Super-Resolution Multicomponent Joint-Interferometric Fabry–Perot-Based Technique
Abstract
1. Introduction
2. Principle Analysis of MJI-HI Spectral Super-Resolution Based on a FPI
2.1. Principle of the FPI
2.2. Principle Analysis of MJI
2.3. Spectral Mixing of MJI
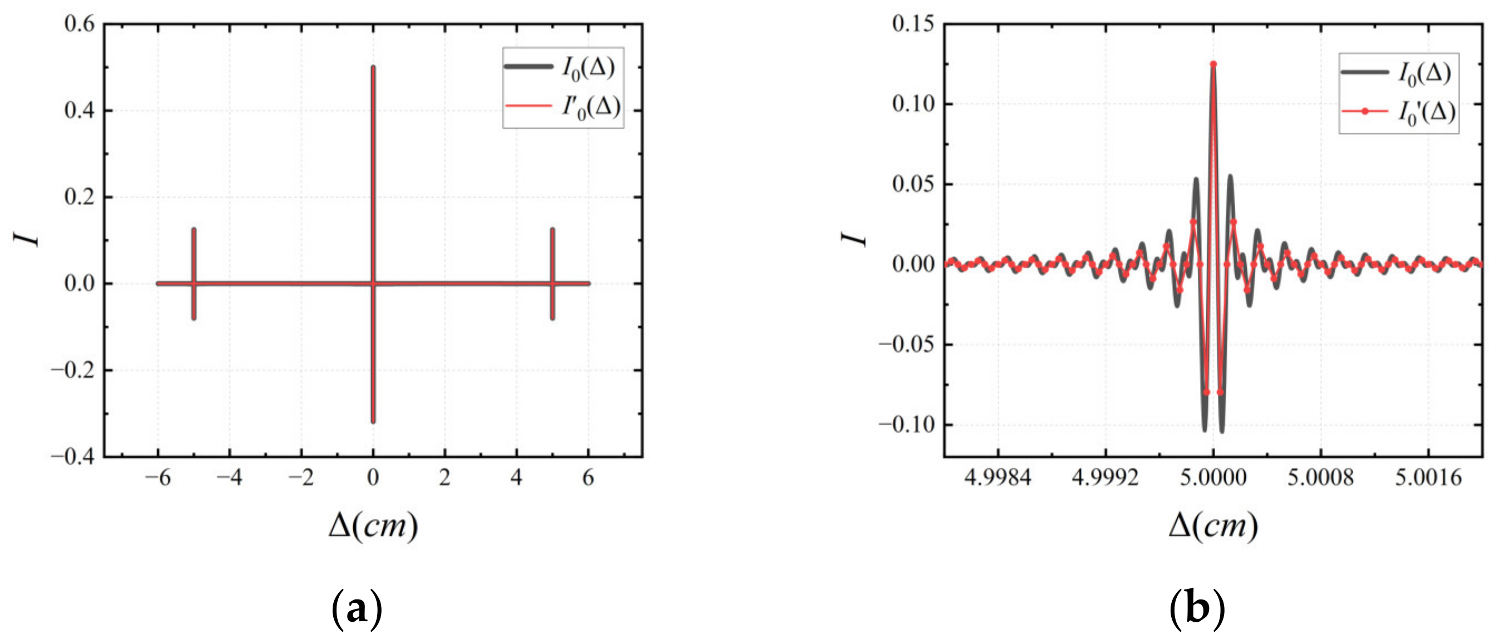
3. Spectral Super-Resolution Inversion for MJI-HI
4. Results and Discussion
4.1. Simulation Conditions
4.2. Simulation Results
4.3. Evaluation and Analysis
4.4. Comparison and Analysis
5. Conclusions
Author Contributions
Funding
Institutional Review Board Statement
Informed Consent Statement
Data Availability Statement
Conflicts of Interest
References
- Alcock, R.D.; Coupland, J.M. A compact, high numerical aperture imaging Fourier transform spectrometer and its application. Meas. Sci. Technol. 2006, 17, 2861–2868. [Google Scholar] [CrossRef]
- Karoly, D.J.; Braganza, K.; Stott, P.A.; Arblaster, J.M.; Meehl, G.A.; Broccoli, A.J.; Dixon, K.W. Detection of a human influence on North American climate. Science 2003, 302, 1200–1203. [Google Scholar] [CrossRef] [PubMed]
- Timofeyev, Y.M.; Uspensky, A.B.; Zavelevich, F.S.; Polyakov, A.V.; Virolainen, Y.A.; Rublev, A.N.; Kukharsky, A.V.; Kiseleva, J.V.; Kozlov, D.A.; Kozlov, I.A.; et al. Hyperspectral infrared atmospheric sounder IKFS-2 on “Meteor-M” No. 2-Four years in orbit. J. Quant. Spectrosc. Radiat. Transf. 2019, 238, 19. [Google Scholar] [CrossRef]
- Hestir, E.L.; Brando, V.E.; Bresciani, M.; Giardino, C.; Matta, E.; Villa, P.; Dekker, A.G. Measuring freshwater aquatic ecosystems: The need for a hyperspectral global mapping satellite mission. Remote Sens. Environ. 2015, 167, 181–195. [Google Scholar] [CrossRef]
- Suto, H.; Kataoka, F.; Kikuchi, N.; Knuteson, R.O.; Butz, A.; Haun, M.; Buijs, H.; Shiomi, K.; Imai, H.; Kuze, A. Thermal and near-infrared sensor for carbon observation Fourier transform spectrometer-2 (TANSO-FTS-2) on the Greenhouse gases Observing SATellite-2 (GOSAT-2) during its first year in orbit. Atmos. Meas. Tech. 2021, 14, 2013–2039. [Google Scholar] [CrossRef]
- De Kerf, T.; Pipintakos, G.; Zahiri, Z.; Vanlanduit, S.; Scheunders, P. Identification of Corrosion Minerals Using Shortwave Infrared Hyperspectral Imaging. Sensors 2022, 22, 9. [Google Scholar] [CrossRef]
- Myers, T.L.; Johnson, T.J.; Gallagher, N.B.; Bernacki, B.E.; Beiswenger, T.N.; Szecsody, J.E.; Tonkyn, R.G.; Bradley, A.M.; Su, Y.F.; Danbya, T.O. Hyperspectral imaging of minerals in the longwave infrared: The use of laboratory directional-hemispherical reference measurements for field exploration data. J. Appl. Remote Sens. 2019, 13, 21. [Google Scholar] [CrossRef]
