information Using a Single Access Point. IEEE Sens. J. 2021, 21, 17085–17095. [Google Scholar] [CrossRef]
- Choi, K.H.; Ra, W.S.; Park, S.Y.; Park, J.B. Robust least squares approach to passive target localization using ultrasonic receiver array. IEEE Trans. Ind. Electron. 2014, 61, 1993–2002. [Google Scholar] [CrossRef]
- Noroozi, A.; Sebt, M.A. Target localization from bistatic range measurements in multi-transmitter multi-receiver passive radar. IEEE Signal Process. Lett. 2015, 22, 2445–2449. [Google Scholar] [CrossRef]
- Zekavat, R.; Buehrer, R.M. Handbook of Position Location: Theory, Practice and Advances; John Wiley & Sons: Hoboken, NJ, USA, 2011; Volume 27. [Google Scholar] [CrossRef]
- Destino, G.; Abreu, G. On the maximum likelihood approach for source and network localization. IEEE Trans. Signal Process. 2011, 59, 4954–4970. [Google Scholar] [CrossRef]
- Noroozi, A.; Sebt, M.A. Weighted least squares target location estimation in multi-transmitter multi-receiver passive radar using bistatic range measurements. IET Radar Sonar Navig. 2016, 10, 1088–1097. [Google Scholar] [CrossRef]
- Jin, B.; Xu, X.; Zhang, T. Robust time-difference-of-arrival (TDOA) localization using weighted least squares with cone tangent plane constraint. Sensors 2018, 18, 778. [Google Scholar] [CrossRef]
- Wang, G.; Li, Y.; Ansari, N. A semidefinite relaxation method for source localization using TDOA and FDOA measurements. IEEE Trans. Veh. Technol. 2013, 62, 853–862. [Google Scholar] [CrossRef]
- Yue, Y.; Cao, L.; Hu, J.; Cai, S.; Hang, B.; Wu, H. A Novel Hybrid Location Algorithm Based on Chaotic Particle Swarm Optimization for Mobile Position Estimation. IEEE Access 2019, 7, 58541–58552. [Google Scholar] [CrossRef]
- Rosić, M.B.; Simić, M.I.; Pejović, P.V. An improved adaptive hybrid firefly differential evolution algorithm for passive target localization. Soft Comput. 2021, 25, 5559–5585. [Google Scholar] [CrossRef]
- Lalama, Z.; Boulfekhar, S.; Semechedine, F. Localization Optimization in WSNs Using Meta-Heuristics Optimization Algorithms: A Survey. Wirel. Pers. Commun. 2022, 122, 1197–1220. [Google Scholar] [CrossRef]
- Mohamed, A.W.; Almazyad, A.S. Differential evolution with novel mutation and adaptive crossover strategies for solving large scale global optimization problems. Appl. Comput. Intell. Soft Comput. 2017, 2017, 7974218. [Google Scholar] [CrossRef]
- Zhang, Y.; Wu, Y.I. Multiple sources localization by the WSN using the direction-of-arrivals classified by the genetic algorithm. IEEE Access 2019, 7, 173626–173635. [Google Scholar] [CrossRef]
- Zhang, Y.; Wang, S.; Ji, G. A comprehensive survey on particle swarm optimization algorithm and its applications. Math. Probl. Eng. 2015, 2015, 931256. [Google Scholar] [CrossRef]
- Arora, S.; Singh, S. Butterfly optimization algorithm: A novel approach for global optimization. Soft Comput. 2019, 23, 715–734. [Google Scholar] [CrossRef]
- Storn, R.; Price, K. Differential evolution–a simple and efficient heuristic for global optimization over continuous spaces. J. Glob. Optim. 1997, 11, 341–359. [Google Scholar] [CrossRef]
- Cheng, J.; Xia, L. An effective Cuckoo search algorithm for node localization in wireless sensor network. Sensors 2016, 16, 1390. [Google Scholar] [CrossRef]
