Next Article in Journal
Application of the Improved Entry and Exit Method in Slope Reliability Analysis
Previous Article in Journal
Research on Conditions and Influence Factors of an Acoustic Wave Acting as a Plane Wave in Tire Acoustic Cavity
 
 
Font Type:
Arial Georgia Verdana
Font Size:
Aa Aa Aa
Line Spacing:
Column Width:
Background:
Article

Enhanced Whale Optimization Algorithm with Wavelet Decomposition for Lithium Battery Health Estimation in Deep Extreme Learning Machines

1
Faculty of Information Engineering and Automation, Kunming University of Science and Technology, Kunming 650500, China
2
Information Technology Construction Management Center, Kunming University of Science and Technology, Kunming 650500, China
*
Author to whom correspondence should be addressed.
Appl. Sci. 2023, 13(18), 10079; https://doi.org/10.3390/app131810079
Submission received: 3 August 2023 / Revised: 23 August 2023 / Accepted: 27 August 2023 / Published: 7 September 2023

Abstract

:
Lithium battery health state estimation can help optimize battery usage and management strategies. In response to the challenges faced by traditional battery management systems in accurately estimating the State of Health of lithium-ion batteries and addressing issues such as capacity recovery and noise interference, this paper proposes a method based on wavelet decomposition and an improved whale optimization algorithm optimized deep extreme learning machine for estimating the SOH of lithium-ion batteries. Firstly, the lithium-ion battery capacity degradation sequence is extracted, and the wavelet decomposition method is used to decompose the battery capacity into global and local degradation trends. Next, the non-linear convergence factor and the whale optimization algorithm with adaptive weights are employed to optimize the deep extreme learning machine for predicting each trend component. Finally, the prediction results are effectively integrated to obtain the lithium-ion battery SOH. This experimental method is validated using NASA and CALCE datasets, and the results indicate that the root mean square error and mean absolute percentage error are both below 0.95%, with relative accuracy and absolute correlation coefficients exceeding 98%. This demonstrates the method’s excellent accuracy and robustness.

1. Introduction

The current international community is attaching ever-increasing importance to environmental protection, and the development principle of “low-carbon and environmentally friendly” is being advocated worldwide. In this context, renewable energy, distributed energy storage, and low-carbon energy sources are attracting significant interest. For instance, in the case of common lithium cobalt oxide batteries, the cathode material is lithium cobalt oxide, and the anode material is graphite. Lithium batteries achieve energy storage and release through the intercalation and de-intercalation process of lithium ions between the cathode and anode [1,2]. The chemical equation for this process is as follows:
LiCoO 2 + C n Li 1 x CoO 2 + Li x C n
Due to it’s energy-saving and environmentally friendly nature, ease of portability and use, and high energy density and portability, lithium-ion batteries find widespread applications in various fields, such as portable electronic communications, transportation, and energy storage systems, making them favored across different industries [3,4]. However, lithium batteries also pose certain potential risks during usage. Improper charging and discharging behaviors can lead to overcharging or over-discharging, causing an increase in the temperature of lithium batteries and accelerating their aging process [5,6]. This can result in safety issues such as internal short circuits, oxidation, corrosion, and thermal runaway. Therefore, ensuring the safe operation through the estimation of lithium-ion battery health status holds significant societal implications [7], as it contributes to driving battery technology advancements, resource conservation, and fostering sustainable development.
Currently, various methods are used to estimate the State of Health (SOH) of lithium-ion batteries, mainly including model-based approaches, data-driven methods, and fusion methods [8,9,10]. Model-based methods involve building various battery models to acquire relevant model parameters related to SOH. For instance, Amir S et al. [11] proposed an electrochemical model that describes the distribution of lithium-ion content within the battery. They used recursive least squares for online parameter identification and employed an Unscented Kalman filter for battery state estimation. Methods based on electrochemical models consider the complex internal physical structure of batteries and the chemical reactions occurring at the positive and negative electrodes, thereby providing a better understanding of battery performance degradation patterns. These methods are applicable to batteries with different material systems. However, these methods require a deep understanding of the battery’s electrochemical characteristics and dynamic behavior, as well as a comprehensive collection of experimental data and precise calibration calculations.
On the other hand, data-driven methods establish a non-linear mapping between Health Factors (HF) and the State of Health of lithium-ion batteries by analyzing and processing a large volume of experimental or observational data to address the problem. Common machine learning algorithms used are Extreme Learning Machine (ELM) [12], Long Short-Term Memory (LSTM) [13], and various other algorithms. Data-driven methods estimate through the mapping relationship between data input and output, making them suitable for various types and specifications of lithium-ion batteries, as well as State of Health predictions in different application scenarios. They can perform fast analysis and prediction based on specific problems and data, exhibiting high flexibility. Moreover, with ample data, they show superior performance. However, in data-driven methods, the predictive model may be perceived as a “black box”, with lower transparency in its internal workings and decision-making processes. This lack of transparency hinders the understanding of how predictive results are derived and sometimes makes it challenging to provide interpretable outcomes. Additionally, in certain cases, a single model may have poor generalization capability, leading to potential errors in predictive results [14].
Fusion methods generally combine two or more prediction methods. Ma et al. [15] proposed an approach that integrates Broad Learning (BL) into extreme learning machines to generate feature nodes by mapping input data. Subsequently, the mapped features undergo an enhancement operation to generate augmented nodes, from which additional feature information is obtained. This approach not only improves accuracy but also saves time. Additionally, Zhang et al. utilized Long Short-Term Memory Networks and Recurrent Neural Networks (LSTM-RNN) to learn the long-term correlations of lithium-ion battery capacity degradation [16]. However, they do not consider the transient capacity recovery phenomenon that occurs in lithium-ion batteries during the discharge cycle process, which might potentially impact the prediction accuracy of the State of Health.
To address this issue, various signal decomposition methods have been proposed. Hu et al. introduced the Empirical Mode Decomposition (EEMD) method [17]. EEMD has the advantages of not requiring predefined basis functions and being efficient. However, in practical applications, the issue of mode mixing in Intrinsic Mode Functions (IMFs) often arises. To overcome this problem, the Complete Ensemble Empirical Mode Decomposition with Adaptive Noise (CEEMDAN) can offer a better solution [18]. Additionally, some have employed the Fixed Bandwidth Wavelet Decomposition (WDT) [19], which is based on the fast wavelet transform algorithm. It captures signal characteristics across different frequency ranges, offering high computational efficiency. Using wavelet functions as high-pass filters, the signal is decomposed into locally regenerative trends, while scale functions, serving as low-pass filters, decompose the signal into globally degenerative trends. In practical applications, Discrete Wavelet Transform (DWT) decomposes the original signal into signals of different scales, and by utilizing inverse wavelet transform, it reconstructs the signal, thereby eliminating noise interference during the charging and discharging cycles of lithium batteries [20].
The DELM network is a deep neural network renowned for its exceptional accuracy in time series forecasting. It achieves this by employing the Extreme Learning Machine-Autoencoder (ELM-AE) for weight initialization through a hierarchical unsupervised training approach, eliminating the necessity of backpropagation. Consequently, DELM surpasses ELM in terms of prediction accuracy. However, it is essential to recognize that DELM’s initialization is susceptible to the random input weights and hidden layer thresholds [21]. In order to address this sensitivity, researchers have investigated the utilization of the Genetic Algorithm (GA) for global optimization. While GA has the capability of achieving optimal solutions, it may suffer from slow convergence. An alternative approach is the Whale Optimization Algorithm (WOA), which has exhibited better performance in terms of solution speed and convergence accuracy compared to the Particle Swarm Optimization (PSO). However, similar to GA, WOA may still face challenges in avoiding local optima during the optimization process.
Therefore, this study employs wavelet decomposition to eliminate the interference caused by the transient capacity rebound phenomenon in lithium battery capacity on the prediction. The improved whale optimization algorithm with nonlinear convergence factor and adaptive weighting is utilized to optimize the deep extreme learning machine for modeling and analyzing the decomposed global trends and local degenerative trends. Ultimately, the predictive results of each trend are effectively integrated to obtain the estimation of lithium battery health status. The main contributions of this study are as follows:
(1)
Addressing the issue of interference in prediction caused by the transient capacity rebound phenomenon during lithium battery cycling. Wavelet decomposition is employed to decompose the State of Health sequence into global trends and local degenerative trends, effectively eliminating noise interference.
(2)
By employing the WOA with the nonlinear convergence factor and adding adaptive weights, as opposed to the traditional WOA, this approach demonstrates faster convergence speed and better stability. Through the optimization of weight parameters of the DELM model, an accurate prediction of information from various trend components is achieved, enhancing prediction accuracy.
(3)
Multiple sets of comparative experiments conducted on two publicly available datasets validate the generalization of this method, confirming its robustness and effectiveness as proposed in this study.
The remaining structure of this thesis is as follows: Section 2 introduces the methods used for lithium battery health estimation. Section 3 presents the datasets used in this study and the prediction process based on the WD-IWOA-DELM model. Section 4 provides an analysis and discussion of the experimental results. Lastly, Section 5 concludes various aspects of this study.

