You are currently viewing a new version of our website. To view the old version click .
Applied Sciences
  • Article
  • Open Access

7 September 2023

Development of a 3-DOF Cylindrical Ultrasonic Motor Based on Non-Standard Modes

,
,
and
School of the Electrical Engineering, Southeast University, Nanjing 210096, China
*
Author to whom correspondence should be addressed.

Abstract

Cylindrical multi-degree-of-freedom (multi-DOF) ultrasonic motors have the potential to significantly reduce motor size compared to other ultrasonic motors. They find applications in various systems, including micro-robot joints and space probes. This paper proposes a 3-DOF cylindrical ultrasonic motor with hybrid vibration modes. Hybrid vibration modes encompass non-standard longitudinal and bending vibrations. The structure and operating principle of the motor are described first. COMSOL Multiphysics models the stator’s vibration modes, frequency response, and 3-DOF motion. A motor prototype is manufactured and characterized to demonstrate the output characteristics of the motor. The results indicate that the motor has a no-load speed of 37 rpm along the x- and y-axes and up to 77 rpm along the z-axis. The maximum output torque of the motor is 25 Nm. The motor is low in height and compact, providing a method for further reducing the stator length of motors of the same type.

1. Introduction

Multi-degree-of-freedom (multi-DOF) motors perform complex motions through precise force/torque manipulation to accomplish automation tasks. Most multi-DOF motors are based on electromagnetic principles. Multi-DOF permanent magnet (PM) motors have a complex electromagnetic structure requiring high material and machining. The use of electromagnetic motors in the presence of external electromagnetic fields and other radiation sources can affect the accuracy and even the regular operation of the whole system [1,2].
With the diversification of energy conversion methods, scholars have taken another approach and proposed ultrasonic motors based on friction drive. Ultrasonic motors utilize the inverse piezoelectric effect of piezoelectric ceramics to generate ultrasonic frequency vibrations, which generate thrust through friction between the stator and rotor friction surfaces, thus realizing the conversion of electrical energy to mechanical energy [3,4]. Ultrasonic motors are characterized by high low-speed torque, fast action response, self-locking, simple structure, and freedom from electromagnetic interference [5,6,7]. Due to these attractive features, the simplicity of the structure, and the ability to quickly achieve singularity-free motion, multi-degree-of-freedom ultrasonic motors play a vital role in aerospace [8,9], robotics [10,11], and medical devices [12,13] requiring precision motion and special driving environments.
Depending on the stator structure, multi-DOF spherical ultrasonic motors can be categorized as clamping [14,15], planar [16,17,18], cylindrical [19,20], spherical shell [21,22] and sandwich [23,24]. Most multi-DOF ultrasonic motors are complex in construction. Most clamped motors, sandwich-type and planar type, need to design the external frame to fix the stator and disc spring, and the ball-shell motors need to fabricate the external ball shell to paste the piezoelectric ceramics. This greatly increases the design difficulty and process complexity. Compared to the other three types, the cylindrical multi-DOF motor, with its stator vibration pattern and piezoelectric ceramic configuration design, can drastically reduce the size of the motor. This highlights the virtues of compact ultrasonic motors, which drive the load directly and offer significant manufacturing and application advantages.
Depending on the form of stator design, multi-DOF cylindrical motors can be divided into bolted and ceramic bonding types. Takafumi Amano et al. presented the first bolt-type multi-DOF ultrasonic motor in 1998 [25]. The motor used two bending vibrations with one longitudinal vibration to achieve 3-DOF rotation of the rotor. The stator had an overall length of 118 mm and used bolts to clamp the piezoelectric ceramics (PZT). The motor structure proposed by Kenjiro Takemura et al. added a support plate and head base, shortening the length of the motor and increasing stability [26,27]. The motor’s maximum speed and output torque values were about 250 r/min and 7 mNm. The overall length of the motor remained long, and the support shaft fabrication process was complex. Zhang et al. designed a multi-DOF actuator for application in robotic finger joints [28,29,30]. Ref. [28] described the motor stator as consisting of a bolt-clamped disk transducer and a multi-layered piezoelectric actuator. The actuator’s height and diameter were 33 mm and 20 mm. The motor had a maximum torque of approximately 23.5 mNm. The motor was not equipped with a device for applying preload, and the gripping mechanism designed for the application increased the total size of the actuator by a large extent. Ref. [31] reported a sandwich-type multi-DOF motor. The piezoelectric ceramics of the motor stator were bolted between the flange and the end cap. Adjacent piezoceramics were polarized in opposite directions to achieve mixed-mode vibration. However, the motor did not take into account rotor placement. The motor designed by Xu et al. consisted of a front cap, an end cap, and piezoelectric ceramic sets sandwiched between the two caps. The piezoelectric ceramic was quadratically polarized. An elliptical trajectory was generated when orthogonal signals were simultaneously applied to the piezoelectric ceramic set. The cone of the motor was used to amplify the motion trajectory, which greatly increased the motor’s size [32]. Most ceramic-chip cylindrical multi-DOF motors have PZTs affixed directly to the stator, making it easier to miniaturize the size. P. Vasiljec et al., developed a motor consisting of a 10 × 10 × 18 mm stator with four d31 PZTs. The top of the stator had four bumps to contact the rotor [33]. In ref. [34], the designed actuator comprised four d31 PZTs polarized along the thickness direction with a base. Applying a positive/negative excitation voltage to the PZTs, the PZTs shortened/stretched in different directions, thus driving the rotor in multiple degrees of freedom.
Application scenarios for multi-DOF cylindrical ultrasonic motors have gradually started to favor miniaturization, which places higher demands on the motor size. For cylindrical single-stator multi-DOF motors, the large size, mounting of the stator and rotor, and the design of the support mechanism are among the key issues affecting their application. The majority of ceramic-chip motors can be miniaturized, but the PZT pasting process has a significant impact on motor performance. Bolted motors using piezoelectric ceramics do not require pasting and are far simpler to install and manufacture [35]. Compactness has always been an important design goal for bolted cylindrical multi-DOF motors. With a certain cross-section, when the stator electromechanical coupling coefficient is lower as the motor is lowered using standard first-order longitudinal and third-order bending as the energy transfer wave. In this case, the energy transfer wave is not able to effectively and continuously drive the rotor ball, which affects regular operation. Therefore, this paper focuses on designing a simple and reliable bracket and frame, determining a suitable range of modal drive frequencies, and providing a suitable aspect ratio for the entire motor structure to suit the application.
This paper develops a 3-DOF cylindrical ultrasonic motor based on hybrid vibration modes with good output characteristics. Hybrid modes encompass non-standard longitudinal and non-standard bending modes, i.e., vibration modes where the vibration pattern differs from the standard vibration pattern. The motor consists of a cylindrical stator and rotor, with a simple structure and high output torque. The motor structure, the piezoelectric ceramic distribution, and the operating principle are described in detail. Simulation studies of the stator characteristics and motion are then carried out, and a prototype is built and experimentally tested.

