Multi-Range Sequential Learning Based Dark Image Enhancement with Color Upgradation
Abstract
1. Introduction
2. Literature Review
2.1. Image Enhancement
2.2. Image Denoising
2.3. Our Contributions
- Propose a novel method where isolation is first limited to a specific range and then contextual information is shared in a descending way.
- Selective kernel feature synthesis is conducted through information sharing in both fine-to-coarse network loops on each stream. Our fusion technique dynamically selects actual kernel sets from individual subdivision representations using a self-attention method, whereas recently established methods only concatenate or average features from multiresolution divisions.
- Apply a CONV layer to maintain channel sequences in the input feature map, Finally, a CONV layer is used for output picture denoising and color restoration.
- Use a custom real-world data-based Image Enhancement in Low-Light Condition-IELLc dataset to compare the state of the art (SoA) between our method and previous methods where our results outperformed previous SoA methods.
3. Methodology
3.1. Proposed Architecture MSR-MIRNeT
3.2. Multi-Range Recursive Residual Block (MRB)
3.3. Selective Kernel Feature Synthesis
3.4. Dual Attention Unit (DAU)
3.4.1. Channel Attention (CA) Branch
3.4.2. 3D-Attention (3D-A) Unit
3.5. Multi-Range Logarithmic Transformation for Image Enhancement
3.6. Difference-of-Convolution
3.7. Color Upgrade and Enhancement Function
4. Experiments
4.1. Dataset
4.1.1. Image Enhancement
4.1.2. Image Denoising
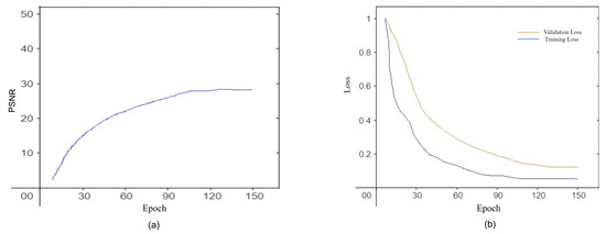
5. Training Execution Details
6. Result Analysis
6.1. Image Enhancement
6.2. Image Denoising
7. Ablation Study
8. Conclusions
Author Contributions
Funding
Institutional Review Board Statement
Informed Consent Statement
Data Availability Statement
Conflicts of Interest
References
- Peng, X.; Feris, R.S.; Wang, X.; Metaxas, D.N. A Recurrent Encoder-Decoder Network for Sequential Face Alignment. In Proceedings of the 14th European Conference, ECCV, Amsterdam, The Netherlands, 11–14 October 2016; Volume 9905, pp. 38–56. [Google Scholar] [CrossRef]
- Nakai, K.; Hoshi, Y.; Taguchi, A. Color Image Contrast Enhancement Method Based on Differential Intensity/Saturation Gray-levels Histograms. In Proceedings of the International Symposium on Intelligent Signal Processing and Communication Systems (ISPACS), Okinawa, Japan, 12–15 November 2013; pp. 445–449. [Google Scholar]
- Lee, C.; Kim, C.S.; Lee, C. Contrast enhancement based on layered dif-ference representation of 2D histograms. IEEE Trans. Image Process. 2013, 22, 5372–5384. [Google Scholar] [CrossRef] [PubMed]
- Shen, L.; Yue, Z.; Feng, F.; Chen, Q.; Liu, S.; Jie, M. MSR-net:Low-light Image Enhancement Using Deep Convolutional Network. arXiv 2017, arXiv:1711.02488. [Google Scholar] [CrossRef]
- Zamir, S.W.; Arora, A.; Khan, S.; Hayat, M.; Khan, F.; Yang, M.-H.; Shao, L. Learning Enriched Features for Real Image Restoration and Enhancement. In Proceedings of the Computer Vision—ECCV 2020: 16th European Conference, Glasgow, UK, 23–28 August 2020. [Google Scholar] [CrossRef]
- Rukundo, O.; Pedersen, M.; Hovde, Ø. Advanced Image Enhancement Method for Distant Vessels and Structures in Capsule Endoscopy. Comput. Math. Methods Med. 2017, 2017, 9813165. [Google Scholar] [CrossRef] [PubMed]
- Kim, W. Low-Light Image Enhancement: A Comparative Review and Pro-spects. IEEE Access 2022, 10, 84535–84557. [Google Scholar] [CrossRef]
- Jobson, D.J.; Rahman, Z.U.; Woodell, G.A. A Multiscale Retinex for Bridging the Gap Between Color Images and the Human Observation of Scenes. IEEE Trans. Image Process. 1997, 6, 965–976. [Google Scholar] [CrossRef] [PubMed]
- Hai, J.; Xuan, Z.; Yang, R.; Hao, Y.; Zou, F.; Lin, F.; Han, S. R2RNet: Low-light image enhancement via Real-low to Real-normal Network. J. Vis. Commun. Image Represent. 2023, 90, 1–12. [Google Scholar] [CrossRef]
- Land, E.H. The Retinex Theory of Color Vision. Sci. Am. 1977, 237, 108–129. Available online: http://www.jstor.org/stable/24953876 (accessed on 24 December 2022).