- Arora, S.; Singh, S. An Effective Hybrid Butterfly Optimization Algorithm with Artificial Bee Colony for Numerical Optimization. Int. J. Interact. Multimed. Artif. Intell. 2017, 4, 14–21. [Google Scholar] [CrossRef]
- Devika, E.; Saravanan, A. Enhanced gray wolf optimization for estimation of time difference of arrival in WSNs. Int. J. Pervasive Comput. Commun. 2022. [Google Scholar] [CrossRef]
- Xiong, G.; Zhang, J.; Yuan, X.; Shi, D.; He, Y.; Yao, G. Parameter extraction of solar photovoltaic models by means of a hybrid differential evolution with whale optimization algorithm. Sol. Energy 2018, 176, 742–761. [Google Scholar] [CrossRef]
- Wu, P.; Su, S.; Zuo, Z.; Guo, X.; Sun, B.; Wen, X. Time Difference of Arrival (TDoA) Localization Combining Weighted Least Squares and Firefly Algorithm. Sensors 2019, 19, 2554. [Google Scholar] [CrossRef]
- Opara, K.R.; Arabas, J. Differential Evolution: A survey of theoretical analyses. Swarm Evol. Comput. 2019, 44, 546–558. [Google Scholar] [CrossRef]
- Arora, S.; Singh, S. Node localization in wireless sensor networks using butterfly optimization algorithm. Arab. J. Sci. Eng. 2017, 42, 3325–3335. [Google Scholar] [CrossRef]
- Tan, L.S.; Zainuddin, Z.; Ong, P. Wavelet neural networks based solutions for elliptic partial differential equations with improved butterfly optimization algorithm training. Appl. Soft Comput. 2020, 95, 106518. [Google Scholar] [CrossRef]
- Najarro, L.A.C.; Song, I.; Kim, K. Differential evolution with opposition and redirection for source localization using RSS measurements in wireless sensor networks. IEEE Trans. Autom. Sci. Eng. 2020, 17, 1736–1747. [Google Scholar] [CrossRef]
- Deng, W.; Shang, S.; Cai, X.; Zhao, H.; Song, Y.; Xu, J. An improved differential evolution algorithm and its application in optimization problem. Soft Comput. 2021, 25, 5277–5298. [Google Scholar] [CrossRef]
- Zhang, J.; Sanderson, A.C. JADE: Adaptive differential evolution with optional external archive. IEEE Trans. Evol. Comput. 2009, 13, 945–958. [Google Scholar] [CrossRef]
- Tanabe, R.; Fukunaga, A. Success-history based parameter adaptation for differential evolution. In Proceedings of the Evolutionary Computation (CEC), Cancun, Mexico, 20–23 June 2013; pp. 71–78. [Google Scholar]
- Brest, J.; Greiner, S.; Boskovic, B.; Mernik, M.; Zumer, V. Self-adapting control parameters in differential evolution: A comparative study on numerical benchmark problems. IEEE Trans. Evol. Comput. 2006, 10, 646–657. [Google Scholar] [CrossRef]
- Arora, S.; Singh, S. An improved butterfly optimization algorithm with chaos. J. Intell. Fuzzy Syst. 2017, 32, 1079–1088. [Google Scholar] [CrossRef]
- Fan, Y.; Shao, J.; Sun, G.; Shao, X. A self-adaption butterfly optimization algorithm for numerical optimization problems. IEEE Access 2020, 8, 88026–88041. [Google Scholar] [CrossRef]
- Li, G.; Shuang, F.; Zhao, P.; Le, C. An improved butterfly optimization algorithm for engineering design problems using the cross-entropy method. Symmetry 2019, 11, 1049. [Google Scholar] [CrossRef]
- Aydilek, I.B. A hybrid firefly and particle swarm optimization algorithm for computationally expensive numerical problems. Appl. Soft Comput. 2018, 66, 232–249. [Google Scholar] [CrossRef]