2. Configuration of the Motor

The proposed multi-DOF cylindrical ultrasonic motor consists of a cylindrical stator and a spherical rotor placed on the stator. A rod can be extended from the rotor to drive the load. Figure 1 shows the structure of the designed stator. The overall size of the stator is 20 × 20 × 29 mm, and the rotor diameter is 20 mm. The main structural parameters are H1 = 10 mm, H2 = 5.1 mm, and H3 = 4 mm. The stator consists mainly of a support body, a clamping body, PZT sets, a matching block, and a fixing screw. The above components are threaded and locked between the stator and the fixing screws, making installation simple and easy. The PZT sets are divided into a longitudinal vibration ceramic set and bending vibration ceramic set, with the longitudinal vibration set in the upper part.
Figure 1. Schematic diagram of the stator: (1) support body, (2) clamping body, (3) bending vibration ceramic set, (4) spherical magnetic, (5) adjustment slot, (6) longitudinal vibration ceramic set, (7) matching block, (8) screw, and (9) bottom press ring.
The upper part of the support body is recessed and has a built-in magnet to hold the rotor in place while applying pre-pressure. The magnet embedded in the stator is made into a curved surface to ensure a uniform air gap between it and the rotor. The air gap is set at 0.3 mm to obtain the maximum suction force. The support body and the matching block have adjustment slots for decreasing the bending stiffness so that the bending vibration frequency approaches the longitudinal vibration frequency. The adjustment slots in the support body are also used to amplify the bending vibration amplitude at the end to increase the output efficiency.
The clamping body Is in the middle of the stator, between the PZT set (3) and (5) in Figure 1. The energy level of longitudinal and bending vibrations is weakest at this position, and the clamping body can effectively avoid energy loss. The clamping body is shown in Figure 2. The four middle sections of the clamping body are hollowed out to form flexible chains, which reduce vibration transmission and avoid excess vibration. Fastening screws are used to secure the stator components and ensure the stable operation of the stator.
Figure 2. Schematic diagram of the clamping body.

3. Stator Assembly Analysis and Operating Principle

3.1. Layout Rules for PZT

The vibration mode of the motor is excited by piezoelectric ceramics. The arrangements of PZTs used in motors for ultrasonic frequency vibration are depicted in Figure 3. The red arrows in the diagram represent the direction of polarization. Piezoelectric ceramics are toroidal and use d33-coupled vibration modes. The PZTs are divided into two groups, producing longitudinal and bending vibrations.
Figure 3. Piezoelectric ceramic arrangement of the stator: (a) longitudinal vibration ceramic set, and (b) bending vibration ceramic set.
Figure 3a shows the longitudinal vibration ceramic set. The cylindrical ultrasonic motors most often use odd-order longitudinal vibration mode. This ceramic set is arranged in the middle of the designed stator to improve the excitation efficiency. The longitudinal vibration ceramic set has two ceramic rings and two electrode sheets. PZTs are polarized in uniform thickness directions. The polarization directions of the ceramic rings are opposite or back-to-back, as shown in the diagram. The middle electrode sheet of the two ceramic rings is used to apply a high-frequency A.C. voltage while the other electrode is grounded. The two piezoelectric rings produce displacement in the same direction. Figure 3b presents the bending vibration ceramic set. For this stator design, if a low odd order of longitudinal vibration is used, the inherent frequency of the stator will be higher than the frequency of bending vibration of the same order. Therefore, a higher-order bending vibration should be chosen. The bending vibration ceramic set uses two groups of ceramics with orthogonal distribution: groups A and B. Group A is distributed close to the clamping body, and group B is closer to the end of the motor. The modes produced by voltage excitation of longitudinally vibrating piezoelectric and curved vibrating piezoelectric ceramics are known as mixed modes. Simultaneous excitation of both longitudinal and bending modes can change the trajectory of the stator surface plasmas, thus driving the rotor to rotate in different directions. The specific modes of motion are described in Section 4.

