Development of a Predictive Tool for the Parametric Analysis of a Turbofan Engine
Abstract
:1. Introduction
2. Materials and Methods
2.1. Parametric Analysis
Input and Output Variables
- Bypass ratio (BPR): The ratio of the fan output flow rate to the core mass flow rate. and are the mass flows that travel through the engine core and fan, respectively. The bypass ratio is represented by and computed as:
- Turbine entry temperature (TET): The temperature of the output gases from the combustion chamber that enter the turbine. The turbine inlet or entry temperature is an essential variable that can impact the combustion cycle. Higher numbers can boost the cycle’s net power production and efficiency.
- Fan pressure ratio: The ratio of fan discharge pressure to fan intake pressure. It is known that the ideal values of certain factors, such as the BPR and FPR, might greatly impact the values of the main performance metrics. The ideal FPR must be determined because, given all other factors, such as the overall pressure ratio, BPR, and turbine entrance temperature, the best FPR value assures maximum net thrust while minimizing specific fuel consumption (SFC).
- Specific thrust (): Engine thrust per unit mass flow rate, as outlined below:
- Specific fuel consumption (SFC): Fuel consumed by a vehicle for each unit of power output.
- Propulsive efficiency (ηp): Thrust ratio to engine gas flow rate of kinetic energy output.
2.2. Machine Learning
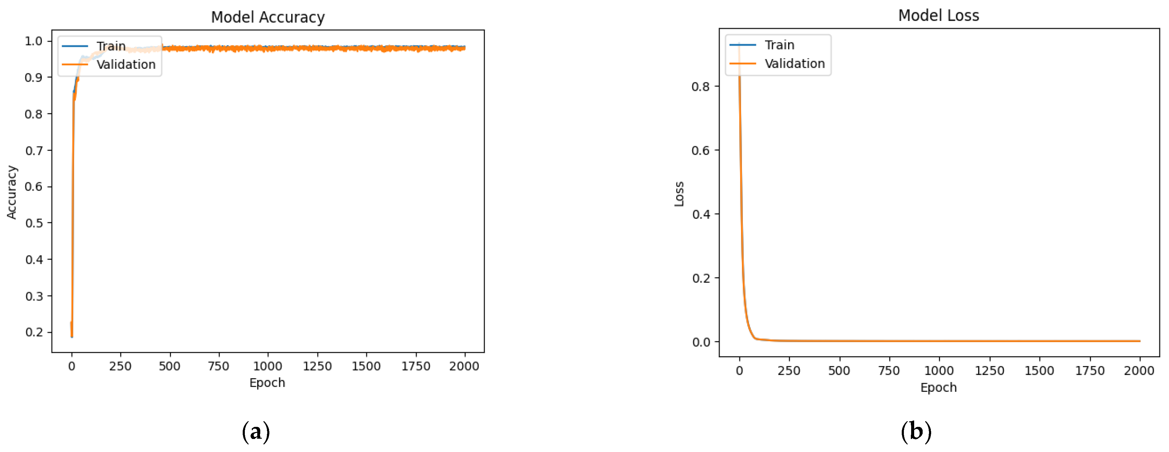
2.3. Deep Learning
3. Results
3.1. Design Point Analysis
Validation
3.2. Engine Parametric Analysis






4. Discussion
- Mach number: The specific thrust of a turbofan engine decreases with the Mach number at a specific altitude, as shown in Figure 3. As the turbine inlet temperature is restricted by material temperature restrictions, a rise in the Mach number reduces the potential to add energy to the combustor, and hence the specific thrust.
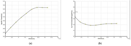
- Altitude: The fuel consumption per unit of thrust generated is measured via the SFC. Thrust decreases as altitude increases with a similar throttle position owing to a decrease in the air mass flow into the engine. As the air mass flow rate decreases, the engine control system correspondingly cuts the fuel flow. As the altitude climbs, the combustion efficiency drops, necessitating the use of more fuel to produce comparable energy at lower altitudes. As a result, SFC increases with altitude, as depicted in Figure 4.
- Bypass ratio: As shown in Figure 5, SFC declines with an increase in the BPR. The declining trend in the SFC indicates that the engine burns less fuel at a given thrust level. In addition, a lower SFC indicates that the turbofan engine produces a higher thrust for a given amount of fuel. The specific thrust drops with a higher bypass ratio due to the enormous quantity of total mass flow through the engine.
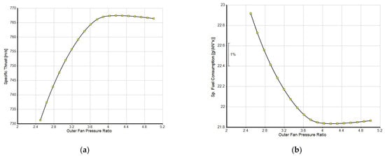
- Fan pressure ratio (FPR): Increasing the FPR leads to an initial fall in the SFC followed by an increase due to a rising propulsive efficiency at low FPRs. However, with greater FPRs, there is a rise in the SFC, which is attributable to a drop in propulsive efficiency. Since the fuel intake is set for a particular BPR, the lowest SFC and maximum specific thrust correspond to the same FPR. These trends are evident from Figure 6.