2. Methods

2.1. SOH

The health status of a battery is a critical indicator for assessing the lifespan of a lithium-ion battery, playing a vital role in enhancing battery performance and enabling timely equipment maintenance. During the cyclic usage of lithium batteries, as performance deteriorates, both battery internal resistance and charge status can reflect the health status of the lithium battery. However, in practical applications, batteries are not always subjected to transitions from fully charged to fully discharged states. A common method of assessment involves monitoring the capacity of the lithium battery, as the change in the available capacity directly mirrors the degree of battery degradation. The formula for the SOH of lithium batteries is as follows:
S O H = C t C 0 × 100 %
where C t is the remaning capacity at time t, C 0 is the standard capacity of the new battery. When the SOH drops to 70%~80%, The battery’s life is deemed to be over [22].

2.2. Wavelet Decomposition

Wavelet decomposition is a signal processing technique used to decompose complex signals into components of different scales. The fundamental idea of wavelet decomposition is to break down a signal into a series of wavelet functions, each possessing different frequency characteristics at various scales. This enables wavelet decomposition to capture local features of the signal while preserving global information. In this study, wavelet decomposition effectively dissects non-stationary signals and removes noise interference from charge–discharge cycling data. It captures detailed features of the signal, enhancing denoising capabilities for random non-stationary signals [23,24]. The formula for wavelet decomposition is as follows:
d l j , n = i A i 2 l d i j + 1 , n
d l j , n + 1 = i B i 2 l d i j + 1 , n
where l and i are the decomposition levels, n and j are the wavelet packet node numbers, represents the low-frequency coefficients of the j-th level decomposition, d l j , n and d l j , n + 1 represent the high-frequency coefficients of the j-th level decomposition. A i 2 l and B i 2 l are sets of low-pass and high-pass filters in wavelet packet decomposition. In this study, we choose dbN as the wavelet basis function and set the decomposition level to 4. Wavelet decomposition mainly dissects the State of Health sequence of lithium batteries into high-frequency and low-frequency signals using high-pass and low-pass filters. After decomposition, we obtain one low-frequency signal and four high-frequency signals. The model of the State of Health sequence for lithium batteries is represented as follows:
SOH ( t ) = C ( t ) + u D ( t )
where S O H ( t ) represents the overall State of Health sequence of the lithium battery, C ( t ) denotes the general degradation trend of the lithium battery’s SOH, D ( t ) signifies the local fluctuation trend, u stands for the fluctuation coefficient, and t represents the time interval.

2.3. Improved Whale Optimization Algorithm

The WOA algorithm is an optimization technique inspired by the migratory behavior of whales in the natural world. It possesses advantages such as a simple structure and minimal parameter tuning [25]. Analyzing the behavior characteristics of whales, the algorithm’s modeling generally includes three main behaviors: encircling, bubble-net attacking, and searching [26]. The following sections provide an introduction to these three updating strategies.
(1)
Surround: Whales exhibit the capability to identify the location of their prey, where each individual whale represents a potential solution in the search space. Subsequently, other individuals in the pod surround the most optimal whale, mimicking this behavior. The mathematical model that simulates this encircling behavior is described as follows:
X ( d + 1 ) = X * ( d ) A | C · X * ( d ) X ( d ) |
where d represents the current number of iterations, X * represents the current prey’s position vector, A | C · X * ( d ) X ( d ) | represents the length of the surrounding step, and A and C are the coefficient vectors, defined as follows:
A = 2 a · r a n d 1 a
C = 2 · r a n d 2
where r a n d 1 and r a n d 2 represent random numbers between 0 and 1, and a is the convergence factor. As the number of iterations, d, increases, the convergence factor linearly decreases from 2 to 0, that is:
a = 2 2 d / d max
d max represents the maximum number of iterations.
(2)
Bubble-Net Attacking: In this behavior, whales imitate their real-life counterparts by continuously contracting their encircling net and releasing bubbles. The mathematical model for this process is described below: (a) Contraction Encirclement Mechanism: The contraction encirclement mechanism, defined by Equations (5) and (7), results in reducing the fluctuation range of coefficient vector A as the convergence factor decreases. (b) Spiral Position Update: As a part of their hunting behavior, whales display a spiral motion while preying on their targets. The formula for updating the position is:
X ( d + 1 ) = | C · X * ( d ) X ( d ) | · e b l · cos ( 2 π l ) + X * ( d )
where | C · X * ( d ) X ( d ) | is the distance between a whale and the current best individual on the planet. b is a constant, and the range of l is (−1, 1). In this simulation, whales synchronize their actions by both contracting the encircling net and updating their positions using the spiral motion. Each behavior is equally probable, with a probability set at 0.5. The mathematical model is as follows:
X ( d + 1 ) = X * ( d ) W w o a · A | C · X * ( d ) X ( d ) | | A | < 1 , p < 0.5 X r a n d ( d ) W w o a · A | C · X * ( d ) X ( d ) | | A | 1 , P < 0.5
represents a random number within the interval [0, 1].
(3)
Searching for Prey: In this behavior, when the absolute value of the coefficient vector | A | is greater than 1, individual whales conduct random searches by using each other’s positions. The mathematical model is as follows:
X ( d + 1 ) = X r a n d ( d ) A · | C · X r a n d ( d ) X ( d ) |
where X r a n d denotes the position vector of a randomly selected whale.
(4)
Improvement: Regarding the sensitivity of parameter selection and the issue of easily getting trapped in local optima in the original WOA, this study introduces a non-linear adaptive weighting method. The convergence factor a is a crucial parameter that affects both the search capability and convergence speed of the WOA. In traditional methods, the convergence factor a exhibits slow convergence in the early stages and is prone to becoming trapped in local optima in the later stages, affecting both the global and local search abilities and failing to fully reflect the optimization process of the algorithm. Referring to [27], we adopt a new non-linear variation of the convergence factor, as shown in the following formula:
a = 2 2 ( 1 e 1 · ( e d d max 1 ) )
The weight factor plays a crucial role in balancing the algorithm’s local optimization and global search capabilities. A larger weight factor expands the search space, whereas a smaller weight factor refines it. In the later stages of the whale optimization algorithm, it tends to become prone to becoming trapped in local optima, which leads to premature convergence. Taking inspiration from references [28,29], this study introduces a new adaptive weighting approach to enhance the positioning of whales in both stages through a weighted strategy. This enhancement introduces greater diversification into the hunting process, improves the algorithm’s accuracy, and accelerates the convergence speed. The improved formula is given below:
W w o a = 0.52 cos π · d d max + 1
X ( d + 1 ) = X * ( d ) W w o a · A | C · X * ( d ) X ( d ) | | A | < 1 , p < 0.2 X r a n d ( d ) W w o a · A | C · X * ( d ) X ( d ) | | A | 1 , P < 0.5