3.2. Operating Principle

Groups A and B are the two ceramic groups of the bending vibration piezoelectric ceramic set. The longitudinal vibration ceramic group is called group C. The stator uses any two of the modes generated by the three ceramics to synthesize the multi-DOF elliptical motion. Assuming that the longitudinal deformation caused by the bending vibration is neglected, the amplitude and frequency of each excitation voltage are the same, and the excitation of the piezoelectric ceramics produces a tiny vibration.
High-frequency A.C. voltages VA, VB, and VC. are applied to the three sets of piezoelectric ceramics:
V A = V cos ( ω t ) V B = V cos ( ω t α ) V C = V cos ( ω t β ) ,
where V is the excitation voltage amplitude, ω is the frequency, t is the time, and α and β are phase angles.
Taking a mass point M on the surface of the stator, the vibration displacements of M in three directions are:
u x = W M cos ( ω t ) u y = W M cos ( ω t α ) u z = W M 1 cos ( ω t β ) ,
where WM and WM1 are the maximum bending deflection of the vibrations at point M. Since the bending vibrating ceramic sets are in a symmetrical position in the stator, the resulting amplitudes are of the same magnitude.
The motion mechanism is illustrated by the example of two sets of mixed ceramic vibrations, A and B, where uz = 0. When α = ±90°, the radial and circumferential components urM, uθM of the displacement resulting from the two-phase drive are:
u r M = u x cos θ + u y sin θ u θ M = u y cos θ + u x sin θ ,
u r M W M 2 + u θ M W M 2 = 1 ,
where θ is the angle between M and the circular line connecting the stator surface to the x-axis. According to Equation (4), the motion of point M is projected as a circle in the horizontal plane. The displacement of point M along the stator axis is:
u z M = r W M z cos ( ω t ) cos θ + r W M z sin ( ω t ) sin θ ,
u z M r W M z 2 + u θ M W M 2 = 1 ,
where r represents the stator radius.
From Equation (4), the trajectory of the mass point is elliptical perpendicular to the stator end face. The vertex of the elliptical motion is in contact with the rotor. Tangential friction drives the rotor around the z-axis.
In the same analysis, when ux or uy are 0, the trajectory of point M is an elliptical motion, and the ball rotor can move around either the x- or y-axis.

4. Simulation and Analysis

COMSOL Multiphysics 5.6, as a multiphysics simulation platform, simulates a single physical field and flexibly couples multiple physical fields, and is flexible and easy to use. It is applied to analyze the stator characteristics, including modal analysis, harmonic response analysis, and mixed modal motion analysis. The modeling of the whole stator is first conducted in SolidWorks 2016 and then imported into Comsol. It can be directly selected in Comsol’s model developer to add eigenfrequency study and frequency domain study, define the model material, meshing, boundary conditions, and other parameters, and carry out the calculations. The calculated results are available directly to the model developer. The overall material of the stator is Tin phosphor bronze Qsn6.5-0.1 (mass density ρT = 8960 kg/m3, Young’s modulus E = 1.1 × 1011 N/m2, Poisson ratio nu = 0.35, and isotropic structural loss factor ηs = 0.005). The PZTs are made from PZT-8 (mass density ρP = 7600 kg/m3, relative dielectric constant ε 11 S = 904.4, ε 22 S = 904.4, ε 33 S = 561.6, loss factor cE = 0.002). The material used for the magnet embedded into the stator is 1Cr18Ni9 (Relative dielectric constant εr = 1, Isotropic structured loss factor eta_s = 0.05, Poisson ratio nu = 0.35). There are no constraints in all directions because the stator is a separate whole. For the 3D model of the proposed motor, a custom meshing is carried out. Triangular meshes are used for undersized areas, and tetrahedral meshes are used for throwing the entire geometry. Define the mesh quality factor K to control the quality and quantity of the mesh by K. When controlling the mesh size, K is introduced to control the minimum size, and by parametrically scanning K, mesh optimization is achieved. All the mesh parameters for the designed stator are shown in Table 1.
Table 1. Mesh parameters for the designed stator.

