Next Article in Journal
Cloud Server-Assisted Remote Monitoring and Core Device Fault Identification for Dynamically Tuned Passive Power Filters
Previous Article in Journal
A Runway Overrun Risk Assessment Model for Civil Aircraft Based on Quick Access Recorder Data
 
 
Font Type:
Arial Georgia Verdana
Font Size:
Aa Aa Aa
Line Spacing:
Column Width:
Background:
Article

Analysis of Vibration Characteristics of Cross-Type Hydraulic Pipeline Based on Finite Element Method

1
School of Aeronautics, Civil Aviation University of China, Tianjin 300300, China
2
School of Transportation Science and Engineering, Civil Aviation University of China, Tianjin 300300, China
*
Author to whom correspondence should be addressed.
Appl. Sci. 2023, 13(17), 9829; https://doi.org/10.3390/app13179829
Submission received: 3 August 2023 / Revised: 25 August 2023 / Accepted: 26 August 2023 / Published: 30 August 2023

Abstract

:
Branched hydraulic lines are prone to leakage and break under complex working conditions. The coupling vibration problem caused by the fluid pressure beat and external mechanical excitation of the pump at the junction of the branch of the cross-type hydraulic pipeline is very common. So a method combining finite element simulation and fluid-structure interaction vibration experiments is proposed for research. First, the possibility of the finite element method in solving the pipeline vibration problem is verified, and then the modal analysis and harmonious response analysis of the cross-type pipe are carried out to discuss the influence of fluid pressure and solid elastic modulus on pipeline vibration. The results show that as the fluid pressure and pipeline elastic modulus change, different modes of different orders will be affected. Under external excitation, only a portion of the order is sensitive to external excitation.