2.4. Deep Extreme Learning Machine

DELM is a deep network composed of multiple stacked Extreme Learning Machine Autoencoders (ELM-AE). The ELM demonstrates robust generalization capabilities for handling nonlinear problems, effectively extracting information from data through a hierarchical learning process that progresses from simple to complex features. When combined with Autoencoders (AE), ELM forms ELM-AE, which approximates the original input matrix by minimizing reconstruction errors. The well-trained ELM-AE parameters are then used to initialize the entire DELM. Compared to traditional deep neural networks, DELM maintains excellent generalization performance while offering faster training speeds [30]. The model of the deep extreme learning machine is illustrated in Figure 1.
DELM adopts the ELM-AE encoding structure to gradually obtain compressed representations of data layer by layer, mapping the data x to the hidden layer H through the following equation. The output weights β of ELM-AE are responsible for learning transformations from the feature space to the input data.
H = f ( W · x + b )
β = ( I C + H T H ) 1 H T X
where W is the input-to-hidden layer input weight, f uses the S i g m o i d activation function, b is the bias, I represents the identity matrix, and C is the regularization coefficient. For the feature formula H i of the i-th layer ELM-AE output in this paper, it is given by:
H i = g ( H i 1 · β i )
DELM possesses a more powerful capability for representation learning compared to the single-layer ELM. DELM employs a layer-by-layer learning approach, progressively extracting information from simple to complex features in the data. This hierarchical learning method allows the model to iteratively optimize feature representations during the learning process, thereby enhancing its generalization ability.

3. WD-IWOA-DELM Prediction Framework

3.1. Data Introduction

This study employs the publicly available NASA dataset and CALCE dataset to validate the accuracy of the proposed method. In both sets of data, the lithium batteries are lithium cobalt oxide batteries, charged and discharged through the redox reactions between a graphite anode and a lithium cobalt oxide cathode.
The NASA dataset, provided by NASA PCOE, was chosen considering the significant impact of temperature on lithium battery performance. The optimal temperature range for lithium batteries is 20 °C to 40 °C [31]. Therefore, four groups of lithium batteries with a rated capacity of 2 Ah were selected for charge–discharge cycling experiments at room temperature of 24 °C. Table 1 presents the specified parameters for the experimental processes of the four lithium batteries in the NASA dataset. Figure 2 illustrates the variation of battery capacity with cycle number for the four battery groups in the NASA dataset. It can be observed that transient capacity regeneration occurs in the lithium batteries during cycling, leading to a temporary increase in capacity in the subsequent cycles. This phenomenon results in nonlinear fluctuations in the capacity sequence, which can disrupt the predictive performance of algorithms.
The second dataset was obtained from the CALCE CS2 series at the University of Maryland. It comprises cobalt oxide lithium batteries (Battery 35, 36, 37, 38) with a rated capacity of 1.1 Ah and the model INR 18650-20R. These batteries underwent constant voltage charging and constant current discharge cycling experiments. The experiments were conducted at room temperature (24 °C) and involved charge–discharge cycles. The charge–discharge cycle experiment comprises three stages: constant current charging, constant voltage charging, and constant current discharging [32]. Table 2 presents the specified parameters for the experimental processes of the four groups of lithium batteries in the CALCE study. Figure 3 illustrates the variation of battery capacity over cycling for the four groups in the CALCE dataset. Towards the later stages of charge–discharge cycles, there is a noticeable increase in noise fluctuations, and the degradation rate of lithium battery capacity intensifies in the middle to later cycles.

3.2. Implementation of WD-IWOA-DELM Estimation

The overall framework of the proposed WD-IWO-DELM estimation method is illustrated in Figure 4. The implementation of this framework involves the following specific steps:
(1)
Collect information on the capacity degradation sequence of lithium batteries and calculate the SOH using Equation (1).
(2)
Apply Wavelet Decomposition to the original SOH sequence of lithium batteries. In this study, the db10 wavelet basis function is selected to perform a four-layer decomposition of the capacity, resulting in an approximate component (a4) representing the overall degradation trend of the lithium battery’s SOH, and detail components (d1 to d4) containing localized regeneration signals. The decomposition results for Battery B0005 and CS2_35 are shown in Figure 5. After proportionally dividing the sequence components into training and testing sets, normalization is performed. Figure 6 compares the decomposition errors of Wavelet Decomposition, EEMD, and CEEMDAN, demonstrating that Wavelet Packet Decomposition outperforms the EEMD decomposition method.
(3)
Initialize the parameters for the IWOA-DELM model algorithm. The detailed parameter information is available in Table 3. To enhance the global search capability and local exploration ability of the whale optimization algorithm, a nonlinear convergence factor is introduced. Different weighted strategies (13) and (14) are adopted for position updating in the two stages of the WOA, balancing global search and local exploration to simultaneously improve convergence accuracy and speed. The IWOA algorithm is employed to optimize the parameters of the DELM model, using the mean squared error as the fitness function to measure the discrepancy between the model’s predicted values and the actual observed values. Before dividing the dataset, approximately 50% serves as the training set, and the remaining 50% as the test set. By defining a sliding window size and utilizing the improved whale optimization algorithm to optimize the network parameters of the deep extreme learning machine, an IWOA-DELM network model is established for forecasting sequence components. Finally, an effective ensemble of individual forecasted components yields the ultimate prediction outcome. The fitness function is expressed as follows:
Fitness = 1 T 1 T ( y i y i ) 2
where T represents the number of validation data points, y i denotes the true values, and y i  represents the predicted values.
(4)
Performance evaluation: Several performance evaluation metrics have been constructed to effectively assess the proposed method.
Table 3. IWOA-DELM parameter information.
Table 3. IWOA-DELM parameter information.
Population SizeNumber of IterationActivation Function λ Lb-UHidden LayerNeuronWindow Size
20/3080SigmoidInf(−1, 1)2(2, 3)/(4, 5)4/20
Figure 4. Framework overview of the proposed method.
Figure 4. Framework overview of the proposed method.
Applsci 13 10079 g004
Figure 5. The WD decomposition results of B0005 battery (a) and CS2−35 battery (b) SOH.
Figure 5. The WD decomposition results of B0005 battery (a) and CS2−35 battery (b) SOH.
Applsci 13 10079 g005
Figure 6. Comparison of reconstruction errors for three algorithms on B0005.
Figure 6. Comparison of reconstruction errors for three algorithms on B0005.
Applsci 13 10079 g006