4.1. Structural Parameters

The detailed parameters of the stator structure are given in Table 2.
Table 2. Structural parameters of the stator.
In this design, higher-order bending vibrations are used due to the use of low odd-order longitudinal vibrations with much higher inherent frequencies compared to bending vibrations of the same order.
As depicted in Figure 4, the stator support body and the matching block are supplied with adjustment slots to reduce bending stiffness and increase vibration amplitude. By adjusting the adjustment slots, the resonant frequencies of the longitudinal and bending vibrations are close to each other, and the two modes are coupled. The adjustment slots are identical in size. Due to the short length of the matching block, there is little room for variation in the position and size of the adjustment slots.
Figure 4. Adjustment slots of support body (left) and matching block (right).
As illustrated in Figure 5, the stator’s first-order longitudinal and third-order bending vibration mode frequencies are calculated at 0.3 mm intervals for slot depths ranging from 0.6 mm to 3 mm. As the slot depth increases, the eigenfrequencies fall, and the bending vibration frequency decreases more rapidly than the longitudinal frequency. With slot depths ranging from 1.5 to 1.8 mm, the eigenfrequencies of both modes are similar. Therefore, a slot depth of 1.5 mm is chosen.
Figure 5. Relationship between slot depth and eigenfrequency.
Figure 6 shows a front view of the clamping body. Four flexible chains are provided inside the clamping body to reduce vibration transmission, avoid energy loss, and further increase the amplitude of stator surface vibration. Figure 7 illustrates the relationship between the height of the flexible chains and the amplitude, with the amplitude increasing as the height increases, with the maximum amplitude at a height of approximately 0.4 and then decreasing. The height of the flexible chain is therefore taken to be 0.4 mm.
Figure 6. Front view of the clamping body.
Figure 7. Relationship between the height of the flexible chain and the amplitude of the stator surface amplitude.

4.2. Eigenfrequency Analysis

Figure 8 shows the non-standard longitudinal vibration mode of the stator; the eigenfrequency is 65.898 kHz. This vibration mode differs from the standard longitudinal vibration mode in that the stator ramp goes back and forth to the inside and outside, resulting in an axial displacement of the upper-end section. Figure 9 shows the non-standard bending vibration mode. The eigenfrequency is 65.821 kHz. Unlike the standard bending vibration, the stator vibrates at the upper and lower ends in this vibration mode, and the middle is almost non-vibrating.
Figure 8. Nonstard longitudinal vibration mode of the stator.
Figure 9. Non-standard bending vibration mode of the stator.

4.3. Harmonic Response Analysis

Frequency analysis provides the maximum displacement occurring on the stator surface. A voltage with an amplitude of 100 Vp-p is applied to the stator, and the voltage frequency range is 50~80 kHz. The harmonic response analysis of group A of bending PZTs is collectively referred to as upward bending frequency response analysis. In contrast, the frequency response analysis of group B is referred to as downward bending frequency response analysis.
Figure 10 demonstrates the results of the upward-bending harmonic response. With frequencies between 62.5 and 70 kHz, the stator can be effectively excited in a third-order bending oscillation state, oscillating and remaining in phase. The maximum amplitude point is 67 kHz, with an amplitude value of approximately 1.6 μm.
Figure 10. Upward-bending frequency response analysis: (a) stator oscillation diagram at 67 kHz, and (b) amplitude as a function of frequency.
Downward bending frequency response analysis is shown in Figure 11. In the frequency range of 62.5 to 70 kHz, the stator can be effectively excited in a third-order bending mode. The maximum amplitude is 1.42 μm, which gives a frequency of 67.3 kHz. Group B bent-vibrating ceramics excite a pattern that intersects with group A and has a lower amplitude than group A.
Figure 11. Downward bending frequency response analysis: (a) stator oscillation diagram at 67.3 kHz, and (b) amplitude as a function of frequency.
As can be observed from Figure 12, the frequency response of the longitudinally vibrating PZT appears at a frequency point of 64 kHz, with an amplitude value of 1.43 μm.
Figure 12. Longitudinal vibration frequency response analysis: (a) stator oscillation diagram at 64 kHz, and (b) amplitude as a function of frequency.
The stable operation of the motor depends on a suitable drive frequency range. To select the frequency range of the motor, the maximization of the amplitude needs to be considered. The motor motion is in a mixed mode of longitudinal and bending vibration, so the drive frequency range cannot have a bending resonance frequency point. Consequently, the suitable drive frequency range for the designed motor is 64–67 kHz, as obtained from the simulations.

4.4. Hybrid Modal Motion Analysis

The motor has 3-DOF of motion in the x-, y-, and z-axis directions. A voltage is applied to the upward-bending piezoceramic and the longitudinal vibration piezoceramic with a phase difference of 90°, and no excitation is applied to the downward-bending piezoceramic. As shown in Figure 13a, the upper and lower ends of the stator are then offset along the x-axis. The ball rotor is rotated around the x-axis only where it meets the top of the stator vibration, and friction is generated by point contact. A voltage is applied to the downward bending piezoceramic and the longitudinal vibration piezoceramic with a phase difference of 90°, and no excitation is applied to the upward bending piezoceramic. Figure 13b shows that at this point, the offset of the upper and lower ends of the stator is along the y-axis direction. The motion in the z-axis direction compounds the upward and downward bending vibrations, i.e., a voltage with a phase difference of 90° is applied to the bending piezoceramic, and no excitation is applied to the longitudinal vibration piezoceramic. Therefore, to realize the motor drive control, the driver must generate three high-frequency sinusoidal voltage excitation signals of the same frequency and amplitude with a phase difference 90°. Two phases of excitation signals need to be applied during the drive process to achieve mult-DOF rotation of the motor.
Figure 13. Stator motion process decomposition: (a) group A bent-vibration ceramic group with longitudinal vibration ceramic set excitation, and (b) group B bent-vibration ceramic group with longitudinal vibration ceramic set excitation.

