Tunability of Radiation Pattern of the H-Polarized Natural Waves of Dielectric Waveguide with Infinite Graphene Plane and Finite Number of Graphene Strips at THz
Abstract
:1. Introduction
2. Solution to the Scattering Problem
3. Solution to the Natural Waves Problem
4. Numerical Results
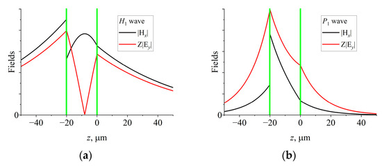
4.1. Study of Natural Waves
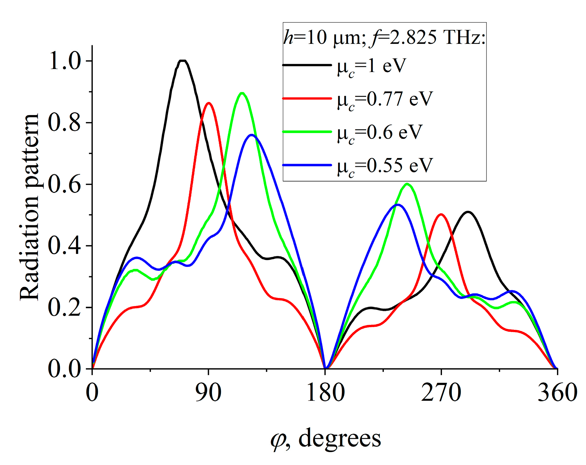
4.2. Scattering of the Natural Waves
5. Conclusions
Author Contributions
Funding
Institutional Review Board Statement
Informed Consent Statement
Data Availability Statement
Conflicts of Interest
References
- Ghaderi, M.; Bhattacharyya, A. Investigations on planar periodic structures with uniform microstrip lines. Microw. Opt. Technol. Lett. 1990, 3, 370–372. [Google Scholar] [CrossRef]
- Tamagnone, M.; Gomez-Diaz, J.S.; Mosig, J.R.; Perruisseau-Carrier, J. Reconfigurable THz plasmonic antenna concept using a graphene stack. Appl. Phys. Lett. 2012, 101, 214102. [Google Scholar] [CrossRef]
- Fallah, A.; Camacho, M.; Engheta, N. Electron-Sheet Metasurfaces for Reconfigurable Beam Patterns. IEEE Antennas Wirel. Propag. Lett. 2022, 21, 2201–2205. [Google Scholar] [CrossRef]
- Soleimani, H.; Oraizi, H. A novel 2D leaky wave antenna based on complementary graphene patch cell. J. Phys. D Appl. Phys. 2020, 53, 255301. [Google Scholar] [CrossRef]
- Jiang, H.; Cao, X.; Liu, T.; Jidi, L.; Li, S. Reconfigurable leaky wave antenna with low sidelobe based on spoof surface plasmon polariton. Int. J. Electron. Commun. 2022, 157, 154394. [Google Scholar] [CrossRef]
- Mishra, R.; Sahu, A.; Panwar, R. Cascaded graphene frequency selective surface integrated tunable broadband terahertz metamaterial absorber. IEEE Photonics J. 2019, 11, 2200310. [Google Scholar] [CrossRef]
- Nejat, M.; Nozhat, N. Ultrasensitive THz refractive index sensor based on a controllable perfect MTM absorber. IEEE Sens. J. 2019, 19, 10490–10497. [Google Scholar] [CrossRef]
- Zhai, M.-L.; Li, D.-M. Tunable hybrid metal–graphene frequency selective surfaces based on split-ring resonators by leapfrog ADI-FDTD method. Micro Nano Lett. 2018, 13, 1276–1279. [Google Scholar] [CrossRef]
- Chen, J.; Xu, N.; Zhang, A.; Guo, J. Using dispersion HIE-FDTD method to simulate the graphene-based polarizer. IEEE Trans. Antennas Propagat. 2016, 64, 3011–3017. [Google Scholar] [CrossRef]
- Herasymova, D.O.; Dukhopelnykov, S.V.; Natarov, D.M.; Zinenko, T.L.; Lucido, M.; Nosich, A.I. Threshold conditions for transversal modes of tunable plasmonic nanolasers shaped as single and twin graphene-covered circular quantum wires. Nanotechnology 2022, 33, 495001. [Google Scholar] [CrossRef]
- Seyyedmasoumian, S.; Attariabad, A.; Farmani, A. FEM analysis of a λ3/125 high sensitivity graphene plasmonic biosensor for low hemoglobin concentration detection. Appl. Opt. 2022, 61, 120–125. [Google Scholar] [CrossRef] [PubMed]
- Bae, J.E.; Calmano, T.; Kränkel, C.; Rotermund, F. Controllable dynamic single- and dual-channel graphene q-switching in a beam-splitter-type channel waveguide laser. Laser Photonics Rev. 2022, 16, 2100501. [Google Scholar] [CrossRef]