3.3. Evaluation Index

In this study, the aim is to further validate the high accuracy and superiority of the proposed State of Health prediction method under consistent experimental conditions. The following performance evaluation metrics are utilized: Root Mean Square Error (RMSE), Mean Absolute Percentage Error (MAPE), Relative Accuracy (RA), and Absolute Correlation Coefficient (R2). These metrics are employed to assess the effectiveness of the proposed method. The formulas are presented below:
R M S E = 1 T i = 1 T ( y i y i )
M A P E = 1 T i = 1 T | y i y i y i × 100 %
R A = 1 | y i y i | y i
R 2 = 1 i = 1 T ( y i y i ) 2 i = 1 T ( y i y ¯ ) 2
where i represents the cycle period, y i stands for the actual battery SOH value, y i represents the predicted SOH value of the battery, and T denotes the number of validation data points.

4. Experimental Results and Discussion

The experimental environment was as follows: R7 3750H processor, NVIDIA GTX 1650 graphics card, 16 GB RAM. The operating system was Windows 10, and the simulations were conducted using MATLAB R2022a.

4.1. Battery Capacity Signal Decomposition

Taking batteries B0005 and CS2_35 as examples, the IWOA-DELM model was used to predict the battery capacity sequence after Wavelet Decomposition. Figure 7 displays the predicted results of the SOH components after decomposition for battery B0005. Figure 8 displays the predicted results of the SOH components after decomposition for battery CS2_35. Using battery B0005 as an example, the fitness function variation during the optimization process is compared with PSO and WOA optimization algorithms in Figure 9. Throughout the iterations, the fitness values of IWOA gradually decrease, indicating that suitable parameters were found and optimized during the search process. The convergence speed and accuracy of IWOA are faster and higher compared to WOA and DELM.
In Figure 7 and Figure 8, a4 represents the overall degradation trend, while d1 to d4 represent localized regeneration and random fluctuations. There is a slight fluctuation error in the prediction of the high-frequency component d1, but the predictions of the other components are very close to the actual values. This indicates that the trained IWOA-DELM model possesses a strong capability for nonlinear mapping of time series data.