1. Introduction

The vibration problem of pipeline systems has a broad engineering application background, and its research results can be directly applied to various fields such as ocean engineering, bioengineering, chemical machinery, aerospace, and the nuclear industry. What’s more, cross-type branch pipelines are widely used in hydraulic systems and pipelines [1]. However, during the transportation of gases and liquids, intermittent suction or discharge movements of fluids in pipelines may cause flow and pressure pulsations in the pipeline system, leading to severe pipeline vibration in discontinuous areas, especially at branch points. At the interface between the branch pipeline and the main pipeline, the pressure flow pulsation of hydraulic oil and the fluid–structure interaction phenomenon caused by the external vibration of the pipeline are relatively concentrated. Abnormal or excessive vibration can lead to fatigue failure, leakage, and other safety issues in pipeline systems.
Therefore, the problems surrounding the branch pipeline have aroused the research interest of many scholars. In recent years, KARAGIOZIS et al. [2] of the United States analyzed the nonlinear stability of incompressible flow in cylindrical thin shells, combining the linear model and the Donnell shallow shell nonlinear equation in the model, and discussed its impact on pipeline stability by changing the length diameter ratio and thickness diameter ratio. In 2008, TIJSSELING A S [3] studied the plumbing composed of straight pipes and elbows. The theoretical model is based on the idea of Tentarelli, and the models of two pipe segments are established. The straight pipe is solved in the frequency domain, and the solution of the elbow is not divided into units. The elbow model is directly used for the overall solution, and the influence of the bending radius and angle of the elbow on the fluid–solid coupling vibration characteristics is analyzed. Chao Jiaming [4] conducted airflow pulsation and pipeline vibration tests on the primary intake pipeline of a certain hydrogen compressor under 60% flow regulation and variable operating conditions. Based on the actual pipeline size and direction on site, an airflow pulsation analysis model and a pipeline modal analysis model were established to conduct airflow pulsation analysis and pipeline modal analysis, respectively. And targeted pipeline vibration reduction measures were proposed to reduce the vibration value of the first-stage intake pipeline of the compressor to an acceptable range. Xia Zhao Wang [5] studied a local resonance-type periodic pipeline and showed a simulation model of the periodic pipeline system. He analyzed the influence of parameters such as local oscillator width, outer diameter, and material density on the vibration reduction effect of the periodic pipeline and verified it through experiments. The results show that the width and material density of the local oscillator have a significant impact on the vibration reduction effect of the pipeline system. The outer diameter of the local oscillator has little effect on the vibration level drop of the pipeline system. Zhang Yu [6] proposed a semi-analytical model for the vibration characteristics of multi-clamp-supported liquid-filled pipelines and a method for optimizing clamp layout. In order to study the effects of parameters such as liquid filling state and flow rate on the optimization results of clamp layout, a general clamp layout optimization model was established with the maximum first-order natural frequency as the optimization objective without introducing an external excitation frequency. The particle swarm optimization algorithm was used to solve the optimization model. The article [7] is devoted to the analysis of the reasons for the high level of vibration of piping, in particular during resonance with the disturbing frequency of main line pumps. The causes of vibration in the piping of the main line pumps and the influence of frequency regulation on the level of vibration of the main line pump are analyzed. B Khudayarov [8] developed a computational algorithm for solving problems of vibrations in composite pipelines conveying pulsating liquid. The stability and amplitude-time characteristics of vibration in composite pipelines with pulsating fluid flowing in them are studied for a wide range of changes in the parameters of deformable systems and fluid flow. E Liu [9] focuses on the problem of abnormal vibrations within the JYG compressor station pipeline and uses a 3D calculation model of the launcher pipeline of west-east gas pipeline III to perform simulation analysis using Fluent to find the cause of the abnormal vibrations. Our results show that the fluid pressure fluctuation in the pipeline is the main factor in the abnormal vibration of the launcher pipeline in the JYG compressor station. In ZD Xu’s [10] paper, a novel multidimensional vibration isolation and mitigation device (MVIMD) is proposed and optimized to mitigate the multidimensional vibration of pipelines. First, the dynamic characteristics and responses of pipelines with and without the devices are compared based on the modified equivalent standard solid model. Then the MVIMD is attached to a pipeline to verify its vibration mitigation effect in horizontal and vertical directions. Finally, the genetic algorithm (GA) is adopted to optimize the parameters of MVIMD. The numerical analysis results show that the novel MVIMD with parameters optimized by the genetic algorithm has better effects for controlling both horizontal and vertical vibration responses of pipelines. Z Liang [11] finds that the unique modal frequencies of each order are applied to the elbow to obtain different exclusive mode shapes. The evolution of the flow pattern is related to the increase in wave height, and the wave amplitude often depends on the gas-liquid superficial velocity. The superficial liquid velocity is more sensitive to the influence of flow pattern formation and vibration than that of gas. The above nonlinear fluid–structure interaction vibration analysis model for curved pipelines, although considering nonlinear factors, does not comprehensively consider the fluid–structure interaction effect of the junction between the actual pipeline branch and the main pipeline, while the actual situation will cause structural and fluid vibration due to the fluid–structure interaction effect of the junction.
In order to study the complex coupling situation caused by various factors at the junction of the branch and solve the problem of difficult analysis of its vibration mechanism, many scholars have made preliminary attempts to address the mechanism and modeling issues of the branch pipeline. TIJSSELING AS [12] considered FSI (Fluid–Structure Interaction) and cavitation phenomena and conducted experimental research on T-shaped pipelines. ZIADA S [13] conducted an experimental study on the coupling response of T-shaped pipes in the upstream region of the pipeline due to the acoustic resonance mechanism. Tentarelli and Brown [14] perceived pipe systems with three-port junctions as having a global transmission matrix. Their research has solved the round-off problems. The above research results on the branch pipeline have carried out targeted exploration of the pipeline fluid–structure interaction vibration model, and the coupling conditions considered are more complex. Cao Yinhang [15] provided the general steps for calculating pipeline dynamics problems using the transfer matrix method and the process of establishing the point transfer matrix for any pipeline branch component absorption transfer matrix method, achieving the solution of branch pipeline system dynamics problems, and proving its correctness through comparison with experimental results. Afterwards, based on the selected branch pipeline design basic model, the uniform design principle is used to select calculation samples, and the transfer matrix method is applied to calculate the sample model. Finally, the second-order polynomial response surface function is used to approximate the regression model, and a genetic algorithm is applied to optimize the branch pipeline design. By absorbing the transfer matrix method, uniform design principle, and mathematical modeling optimization method, the calculation cost and resources are better saved. It has certain guiding significance for the design process of branch pipelines. A two-dimensional finite element numerical model was developed by L Ming-Ming [16] to predict local scour around a vibration submarine pipeline under free surface wave conditions. Both suspended-load and bed-load sediment transportations are considered in the scour model. The Arbitrary Lagrangian-Eulerian (ALE) method was used to track the moving boundaries induced by the vibration pipeline, the free wave surface, and the evolution of the seabed due to local scour. Satisfactory results were obtained after validations were carried out. The numerical model is then used to investigate local scour around a vibration pipeline under free surface wave conditions. In recent years, relevant scholars have made a lot of new research progress in pipeline fluid–structure interaction vibration, such as Cai Biaohua [17], Hu Bing [18], Zhong Yongheng [19], Sang Yong [20], Quan Lingxiao [21], Guo Meng [22], etc. However, there are few studies on the fluid–structure interaction and vibration mechanism around the junction between the branch pipe and the main pipe. Therefore, how to analyze the coupling phenomenon caused by the fluid pressure pulsation of the pump and external mechanical excitation at the branch junction remains an important issue in pipeline dynamics analysis.
Based on the above analysis, the fluid–structure interaction vibration model of cross-type branch pipe is established by using the finite element method. Considering the excitation caused by fluid pressure fluctuations and external excitation, the fluid–structure interaction dynamics problem of the branch pipe is solved. In the article, the excitation caused by pressure pulsation is simulated through changes in fluid pressure inside the pipe, and external excitation is simulated through the addition of simple harmonic force in harmonic response analysis. And the impact of pipeline materials and fluid pressure on its vibration characteristics is analyzed. The accuracy of the finite element method in solving the fluid–structure interaction vibration problem of pipelines is verified by comparing the finite element calculation results with the vibration experiment results.