- Zhang, M.; Long, D.; Qin, T.; Yang, J. A Chaotic Hybrid Butterfly Optimization Algorithm with Particle Swarm Optimization for High-Dimensional Optimization Problems. Symmetry 2020, 12, 1800. [Google Scholar] [CrossRef]
- Zhou, H.; Zhang, G.; Wang, X.; Ni, P.; Zhang, J. A hybrid identification method on butterfly optimization and differential evolution algorithm. Smart Struct. Syst. 2020, 26, 345–360. [Google Scholar]
- Yang, D.; Li, G.; Cheng, G. On the efficiency of chaos optimization algorithms for global optimization. Chaos Solitons Fractals 2007, 34, 1366–1375. [Google Scholar] [CrossRef]
- Thompson, J.M.T.; Stewart, H.B. Nonlinear Dynamics and Chaos; John Wiley & Sons: Hoboken, NJ, USA, 2002. [Google Scholar]
- Tavazoei, M.S.; Haeri, M. Comparison of different one-dimensional maps as chaotic search pattern in chaos optimization algorithms. Appl. Math. Comput. 2007, 187, 1076–1085. [Google Scholar] [CrossRef]
- Zhenyu, G.; Bo, C.; Min, Y.; Binggang, C. Self-adaptive chaos differential evolution. In Proceedings of the International Conference on Natural Computation, Xi’an, China, 24–28 September 2006; pp. 972–975. [Google Scholar]
- Mandal, S.; Mandal, K.K. Optimal energy management of microgrids under environmental constraints using chaos enhanced differential evolution. Renew. Energy Focus 2020, 34, 129–141. [Google Scholar] [CrossRef]
- Tian, D.; Zhao, X.; Shi, Z. Chaotic particle swarm optimization with sigmoid-based acceleration coefficients for numerical function optimization. Swarm Evol. Comput. 2019, 51, 100573. [Google Scholar] [CrossRef]
- Li, W.; Wei, P.; Xiao, X. A robust TDOA-based location method and its performance analysis. Sci. China Ser. F Inf. Sci. 2009, 52, 876–882. [Google Scholar] [CrossRef]
- Shen, J.; Molisch, A.F.; Salmi, J. Accurate passive location estimation using TOA measurements. IEEE Trans. Wirel. Commun. 2012, 11, 2182–2192. [Google Scholar] [CrossRef]
- Hu, Y.; Leus, G. Robust differential received signal strength-based localization. IEEE Trans. Signal Process. 2017, 65, 3261–3276. [Google Scholar] [CrossRef]
- Xu, S.; Doğançay, K. Optimal sensor placement for 3-D angle-of-arrival target localization. IEEE Trans. Aerosp. Electron. Syst. 2017, 53, 1196–1211. [Google Scholar] [CrossRef]
- Tomic, S.; Beko, M.; Dinis, R.; Bernardo, L. On target localization using combined RSS and AoA measurements. Sensors 2018, 18, 1266. [Google Scholar] [CrossRef]
- Xiao, H.; Zhang, H.; Wang, Z.; Gulliver, T.A. An RSSI based DV-hop algorithm for wireless sensor networks. In Proceedings of the 2017 IEEE Pacific Rim Conference on Communications, Computers and Signal Processing (PACRIM), Shanghai, China, 21–25 September 2017; pp. 1–6. [Google Scholar]
- Shen, J.; Wang, A.; Wang, C.; Hung, P.C.; Lai, C.F. An efficient centroid-based routing protocol for energy management in WSN-assisted IoT. IEEE Access 2017, 5, 18469–18479. [Google Scholar] [CrossRef]
- Liu, J.; Wang, Z.; Yao, M.; Qiu, Z. VN-APIT: Virtual nodes-based range-free APIT localization scheme for WSN. Wirel. Netw. 2016, 22, 867–878. [Google Scholar] [CrossRef]
- Halder, S.; Ghosal, A. A survey on mobile anchor assisted localization techniques in wireless sensor networks. Wirel. Netw. 2016, 22, 2317–2336. [Google Scholar] [CrossRef]