4.2. Result Analysis

We validate the effectiveness of our experimental method by using four battery sets from the NASA dataset as examples and comparing it with four other methods (DELM, PSO-DELM, WOA-DELM, IWOA-DELM, and WD-IWOA-DELM) under the same conditions. The comparison is denoted as A1, A2, A3, A4, and A5, respectively (as shown in Table 4). We conduct comparative experiments with a prediction starting point set to 80 (except for B0018, which is set to 60). The prediction results and errors are presented in Figure 10 and Table 5.
The single DELM model exhibits not only a large error but also poor stability, showing significant fluctuation errors as observed from the above data. Although the DELM models optimized by PSO, WOA, and IWOA slightly enhance prediction accuracy compared to the original basis, they still experience significant fluctuations in local areas due to frequent noise interference. In contrast, the proposed prediction model in this study effectively captures capacity regeneration and local noise interference information, thereby reducing the impact of interference signals on the prediction of true values. On the NASA dataset, the proposed method demonstrated an RMSE mean of 0.67% and an MAPE mean of 0.77%, indicating a significant enhancement in prediction performance compared to the single DELM model. By comparison, this method exhibits the smallest fluctuation amplitude in the SOH error curve, gradually reaching a smooth convergence in the later stages.
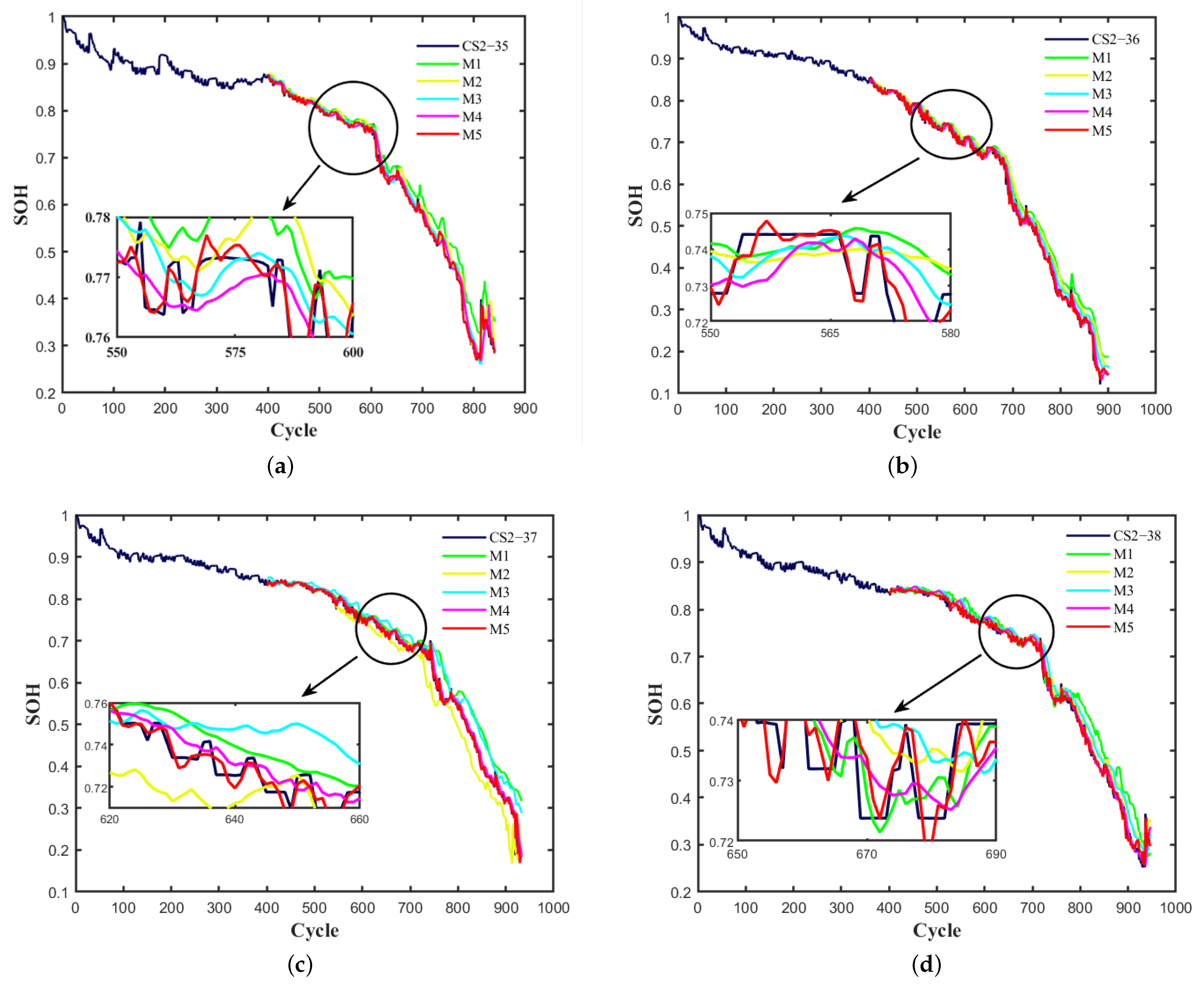
To verify the generalization and robustness of this method, we take four battery sets from the CALCE dataset as examples and conduct comparative experiments with M1, M2, M3, and M4 under the same conditions. The prediction starting point was set to 400, and the time length was set to 20. The prediction results are presented in Figure 11 and Table 6. Figure 12 presents the probability density function and linear fitting curve for CS2_38. Figure 13 compares the RMSE values among different models.
From Figure 11, it can be observed that the capacity recovery phenomenon in the four groups of batteries from CALCE is more pronounced. Taking CS2_37 as an example, the PSO-DELM and WOA-DELM models show a gradual increase in fitting mid-term errors, and although the IWOA-DELM model improves the fitting effect, the prediction accuracy still needs improvement. The proposed method in this paper has an RMSE mean of 0.72% and an MAPE mean of 0.89%, which is an improvement compared to the RMSE mean of 1.37% and MAPE mean of 1.81% of the IWOA-DELM, with an increased accuracy of 0.65% and 0.92%, respectively. The prediction curve can better fit the real values at local fluctuations, indicating good fitting performance. Figure 12a shows the probability density function for CS2_38, and the battery probability density curve obtained by our method is the highest, narrowest, and follows a normal distribution trend, indicating that the predicted values by our method are very close to the real values. Figure 12b displays data dispersion following the regression line, indicating the good fitting capability of our method.
Additionally, to validate the performance of the proposed model in this study, we compared it with other commonly used SOH estimation models, namely EMD-GRU-ARIMA [33], EMD-TCN [1]. All algorithms utilize identical training and testing sets. Due to varying choices of performance metrics in different literature, this study employs RMSE and MAPE as evaluation criteria. The specific comparative results are presented in Table 7.
Taking Table 7 of the NASA dataset as an example, in the EMD-TCN method, the capacity signal was first divided into the overall degradation trend and local degradation trend. Then, the dilated techniques in TCN were used to effectively capture the local capacity regeneration signal. However, this method does not consider the mode mixing phenomenon existing in EMD, and a single TCN model lacks sufficient generalization. The EMD-GRU-ARIMA method uses the CMSE to search for the boundary between high and low frequencies, where the high-frequency part is predicted using the GRU model, and the low-frequency part is predicted using the ARIMA model, resulting in improved accuracy. Nevertheless, this method may suffer from overfitting when dealing with a small amount of data or in the presence of high noise. Building upon this, our proposed method reduces the RMSE by approximately 0.003, indicating not only higher prediction accuracy but also stronger generalization capabilities, leading to stable prediction results for different batteries. In addition, Ren et al. incorporated a forgetting factor and filtering algorithm for lithium-ion battery health state estimation, mitigating particle degradation during the filtering process; however, this led to increased time complexity [34]. The Issa-lstm model enhanced predictive performance by optimizing model parameters, yet it overlooked the issue of noise interference in the capacity sequence [35].

4.3. Discussion

During the process of lithium-ion battery health state estimation, it is subject to various interferences. The temperature parameter significantly impacts the battery’s performance. When the temperature exceeds the normal range (20–40 °C), it can lead to electrode material detachment and SEI layer damage, affecting battery performance. Low temperatures can exacerbate aging. Laadjal et al. proposed an integrated artificial neural network technique for accurately assessing the electrical and thermal performance of lithium-ion batteries [36]. By introducing two heating mechanisms into a thermal model and utilizing artificial neural networks to capture the relationship between temperature and state of charge for effective prediction, this algorithm has low time complexity and strong adaptability. Somakettarin et al. proposed an effective series resistance model to study the relationship with battery life [37], resulting in small estimation errors. It can serve as a novel indicator for evaluating the health status of lithium-ion batteries. Martyushev et al. proposed a model based on the equivalent circuit to establish the thermal and electrical characteristics of batteries [38]. The input signals are current and ambient temperature, and the outputs are voltage and state of charge. It evaluates the state of charge to reflect battery health. Such models can deduce battery performance degradation mechanisms based on the battery’s internal physical structure, making parameter determination easy and models simple, but requiring a complex calibration process. Reference [39] considers the influence of road gradients on the health state of lithium-ion batteries during electric vehicle operation. It proposes an approach that combines Model Predictive Control (MPC) and Deep Reinforcement Learning (DRL) to mitigate battery health degradation during uphill driving using learned predictive control strategies, addressing real-world problems. Due to the complexity of environmental factors, this method places high demands on deep learning models. In future research on State of Health prediction models for lithium-ion batteries, a deeper investigation into the aging mechanisms of lithium-ion batteries should be conducted. Multiple influencing factors should be fully considered to achieve accurate modeling and health state estimation based on the characteristics of data and models.