2. Fluid–Structure Interaction Vibration Analysis of Single Pipeline

2.1. Theoretical Model of Pipeline Vibration

Figure 1 shows the geometric modeling of a single pipeline in the hydraulic system. Due to the fact that the inner diameter of the actual pipeline is much smaller than its length, the calculation process assumes the pipeline model as a beam model and solves it with fixed support at both ends. Based on the fluid motion control equation and the pipeline motion control equation, the motion coupling of the two media is realized by the contact compatibility condition of the fluid and solid structures on the boundary [23,24]:
Fluid motion control equation:
The flow in the pipe can be regarded as incompressible flow, and the fluid continuity equation and momentum equation are:
( ρ u i ) χ i = 0
χ i ( ρ u i u j ) = P χ i + χ i [ μ ( u i χ j + u j χ i ) 2 3 μ δ ij u k χ k ] + χ j ( ρ u i u j ¯ )
where  ρ  is the density of the fluid;  u i u j  are the average velocity component for each time;  μ  is the dynamic viscosity of the fluid;  δ i j  is “Kronecker delta” symbol (when i = j,  δ i j    = 0; k is the turbulent kinetic energy; and  u i u j ¯  is Reynolds stress component.
There is a vortex flow in the water flow inside the pipe, and the streamline is highly curved. RNG k-ε is chosen here as the turbulence model:
( ρ k ) t + ( ρ ku i ) χ j = χ j [ α k μ eff k χ j ] + G k + ρ ε ( ρ ε ) t + ( ρ ε u i ) χ j = χ j [ α ε μ eff ε χ j ] + C 1 ε * k G k C 2 ε ρ ε 2 k
where k is turbulent kinetic energy;  μ e f f  is corrected turbulent viscosity;  ε  is the turbulent dissipation rate;  α k α ε  are turbulent kinetic energy k and dissipation rate ε corresponding Prandtl number, respectively, and its values are all 1.39; t is the time;  G k  is the production term of turbulent kinetic energy k caused by the average velocity gradient,  G k   μ t ( u i u j + u j u i ) u i u j μ t  =  ρ C μ k 2 ε ,   C μ = 0.0845 C 1 ε *  is the correction factor; and  C 2 ε  is an empirical constant,  C 2 ϵ    = 1.68.
Pipeline motion control equation:
For a pipeline system with n degrees of freedom, the finite element equation under the state of unit motion is
M s e δ ¨ r + C s e δ ˙ e + K s e δ e = F e
where  M s e  is quality matrix for pipeline units;  C s e  is damping matrix for pipeline elements;  K s e  is the stiffness matrix of the pipeline element;   δ e  is the displacement vector of the pipeline unit; and    F e  is the external load vector of the unit.
Considering the fluid action on the pipeline, the overall structural dynamics equation is
M s δ ¨ + C s δ ˙ + K s δ + f o + F d = 0
where    M s  is the overall quality matrix for the pipeline;  C s  is the overall damping matrix;  K s  is global stiffness matrix;  δ  is the displacement vector;  f o  is the vector of fluid pipeline interaction at the fluid–solid interface; and  F d  is the external excitation vector other than  f o .
Fluid structure coupling equation of pipeline:
The grid elements of the fluid model and solid model can be different, but they need to satisfy the conservation of variables such as force on the fluid–solid coupling surface (τ), displacement (d), heat flow rate (q), and temperature (T), satisfying the following four equations:
d f   = d s
n τ f = n τ s
q f   = q s
T f = T s
In the equation,  d f  and  d s  are the displacements of the fluid and solid on the fluid–solid coupling surface;  τ f , τ s  are the shear stress of the fluid and solid on the fluid–solid coupling surface;  q f q s  is the heat flux of the fluid and solid on the fluid–solid coupling surface; and  T f , T s  is the temperature of the fluid and solid on the fluid–solid coupling surface.
When temperature changes are not considered, both the displacement balance equation and the stress balance equation should be satisfied; that is, by satisfying the conservation of these two variables, the transfer of analytical parameters between the fluid and the solid can be achieved. In Figure 1, U, V, W are coordinate axis. h is the thickness of the pipe wall, and a is the average radius of the pipeline. r is the direction vector of the pipeline cross-section, so  θ  is the angle between the r vector and the vertical direction.