5. Experiments and Discussion

The prototype was fabricated, as displayed in Figure 14. Figure 14a presents the motor’s stator. Except for the PZTs and built-in magnet, the rest of the stator is made of tin-phosphor bronze. The overall size of the stator is 20 mm by 20 mm by 29 mm, and the rotor diameter is 20 mm. Figure 14b shows the general assembly of the proposed motor. The rotor is hemispherical, with the spherical surface in contact with the magnet and a rod protruding from the flat part to drive the load and feedback mechanism. The feedback mechanism consists of warp/weft bars and magnetic encoders. The bars are fixed to the external frame of the motor by bearing covers and flanged shafts. The rod of the rotor extends beyond the intersection of the warp/weft bars. The overall construction is compact and can be utilized directly in practical applications without taking up a large volume. As depicted in Figure 14c, two magnetic encoders (AM4096, Renishaw, Gloucestershire, UK) are installed in the x and y directions of the motor. When the rod drives the warp/weft bars, the encoders can measure the rotational speed and the position in the x and y directions to obtain the rotor position. The warp/weft bars’ intersection point is defined as the rotor movement’s initial point. In the initial place, the direction of the rod is the z-axis direction. The maximum rotational angle of the rotor on the x- and y- axis is ±45°. Experiments illustrate motor characteristics in the positive x-, y-, and z-axis direction of motion.
Figure 14. Prototype of the proposed multi-DOF cylindrical ultrasonic motor: the designed stator (a) assembly of the motor (b) top view of the motor (c).
The stator surface amplitude of the proposed motor is measured using a scanning vibrometer (PSV-400, PolyTec, Inc., Waldbronn, Germany) to validate the motor’s actual vibration. The experimental platform is shown in Figure 15. The drive signal applied to the motor is produced by the scanning vibrometer’s signal generator and amplified by a power amplifier. The host computer controls the vibrometer’s operation and acquires the scanning data. The frequency response results obtained when the drive voltage is 100 Vp-p, as depicted in Figure 16. The frequency response points for upward bending, downward bending, and longitudinal vibration occur at 67.094, 67.250, and 64.531 kHz, respectively. The experimental results agree with the harmonic response analysis results. The small amount of error is mainly caused by the deviation of the structural damping from the actual situation in the harmonic response simulation analysis.
Figure 15. Laser vibration measurement experimental platform.
Figure 16. Amplitude of the prototype as a function of frequency: (a) upward bending frequency response, (b) downward bending frequency response, and (c) longitudinal vibration frequency response.
The platform for testing the performance of the proposed motor is demonstrated in Figure 17. D.C. power supply (DP310, MESTEK, Shenzhen, China) is used to power the self-designed control board. The board consists of a DSP control module (TMS320F28069, Texas Instruments, Dallas, TX, USA), a drive module, a module for receiving feedback signals from the encoder, and an RS485 interface for communication with the host computer. The driver module includes a push–pull inverter circuit and a matching circuit. eQEP module of the DSP receives the feedback information from the encoder, which is processed and fed back to the host computer through the communication port. The control board can output four signals simultaneously to meet the designed motor drive and control requirements. The oscilloscope (TPS 2014B, Tektronix, Beaverton, OR, USA) detects and acquires the output signals of the driver boards. The rope and pulley are designed to apply a load on the motor output shaft.
Figure 17. Experimental setup.
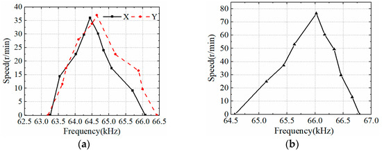
Figure 18 illustrates the relationship between voltage frequency and motor speed in different directions. In the experiment, the applied voltage amplitude is set as 420 Vp-p. The fixed preload applied by the permanent magnet in the stator to the rotor is 21 N. The motor is unloaded. The x and y motions are driven by bending and longitudinal vibrations, so the output performance is similar. The z motion is a combination of bending vibrations. The drive frequency band in the z-axis direction differs from those in the x and y directions. When the frequency increases, the motor speed increases and then decreases. As shown in Figure 18a, the maximum speed is 36 r/min at 64.44 kHz in the x direction. The motor obtains a top rate of 37 r/min in the y direction at 64.64 kHz. Figure 18b illustrates that the maximum motor speed of 77 r/min in the z-axis direction is obtained at 66.02 kHz.