5. Conclusions

In this study, we propose a lithium battery SOH estimation model based on WD-IWOA-DELM. The model is subjected to theoretical analysis and experimental validation, leading to the following conclusions:
(1)
In this study, we use the capacity degradation sequences of lithium batteries as the health indicator. By employing WD, the data are divided into an overall degradation trend and a localized degradation trend, effectively reducing noise fluctuations and interference from capacity regeneration signals in the original data. A comparison with EEMD and CEEMDAN decomposition algorithm shows that the WD decomposition algorithm exhibits the lowest error, minimizing the impact of the decomposition process on the SOH prediction of lithium batteries.
(2)
By introducing adaptive weights and non-linear convergence behavior, the traditional WOA algorithm has been improved to prevent premature convergence caused by local optima, thereby enhancing both the accuracy of algorithmic optimization and the convergence speed. Utilizing this enhanced algorithm for parameter optimization of DELM has led to an improvement in predictive accuracy.
(3)
This approach underwent generalization validation on two sets of datasets. For the NASA dataset, the mean root mean square error across four lithium batteries was 0.67%. In the CALCE dataset, the mean RMSE across four lithium batteries was 0.72%. The fitting degree between predicted and actual values exceeded 98%. This demonstrates that the method possesses good accuracy and robustness.
Limitations and Improvement: 1. The degradation of lithium batteries is influenced by multiple factors. This study only considers battery capacity as a health factor. In future research, a more comprehensive set of health factors, including resistance, voltage, current, and equalization charge and discharge time during battery cycling, will be taken into account. The selection of highly representative health factors that capture battery health status will be measured. 2. There exist differences between real-world and laboratory conditions for lithium-ion batteries. Achieving effective data transfer between these two scenarios and reducing the divergence between their data are directions for future research. 3. Enhancing data preprocessing and cleansing processes to ensure high-quality data for health state estimation. Integrating other neural network models to further optimize health state estimation algorithms, reducing time complexity, and achieving real-time and accurate estimation.

Author Contributions

Conceptualization, J.L.; methodology, J.L.; software, J.L.; validation, J.L. and G.Z.; formal analysis, J.L. and G.Z.; investigation, J.L.; resources, J.L.; data curation, J.L. and G.Z.; writing—original draft preparation, J.L.; writing—review and editing, H.W. and Y.L.; visualization, J.L. and Y.L; supervision, H.W. and Y.L.; project administration, H.W.; funding acquisition, H.W. All authors have read and agreed to the published version of the manuscript.

Funding

This work was supported in part by the National Natural Science Foundation of China (61863016).

Institutional Review Board Statement

Not applicable.

Informed Consent Statement

Not applicable.

Data Availability Statement

The data used in this paper are openly available. https://calce.umd.edu/battery-data (accessed on 10 October 2022), https://www.nasa.gov/intelligent-systems-division (accessed on 10 October 2022).

Conflicts of Interest

The authors declare no conflict of interest.

Abbreviations

The following abbreviations are used in this manuscript:
SOHState Of Health
WDWavelet Decomposition
WOAWhale Optimization Algorithm
DELMDeep Extreme Learning Machine
RMSERoot Mean Square Error
MAPEMean Absolute Percentage Error
RARelative Accuracy
R 2 R-squared
C/DCharge/Discharge