- Chen, J.; Zhao, Y.; Zhao, C.; Zhao, Y. Improved two-step weighted least squares algorithm for TDOA-based source localization. In Proceedings of the 2018 19th International Radar Symposium (IRS), Bonn, Germany, 20–22 June 2018; pp. 1–6. [Google Scholar]
- Lin, L.; So, H.C.; Chan, F.K.; Chan, Y.T.; Ho, K. A new constrained weighted least squares algorithm for TDOA-based localization. Signal Process. 2013, 93, 2872–2878. [Google Scholar] [CrossRef]
- Biswas, P.; Liang, T.C.; Toh, K.C.; Ye, Y.; Wang, T.C. Semidefinite programming approaches for sensor network localization with noisy distance measurements. IEEE Trans. Autom. Sci. Eng. 2006, 3, 360–371. [Google Scholar] [CrossRef]
- Cakir, O.; Kaya, I.; Yazgan, A.; Cakir, O.; Tugcu, E. Emitter location finding using particle swarm optimization. Radioengineering 2014, 23, 252–258. [Google Scholar]
- Meng, Y.; Zhi, Q.; Zhang, Q.; Yao, N. A Two-Stage Particle Swarm Optimization Algorithm for Wireless Sensor Nodes Localization in Concave Regions. Information 2020, 11, 488. [Google Scholar] [CrossRef]
- Li, Q.; Chen, B.; Yang, M. Time Difference of Arrival Passive Localization Sensor Selection Method Based on Tabu Search. Sensors 2020, 20, 6547. [Google Scholar] [CrossRef]
- Díez-González, J.; Álvarez, R.; González-Bárcena, D.; Sánchez-González, L.; Castejón-Limas, M.; Perez, H. Genetic algorithm approach to the 3D node localization in TDOA systems. Sensors 2019, 19, 3880. [Google Scholar] [CrossRef]
- Srideviponmalar, P.; Jawahar Senthil Kumar, V.; Harikrishnan, R. Hybrid Genetic Algorithm–Differential Evolution Approach for Localization in WSN. In Intelligent Engineering Informatics; Springer: Cham, Switzerland, 2018; pp. 263–271. [Google Scholar]
- Rosić, M.B.; Simić, M.I.; Pejović, P.V. Passive target localization problem based on improved hybrid adaptive differential evolution and Nelder-Mead algorithm. J. Sens. 2020, 2020, 3482463. [Google Scholar] [CrossRef]
- Harikrishnan, R.; Kumar, V.J.S.; Ponmalar, P.S. A Comparative Analysis of Intelligent Algorithms for Localization in Wireless Sensor Networks. Wirel. Pers. Commun. 2016, 87, 1057–1069. [Google Scholar] [CrossRef]
- Gumaida, B.F.; Luo, J. A hybrid particle swarm optimization with a variable neighborhood search for the localization enhancement in wireless sensor networks. Appl. Intell. 2019, 49, 3539–3557. [Google Scholar] [CrossRef]
- Su, C.; Liu, Y.; Liu, L.; Yang, M.; Zhao, H.; Yin, X. Experimental Evaluation of Multipath Mitigation in TDOA-Based Indoor Passive Localization System Using A Beam Steering Broadband Circular Polarization Antenna. Electronics 2018, 7, 362. [Google Scholar] [CrossRef]
- Kwon, S.; Choi, Y.; Moon, S.; You, C.; Liu, H.; Kim, J.H.; Kim, D.J.; Park, H.; Kim, J.Y.; Hwang, I. Performance enhancement of hybrid TDOA/AOA using multipath delay estimation. Wirel. Pers. Commun. 2020, 115, 2551–2568. [Google Scholar] [CrossRef]
- Tsai, M.H.; Luo, J.N.; Yang, M.H.; Lo, N.W. Location Tracking and Forensic Analysis of Criminal Suspects’ Footprints. In Proceedings of the 2019 IEEE 2nd International Conference on Information and Computer Technologies (ICICT), Kahului, HI, USA, 14–17 March 2019; pp. 210–214. [Google Scholar]