- Xiang, B.; Yang, J.-F.; Gao, Z.; Liu, G. On the tolerance of the mirror tilting in Fourier transform interferometer. Acta Photonica Sin. 1997, 2, 132–135. [Google Scholar]
- Feng, M.; Xu, L.; Jin, L.; Liu, W.; Gao, M.; Li, S.; Li, X.; Tong, J.; Liu, J. Tilt and Dynamic Alignment for the Moving Mirror in the Fourier Transform Infrared Spectrometer. Acta Photonica Sin. 2016, 45, 0412005. [Google Scholar] [CrossRef]
- Kuze, A.; Suto, H.; Nakajima, M.; Hamazaki, T. Thermal and near infrared sensor for carbon observation Fourier-transform spectrometer on the Greenhouse Gases Observing Satellite for greenhouse gases monitoring. Appl. Opt. 2009, 48, 6716–6733. [Google Scholar] [CrossRef]
- Wei, R.Y.; Di, L.M.; Qiao, N.Z.; Chen, S.S. W-shaped common-path interferometer. Appl. Opt. 2020, 59, 10973–10979. [Google Scholar] [CrossRef] [PubMed]
- Svensson, T.; Bergström, D.; Axelsson, L.; Fridlund, M.; Hallberg, T. Design, calibration and characterization of a low-cost spatial Fourier transform LWIR hyperspectral camera with spatial and temporal scanning modes. In Algorithms and Technologies for Multispectral, Hyperspectral, and Ultraspectral Imagery XXIV; SPIE: Orlando, FL, USA, 2018; pp. 261–275. [Google Scholar]
- Carli, B.; Carlotti, M.; Mencaraglia, F.; Rossi, E. Far-infrared high-resolution fourier-transform spectrometer. Appl. Opt. 1987, 26, 3818–3822. [Google Scholar] [CrossRef] [PubMed]
- Ahn, J.; Kim, J.A.; Kang, C.S.; Kim, J.W.; Kim, S. High resolution interferometer with multiple-pass optical configuration. Opt. Express 2009, 17, 21042–21049. [Google Scholar] [CrossRef] [PubMed]
- Wei, R.Y.; Zhang, X.M.; Zhou, J.S.; Zhou, S.Z. Designs of multipass optical configurations based on the use of a cube corner retroreflector in the interferometer. Appl. Opt. 2011, 50, 1673–1681. [Google Scholar] [CrossRef] [PubMed]
- Liu, C.; Li, J.; Sun, Y.; Zhu, R. Simulation of hyperspectral imaging based on tunable Fabry-Pérot interferometer. In Selected Papers from Conferences of the Photoelectronic Technology Committee of the Chinese Society of Astronautics 2014, Part II; SPIE: Suzhou, China, 2015; pp. 380–387. [Google Scholar]
- Zucco, M.; Pisani, M.; Caricato, V.; Egidi, A. A hyperspectral imager based on a Fabry-Perot interferometer with dielectric mirrors. Opt. Express 2014, 22, 1824–1834. [Google Scholar] [CrossRef]