2.2. Single Pipeline Fluid–Structure Interaction Finite Element Model

Use the finite element software Ansys Workbench to establish a simulation model for modal analysis and solve it for the natural frequencies of each order of a single pipeline. The single pipe calculation pipeline is calculated by using titanium alloy pipeline. The pipeline size and material properties of the pipeline and fluid are shown in Table 1. The boundary conditions for simulation calculations are as follows: setting the inlet of the cross-type branch pipe as the velocity inlet, the flow rate is 1 m/s. Set the outlet as a pressure outlet and the pressure to 1 Mpa. Set the fluid–solid interface as the wall surface. Both ends of the pipe adopt fixed constraints.
1:1 modeling is carried out according to the actual pipeline shown in Figure 2a, and fluid is added inside the pipeline. The block pipe clamp is 66.77 mm long, 30.07 mm wide, and 23.9 mm high. The single-pipe geometric modeling is shown in Figure 2b.
In terms of grid generation, the pipeline is divided into grids by sweeping. The grid cells are hexahedron cells with a size of 3 mm. The number of unit layers in the thickness direction of the pipeline is one layer. The fluid in the pipe is automatically meshed, and a boundary layer is inserted at the fluid–solid interface. The thickness of the first boundary layer is 0.0002 m.
Since the standard k-ε equation is suitable for initial iteration and parameter research, it is selected in this model. The pressure-velocity coupling mode of fluid is saved as a SIMPLE algorithm. The turbulence of a fluid is defined by adding turbulent kinetic energy to the diameter of water particles with a diameter of 0.055 m. The pipe clamp and screw are divided into tetrahedral grids, and the direct contact area between the screw and the pipe clamp is set as binding contact. Verify the grid convergence of the model. At the direct contact area between the screw and the pipe clamp, the grid was encrypted with a size of 0.5 mm. The local pipeline grid and the pipe clamp grid are shown in Figure 3. The number of units in the pipeline section is 9526, and the number of nodes is 18,228. The number of units in the pipe clamp section is 392,533, and the number of nodes is 82,109. Perform modal analysis on the above finite element model.

