LTransformer: A Transformer-Based Framework for Task Offloading in Vehicular Edge Computing
Abstract
:1. Introduction
- (1)
- We propose a task offloading approach, in which the deep learning model can be deployed for predictive-mode transmission. On the cloud server, the predictive model is trained based on historical trajectory data. On the edge server, real-time trajectory prediction and task offloading optimization are achieved based on the predictive model.
- (2)
- We propose the LTransformer, which has a four-module structure. In the pre-training stage, stationary latitude and longitude data are embedded. In the pre-training stage, stationary latitude and longitude data are embedded. In the input module, multidimensional information such as geography, sequence, and time are integrated. In the encoding–decoding module, encoders and decoders are used to train the trajectory data. In the output module, problematic results are removed using an error correction method.
- (3)
- Experiments are carried out in a real dataset. The proposed method is compared with other deep learning models to analyze its accuracy and applicability in VEC.
2. Related Work
2.1. Vehicular Edge Computing
2.2. Trajectory Prediction
3. Method
3.1. Task Offloading
3.1.1. Task Offloading Optimization Approach
- Historical vehicle trajectories stored in the vehicle are uploaded into the edge server. Specifically, the vehicle trajectory Th stored in the vehicle vh is uploaded to the surrounding edge server sh through the roadside units (RSU).
- Edge servers upload vehicle trajectories to the cloud server. Specifically, the vehicle trajectories, Tp, …, Tq stored in the edge server sh are uploaded to the cloud server c.
- The predictive model is trained on the cloud server based on the trajectory data of vehicles. Once the training process is completed, the predictive model is transmitted to the edge servers. Specifically, the predictive model M is trained on the cloud server c based on the vehicle trajectory set T. After training, the predictive model M is transmitted to each edge server sh.
- The computational task Dp.
- The vehicle trajectory Ti is stored in the vehicle vi.
- The model M is stored in the edge server sj.
- 4.
- Computational tasks and vehicle trajectories stored in the vehicle are uploaded onto the edge server. Specifically, the computational task Dp and vehicle trajectory Ti stored in the vehicle vi are uploaded into the surrounding edge server sj via the RSU.
- 5.
- The edge server uses the predictive model to predict the vehicle trajectory and optimizes the task offloading according to the prediction result. Specifically, the vehicle trajectory, Ti, is predicted in the edge server sj using the predictive model M. Assuming the prediction result is the edge server sk, the computational task or the result of the task is transmitted to the edge server sk via V2V or V2I.
- 6.