- Al-Saeed, T.A.; Khalil, D.A. Fourier transform spectrometer based on Fabry-Perot interferometer. Appl. Opt. 2016, 55, 5322–5331. [Google Scholar] [CrossRef]
- Pisani, M.; Zucco, M. Compact imaging spectrometer combining Fourier transform spectroscopy with a Fabry-Perot interferometer. Opt. Express 2009, 17, 8319–8331. [Google Scholar] [CrossRef]
- Lucey, P.G.; Akagi, J.; Bingham, A.L.; Hinrichs, J.L.; Knobbe, E.T. A compact Fourier transform imaging spectrometer employing a variable gap Fabry-Perot interferometer. In Next-Generation Spectroscopic Technologies VII; SPIE: Baltimore, MD, USA, 2014; pp. 266–273. [Google Scholar]
- Iwata, T.; Koshoubu, J. Proposal for high-resolution, wide-bandwidth, high-optical-throughput spectroscopic system using a Fabry-Perot interferometer. Appl. Spectrosc. 1998, 52, 1008–1013. [Google Scholar] [CrossRef]
- Yang, Q.H. First order design of compact, broadband, high spectral resolution ultraviolet-visible imaging spectrometer. Opt. Express 2020, 28, 5587–5601. [Google Scholar] [CrossRef]
- Swinyard, B.; Ferlet, M. Cascaded interferometric imaging spectrometer. Appl. Opt. 2007, 46, 6381–6390. [Google Scholar] [CrossRef]
- Yang, Q.H. Compact ultrahigh resolution interferometric spectrometer. Opt. Express 2019, 27, 30606–30617. [Google Scholar] [CrossRef]
- Yang, Q.H. Theoretical analysis of compact ultrahigh-spectral-resolution infrared imaging spectrometer. Opt. Express 2020, 28, 16616–16632. [Google Scholar] [CrossRef]
- Gousset, S.; Croize, L.; Le Coarer, E.; Ferrec, Y.; Rodrigo-Rodrigo, J.; Brooker, L.; Consortium, S. NanoCarb hyperspectral sensor: On performance optimization and analysis for greenhouse gas monitoring from a constellation of small satellites. CEAS Space J. 2019, 11, 507–524. [Google Scholar] [CrossRef]
- Meng, H.; Gao, J.; Wang, N.; Wu, J.; Gao, Z.; Zhao, Y.; Liu, F. Comparison of Long-wave Infrared Interferometric Spectral Imagers and Design of Variable Gap F-P Type Spectral Imager. Acta Armamentarii 2019, 40, 1641–1647. [Google Scholar]
- Gustafsson, M.G.L. Surpassing the lateral resolution limit by a factor of two using structured illumination microscopy. J. Microsc. 2000, 198, 82–87. [Google Scholar] [CrossRef]
- Rego, E.H.; Shao, L.; Macklin, J.J.; Winoto, L.; Johansson, G.A.; Kamps-Hughes, N.; Davidson, M.W.; Gustafsson, M.G.L. Nonlinear structured-illumination microscopy with a photoswitchable protein reveals cellular structures at 50-nm resolution. Proc. Natl. Acad. Sci. USA 2012, 109, E135–E143. [Google Scholar] [CrossRef]