- Ivanov, S.; Kuptsov, V.; Badenko, V.; Fedotov, A. RSS/TDoA-Based Source Localization in Microwave UWB Sensors Networks Using Two Anchor Nodes. Sensors 2022, 22, 3018. [Google Scholar] [CrossRef] [PubMed]
- Wan, P.; Ni, Y.; Hao, B.; Li, Z.; Zhao, Y. Passive localization of signal source based on wireless sensor network in the air. Int. J. Distrib. Sens. Netw. 2018, 14, 1550147718767371. [Google Scholar] [CrossRef]
- Wu, G.; Shen, X.; Li, H.; Chen, H.; Lin, A.; Suganthan, P.N. Ensemble of differential evolution variants. Inf. Sci. 2018, 423, 172–186. [Google Scholar] [CrossRef]
- Zhou, Y.Z.; Yi, W.C.; Gao, L.; Li, X.Y. Adaptive differential evolution with sorting crossover rate for continuous optimization problems. IEEE Trans. Cybern. 2017, 47, 2742–2753. [Google Scholar] [CrossRef]
- Mohamed, A.W. An improved differential evolution algorithm with triangular mutation for global numerical optimization. Comput. Ind. Eng. 2015, 85, 359–375. [Google Scholar] [CrossRef]
- Qian, W.; Chai, J.; Xu, Z.; Zhang, Z. Differential evolution algorithm with multiple mutation strategies based on roulette wheel selection. Appl. Intell. 2018, 48, 3612–3629. [Google Scholar] [CrossRef]
- Liang, J.J.; Qu, B.Y.; Suganthan, P.N. Problem definitions and evaluation criteria for the CEC 2014 special session and competition on single objective real-parameter numerical optimization. Comput. Intell. Lab. Zhengzhou Univ. Zhengzhou China Tech. Rep. Nanyang Technol. Univ. Singap. 2013, 635, 490. [Google Scholar]
- Derrac, J.; García, S.; Molina, D.; Herrera, F. A practical tutorial on the use of nonparametric statistical tests as a methodology for comparing evolutionary and swarm intelligence algorithms. Swarm Evol. Comput. 2011, 1, 3–18. [Google Scholar] [CrossRef]








| Algorithm | 10D | 30D | 50D | 100D | Mean Ranking | Rank |
|---|---|---|---|---|---|---|
| BOA-c-Sine | 2.27 | 2.5 | 2.65 | 2.5 | 2.47 | 1 |
| BOA-c-Logistic | 2.76 | 2.72 | 2.62 | 2.9 | 2.75 | 2 |
| BOA-c-Picewise | 3.13 | 3.4 | 3.05 | 2.8 | 3.09 | 3 |
| BOA-c-Iterative, | 3.53 | 3.52 | 3.42 | 3.93 | 3.6 | 4 |
| BOA-c-Tent | 4.03 | 3.41 | 3.75 | 3.5 | 6.67 | 5 |
| Original BOA | 5.26 | 5.45 | 5.51 | 5.37 | 5.4 | 6 |
| Friedman p-value |
| ICDEBOA | HPSOBOA | jDE | BOA | SHADE | ||
|---|---|---|---|---|---|---|
| Mean (STD) Sign | ||||||
| 10 | ( ) | ( )− | ()− | ()− | ()− | |
| 30 | () | ()− | ()− | ()− | ()− | |
| 50 | () | ()− | ()− | ()− | ()− | |
| 100 | () | ()− | ()− | ()− | ()− | |
| 10 | () | ()− | ()− | ()− | ()− | |
| 30 | () | ()− | ()− | ()− | ()− | |
| 50 | () | ()− | ()− | ()− | ()− | |
| 100 | () | ()− | ()− | ()− | ()− | |
| 10 | () | ()− | ()− | ()− | ()− | |
| 30 | () | ()− | ()− | ()− | ()− | |
| 50 | () | ()− | ()− | ()− | ()− | |
| 100 | () | ()− | ()− | ()− | ()− | |
| 10 | () | ()− | ()− | ()− | ()− | |
| 30 | () | ()≈ | ()− | ()− | ()− | |
| 50 | () | ()− | ()− | ()− | ()− | |
| 100 | () | ()− | ()− | ()− | ()− | |
| 10 | () | ()− | ()− | ()− | ()− | |
| 30 | () | ()− | ()− | ()− | ()− | |
| 50 | () | ()− | ()− | ()− | ()− | |
| 100 | () | ()− | ()− | ()− | ()− | |
| 10 | () | ()≈ | ()− | ()− | ()− | |
| 30 | () | ()≈ | ()− | ()− | ()− | |
| 50 | () | ()≈ | ()− | ()− | ()− | |
| 100 | () | ()≈ | ()− | ()− | ()− | |
| 10 | () | ()≈ | ()− | ()− | ()− | |