Figure 18. Relationship between rotation speeds and frequency: (a) x and y direction, and (b) z direction.
The drive control of the multi-DOF cylindrical ultrasonic motor differs from the previous two-phase drive ultrasonic motor. The cylindrical motor’s x- and y-axis motions require both longitudinal and bending ceramics to be excited, and the z-axis motion requires bending ceramics to be excited. Therefore, the frequency range of the drive motion is within the frequency range of the longitudinal and bending modes. The speed change of the proposed motor is related to the frequency and amplitude of the applied voltage. The actual drive frequency of the proposed motor is slightly lower than the simulated values, around 1–1.5 kHz lower. The possible reasons for this phenomenon are: 1. errors in the machining and assembly of the motor components caused frequency variations; 2. the used stator material parameters differ from the simulated parameters; 3. the node boundary conditions are partially idealized during the simulation, and the stiffness and mass matrices differ from the actual ones; 4. interference caused by two sets of piezoelectric ceramics being excited at the same time.
Figure 19 shows the speed as a function of voltage amplitude. The voltage frequency is fixed at 62 kHz in the x- and y- directions. In the z-axis direction, the fixed frequency is 64.7 kHz. The speed is approximately linearly related when the voltage amplitude is in a particular range. In the x direction, the motor stops when the amplitude is less than 245 Vp-p, and the speed enters saturation when the amplitude is greater than 440 Vp-p. In the y direction, the maximum motor voltage at speed 0 is 230 Vp-p, and the minimum amplitude at which speed enters saturation is 456 Vp-p. The motor speed enters the saturation zone at voltages greater than 460 V in the z-axis direction.
Figure 19. Relationship between rotation speeds and voltage: (a) x and y direction, and (b) z direction.
Figure 20 shows the relationship between load and speed. The voltage amplitude is set to 420 V. The voltage frequencies in the x, y, and z directions are 62 and 64.7 kHz, respectively. The load is replaced by weights applied to the rotor using a rope with a pulley. With increased load, the speed gradually decreases until 0. The maximum motor load is around 20 mNm on the x- and y-axes. The output torque is approximately 25 mNm in the z-axis direction.
Figure 20. Relationship between output torque and speed: (a) x and y direction, and (b) z direction.
It can be seen from the experiment that the maximum speed of the motor on the x- and y-axes can reach 37 r/min, and the speed on the z-axis can reach 77 r/min. The load capacity of the motor reaches 20–25 mNm. The lower speed makes the motor easier to control, and is more suitable for precision motion occasions, such as robot arm motion, Vientiane conveyor, etc. Considering the overall size of the motor, the motor has excellent load capacity and can easily drive loads such as robot joints. At the same time, the designed motor has the common characteristics of ultrasonic motors, and can be directly driven without a transmission, which reduces the system’s overall volume to a certain extent.
Table 3 compares the key performances of the proposed motor with its counterparts., The proposed motor has a shorter height, lower speed, higher torque, and different preload application methods compared to [26,31]. The reduced speed rating makes it more suitable for applications that require precise positioning. The shorter height allows the motor to reduce further the size of the system it occupies during application. The motors use magnets embedded in the stator to hold the rotor to apply preload, which varies depending on the magnet suction force. Thus, a suitable amount of preload can be applied to the rotor to increase the load capacity of the motor. The developed motor uses non-standard longitudinal and bending vibration modes, reaching resonant frequencies near the longitudinal vibration and high stator surface amplitudes due to changes in ceramic distribution.
Table 3. Comparisons with previous works.