- The vehicle downloads the results of the computational task as it arrives around the predicted location. Specifically, the computational task result Dq in the edge server sk is transmitted to the vehicle vi when the vehicle vi arrives in its vicinity.
3.1.2. Search Stage and Energy Management
- The current edge server is capable of completing the computational task on its own. In that case, the energy consumption required for the edge server to complete computational task n is
- The remaining computational resources on this edge server cannot meet the minimum requirements of this computational task. The edge server transfers this computational task to an edge server in the direction of the vehicle’s movement. In that case, the total energy consumption required for the edge server to complete computational task n is
| Algorithm 1. LTransformer-based Predictive-mode Task Offloading Algorithm. |
| 1. for server in edge_servers: 2. while data = receive_data(): 3. if data.rn> server.rs: 4. trajectory = receive_trajectory(data.vehicle) 5. next_server = predict(trajectory) 6. data.send(next_server) 7. else: 8. results = exec(data.task) 9. results.send(data.vehicle) |
3.2. LTransformer
3.2.1. Pre-Training
Trainable Embedding
LLE
Optimization Process 1: Generate Weight Coefficients Based on Local Linear Features
Optimization Process 2: Generate the Geographic Embedded Matrix Based on the Weight Coefficients
3.2.2. Input Module
Location Embedding
Position Encoding
Time Encoding
3.2.3. Encoding–Decoding Module
3.2.4. Output Module
3.3. LTransformer Complexity
4. Experiment and Analysis
4.1. Experimental Environment and Dataset
4.2. Data Processing
4.3. Approach Comparing
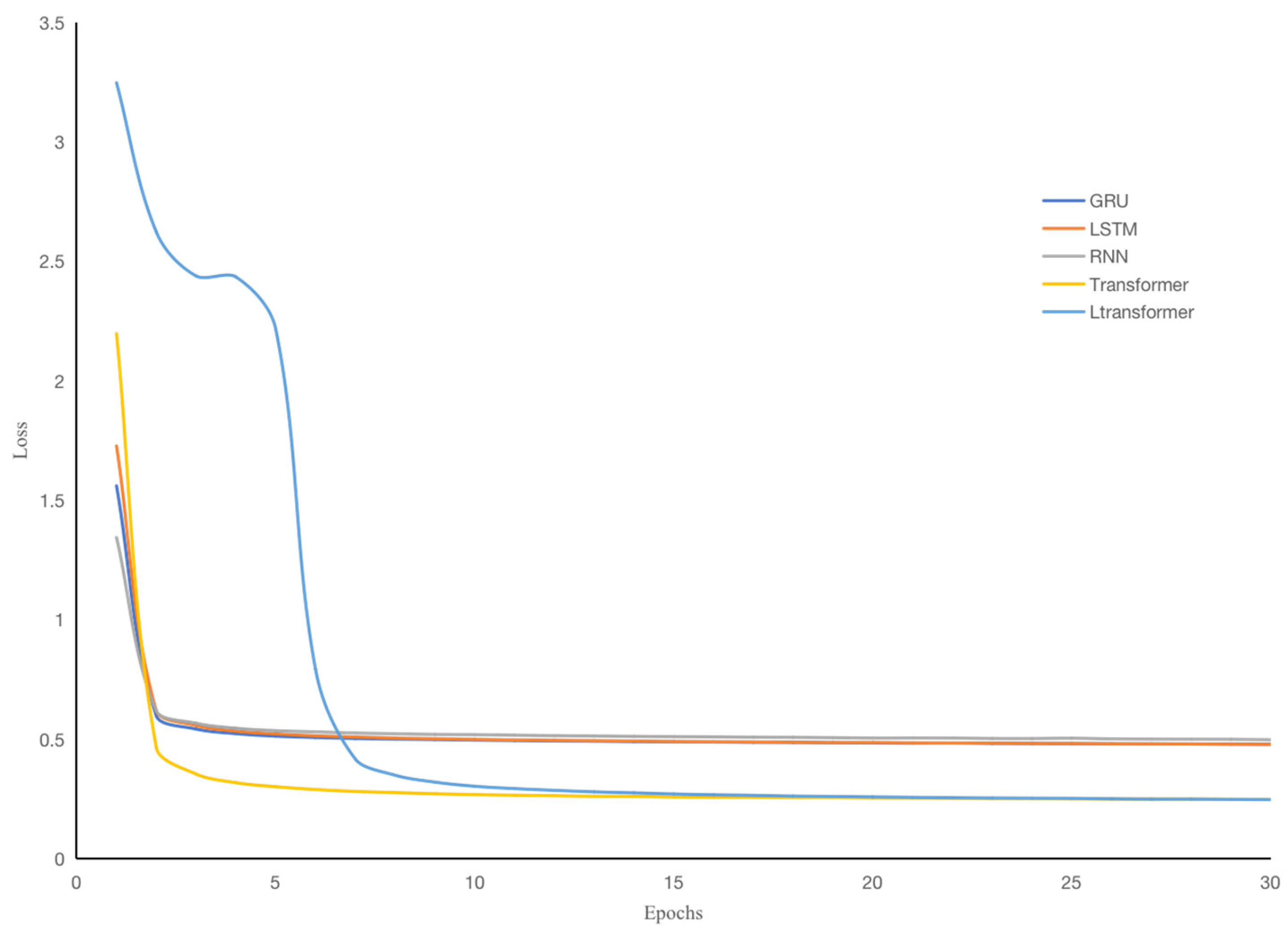
4.4. Accuracy Verification
4.5. Resource Consumption
4.5.1. Time Consumption
4.5.2. Memory Consumption
4.6. Parameter Adjustment
5. Conclusions
Author Contributions
Funding
Institutional Review Board Statement
Informed Consent Statement
Data Availability Statement
Conflicts of Interest
References
- Liu, L.; Chen, C.; Pei, Q.; Maharjan, S.; Zhang, Y. Vehicular edge computing and networking: A survey. Mob. Netw. Appl. 2021, 26, 1145–1168. [Google Scholar] [CrossRef]
- Luo, Q.; Hu, S.; Li, C.; Li, G.; Shi, W. Resource scheduling in edge computing: A survey. IEEE Commun. Surv. Tutor. 2021, 23, 2131–2165. [Google Scholar] [CrossRef]
- Zhan, W.; Luo, C.; Min, G.; Wang, C.; Zhu, Q.; Duan, H. Mobility-aware multi-user offloading optimization for mobile edge computing. IEEE Trans. Veh. Technol. 2020, 69, 3341–3356. [Google Scholar] [CrossRef]
- Zhang, K.; Mao, Y.; Leng, S.; He, Y.; Zhang, Y. Mobile-edge computing for vehicular networks: A promising network paradigm with predictive off-loading. IEEE Veh. Technol. Mag. 2017, 12, 36–44. [Google Scholar] [CrossRef]
- Saeik, F.; Avgeris, M.; Spatharakis, D.; Santi, N.; Dechouniotis, D.; Violos, J.; Leivadeas, A.; Athanasopoulos, N.; Mitton, N.; Papavassiliou, S. Task offloading in Edge and Cloud Computing: A survey on mathematical. Comput. Netw. 2021, 195, 108177. [Google Scholar] [CrossRef]