- Wei, C.; Wang, W.; Yang, W.; Liu, J. Deep Retinex Decomposition for Low-Light Enhancement. arXiv 2018, arXiv:1808.04560. [Google Scholar]
- Le, T.; Li, Y.; Duan, Y. RED-NET: A Recursive Encoder-Decoder Network for Edge Detection. IEEE Access 2019, 90153–90164. [Google Scholar] [CrossRef]
- Xu, B.; Zhou, D.; Li, W. Image Enhancement Algorithm Based on GAN Neural Network. IEEE Access 2022, 10, 36766–36777. [Google Scholar] [CrossRef]
- Li, X.; Wang, W.; Hu, X.; Yang, J. Selective Kernel Networks. In Proceedings of the Computer Vision and Pattern Recognition (CVPR) Conference, Long Beach, CA, USA, 15–20 June 2019; pp. 510–519. [Google Scholar] [CrossRef]
- Dabov, K.; Foi, A.; Katkovnik, V.; Egiazarian, K. Image denoising with block-matching and 3d filtering. Image Process. Algorithms Syst. Neural Netw. Mach. Learn. 2006, 6064, 606414. [Google Scholar]
- Salmon, J.; Harmany, Z.; Deledalle, C.A.; Willett, R. Poisson noise reduction with non-local pca. J. Math. Imaging Vis. 2014, 48, 279–294. [Google Scholar] [CrossRef]
- Guo, S.; Yan, Z.; Zhang, K.; Zuo, W.; Zhang, L. Toward convolutional blind denoising of real photographs. In Proceedings of the IEEE Conference on Computer Vision and Pattern Recognition (CVPR), Long Beach, CA, USA, 15–20 June 2019. [Google Scholar]
- Xu, J.; Zhang, L.; Zhang, D. A Trilateral Weighted Sparse Coding Scheme for Real-World Image Denoising. In Proceedings of the European Conference on Computer Vision, ECCV, Munich, Germany, 8–14 September 2018. [Google Scholar]
- Chen, J.; Chen, J.; Chao, H.; Yang, M. Image blind denoising with generative adversarial network based noise modeling. In Proceedings of the IEEE Conference on Computer Vision and Pattern Recognition (CVPR), Salt Lake City, UT, USA, 18–23 June 2018. [Google Scholar]
- Loh, Y.P.; Chan, C.S. Getting to know low-light images with the Exclusively Dark dataset. Comput. Vis. Image Underst. 2019, 178, 30–42. [Google Scholar] [CrossRef]
- Fu, Q.; Di, X.; Zhang, Y. Learning an adaptive model for extreme low-light raw image processing. IET Image Process. 2020, 14, 3433–3443. [Google Scholar] [CrossRef]
- Xiao, B.; Wu, H.; Wei, Y. Simple baselines for human pose estimation and tracking. In Proceedings of the 15th European Conference, ECCV, Munich, Germany, 8–14 September 2018; Volume 11210, pp. 472–487. [Google Scholar] [CrossRef]
- Zhan, Y.; Li, K.; Li, K.; Wang, L.; Zhong, B.; Fu, Y. Image Super-Resolution Using Very Deep Residual Channel Attention Networks. In Proceedings of the 15th European Conference, ECCV, Munich, Germany, 8–14 September 2018; Volume 11211, pp. 294–310. [Google Scholar] [CrossRef]
- Zhang, Y.; Li, K.; Li, K.; Zhong, B.; Fu, Y. Residual Non-local Attention Networks for Image Restoration. In Proceedings of the International Conference on Learning Represen-tations (ICLR), New Orleans, LA, USA, 6–9 May 2019. [Google Scholar]
- Lee, C.H.; Shih, J.L.; Lien, C.C.; Han, C.C. Adaptive multiscale retinex for image contrast enhancement. In Proceedings of the International Conference on Signal-Image Technology and Internet-Based Systems, SITIS, Naples, Italy, 28 November–1 December; 2013; pp. 43–50. [Google Scholar] [CrossRef]