References

  1. Zhou, D.; Li, Z.; Zhu, J.; Zhang, H.; Hou, L. State of health monitoring and remaining useful life prediction of lithium-ion batteries based on temporal convolutional network. IEEE Access 2020, 8, 53307–53320. [Google Scholar] [CrossRef]
  2. Pan, Y.; Ren, D.; Han, X.; Lu, L.; Ouyang, M. Lithium Plating Detection Based on Electrochemical Impedance and Internal Resistance Analyses. Batteries 2022, 8, 206. [Google Scholar] [CrossRef]
  3. Li, Y.; Guo, J.; Pedersen, K.; Gurevich, L.; Stroe, D.I. Recent Health Diagnosis Methods for Lithium-Ion Batteries. Batteries 2022, 8, 72. [Google Scholar] [CrossRef]
  4. Camargos, P.H.; dos Santos, P.H.; dos Santos, I.R.; Ribeiro, G.S.; Caetano, R.E. Perspectives on Li-ion battery categories for electric vehicle applications: A review of state of the art. Int. J. Energy Res. 2022, 46, 19258–19268. [Google Scholar] [CrossRef]
  5. Pan, Y.; Ren, D.; Kuang, K.; Feng, X.; Han, X.; Lu, L.; Ouyang, M. Novel non-destructive detection methods of lithium plating in commercial lithium-ion batteries under dynamic discharging conditions. J. Power Sources 2022, 524, 231075. [Google Scholar] [CrossRef]
  6. Feng, H.; Yan, H. State of health estimation of large-cycle lithium-ion batteries based on error compensation of autoregressive model. J. Energy Storage 2022, 52, 104869. [Google Scholar] [CrossRef]
  7. Zheng, J.P.; Andrei, P.; Jin, L.; Zheng, J.; Zhang, C. Pre-lithiation strategies and energy density theory of lithium-ion and beyond lithium-ion batteries. J. Electrochem. Soc. 2022, 169, 040532. [Google Scholar] [CrossRef]
  8. Elmahallawy, M.; Elfouly, T.; Alouani, A.; Massoud, A. A Comprehensive Review of Lithium-Ion Batteries Modeling, and State of Health and Remaining Useful Lifetime Prediction. IEEE Access 2022, 10, 119040–119070. [Google Scholar] [CrossRef]
  9. von Bülow, F.; Meisen, T. A review on methods for state of health forecasting of lithium-ion batteries applicable in real-world operational conditions. J. Energy Storage 2023, 57, 105978. [Google Scholar] [CrossRef]
  10. Wang, F.; Zhao, Z.; Zhai, Z.; Shang, Z.; Yan, R.; Chen, X. Explainability-driven model improvement for SOH estimation of lithium-ion battery. Reliab. Eng. Syst. Saf. 2023, 232, 109046. [Google Scholar] [CrossRef]
  11. LI, W.; Liu, W.; Deng, Y. SOC estimation for lithium-ion batteries based on EKF. China Mech. Eng. 2020, 31, 321. [Google Scholar]
  12. Ma, Y.; Wu, L.; Guan, Y.; Peng, Z. The capacity estimation and cycle life prediction of lithium-ion batteries using a new broad extreme learning machine approach. J. Power Sources 2020, 476, 228581. [Google Scholar] [CrossRef]
  13. Li, X.; Zhang, L.; Wang, Z.; Dong, P. Remaining useful life prediction for lithium-ion batteries based on a hybrid model combining the long short-term memory and Elman neural networks. J. Energy Storage 2019, 21, 510–518. [Google Scholar] [CrossRef]
  14. Sui, X.; He, S.; Vilsen, S.B.; Meng, J.; Teodorescu, R.; Stroe, D.I. A review of non-probabilistic machine learning-based state of health estimation techniques for Lithium-ion battery. Appl. Energy 2021, 300, 117346. [Google Scholar] [CrossRef]
  15. Tang, T.; Yuan, H. The capacity prediction of Li-ion batteries based on a new feature extraction technique and an improved extreme learning machine algorithm. J. Power Sources 2021, 514, 230572. [Google Scholar] [CrossRef]
  16. Zhang, Y.; Xiong, R.; He, H.; Pecht, M.G. Long short-term memory recurrent neural network for remaining useful life prediction of lithium-ion batteries. IEEE Trans. Veh. Technol. 2018, 67, 5695–5705. [Google Scholar] [CrossRef]
  17. Hu, T.; Yu, J. Lithium-ion Battery Life Prediction Based on Multi-Scale Decomposition and Deep Learning. J. Zhejiang Univ. (Eng. Sci. Ed.) 2019, 53, 1852–1864. [Google Scholar]
  18. Meng, H.; Geng, M.; Xing, J.; Zio, E. A hybrid method for prognostics of lithium-ion batteries capacity considering regeneration phenomena. Energy 2022, 261, 125278. [Google Scholar] [CrossRef]
  19. Ding, P.; Liu, X.; Li, H.; Huang, Z.; Zhang, K.; Shao, L.; Abedinia, O. Useful life prediction based on wavelet packet decomposition and two-dimensional convolutional neural network for lithium-ion batteries. Renew. Sustain. Energy Rev. 2021, 148, 111287. [Google Scholar] [CrossRef]
  20. Li, X.; Yu, D.; Søren Byg, V.; Daniel Ioan, S. The development of machine learning-based remaining useful life prediction for lithium-ion batteries. J. Energy Chem. 2023, 82, 103–121. [Google Scholar] [CrossRef]
  21. Zhang, G.; Cui, D.; Mao, S.; Huang, G.B. Unsupervised feature learning with sparse Bayesian auto-encoding based extreme learning machine. Int. J. Mach. Learn. Cybern. 2020, 11, 1557–1569. [Google Scholar] [CrossRef]
  22. Lin, D.; Zhang, X.; Wang, L.; Zhao, B. State of health estimation of lithium-ion batteries based on a novel indirect health indicator. Energy Rep. 2022, 8, 606–613. [Google Scholar] [CrossRef]
  23. Jiang, J.; Zhang, R.; Wu, Y.; Chang, C.; Jiang, Y. A fault diagnosis method for electric vehicle power lithium battery based on wavelet packet decomposition. J. Energy Storage 2022, 56, 105909. [Google Scholar] [CrossRef]
  24. Jia, J.; Wang, K.; Shi, Y.; Wen, J.; Pang, X.; Zeng, J. A multi-scale state of health prediction framework of lithium-ion batteries considering the temperature variation during battery discharge. J. Energy Storage 2021, 42, 103076. [Google Scholar] [CrossRef]
  25. Gharehchopogh, F.S.; Gholizadeh, H. A comprehensive survey: Whale Optimization Algorithm and its applications. Swarm Evol. Comput. 2019, 48, 1–24. [Google Scholar] [CrossRef]
  26. Aljarah, I.; Faris, H.; Mirjalili, S. Optimizing connection weights in neural networks using the whale optimization algorithm. Soft Comput. 2018, 22, 1–15. [Google Scholar] [CrossRef]
  27. Duan, W.; Song, S.; Xiao, F.; Chen, Y.; Peng, S.; Song, C. Battery SOH estimation and RUL prediction framework based on variable forgetting factor online sequential extreme learning machine and particle filter. J. Energy Storage 2023, 65, 107322. [Google Scholar] [CrossRef]
  28. Zhang, J.; Wang, J.S. Improved Whale Optimization Algorithm Based on Nonlinear Adaptive Weight and Golden Sine Operator. IEEE Access 2020, 8, 77013–77048. [Google Scholar] [CrossRef]
  29. Wu, Z.; Mou, Y. An Improved Whale Optimization Algorithm. Comput. Appl. Res. 2020, 37, 3618–3621. [Google Scholar]
  30. Liangjun, C.; Honeine, P.; Hua, Q.; Jihong, Z.; Xia, S. Correntropy-based robust multilayer extreme learning machines. Pattern Recognit. 2018, 84, 357–370. [Google Scholar] [CrossRef]
  31. Wang, Y.; Zhang, X.; Li, K.; Zhao, G.; Chen, Z. Perspectives and challenges for future lithium-ion battery control and management. eTransportation 2023, 18, 100260. [Google Scholar] [CrossRef]
  32. He, W.; Williard, N.; Osterman, M.; Pecht, M. Prognostics of lithium-ion batteries based on Dempster–Shafer theory and the Bayesian Monte Carlo method. J. Power Sources 2011, 196, 10314–10321. [Google Scholar] [CrossRef]
  33. Liu, Z.; Zhang, Z.; Guo, L.; Meng, H.; Liu, X. Based on empirical mode decomposition of lithium ion battery health prediction. J. Mech. Eng. 2023, 196, 1–10. [Google Scholar]
  34. Ren, P.; Wang, S.; Huang, J.; Chen, X.; He, M.; Cao, W. Novel co-estimation strategy based on forgetting factor dual particle filter algorithm for the state of charge and state of health of the lithium-ion battery. Int. J. Energy Res. 2022, 46, 1094–1107. [Google Scholar] [CrossRef]
  35. Liu, Y.; Sun, J.; Shang, Y.; Zhang, X.; Ren, S.; Wang, D. A novel remaining useful life prediction method for lithium-ion battery based on long short-term memory network optimized by improved sparrow search algorithm. J. Energy Storage 2023, 61, 106645. [Google Scholar] [CrossRef]
  36. Laadjal, K.; Cardoso, A.J.M. Estimation of lithium-ion batteries state-condition in electric vehicle applications: Issues and state of the art. Electronics 2021, 10, 1588. [Google Scholar] [CrossRef]
  37. Somakettarin, N.; Pichetjamroen, A. A study on modeling of effective series resistance for lithium-ion batteries under life cycle consideration. Iop Conf. Ser. Earth Environ. Sci. 2019, 322, 012008. [Google Scholar] [CrossRef]
  38. Martyushev, N.V.; Malozyomov, B.V.; Sorokova, S.N.; Efremenkov, E.A.; Qi, M. Mathematical Modeling of the State of the Battery of Cargo Electric Vehicles. Mathematics 2023, 11, 536. [Google Scholar] [CrossRef]
  39. Martyushev, N.V.; Malozyomov, B.V.; Khalikov, I.H.; Kukartsev, V.A.; Kukartsev, V.V.; Tynchenko, V.S.; Tynchenko, Y.A.; Qi, M. Review of Methods for Improving the Energy Efficiency of Electrified Ground Transport by Optimizing Battery Consumption. Energies 2023, 16, 729. [Google Scholar] [CrossRef]
Figure 1. DELM structure diagram.
Figure 1. DELM structure diagram.
Applsci 13 10079 g001
Figure 2. NASA’s lithium-ion battery capacity variation curve with the number of discharge cycles.
Figure 2. NASA’s lithium-ion battery capacity variation curve with the number of discharge cycles.
Applsci 13 10079 g002
Figure 3. CALCE’s lithium-ion battery capacity variation curve with the number of discharge cycles.
Figure 3. CALCE’s lithium-ion battery capacity variation curve with the number of discharge cycles.
Applsci 13 10079 g003
Figure 7. Prediction results of global degradation trend and local degradation trend for the B0005 battery.
Figure 7. Prediction results of global degradation trend and local degradation trend for the B0005 battery.
Applsci 13 10079 g007
Figure 8. Prediction results of global degradation trend and local degradation trend for the CS2−35 battery.
Figure 8. Prediction results of global degradation trend and local degradation trend for the CS2−35 battery.
Applsci 13 10079 g008
Figure 9. The fitness curve of the algorithm.
Figure 9. The fitness curve of the algorithm.
Applsci 13 10079 g009
Figure 10. SOH prediction results and forecast errors of NASA batteries. (a) B0005; (c) B0006; (e) B0007; (g) B0018; (b,d,f,h) represent the corresponding forecast errors.
Figure 10. SOH prediction results and forecast errors of NASA batteries. (a) B0005; (c) B0006; (e) B0007; (g) B0018; (b,d,f,h) represent the corresponding forecast errors.
Applsci 13 10079 g010
Figure 11. SOH prediction results and forecast errors of CALCE batteries. (a) CS−35; (b) CS−36; (c) CS−37; (d) CS−38.
Figure 11. SOH prediction results and forecast errors of CALCE batteries. (a) CS−35; (b) CS−36; (c) CS−37; (d) CS−38.
Applsci 13 10079 g011
Figure 12. Error Probability Density Curve (a) and Linear Fitting Curve (b).
Figure 12. Error Probability Density Curve (a) and Linear Fitting Curve (b).
Applsci 13 10079 g012
Figure 13. The RMSE metric of the various models.
Figure 13. The RMSE metric of the various models.
Applsci 13 10079 g013
Table 1. NASA lithium-ion battery experimental specifications.
Table 1. NASA lithium-ion battery experimental specifications.
Battery NumberCharging ProtocolRated CapacityTemperature(C/D) Current(C/D) VoltageCut-Off Current
B0005, 6, 7, 18CC-CV2 Ah24 °C1.5/2 A4.2/2.7, 2.5, 2.2,
2.5 V
0.02 A
Table 2. CALCE lithium-ion battery experimental specifications.
Table 2. CALCE lithium-ion battery experimental specifications.
Battery NumberCharging ProtocolRated CapacityTemperature(C/D) Current(C/D) Voltage/V
CS2_35CC-CV1.1 Ah24 °C0.55/0.55 A(4.2, 2.7) V
CS2_36CC-CV1.1 Ah24 °C0.55/0.55 A(4.2, 2.7) V
CS2_37CC-CV1.1 Ah24 °C0.55/1.1 A(4.2, 2.7) V
CS2_38CC-CV1.1 Ah24 °C0.55/1.1 A(4.2, 2.7) V
Table 4. Method Statement.
Table 4. Method Statement.
No.Methods
A1DELM
A2PSO-DELM
A3WOA-DELM
A4IWOA-DELM
A5WD-IWOA-DELM
Table 5. Results of five comparative experiments on the NASA dataset.
Table 5. Results of five comparative experiments on the NASA dataset.
BatteryMethodsRMSEMAPERAR2
B0005A10.01630.01830.98160.8922
A20.01020.00940.99050.9585
A30.00780.00650.99450.9711
A40.00690.00910.99280.9822
A50.00580.00670.99250.9916
B0006A10.01550.01730.98210.9367
A20.01460.01660.96800.9591
A30.00990.00860.99250.9600
A40.00900.00840.98890.9576
A50.00710.00850.99160.9808
B0007A10.01880.02160.97830.8823
A20.01070.00840.99150.9265
A30.01090.00970.99120.9304
A40.00950.00800.99270.9343
A50.00540.00620.99040.9875
B0018A10.01760.02150.97740.9216
A20.01480.01800.98190.8897
A30.01400.01690.98250.9666
A40.01080.01020.98970.9033
A50.00860.00930.98010.9802
Table 6. Results of five comparative experiments on the CALCE dataset.
Table 6. Results of five comparative experiments on the CALCE dataset.
BatteryMethodsRMSEMAPERAR2
CS2_35A10.02880.04930.94980.9711
A20.02190.03160.96830.9899
A30.01670.02190.97800.9924
A40.01420.01790.98110.9922
A50.00720.00810.99230.9918
CS2_36A10.03020.05660.93720.9825
A20.02500.05190.98120.9980
A30.01920.03950.96040.9961
A40.01210.02210.97780.9966
A50.00660.00890.99240.9931
CS2_37A10.03210.05820.93780.9798
A20.02900.04390.98570.9757
A30.03150.05560.94930.9892
A40.01660.01760.98230.9892
A50.00810.00910.99010.9922
CS2_38A10.03130.04980.94980.9820
A20.01960.03120.96890.9891
A30.02350.03640.96350.9910
A40.01220.01510.98480.9953
A50.00680.00930.98980.9930
Table 7. Comparison of Our SOH Estimation Method with Other Methods on the NASA Dataset.
Table 7. Comparison of Our SOH Estimation Method with Other Methods on the NASA Dataset.
BatteryMethodsRMSEMAPE
B0005EMD-TCN0.0080-
EMD-GRU-ARIMA0.00600.0062
Proposed method0.00580.0067
B0006EMD-TCN0.014-
EMD-GRU-ARIMA0.00750.0098
Proposed method0.00710.0085
B0007---
EMD-GRU-ARIMA0.00560.0048
Proposed method0.00540.0062
B0018EMD-TCN0.0190-
---
Proposed method0.00860.0093
Disclaimer/Publisher’s Note: The statements, opinions and data contained in all publications are solely those of the individual author(s) and contributor(s) and not of MDPI and/or the editor(s). MDPI and/or the editor(s) disclaim responsibility for any injury to people or property resulting from any ideas, methods, instructions or products referred to in the content.