- Yang, S.R.; Su, Y.J.; Chang, Y.Y.; Hung, H.N. Short-term traffic prediction for edge computing-enhanced autonomous and connected cars. IEEE Trans. Veh. Technol. 2019, 68, 3140–3153. [Google Scholar] [CrossRef]
- Alahi, A.; Goel, K.; Ramanathan, V.; Robicquet, A.; Fei-Fei, L.; Savarese, S. Social lstm: Human trajectory prediction in crowded spaces. In Proceedings of the IEEE Conference on Computer Vision and Pattern Recognition, Las Vegas, NV, USA, 27–30 June 2016; pp. 961–971. [Google Scholar]
- Han, P.; Wang, W.; Shi, Q.; Yang, J. Real-time short-term trajectory prediction based on GRU neural network. In Proceedings of the 38th Digital Avionics Systems Conference (DASC), San Diego, CA, USA, 8–12 September 2019; pp. 1–8. [Google Scholar]
- Huang, M.; Zhu, M.; Xiao, Y.; Liu, Y. Bayonet-corpus: A trajectory prediction method based on bayonet context and bidirectional GRU. Digit. Commun. Netw. 2021, 7, 72–81. [Google Scholar] [CrossRef]
- Amichi, L.; Viana, A.C.; Crovella, M.; Loureiro, A.A. From movement purpose to perceptive spatial mobility prediction. In Proceedings of the 29th International Conference on Advances in Geographic Information Systems, Beijing, China, 2–5 November 2021; pp. 500–511. [Google Scholar]
- Monreale, A.; Pinelli, F.; Trasarti, R.; Giannotti, F. Wherenext: A location predictor on trajectory pattern mining. In Proceedings of the 15th ACM SIGKDD International Conference on Knowledge Discovery and Data Mining, Paris, France, 28 June–1 July 2009; pp. 637–646. [Google Scholar]
- Zhenjiang, D.; Jia, D.; Xiaohui, J.; Yongli, W. RTMatch: Real-time location prediction based on trajectory pattern matching. In Database Systems for Advanced Applications, Proceedings of the DASFAA 2017 International Workshops: BDMS, BDQM, SeCoP, and DMMOOC, Suzhou, China, 27–30 March 2017; Springer: Cham, Switzerland, 2017; pp. 103–117. [Google Scholar]
- Zeng, J.; He, X.; Tang, H.; Wen, J. A next location predicting approach based on a recurrent neural network and self-attention. In Collaborative Computing: Networking, Applications and Worksharing, Proceedings of the 15th EAI International Conference, London, UK, 19–22 August 2019; Springer: Cham, Switzerland, 2019; pp. 309–322. [Google Scholar]
- Feng, J.; Li, Y.; Zhang, C.; Sun, F.; Meng, F.; Guo, A.; Jin, D. Deepmove: Predicting human mobility with attentional recurrent networks. In Proceedings of the 2018 World Wide Web Conference, Lyon, France, 23–27 April 2018; pp. 1459–1468. [Google Scholar]
- Liu, T.; Liao, J.; Wu, Z.; Wang, Y.; Wang, J. A geographical-temporal awareness hierarchical attention network for next point-of-interest recommendation. In Proceedings of the 2019 on International Conference on Multimedia Retrieval, Ottawa, ON, Canada, 10–13 June 2019; pp. 7–15. [Google Scholar]