- Turbine entry temperature: The SFC and specific thrust increase with an increase in the turbine inlet temperature, as displayed in Figure 7. The enthalpy of the combustion gases increases as the turbine entry temperature increases, resulting in a greater output power that will improve the gas turbine’s total thermal efficiency. It affects fuel consumption since higher temperatures often demand higher fuel flow rates to maintain the necessary amount of power production.
4.1. Machine Learning

4.2. Deep Learning
5. Conclusions
Author Contributions
Funding
Institutional Review Board Statement
Informed Consent Statement
Data Availability Statement
Conflicts of Interest
Nomenclature
| Mass flow rate | |
| ANN | Artificial neural network |
| BPR | Bypass ratio |
| SFC | Specific fuel consumption |
| ML | Machine learning |
| GPR | Gaussian process regression |
| SVM | Support vector machine |
| Tab | Afterburner’s combustion temperature |
| ηfan | Fan efficiency |
| ηab | Afterburner efficiency |
References
- Cihangir, S.A.; Aygun, H.; Turan, O. Energy and performance analysis of a turbofan engine with the aid of dynamic component efficiencies. Energy 2022, 260, 125085. [Google Scholar] [CrossRef]
- Wolff, P.; Graña, M.; Ríos, S.A.; Yarza, M.B. Machine learning readmission risk modelling: A pediatric case study. Biomed. Res. Int. 2019, 2019, 8532892. [Google Scholar] [CrossRef]
- Nikpey, H.; Assadi, M.; Breuhaus, P. Development of an optimized artificial neural network model for combined heat and power micro gas turbines. Appl. Energy 2013, 108, 137–148. [Google Scholar] [CrossRef]
- Bartolini, C.M.; Caresana, F.; Comodi, G.; Pelagalli, L.; Renzi, M.; Vagni, S. Application of artificial neural networks to micro gas turbines. Energy Convers. Manag. 2011, 52, 781–788. [Google Scholar] [CrossRef]
- Gonca, G.; Guzel, B. Exergetic and Exergo-Economical Analyses of a Gas-Steam Combined Cycle System. J. Non-Equilib. Thermodyn. 2022, 47, 415–431. [Google Scholar] [CrossRef]
- Sabzehali, M.; Rabiee, A.H.; Alibeigi, M.; Mosavi, A. Predicting the energy and exergy performance of F135 PW100 turbofan engine via deep learning approach. Energy Convers. Manag. 2022, 265, 115775. [Google Scholar] [CrossRef]
- Fentaye, A.D.; Zaccaria, V.; Kyprianidis, K. Aircraft Engine Performance Monitoring and Diagnostics Based on Deep Convolutional Neural Networks. Machines 2021, 9, 337. [Google Scholar] [CrossRef]
- Talaat, M.; Gobran, M.H.; Wasfi, M. A hybrid model of an artificial neural network with a thermodynamic model for system diagnosis of electrical power plant gas turbine. Eng. Appl. Artif. Intell. 2018, 68, 222–235. [Google Scholar] [CrossRef]
- Park, Y.; Choi, M.; Kim, K.; Li, X.; Jung, C.; Na, S.; Choi, G. Prediction of operating characteristics for industrial gas turbine combustor using an optimized artificial neural network. Energy 2020, 213, 118769. [Google Scholar] [CrossRef]
- Tian, Y.; Chao, M.A.; Kulkarni, C.; Goebel, K.; Fink, O. Real-time model calibration with deep reinforcement learning. Mech. Syst. Signal Process. 2022, 165, 108284. [Google Scholar] [CrossRef]
- Orozco, D.J.R.; Venturini, O.J.; Palacio, J.C.E.; del Olmo, O.A. A new methodology of thermodynamic diagnosis, using the thermoeconomic method together with an artificial neural network (ANN): A case study of an externally fired gas turbine (EFGT). Energy 2017, 123, 20–35. [Google Scholar] [CrossRef]
- Liu, Z.; Karimi, I.A. Gas turbine performance prediction via machine learning. Energy 2020, 192, 116627. [Google Scholar] [CrossRef]
- Zhou, D.-W.; Lee, S.J.; Ma, C.F.; Bergles, A.E. Optimization of mesh screen for enhancing jet impingement heat transfer. Heat Mass Transf. 2005, 42, 501–510. [Google Scholar] [CrossRef]