| 30 | () | ()− | ()− | ()− | ()− | |
| 50 | () | ()− | ()− | ()− | ()− | |
| 100 | () | ()≈ | ()− | ()− | ()− | |
| Mean (STD) Sign | ||||||
| 10 | () | ()− | ()− | ()− | ()− | |
| 30 | () | ()− | ()− | ()− | ()− | |
| 50 | () | ()− | ()− | ()− | ()− | |
| 100 | () | ()− | ()− | ()− | ()− | |
| 10 | () | ()− | ()− | ()− | ()− | |
| 30 | () | ()≈ | ()− | ()− | ()− | |
| 50 | () | ()≈ | ()− | ()− | ()− | |
| 100 | () | ()− | ()− | ()− | ()− | |
| 10 | () | ()− | ()− | ()− | ()− | |
| 30 | () | ()+ | ()− | ()− | ()− | |
| 50 | () | ()+ | ()− | ()− | ()− | |
| 100 | () | ()− | ()− | ()− | ()− | |
| 10 | () | ()+ | ()− | ()− | ()− | |
| 30 | () | ()≈ | ()− | ()− | ()− | |
| 50 | () | ()≈ | ()− | ()− | ()− | |
| 100 | () | ()+ | ()− | ()− | ()− | |
| 10 | () | ()− | ()− | ()− | ()− | |
| 30 | () | ()≈ | ()− | ()− | ()− | |
| 50 | () | ()≈ | ()− | ()− | ()− | |
| 100 | () | ()− | ()− | ()− | ()− | |
| 10 | () | ()+ | ()− | ()− | ()− | |
| 30 | () | ()≈ | ()− | ()− | ()− | |
| 50 | () | ()≈ | ()− | ()− | ()− | |
| 100 | () | ()+ | ()− | ()− | ()− | |
| 10 | () | ()≈ | ()− | ()− | ()− | |
| 30 | () | ()+ | ()− | ()− | ()− | |
| 50 | () | ()+ | ()− | ()− | ()− | |
| 100 | () | ()≈ | ()− | ()− | ()− | |
| Mean (STD) Sign | ||||||
| 10 | () | ()− | ()− | ()− | ()− | |
| 30 | () | ()− | ()− | ()− | ()− | |
| 50 | () | ()− | ()− | ()− | ()− | |
| 100 | () | ()− | ()− | ()− | ()− | |
| 10 | () | ()− | ()− | ()− | ()− | |
| 30 | () | ()− | ()− | ()− | ()− | |
| 50 | () | ()− | ()− | ()− | ()− | |
| 100 | () | ()− | ()− | ()− | ()− | |
| 10 | 9.66 (7.45 ) | 6.57 (1.29 )− | 4.25 (3.01 )− | 1.28 (3.00 )− | 4.78 (5.45 )− | |
| 30 | 2.12 (6.35 ) | 8.49 (2.51 )− | 2.93 (2.81 )− | 7.92 (5.10 )− | 4.56 (1.86 )− | |
| 50 | 2.12 (6.35 ) | 8.49 (2.51 )− | 2.93 (2.81 )− | 7.92 (5.10 )− | 4.56 (1.86 )− | |
| 100 | 6.85 (3.86 ) | 2.86 (4.30 )− | 2.38 (1.17 )− | 6.68 (2.88 )− | 1.89 (6.03 )− | |
| 10 | 4.65 (4.33 ) | 1.96 (2.80 )− | 4.40 (5.30 )− | 4.14 (1.99 )− | 1.92 (2.70 )− | |
| 30 | 6.75 (7.08 ) | 2.93E+10 (4.38 )− | 3.86 (9.42 )− | 4.80 (2.14 )− | 3.44 (2.13 )− | |
| 50 | 6.75 (7.08 ) | 2.93E+10 (4.38 )− | 3.86 (9.42 )− | 4.80 (2.14 )− | 3.44 (2.13 )− | |
| 100 | 1.72 (1.61 ) | 4.90E+10 (2.59 )− | 5.14 (4.23 )− | 2.19E+10 (4.77 )− | 1.66 (6.25 )− | |
| 10 | 3.66 (7.06 ) | 9.37 (3.80 )− | 2.06 (7.88 )− | 8.00 (3.21 )− | 3.98 (1.11 )− | |
| 30 | 1.49 (2.80 ) | 5.27 (1.16 )− | 6.87 (2.55 )− | 1.43 (4.46 )− | 6.74 (9.25 )− | |
| 50 | 1.49 (2.80 ) | 5.27 (1.16 )− | 6.87 (2.55 )− | 1.43 (4.46 )− | 6.74 (9.25 )− | |
| 100 | 8.71 (2.95 ) | 1.55 (7.68 )− | 2.92 (6.55 )− | 6.46 (1.10 )− | 1.83 (1.76 )− | |
| 10 | 8.00 (8.22 ) | 8.08 (2.04 )− | 9.70 (2.18 )− | 5.04 (2.79 )− | 3.52 (1.46 )− | |
| 30 | 1.68 (4.09 ) | 4.21 (6.46 )− | 1.35 (6.09 )− | 6.84 (2.24 )− | 1.25 (1.63 )− | |
| 50 | 1.68 (4.09 ) | 4.21 (6.46 )− | 1.35 (6.09 )− | 6.84 (2.24 )− | 1.25 (1.63 )− | |
| 100 | 3.67 (7.71 ) | 1.36 (6.91 )− | 4.86 (1.74 )− | 2.90 (7.67 )− | 2.75 (2.31 )− | |
| 10 | 1.34 (2.20 ) | 2.25 (1.29 )− | 4.26 (3.91 )− | 3.56 (1.43 )− | 2.10 (6.44 )− | |
| 30 | 1.45 (4.95 ) | 3.12 (4.04 )− | 1.82 (1.76 )− | 4.34 (2.96 )− | 2.81 (1.68 )− | |
| 50 | 1.45 (4.95 ) | 3.12 (4.04 )− | 1.82 (1.76 )− | 4.34 (2.96 )− | 2.81 (1.68 )− | |