- Kushwaha, R.K. Reconfigurable GNR based elliptical dielectric resonator antenna for THz band applications. Results Opt. 2023, 10, 100354. [Google Scholar] [CrossRef]
- Goyal, R.; Vishwakarma, D.K. Design of a graphene-based patch antenna on glass substrate for high-speed terahertz communications. Microw. Opt. Technol. Lett. 2018, 60, 1594–1600. [Google Scholar] [CrossRef]
- Zhang, B.; Zhang, J.; Liu, C.; Wu, Z.; He, D. Equivalent resonant circuit modeling of a graphene-based bowtie antenna. Electronics 2018, 7, 285. [Google Scholar] [CrossRef]
- Fuscaldo, W.; Burghignoli, P.; Baccarelli, P.; Galli, A. Complex mode spectra of graphene-based planar structures for THz applications. J. Infrared Millim. Terahertz Waves 2015, 36, 720–733. [Google Scholar] [CrossRef]
- Esquius-Morote, M.; Gomez-Diaz, J.S.; Perruisseauz-Carrier, J. Sinusoidally modulated graphene leaky-wave antenna for electronic beamscanning at THz. IEEE Trans. Terahertz Sci. Technol. 2014, 4, 116–122. [Google Scholar] [CrossRef]
- Yevtushenko, F.O.; Dukhopelnykov, S.V.; Zinenko, T.L.; Rapoport, Y.G. Electromagnetic characterization of tuneable graphene-strips-on-substrate metasurface over entire THz range: Analytical regularization and natural-mode resonance interplay. IET Microw. Antennas Propag. 2021, 15, 1225–1239. [Google Scholar] [CrossRef]
- Koshovy, G.I. The Cauchy method of analytical regularisation in the modelling of plane wave scattering by a flat pre-fractal system of impedance strips. IET Microw. Antennas Propag. 2021, 15, 1310–1317. [Google Scholar] [CrossRef]
- Lucido, M. Electromagnetic scattering from a graphene disk: Helmholtz-Galerkin technique and surface plasmon Resonances. Mathematics 2021, 9, 1429. [Google Scholar] [CrossRef]
- Lucido, M. Helmholtz–Galerkin regularizing technique for the analysis of the THz-range surface-plasmon-mode resonances of a graphene microdisk stack. Micro 2022, 2, 295–312. [Google Scholar] [CrossRef]
- Dukhopelnykov, S.V.; Lucido, M.; Sauleau, R.; Nosich, A.I. Circular dielectric rod with conformal strip of graphene as tunable terahertz antenna: Interplay of inverse electromagnetic jet, whispering gallery and plasmon effects. IEEE J. Sel. Top. Quantum Electron. 2021, 27, 4600908. [Google Scholar] [CrossRef]
- Kaliberda, M.E.; Lytvynenko, L.M.; Pogarsky, S.A. Scattering of eigenmodes of planar dielectric waveguide with PEC wall by graphene strip grating at THz. Waves Random Complex Media 2021. [Google Scholar] [CrossRef]
- Kaliberda, M.E.; Lytvynenko, L.M.; Pogarsky, S.A. THz waves scattering by finite graphene strip grating embedded into dielectric slab. IEEE J. Quantum Electron. 2020, 56, 8500107. [Google Scholar] [CrossRef]
- Kaliberda, M.E.; Lytvynenko, L.M.; Pogarsky, S.A.; Sauleau, R. Excitation of guided waves of grounded dielectric slab by a THz plane wave scattered from finite number of embedded graphene strips: Singular integral equation analysis. IET Microw. Antennas Propag. 2021, 15, 1171–1180. [Google Scholar] [CrossRef]
- Kaliberda, M.E.; Pogarsky, S.A.; Sierhieieva, A.A. Integral equations in the H-polarized wave scattering from metasurface formed by finite multilayer graphene strip grating inside grounded dielectric slab. Opt. Quantum Electron. 2023. [Google Scholar] [CrossRef]