- Thakkar, U.; Chaoui, H. Remaining Useful Life Prediction of an Aircraft Turbofan Engine Using Deep Layer Recurrent Neural Networks. Actuators 2022, 11, 67. [Google Scholar] [CrossRef]
- Altarazi, Y.S.M.; Saadon, S.; Yu, J.; Gires, E.; Ghafir, M.F.A.; Lucas, J. On-Design Operation and Performance Characteristic of Custom Engine. J. Adv. Res. Fluid Mech. Therm. Sci. 2020, 70, 144–154. [Google Scholar] [CrossRef]
- Hendricks, E.S.; Gray, J.S. pyCycle: A Tool for Efficient Optimization of Gas Turbine Engine Cycles. Aerospace 2019, 6, 87. [Google Scholar] [CrossRef]
- Gorji, M.; Kazemi, A.; Ganji, D.D. Thermodynamic Study of Turbofan Engine in Off-Design Conditions. Int. J. Eng. Trans. A Basics 2012, 27, 1139–1148. [Google Scholar] [CrossRef]
- De Giorgi, M.G.; Quarta, M. Hybrid MultiGene Genetic Programming—Artificial neural networks approach for dynamic performance prediction of an aero-engine. Aerosp. Sci. Technol. 2020, 103, 105902. [Google Scholar] [CrossRef]
- Aygun, H.; Turan, O. Exergetic sustainability off-design analysis of variable-cycle aero-engine in various bypass modes. Energy 2020, 195, 117008. [Google Scholar] [CrossRef]
- Zhou, D.; Yao, Q.; Wu, H.; Ma, S.; Zhang, H. Fault diagnosis of gas turbine based on partly interpretable convolutional neural networks. Energy 2020, 200, 117467. [Google Scholar] [CrossRef]
- Matuszczak, M.; Zbikowski, M.; Teodorczyk, A. Predictive modelling of turbofan engine components condition using machine and deep learning methods. Eksploat. Niezawodn. 2021, 23, 359–370. [Google Scholar] [CrossRef]
- Fang, J.; Zheng, Q.; Cai, C.; Chen, H.; Zhang, H. Deep reinforcement learning method for turbofan engine acceleration optimization problem within the full flight envelope. Aerosp. Sci. Technol. 2023, 136, 108228. [Google Scholar] [CrossRef]
- da Silva, F.C.; Grinet, M.A.M.V.; Silva, A.R.R. A Machine Learning Approach to Forecasting Turbofan Engine Health Using Real Flight Data. In Proceedings of the AIAA SCITECH 2022 Forum, San Diego, CA, USA, 3–7 January 2022. [Google Scholar] [CrossRef]
- Sohail, M.U.; Hamdani, H.R.; Islam, A.; Parvez, K.; Khan, A.M.; Allauddin, U.; Khurram, M.; Elahi, H. Prediction of Non-Uniform Distorted Flows, Effects on Transonic Compressor Using CFD, Regression Analysis and Artificial Neural Networks. Appl. Sci. 2021, 11, 3706. [Google Scholar] [CrossRef]
- Sohail, M.U.; Hamdani, H.R.; Parvez, K. Flow Angularity and Swirl Flow Analysis on Transonic Compressor Rotor by 1-Dimensional Dynamic Turbine Engine Compressor Code and CFD Analysis. Fluid Dyn. 2021, 56, 278–290. [Google Scholar] [CrossRef]
- Sohail, M.U.; Hassan, M.; Hamdani, S.H.R.; Pervez, K. Effects of Ambient Temperature on the Performance of Turbofan Transonic Compressor by CFD Analysis and Artificial Neural Networks. Eng. Technol. Appl. Sci. Res. 2019, 9, 4640–4648. [Google Scholar] [CrossRef]
- Mattingly, J.D.; Heiser, W.H.; Boyer, K.M.; Haven, B.A.; Pratt, D.T. Aircraft Engine Design, 3rd ed.; American Institute of Aeronautics and Astronautics: Reston, VA, USA, 2018. [Google Scholar] [CrossRef]
- Sung, R. A Comparative Study of the Gas Turbine Simulation Program (GSP) 11 and GasTurb 11 on Their Respective Simulations for a Single-Spool Turbojet. Master’s Thesis, University of Tennessee, Knoxville, TN, USA, 2013. [Google Scholar]








| Parameter | Range | Output |
|---|---|---|
| Mach number | 0 to 2 | Specific fuel consumption |
| Altitude | Ceiling: 50,000 feet (15,420 m) | Specific thrust |
| Turbine entry temperature | 1000 to 2000 K | Propulsive efficiency |
| Bypass ratio | 0 to 2 | Total fuel flow |
| Fan’s pressure ratio (FPR) | 2.5 to 3.5 |
| Parameter | Value |
|---|---|
| Training data | 70% |
| Test data | 30% |
| Hidden layers | 2 |
| Batch size | 64 |
| Activation function | Rectified linear unit |