| Levels | IEllc Dataset #Images | Average Image Size | Image Format |
|---|---|---|---|
| Day Scene | 1000 | 984 × 863 | jpg. |
| Night Scene | 1000 | 962 × 769 | jpg. |
| Blur Images | 412 | 745 × 653 | jpg. |
| Noisy Images | 318 | 787 × 689 | jpg. |
| Compressed | 58 | 463 × 257 | jpg. |
| Uncompressed | 32 | 872 × 623 | jpg. |
| IELLc Dataset | ||
|---|---|---|
| Attribute | Train | Test |
| Sensors | Sequoia | Sequoia |
| Resolution | 1024 × 960 | 840 × 620 |
| Area covered (ha) | 0.153 | 0.72 |
| GSD (cm) | 0.93 | 0.97 |
| Tile resolution (row/col) | 90/120 | |
| #Effective tiles | 125 | 90 |
| #tiles in row/#tiles in col | 16 × 16 | 14 × 14 |
| Padding info (row/col) pixels | 35 × 70 | 45 × 115 |
| #Orthomosaic map | 3 | |
| Input Image Size | 512 × 512 | |
| #Training data | 2800 | 1200 |
| Methods | IELLc Dataset | ExDark [15] | ||
|---|---|---|---|---|
| PSNR↑ | SSIM↓ | PSNR↑ | SSIM↓ | |
| MSR [4] | 24.79 | 0.911 | 25.27 | 0.919 |
| (RED-Net) [12] | 25.67 | 0.917 | 26.57 | 0.911 |
| MIRNeT [5] | 26.17 | 0.949 | 27.01 | 0.950 |
| deep Retinex-Net [11] | 27.52 | 0.951 | 27.79 | 0.959 |
| Proposed Model | 29.73 | 0.963 | 30.07 | 0.952 |
| Methods | CID Dataset [21] | ELD [20] | ||
|---|---|---|---|---|
| PSNR↑ | SSIM↑ | PSNR↑ | SSIM↑ | |
| (RED-Net) [12] | 34.02 | 0.901 | 33.67 | 0.917 |
| MSR [4] | 36.52 | 0.916 | 34.03 | 0.919 |
| R2RNet [9] | 37.07 | 0.931 | 35.02 | 0.909 |
| MIRNeT [5] | 37.98 | 0.937 | 36.26 | 0.942 |
| deep Retinex-Net [11] | 38.17 | 0.926 | 37.87 | 0.959 |
| Proposed Model | 39.26 | 0.967 | 38.02 | 0.951 |
Disclaimer/Publisher’s Note: The statements, opinions and data contained in all publications are solely those of the individual author(s) and contributor(s) and not of MDPI and/or the editor(s). MDPI and/or the editor(s) disclaim responsibility for any injury to people or property resulting from any ideas, methods, instructions or products referred to in the content. |
© 2023 by the authors. Licensee MDPI, Basel, Switzerland. This article is an open access article distributed under the terms and conditions of the Creative Commons Attribution (CC BY) license (https://creativecommons.org/licenses/by/4.0/).
Share and Cite
Das Mou, T.; Alam, S.B.; Rahman, M.H.; Srivastava, G.; Hasan, M.; Uddin, M.F. Multi-Range Sequential Learning Based Dark Image Enhancement with Color Upgradation. Appl. Sci. 2023, 13, 1034. https://doi.org/10.3390/app13021034
Das Mou T, Alam SB, Rahman MH, Srivastava G, Hasan M, Uddin MF. Multi-Range Sequential Learning Based Dark Image Enhancement with Color Upgradation. Applied Sciences. 2023; 13(2):1034. https://doi.org/10.3390/app13021034
Chicago/Turabian StyleDas Mou, Trisha, Saadia Binte Alam, Md. Hasibur Rahman, Gautam Srivastava, Mahady Hasan, and Mohammad Faisal Uddin. 2023. "Multi-Range Sequential Learning Based Dark Image Enhancement with Color Upgradation" Applied Sciences 13, no. 2: 1034. https://doi.org/10.3390/app13021034
APA StyleDas Mou, T., Alam, S. B., Rahman, M. H., Srivastava, G., Hasan, M., & Uddin, M. F. (2023). Multi-Range Sequential Learning Based Dark Image Enhancement with Color Upgradation. Applied Sciences, 13(2), 1034. https://doi.org/10.3390/app13021034