Share and Cite

MDPI and ACS Style

Wang, H.; Luo, J.; Zhu, G.; Li, Y. Enhanced Whale Optimization Algorithm with Wavelet Decomposition for Lithium Battery Health Estimation in Deep Extreme Learning Machines. Appl. Sci. 2023, 13, 10079. https://doi.org/10.3390/app131810079

AMA Style

Wang H, Luo J, Zhu G, Li Y. Enhanced Whale Optimization Algorithm with Wavelet Decomposition for Lithium Battery Health Estimation in Deep Extreme Learning Machines. Applied Sciences. 2023; 13(18):10079. https://doi.org/10.3390/app131810079

Chicago/Turabian Style

Wang, Hairui, Jie Luo, Guifu Zhu, and Ya Li. 2023. "Enhanced Whale Optimization Algorithm with Wavelet Decomposition for Lithium Battery Health Estimation in Deep Extreme Learning Machines" Applied Sciences 13, no. 18: 10079. https://doi.org/10.3390/app131810079

APA Style

Wang, H., Luo, J., Zhu, G., & Li, Y. (2023). Enhanced Whale Optimization Algorithm with Wavelet Decomposition for Lithium Battery Health Estimation in Deep Extreme Learning Machines. Applied Sciences, 13(18), 10079. https://doi.org/10.3390/app131810079

Note that from the first issue of 2016, this journal uses article numbers instead of page numbers. See further details here.

Article Metrics

Back to TopTop