- Amirloo, E.; Rasouli, A.; Lakner, P.; Rohani, M.; Luo, J. Latentformer: Multi-agent transformer-based interaction modeling and trajectory prediction. arXiv 2022, arXiv:2203.01880. [Google Scholar]
- Yan, J.; Peng, Z.; Yin, H.; Wang, J.; Wang, X.; Shen, Y.; Stechele, W.; Cremers, D. Trajectory prediction for intelligent vehicles using spatial-attention mechanism. IET Intell. Transp. Syst. 2020, 14, 1855–1863. [Google Scholar] [CrossRef]
- Yu, C.; Ma, X.; Ren, J.; Zhao, H.; Yi, S. Spatio-temporal graph transformer networks for pedestrian trajectory prediction. In Proceedings of the Computer Vision–ECCV 2020: 16th European Conference, Glasgow, UK, 23–28 August 2020; pp. 507–523. [Google Scholar]
- Dai, Z.; Yang, Z.; Yang, Y.; Carbonell, J.; Le, Q.V.; Salakhutdinov, R. Transformer-xl: Attentive language models beyond a fixed-length context. In Proceedings of the 57th Annual Meeting of the Association-for-Computational-Linguistics (ACL), Florence, Italy, 28 July–2 August 2019; pp. 2978–2988. [Google Scholar]
- Wang, S.; Li, B.Z.; Khabsa, M.; Fang, H.; Ma, H. Linformer: Self-attention with linear complexity. arXiv 2020, arXiv:2006.04768. [Google Scholar]
- Kitaev, N.; Kaiser, Ł.; Levskaya, A. Reformer: The efficient transformer. arXiv 2020, arXiv:2001.04451. [Google Scholar]
- Kong, X.; Xing, W.; Wei, X.; Bao, P.; Zhang, J.; Lu, W. STGAT: Spatial-temporal graph attention networks for traffic flow forecasting. IEEE Access 2020, 8, 134363–134372. [Google Scholar] [CrossRef]
- Zhou, H.; Zhang, S.; Peng, J.; Zhang, S.; Li, J.; Xiong, H.; Zhang, W. Informer: Beyond efficient transformer for long sequence time-series forecasting. In Proceedings of the AAAI Conference on Artificial Intelligence, Vancouver, BC, Canada, 2–9 February 2021; pp. 11106–11115. [Google Scholar]
- Bahra, N.; Pierre, S. RNN-based user trajectory prediction using a preprocessed dataset. In Proceedings of the 2020 16th International Conference on Wireless and Mobile Computing, Networking and Communications (WiMob), Thessaloniki, Greece, 12–14 October 2020; pp. 1–6. [Google Scholar]
- Xiao, H.; Wang, C.; Li, Z.; Wang, R.; Bo, C.; Sotelo, M.A.; Xu, Y. UB-LSTM: A trajectory prediction method combined with vehicle behavior recognition. J. Adv. Transp. 2020, 2020, 8859689. [Google Scholar] [CrossRef]
- Zhao, J.; Li, X.; Xue, Q.; Zhang, W. Spatial-channel transformer network for trajectory prediction on the traffic scenes. arXiv 2021, arXiv:2101.11472. [Google Scholar]
- Zhao, H.; You, J.; Wang, Y.; Zhao, X. Offloading Strategy of Multi-Service and Multi-User Edge Computing in Internet of Vehicles. Appl. Sci. 2023, 13, 6079. [Google Scholar] [CrossRef]
- Peng, B.; Li, T.; Chen, Y. DRL-Based Dependent Task Offloading Strategies with Multi-Server Collaboration in Multi-Access Edge Computing. Appl. Sci. 2023, 13, 191. [Google Scholar] [CrossRef]







| Software and Hardware Environment | Parameters |
|---|---|
| CPU | Intel(R) Xeon(R) Gold 6326 |