- Gustafsson, M.G.L. Nonlinear structured-illumination microscopy: Wide-field fluorescence imaging with theoretically unlimited resolution. Proc. Natl. Acad. Sci. USA 2005, 102, 13081–13086. [Google Scholar] [CrossRef]















| FPI-d (cm) | FPI-R | FPI-FWHM (cm−1) | L (cm) | Resolution Improvement Multiplier | Data Volume | Data Utilization Rate | Error (dB) |
|---|---|---|---|---|---|---|---|
| 0.2 | 95.00% | 0.0816 | 0.6 | 10.2 | 8.4 × 105 | 14.57% | −27.668 |
| 0.7 | 8.7 | 9.8 × 105 | 12.44% | −28.619 | |||
| 0.8 | 7.6 | 1.12 × 106 | 10.86% | −29.650 | |||
| 1.2 | 5.1 | 1.68 × 106 | 7.29% | −31.599 | |||
| 1.8 | 3.4 | 2.52 × 106 | 5.06% | −32.763 | |||
| 2.4 | 2.5 | 3.36 × 106 | 3.57% | −33.426 | |||
| 3.0 | 2.0 | 4.2 × 106 | 2.86% | −33.936 | |||
| 1 | 93.40% | 0.0217 | 3.0 | 7.7 | 4.2 × 106 | 11.0% | −33.232 |
| 0.75 | 95.00% | −39.825 | |||||
| 0.5 | 96.65% | −41.6513 |
Disclaimer/Publisher’s Note: The statements, opinions and data contained in all publications are solely those of the individual author(s) and contributor(s) and not of MDPI and/or the editor(s). MDPI and/or the editor(s) disclaim responsibility for any injury to people or property resulting from any ideas, methods, instructions or products referred to in the content. |
© 2023 by the authors. Licensee MDPI, Basel, Switzerland. This article is an open access article distributed under the terms and conditions of the Creative Commons Attribution (CC BY) license (https://creativecommons.org/licenses/by/4.0/).
Share and Cite
Zhang, Y.; Lv, Q.; Tang, Y.; He, P.; Zhu, B.; Sui, X.; Yang, Y.; Bai, Y.; Liu, Y. Super-Resolution Multicomponent Joint-Interferometric Fabry–Perot-Based Technique. Appl. Sci. 2023, 13, 1012. https://doi.org/10.3390/app13021012
Zhang Y, Lv Q, Tang Y, He P, Zhu B, Sui X, Yang Y, Bai Y, Liu Y. Super-Resolution Multicomponent Joint-Interferometric Fabry–Perot-Based Technique. Applied Sciences. 2023; 13(2):1012. https://doi.org/10.3390/app13021012
Chicago/Turabian StyleZhang, Yu, Qunbo Lv, Yinhui Tang, Peidong He, Baoyv Zhu, Xuefu Sui, Yuanbo Yang, Yang Bai, and Yangyang Liu. 2023. "Super-Resolution Multicomponent Joint-Interferometric Fabry–Perot-Based Technique" Applied Sciences 13, no. 2: 1012. https://doi.org/10.3390/app13021012
APA StyleZhang, Y., Lv, Q., Tang, Y., He, P., Zhu, B., Sui, X., Yang, Y., Bai, Y., & Liu, Y. (2023). Super-Resolution Multicomponent Joint-Interferometric Fabry–Perot-Based Technique. Applied Sciences, 13(2), 1012. https://doi.org/10.3390/app13021012