6. Conclusions

This paper proposes a new compact cylindrical multi-degree-of-freedom ultrasonic motor. The 3-DOF rotation of the spherical rotor is achieved by using a combination of non-standard longitudinal and bending vibrations of the stator. The operating principle of the motor is described in detail, and its feasibility is verified by simulation and experiment. The results show that the motor can reach 36 r/min in the x- and y-axes direction and 76 r/min in the z-axis direction. The motor has a load capacity of 20–25 mNm. With a higher load capacity and a more compact structure, the overall assembly of this feedback device can be used for practical applications without requiring much space. Future work will continue with the theoretical modeling and optimization of the motor.

Author Contributions

Research, analysis, writing—original draft preparation, J.L.; methodology, L.J. and Z.X.; formal analysis, software, J.L. and X.Z.; data curation, X.Z.; writing—review and editing, Z.X.; supervision, funding acquisition, L.J. All authors have read and agreed to the published version of the manuscript.

Funding

This research was funded by the National Natural Science Foundation of China under Grant 51777029.

Institutional Review Board Statement

Not applicable.

Data Availability Statement

The authors confirm that all data of this study are available within the article.

Conflicts of Interest

The authors declare no conflict of interest.

References

  1. Cho, S.; Lim, J.; Oh, Y.J.; Jeong, G.; Kang, D.; Lee, J. A study on output characteristics of the spherical multi-DOF motor according to the number of phases and pole pitch angles. IEEE Trans. Magn. 2018, 54, 8205005. [Google Scholar] [CrossRef]
  2. Čeponis, A.; Jūrėnas, V.; Mažeika, D. Triangular-shaped 5-DOF piezoelectric robot for optical lens positioning. Appl. Sci. 2022, 12, 2498. [Google Scholar] [CrossRef]
  3. Qiu, J.; Yang, Y.; Hong, X.; Vasiljev, P.; Mazeika, D.; Borodinas, S. A disc-type high speed rotary ultrasonic motor with internal contact teeth. Appl. Sci. 2021, 11, 2386. [Google Scholar] [CrossRef]
  4. Dong, X.; Hu, M.; Jin, L.; Xu, Z.; Jiang, C. A standing wave ultrasonic stepping motor using open-loop control system. Ultrasonics 2018, 82, 327–330. [Google Scholar] [CrossRef]
  5. Zhang, Q.; Piao, S.; Chen, H.; Wu, J.; Nakamura, K. A linear piezoelectric actuator using “A-Shaped” structure. IEEE Trans. Ultra. Ferro. Freq. Cont. 2022, 69, 1382–1391. [Google Scholar] [CrossRef] [PubMed]
  6. Lu, X.; Wang, Z.; Shen, H.; Zhao, K.; Pan, T.; Kong, D.; Twiefel, J. A Novel Dual-Rotor Ultrasonic Motor for Underwater Propulsion. Appl. Sci. 2020, 10, 31. [Google Scholar] [CrossRef]
  7. Yang, L.; Huan, Y.; Ren, W.; Ma, C.; Tang, S.; Hu, X. Position control method for ultrasonic motors based on beat traveling wave theory. Ultrasonics 2022, 125, 106793. [Google Scholar] [CrossRef] [PubMed]
  8. Toyama, S. Spherical ultrasonic motor for pipe inspection robot. In Proceedings of the IEEE ISR 2013, Seoul, Republic of Korea, 24–26 October 2013; pp. 1–6. [Google Scholar]
  9. Fukaya, N.; Toyama, S.; Asfour, T.; Dillmann, R. Design of the TUAT/Karlsruhe humanoid hand. In Proceedings of the IEEE/RSJ International Conference on Intelligent Robots and Systems, Takamatsu, Japan, 31 October–5 November 2000; pp. 1754–1759. [Google Scholar]
  10. Tan, K.K.; Liang, W.; Pham, L.P.; Huang, S.; Gan, C.W.; Lim, H.Y. Design of a surgical device for office-based myringotomy and grommet insertion for patients with otitis media with effusion. J. Med. Devices 2014, 8, 031001. [Google Scholar]
  11. Park, S.; Takemura, K.; Maeno, T. Study on multi-DOF ultrasonic actuator for laparoscopic instrument. JSME Int. J. Ser. C Mech. Syst. Mach. Elem. Manuf. 2004, 47, 574–581. [Google Scholar] [CrossRef][Green Version]
  12. Zhang, S.; Liu, Y.; Gao, X.; Deng, J.; Yu, H.; Chen, W. Development of a cross-scale 2-DOF piezoelectric rotary platform based on active friction switching. Int. J. Mech. Sci. 2022, 220, 107165. [Google Scholar] [CrossRef]
  13. Li, H.; Tian, X.; Shen, Z.; Li, K.; Liu, Y. A low-speed linear stage based on vibration trajectory control of a bending hybrid piezoelectric ultrasonic motor. Mech. Syst. Signal Process. 2019, 132, 523–534. [Google Scholar] [CrossRef]
  14. Jūrėnas, V.; Kazokaitis, G.; Mažeika, D. Design of Unimorph Type 3DOF Ultrasonic Motor. Appl. Sci. 2020, 10, 5605. [Google Scholar] [CrossRef]
  15. Wang, F.; Nishizawa, U.; Tanaka, H.; Toyama, S. Finite element analysis of spherical ultrasonic motor using wire stator with support structure on waveguide. Vibroeng. Procedia 2018, 20, 91–96. [Google Scholar] [CrossRef][Green Version]
  16. Wu, J.; Wu, L.; Song, R.; Niu, J.; Xie, M.; Cao, M.; Zhang, Q.; Liu, Y.; Li, Y. A two-DOF linear ultrasonic motor with high thrust force density and high power density utilizing torsional/centrosymmetric-bending/ symmetric-bending modes. IEEE Trans. Ind. Electron. 2022, 69, 8220–8230. [Google Scholar] [CrossRef]