| GPU | NVIDIA A40 |
| Operating System | Linux 3.10.0 |
| Python | python 3.10.10 |
| Pytorch | 1.12.1+cu113 |
| Source | Field Name | Field Type |
|---|---|---|
| Real trajectory data | Longitude | Double-precision floating point |
| Latitude | Double-precision floating point | |
| Timestamp | Integer | |
| Serial number | Integer |
| Model | Hidden Layer Dimension | Batch Size | Optimizer |
|---|---|---|---|
| RNN | 512 | 200 | Adam |
| LSTM | 512 | 200 | Adam |
| GRU | 512 | 200 | Adam |
| Transformer | 512 | 200 | SGD |
| LTransformer | 512 | 200 | SGD |
| Sample | GRU | LSTM | RNN | Transformer | LTransformer |
|---|---|---|---|---|---|
| Sample 1 | 0.783 | 0.784 | 0.782 | 0.780 | 0.788 |
| Sample 2 | 0.802 | 0.801 | 0.797 | 0.801 | 0.803 |
| Sample 3 | 0.812 | 0.808 | 0.809 | 0.809 | 0.813 |
| Model | Accuracy | Loss |
|---|---|---|
| GRU | 0.799 | 0.479388 |
| LSTM | 0.798 | 0.479554 |
| RNN | 0.796 | 0.498660 |
| Transformer | 0.797 | 0.249246 |
| LTransformer | 0.801 | 0.248059 |
| Sample | Trajectory Data Volumes | |||
|---|---|---|---|---|
| 1 | 10 | 100 | 1000 | |
| Sample 1 | 0.0125 | 0.0875 | 0.8888 | 8.4802 |
| Sample 2 | 0.0114 | 0.0905 | 0.8552 | 8.4952 |
| Sample 3 | 0.0123 | 0.0878 | 0.8731 | 8.4910 |
| Sample | Memory Consumption in Different Models | |||
|---|---|---|---|---|
| GRU | LSTM | RNN | LTransformer | |
| Sample 1 | 5.5033 | 5.5063 | 5.5036 | 3.7122 |
| Sample 2 | 5.5069 | 5.5115 | 5.5032 | 3.7133 |
| Sample 3 | 5.5142 | 5.5253 | 5.5015 | 3.7228 |
Disclaimer/Publisher’s Note: The statements, opinions and data contained in all publications are solely those of the individual author(s) and contributor(s) and not of MDPI and/or the editor(s). MDPI and/or the editor(s) disclaim responsibility for any injury to people or property resulting from any ideas, methods, instructions or products referred to in the content. |
© 2023 by the authors. Licensee MDPI, Basel, Switzerland. This article is an open access article distributed under the terms and conditions of the Creative Commons Attribution (CC BY) license (https://creativecommons.org/licenses/by/4.0/).
Share and Cite
Yang, Y.; Yan, R.; Gu, Y. LTransformer: A Transformer-Based Framework for Task Offloading in Vehicular Edge Computing. Appl. Sci. 2023, 13, 10232. https://doi.org/10.3390/app131810232
Yang Y, Yan R, Gu Y. LTransformer: A Transformer-Based Framework for Task Offloading in Vehicular Edge Computing. Applied Sciences. 2023; 13(18):10232. https://doi.org/10.3390/app131810232
Chicago/Turabian StyleYang, Yichi, Ruibin Yan, and Yijun Gu. 2023. "LTransformer: A Transformer-Based Framework for Task Offloading in Vehicular Edge Computing" Applied Sciences 13, no. 18: 10232. https://doi.org/10.3390/app131810232
APA StyleYang, Y., Yan, R., & Gu, Y. (2023). LTransformer: A Transformer-Based Framework for Task Offloading in Vehicular Edge Computing. Applied Sciences, 13(18), 10232. https://doi.org/10.3390/app131810232