| Optimizer | Adaptive moment estimation optimizer |
| Parameter | Value |
|---|---|
| Altitude (m) | 0 |
| Mach number | 0 |
| W (kg s−1) | 113.5 |
| FPR | 3.65 |
| BPR | 0.36 |
| TET (K) | 1700 |
| Tab (K) | 2250 |
| 0.83 | |
| 0.90 |
| Parameter | Published | Calculated | Error |
|---|---|---|---|
| Dry thrust (kN) | 79.45 | 83.88 | 5.3% |
| Dry thrust’s fuel consumption rate (g/(kN × s)) | 21.53 | 22.45 | 4.1% |
| Wet thrust (kN) | 129.29 | 133.94 | 3.5% |
| Wet thrust’s fuel consumption rate (g/(kN × s)) | 54.94 | 60.51 | 9.2% |
| Fuel mass flow rate (with afterburner) (kg/s) | 8.064 | 8.105 | 0.5% |
| Predictor | Response | Model | RMSE |
|---|---|---|---|
| Altitude | Specific thrust | Matern 5/2 Gaussian Process Regression | 0.0044 |
| Specific fuel consumption | Matern 5/2 Gaussian Process Regression | 0.3514 | |
| Propulsive efficiency | Matern 5/2 Gaussian Process Regression | 0.0005 | |
| Total fuel flow | Wide Neural Network | 0.0027 | |
| Bypass ratio and fan pressure ratio | Specific thrust | Matern 5/2 Gaussian Process Regression | 0.0887 |
| Specific fuel consumption | Matern 5/2 Gaussian Process Regression | 0.0022 | |
| Propulsive efficiency | Matern 5/2 Gaussian Process Regression | 9.076 | |
| Total fuel flow | Matern 5/2 Gaussian Process Regression | 0.0005 | |
| Mach number and altitude | Specific thrust | Matern 5/2 Gaussian Process Regression | 0.4207 |
| Specific fuel consumption | Matern 5/2 Gaussian Process Regression | 0.0131 | |
| Propulsive efficiency | Matern 5/2 Gaussian Process Regression | 0.0004 | |
| Total fuel flow | Wide Neural Network | 0.0016 | |
| Turbine inlet temperature | Specific thrust | Matern 5/2 Gaussian Process Regression | 0.2970 |
| Specific fuel consumption | Squared Exponential Gaussian Process Regression | 0.0133 | |
| Propulsive efficiency | Matern 5/2 Gaussian Process Regression | 0.0004 | |
| Total fuel flow | Matern 5/2 Gaussian Process Regression | 0.0005 |
| Input | Dataset Division | MSE Value |
|---|---|---|
| Fan pressure ratio and bypass ratio | Validation | 0.00436 |
| Test | 0.00478 | |
| Mach number and altitude | Validation | 0.00509 |
| Test | 0.00462 | |
| Turbine entry temperature and altitude | Validation | 0.0056 |
| Test | 0.0048 |
Disclaimer/Publisher’s Note: The statements, opinions and data contained in all publications are solely those of the individual author(s) and contributor(s) and not of MDPI and/or the editor(s). MDPI and/or the editor(s) disclaim responsibility for any injury to people or property resulting from any ideas, methods, instructions or products referred to in the content. |
© 2023 by the authors. Licensee MDPI, Basel, Switzerland. This article is an open access article distributed under the terms and conditions of the Creative Commons Attribution (CC BY) license (https://creativecommons.org/licenses/by/4.0/).
Share and Cite
Ahmed, Z.; Sohail, M.U.; Javed, A.; Swati, R.F. Development of a Predictive Tool for the Parametric Analysis of a Turbofan Engine. Appl. Sci. 2023, 13, 10761. https://doi.org/10.3390/app131910761
Ahmed Z, Sohail MU, Javed A, Swati RF. Development of a Predictive Tool for the Parametric Analysis of a Turbofan Engine. Applied Sciences. 2023; 13(19):10761. https://doi.org/10.3390/app131910761
Chicago/Turabian StyleAhmed, Zara, Muhammad Umer Sohail, Asma Javed, and Raees Fida Swati. 2023. "Development of a Predictive Tool for the Parametric Analysis of a Turbofan Engine" Applied Sciences 13, no. 19: 10761. https://doi.org/10.3390/app131910761
APA StyleAhmed, Z., Sohail, M. U., Javed, A., & Swati, R. F. (2023). Development of a Predictive Tool for the Parametric Analysis of a Turbofan Engine. Applied Sciences, 13(19), 10761. https://doi.org/10.3390/app131910761