  17. Li, Z.; Chen, X.; Guo, Z.; Su, Z.; Han, H.; Zhao, H.; Sun, H. Dynamics and temperature field analysis of piezoelectric driven three-stator multi-degree-of-freedom ultrasonic motor. Ultrasonics 2022, 119, 106632. [Google Scholar] [CrossRef]
  18. Mazeika, D.; Vasiljev, P.; Borodinas, S.; Bareikis, R.; Struckas, A.; Yang, Y. Disc type piezoelectric motor with two coaxial rotors. Sens. Actuators A Phys. 2019, 295, 151–159. [Google Scholar] [CrossRef]
  19. Ishikawa, M.; Kinouchi, Y. Modeling and control of spherical ultrasonic motor based on nonholonomic mechanics. In Proceedings of the IEEE/RSJ International Conference on Intelligent Robots and Systems, Nice, France, 22–26 September 2008; pp. 125–130. [Google Scholar]
  20. Yun, C.-H.; Niwano, S.; Friend, J.R.; Nakamura, K.; Ueha, S. Support mechanism for the ball botor in the three-degree-of-freedom ultrasonic motor. Jpn. J. Appl. Phys. 2003, 42, 3000. [Google Scholar] [CrossRef]
  21. Goda, K.; Kajiwara, H.; Aoyagi, M. Examination of hemispherical shell stator for lightweight spherical ultrasonic motor. Int. J. Autom. Technol. 2022, 16, 478–487. [Google Scholar] [CrossRef]
  22. Huang, Z.; Shi, S.; Chen, W.; Wang, L.; Wu, L.; Liu, Y. Development of a novel spherical stator multi-DOF ultrasonic motor using in-plane non-axisymmetric mode. Mech. Syst. Signal Process. 2020, 140, 106658. [Google Scholar] [CrossRef]
  23. Mizuno, A.; Oikawa, K.; Aoyagi, M.; Kajiwara, H.; Tamura, H.; Takano, T. Examination of high-torque sandwich-type spherical ultrasonic motor using with high-power multimode annular vibrating stator. Actuators 2018, 7, 8. [Google Scholar] [CrossRef]
  24. Lu, B.; Aoyagi, M.; Tamura, H.; Takano, T. Development of a novel rotor-embedded-type multidegree-of-freedom spherical ultrasonic motor. In Proceedings of the IEEE International Conference on Mechatronics and Automation, Beijing, China, 7–10 August 2011; pp. 795–800. [Google Scholar]
  25. Amano, T.; Ishii, T.; Nakamura, K.; Ueha, S. An ultrasonic actuator with multidegree of freedom using bending and longitudinal vibrations of a single stator. In Proceedings of the IEEE Ultrasonics Symposium, Sendai, Japan, 5–8 October 1998; Volume 661, pp. 667–670. [Google Scholar]
  26. Takemura, K.; Maeno, T. Characteristics of an ultrasonic motor capable of generating a multi-degrees of freedom motion. In Proceedings of the IEEE International Conference on Robotics and Automation (ICRA), San Francisco, CA, USA, 24–28 April 2000; Volume 3664, pp. 3660–3665. [Google Scholar]
  27. Takemura, K.; Maeno, T. Design and control of an ultrasonic motor capable of generating multi-DOF motion. IEEE/ASME Trans. Mechatron. 2001, 6, 499–506. [Google Scholar] [CrossRef]
  28. Zhang, X.; Zhang, G.; Nakamura, K.; Ueha, S. A robot finger joint driven by hybrid multi-DOF piezoelectric ultrasonic motor. Sens. Actuators A Phys. 2011, 169, 206–210. [Google Scholar] [CrossRef]
  29. Zhang, X.; Nakamura, K.; Ueha, S. Two-joint robot finger design based on multi-degree-of-freedom ultrasonic motors. Acoust. Sci. Technol. 2009, 30, 42–47. [Google Scholar] [CrossRef]
  30. Zhang, X.; Gouda, Y.; Koyama, D.; Nakamura, K.; Ueha, S. A basic design of robot finger joint using multi-degree-of-freedom ultrasonic motor. Acoust. Sci. Technol. 2008, 29, 235–237. [Google Scholar] [CrossRef]
  31. Yang, X.; Liu, Y.; Chen, W.; Liu, J. Sandwich-type multi-degree-of-freedom ultrasonic motor with hybrid excitation. IEEE Access 2016, 4, 905–913. [Google Scholar] [CrossRef]
  32. Xu, D.; Zhao, L.; Yu, S.; Zhang, B.; Xiong, Y.; Shen, P.; Zhang, X. A two-DOF ultrasonic motor based on longitudinal and bending-bending vibrations for manipulator. In Proceedings of the Intelligent Robotics and Applications, Yantai, China, 22–25 October 2021; pp. 335–341. [Google Scholar]
  33. Vasiljev, P.; Borodinas, S.; Bareikis, R.; Luchinskis, R. The square bar-shaped multi-DOF ultrasonic motor. J. Electroceram. 2008, 20, 231–235. [Google Scholar] [CrossRef]
  34. Gao, X.; Zhang, S.; Deng, J.; Liu, Y. Development of a small two-dimensional robotic spherical joint using a bonded-type piezoelectric actuator. IEEE Trans. Ind. Electron. 2021, 68, 724–733. [Google Scholar] [CrossRef]
  35. Bai, D.; Quan, Q.; Tang, D.; Deng, Z. Design and experiments of a novel rotary piezoelectric actuator using longitudinal–torsional convertors. IEEE Access 2019, 7, 22186–22195. [Google Scholar] [CrossRef]
Disclaimer/Publisher’s Note: The statements, opinions and data contained in all publications are solely those of the individual author(s) and contributor(s) and not of MDPI and/or the editor(s). MDPI and/or the editor(s) disclaim responsibility for any injury to people or property resulting from any ideas, methods, instructions or products referred to in the content.

Article Metrics

Citations

Article Access Statistics

Multiple requests from the same IP address are counted as one view.