| 100 | 1.58 (9.32 ) | 8.35 (1.43 )− | 9.69 (4.68 )− | 1.57 (6.71 )− | 1.23 (4.39 )− | |
| Mean (STD) Sign | ||||||
| 10 | 2.17 (1.85 ) | 6.45 (1.99 )− | 6.11 (5.32 )− | 5.66 (1.51 )− | 1.43 (1.07 )− | |
| 30 | 3.97 (1.50 ) | 2.87 (1.22 )− | 7.20 (3.24 )− | 6.27 (4.31 )− | 2.76 (3.29 )− | |
| 50 | 3.97 (1.50 ) | 2.87 (1.22 )− | 7.20 (3.24 )− | 6.27 (4.31 )− | 2.76 (3.29 )− | |
| 100 | 1.47 (3.58 ) | 5.47 (7.45 )− | 1.80 (6.15 )− | 2.57 (2.61 )− | 6.24 (5.61 )− | |
| 10 | −4.03 (0.00 ) | −5.33 (2.91 )+ | −4.02 (2.83 )− | −5.33 (4.51 )+ | −4.03 (5.60 )− | |
| 30 | −5.07 (4.98 ) | −5.21 (1.39 )+ | −5.00 (3.20 )− | −5.21 (2.76 )+ | −5.06 (1.48 )− | |
| 50 | −5.07 (4.98 ) | −5.21 (1.39 )+ | −5.00 (3.20 )− | −5.21 (2.76 )+ | −5.06 (1.48 )− | |
| 100 | −7.19 (2.71 ) | −7.34 (1.73 )+ | −6.95 (6.80 )− | −7.34 (9.19 )+ | −7.10 (1.43 )− | |
| 10 | −1.95 (4.25 ) | −1.01 (8.63 )− | −1.81 (1.32 )− | −1.69 (6.91 )− | −1.40 (8.36 )− | |
| 30 | −8.71 (6.20 ) | −9.60 (2.03 )+ | −9.60 (2.51 )+ | −9.60 (8.04 )+ | −8.65 (3.59 )− | |
| 50 | −8.71 (6.20 ) | −9.60 (2.03 )+ | −9.60 (2.51 )+ | −9.60 (8.04 )+ | −8.65 (3.59 )− | |
| 100 | −1.71 (9.79 ) | −1.95 (3.90 )− | −1.95 (5.76 )− | −1.95 (6.89 )− | −1.69 (6.59 )− | |
| 10 | −1.86 (3.33 ) | −1.22 (2.78 )− | −1.32 (2.51 )− | −1.42 (1.50 )− | −1.23 (8.76 )− | |
| 30 | −8.46 (8.61 ) | −8.62 (3.14 )+ | −8.37 (5.53 )− | −8.62 (1.15 )+ | −7.99 (9.93 )− | |
| 50 | −8.46 (8.61 ) | −8.62 (3.14 )+ | −8.37 (5.53 )− | −8.62 (1.15 )+ | −7.99 (9.93 )− | |
| 100 | −1.31 (1.21 ) | −1.40 (7.49 )− | −1.40 (2.50 )− | −1.40 (9.19 )− | −1.25 (1.55 )− | |
| 10 | −7.92 (1.58 ) | −7.87 (6.90 )− | −7.92 (3.21 )− | −7.92 (7.73 )− | −7.92 (1.66 )− | |
| 30 | −2.85 (1.10 ) | −2.78 (2.42 )− | −2.77 (4.85 )− | −2.77 (3.19 )− | −2.77 (6.42 )− | |
| 50 | −2.85 (1.10 ) | −2.78 (2.42 )− | −2.77 (4.85 )− | −2.77 (3.19 )− | −2.77 (6.42 )− | |
| 100 | −2.62 (1.55 ) | −2.62 (2.39 )− | −2.62 (2.02 )− | −2.62 (2.30 )− | −2.58 (1.50 )− | |
| 10 | −3.25 (1.82 ) | −3.18 (2.23 )≈ | −3.11 (1.53 )− | −3.37 (2.52 )+ | −3.14 (1.96 )− | |
| 30 | −1.01 (8.65 ) | −1.10 (2.59 )+ | −1.02 (9.68 )+ | −1.05 (1.11 )+ | −9.64 (1.43 )− | |
| 50 | −1.01 (8.65 ) | −1.10 (2.59 )+ | −1.02 (9.68 )+ | −1.05 (1.11 )+ | −9.64 (1.43 )− | |
| 100 | −1.47 (1.69 ) | −1.70 (7.29 )≈ | −1.49 (1.56 )− | −1.50 (5.29 )+ | −1.41 (2.32 )− | |
| Mean (STD) Sign | ||||||
| 10 | −6.04 (5.49 ) | −6.26 (3.34 )+ | −6.04 (7.17 )≈ | −6.03 (6.97 )− | −6.03 (8.59 )− | |
| 30 | −2.28 (2.39 ) | −2.43 (9.75 )+ | −2.26 (4.68 )− | −2.14 (5.24 )− | −2.20 (1.00 )− | |
| 50 | −2.28 (2.39 ) | −2.43 (9.75 )+ | −2.26 (4.68 )− | −2.14 (5.24 )− | −2.20 (1.00 )− | |
| 100 | −5.38 (9.93 ) | −5.82 (1.43 )+ | −5.21 (9.93 )≈ | −4.84 (1.62 )− | −5.00 (2.77 )− | |
| 10 | −1.02 (2.43 ) | −1.02 (8.96 )− | −1.02 (4.15 )− | −1.02 (5.55 )− | −1.02 (2.84 )− | |
| 30 | −7.37 (1.52 ) | −7.37 (1.15 )− | −7.37 (2.92 )− | −7.37 (3.85 )+ | −7.37 (5.95 )− | |
| 50 | −7.37 (1.52 ) | −7.37 (1.15 )− | −7.37 (2.92 )− | −7.37 (3.85 )+ | −7.37 (5.95 )− | |
| 100 | −2.71E+10 (2.79 ) | −2.71E+10 (1.27 )− | −2.70E+10 (2.40 )− | −2.71E+10 (0.00 )− | −2.71E+10 (1.92 )− | |
| 10 | −4.40 (7.29 ) | −4.40 (3.37 )− | −4.40 (4.53 )− | −4.40 (2.77 )− | −4.40 (4.99 )− | |