- Gandel, Y.V.; Polyanskaya, T.S. Justification of a numerical method for solving systems of singular integral equations in diffraction grating problems. Differ. Equ. 2003, 39, 1295–1307. [Google Scholar] [CrossRef]
- Hanson, G.W. Dyadic Green’s functions and guided surface waves for a surface conductivity model of graphene. J. Appl. Phys. 2008, 103, 064302. [Google Scholar] [CrossRef]
- Hanson, G.W. Dyadic Green’s functions for an anisotropic, non-local model of biased graphene. IEEE Trans. Antennas Propagat. 2008, 56, 747–757. [Google Scholar] [CrossRef]
- Gomez-Diaz, J.S.; Mosig, J.R.; Perruisseau-Carrier, J. Effect of spatial dispersion on surface waves propagating along graphene sheets. IEEE Trans. Antennas Propag. 2013, 61, 3589–3596. [Google Scholar] [CrossRef]
- Guillemin, E.A. Communication Network; John Wiley and Sons Inc.: London, UK, 1935; Volume 1. [Google Scholar]
- Lifanov, I.K. Singular Integral Equations and Discrete Vortices; VSP: Utrecht, The Netherlands, 1996. [Google Scholar]
- Kaminow, I.P.; Mammel, W.L.; Weber, H.P. Metal-clad optical waveguides: Analytical and experimental study. Appl. Opt. 1974, 13, 396–405. [Google Scholar] [CrossRef] [PubMed]
- Svezhentsev, A.Y.; Nosich, A.I.; Volski, V.; Vandenbosch, G.A.E. THz range natural modes and scattering resonances of circular dielectric micro-cylinder covered with graphene: The H-polarization case. Opt. Quantum Electron. 2023, 55, 253. [Google Scholar] [CrossRef]











Disclaimer/Publisher’s Note: The statements, opinions and data contained in all publications are solely those of the individual author(s) and contributor(s) and not of MDPI and/or the editor(s). MDPI and/or the editor(s) disclaim responsibility for any injury to people or property resulting from any ideas, methods, instructions or products referred to in the content. |
© 2023 by the authors. Licensee MDPI, Basel, Switzerland. This article is an open access article distributed under the terms and conditions of the Creative Commons Attribution (CC BY) license (https://creativecommons.org/licenses/by/4.0/).
Share and Cite
Kaliberda, M.E.; Pogarsky, S.A. Tunability of Radiation Pattern of the H-Polarized Natural Waves of Dielectric Waveguide with Infinite Graphene Plane and Finite Number of Graphene Strips at THz. Appl. Sci. 2023, 13, 10563. https://doi.org/10.3390/app131910563
Kaliberda ME, Pogarsky SA. Tunability of Radiation Pattern of the H-Polarized Natural Waves of Dielectric Waveguide with Infinite Graphene Plane and Finite Number of Graphene Strips at THz. Applied Sciences. 2023; 13(19):10563. https://doi.org/10.3390/app131910563
Chicago/Turabian StyleKaliberda, Mstyslav E., and Sergey A. Pogarsky. 2023. "Tunability of Radiation Pattern of the H-Polarized Natural Waves of Dielectric Waveguide with Infinite Graphene Plane and Finite Number of Graphene Strips at THz" Applied Sciences 13, no. 19: 10563. https://doi.org/10.3390/app131910563
APA StyleKaliberda, M. E., & Pogarsky, S. A. (2023). Tunability of Radiation Pattern of the H-Polarized Natural Waves of Dielectric Waveguide with Infinite Graphene Plane and Finite Number of Graphene Strips at THz. Applied Sciences, 13(19), 10563. https://doi.org/10.3390/app131910563