| 30 | −6.15 (9.26 ) | −6.15 (3.91 )+ | −6.15 (4.38 )− | −6.15 (6.02 )+ | −6.14 (7.08 )− | |
| 50 | −6.15 (9.26 ) | −6.15 (3.91 )+ | −6.15 (4.38 )− | −6.15 (6.02 )+ | −6.14 (7.08 )− | |
| 100 | −3.02 (1.73 ) | −3.02 (2.04 )− | −3.02 (9.39 )− | −3.02 (9.63 )− | −3.02 (1.23 )− | |
| D | Algorithms | p Value | + | ≈ | − | Dec. | ||
|---|---|---|---|---|---|---|---|---|
| 10 | ICDEBOA vs. BOA | 432 | 33 | 28 | 2 | 0 | + | |
| ICDEBOA vs. SHADE | 465 | 0 | 30 | 0 | 0 | + | ||
| ICDEBOA vs. HPSOBOA | 412 | 53 | 21 | 5 | 4 | + | ||
| ICDEBOA vs. jDE | 465 | 0 | 29 | 0 | 1 | + | ||
| 30 | ICDEBOA vs. BOA | 398 | 67 | 24 | 6 | 0 | + | |
| ICDEBOA vs. SHADE | 465 | 0 | 30 | 0 | 0 | + | ||
| ICDEBOA vs. HPSOBOA | 292 | 173 | 17 | 6 | 7 | ≈ | ||
| ICDEBOA vs. jDE | 443 | 22 | 28 | 2 | 0 | + | ||
| 50 | ICDEBOA vs. BOA | 398 | 67 | 24 | 6 | 0 | + | |
| ICDEBOA vs. SHADE | 465 | 0 | 30 | 0 | 0 | + | ||
| ICDEBOA vs. HPSOBOA | 334 | 131 | 17 | 5 | 8 | ≈ | ||
| ICDEBOA vs. jDE | 443 | 22 | 28 | 2 | 0 | + | ||
| 100 | ICDEBOA vs. BOA | 398 | 67 | 28 | 2 | 0 | + | |
| ICDEBOA vs. SHADE | 465 | 0 | 30 | 0 | 0 | + | ||
| ICDEBOA vs. HPSOBOA | 320.5 | 144.5 | 22 | 4 | 4 | + | ||
| ICDEBOA vs. jDE | 434 | 31 | 29 | 0 | 1 | + |
| Algorithm | Mean Ranking | Rank | ||||
|---|---|---|---|---|---|---|
| ICDEBOA | 1.23 | 1.77 | 1.67 | 1.75 | 1.60 | 1 |
| HPSOBOA | 3.50 | 2.60 | 2.97 | 2.65 | 2.93 | 2 |
| jDE | 3.07 | 3.10 | 3.00 | 3.10 | 3.07 | 3 |
| BOA | 3.37 | 3.60 | 3.50 | 3.57 | 3.51 | 4 |
| SHADE | 3.83 | 3.93 | 3.87 | 3.93 | 3.89 | 5 |
| Friedman p-value |
Disclaimer/Publisher’s Note: The statements, opinions and data contained in all publications are solely those of the individual author(s) and contributor(s) and not of MDPI and/or the editor(s). MDPI and/or the editor(s) disclaim responsibility for any injury to people or property resulting from any ideas, methods, instructions or products referred to in the content. |
© 2023 by the authors. Licensee MDPI, Basel, Switzerland. This article is an open access article distributed under the terms and conditions of the Creative Commons Attribution (CC BY) license (https://creativecommons.org/licenses/by/4.0/).
Share and Cite
Rosić, M.; Sedak, M.; Simić, M.; Pejović, P. An Improved Chaos Driven Hybrid Differential Evolutionand Butterfly Optimization Algorithm for Passive Target Localization Using TDOA Measurements. Appl. Sci. 2023, 13, 684. https://doi.org/10.3390/app13020684
Rosić M, Sedak M, Simić M, Pejović P. An Improved Chaos Driven Hybrid Differential Evolutionand Butterfly Optimization Algorithm for Passive Target Localization Using TDOA Measurements. Applied Sciences. 2023; 13(2):684. https://doi.org/10.3390/app13020684
Chicago/Turabian StyleRosić, Maja, Miloš Sedak, Mirjana Simić, and Predrag Pejović. 2023. "An Improved Chaos Driven Hybrid Differential Evolutionand Butterfly Optimization Algorithm for Passive Target Localization Using TDOA Measurements" Applied Sciences 13, no. 2: 684. https://doi.org/10.3390/app13020684
APA StyleRosić, M., Sedak, M., Simić, M., & Pejović, P. (2023). An Improved Chaos Driven Hybrid Differential Evolutionand Butterfly Optimization Algorithm for Passive Target Localization Using TDOA Measurements. Applied Sciences, 13(2), 684. https://doi.org/10.3390/app13020684