2.3. Experimental Verification

Using a vibration table as the excitation equipment for the analyzed pipeline, complete the vibration experiment. The vibration table used in this study has a maximum excitation force of 10 KN, a maximum displacement of 51 mm, and a frequency range of 5–3000 Hz. The testing equipment used in the experiment is an IEPE piezoelectric acceleration sensor, model PCB356 A116, with a measurable frequency range of 0.5–5000 Hz and a range of ±50 g. The data acquisition instrument is a DH5922 N dynamic signal tester, which uses a USB3.0 cable to connect with a computer for data transmission. The experimental operation process is as follows:
(1)
Fill the interior of the pipeline with hydraulic oil and block both ends with screw plugs. The hydraulic pipeline used in the vibration experiment is fixed to the fixture with block clamps, and the installation diagram is shown in Figure 4. The material parameters of the pipeline and oil are shown in Table 1.
(2)
In the software section of the vibration test control system, create a new engineering file and select the sine sweep frequency method. Set the engineering units with displacement in mm, velocity in m/s, and acceleration in g.
(3)
The sensor type of the input channel is set as an acceleration sensor and is a charge sensor. The sensitivity is an inherent value of the sensor: 43.81 pc/G.
(4)
The setting of the sine target spectrum. The target spectrum of the sine sweep experiment adopts 5–19.92944 Hz as the positioning shift range, with a displacement peak to peak of 1.25 mm, and 19.9294–2000 Hz as the fixed acceleration range, with an acceleration value of 1 g.
(5)
Schedule settings. The schedule is used to arrange experiments to be automatically executed according to a predetermined sequence of events, with a frequency limit of 5 Hz for the lower limit and 2000 Hz for the upper limit. The starting frequency is 5 Hz, and the starting direction is upward. Choose logarithmic sweep as the sweep mode, with one sweep frequency.
(6)
Signal acquisition system settings. Create a new project management file and set the channel settings for the channels connected to the acquisition instrument. The sampling frequency is set to 20 KHz. Since the sensor used for signal collection is an acceleration sensor, the measurement quantity is chosen as acceleration, and the input method is IEPE.
(7)
After setting the relevant experimental parameters, return to the main operation interface of the controller and click “Start” to proceed with the experiment.
This experiment mainly compares the natural frequencies of each order with the simulation results. The vibration parameters obtained through finite element simulation are in good agreement with the experimental results, and the specific data is shown in Table 2.
The problems caused by the difference between the experimental conditions of the confirmatory experiment and the simulation conditions are mainly due to the following reasons: (1) The installation position of the sensor: During the measurement of natural frequency, the installation position of the sensor should avoid the position of the concerned modal node. For example, in this experiment, the vibration amplitude at the mid-span position of the pipeline is definitely large, but the mid-span is a node with even modal orders, so it should be avoided to install the sensor at this position. (2) On the other hand, the modes of the structure belong to strong directional modes, and different orders of modes are often in different directions. The installation direction of the sensor in this experiment has always been upward, which can easily cause errors. In the finite element simulation calculation process, only the inherent modal parameters of the model are calculated, and the structure is not affected by sensors, so there is a certain error between the two.
Therefore, when conducting pipeline vibration experiments, the following operations should be carried out to reduce possible errors: (1) the installation position of the sensor should not be close to the modal node position; (2) when measuring the natural frequencies in different directions, sensors should be arranged in different directions.
Through the comparison between the above single pipeline experiment and the solution of the finite element method, it is found that the finite element method has a high accuracy in solving the fluid–structure interaction vibration problem of the hydraulic pipeline. Based on this, the following fluid–structure interaction vibration analysis of a cross-type hydraulic pipeline is carried out using the finite element method.

3. Fluid–Structure Interaction Analysis of Cross-Type Hydraulic Pipeline

The coupling vibration of the branch pipeline is mainly caused by the fluid pressure pulsation excitation of the pump and external mechanical excitation. This section simulates the excitation caused by pressure pulsation through changes in fluid pressure inside the pipe. In the process of studying the vibration characteristics of hydraulic pipelines, the coupling effect of fluid on solid pipelines will obviously affect the vibration characteristics of the pipeline, while the coupling effect of solid on fluid has little impact on them. Therefore, this section only considers the fluid–structure interaction effect of fluid on pipelines in one direction. The fluid–structure interaction analysis first uses the computational fluid dynamics theory to solve the fluid model inside the pipeline, then transfers the fluid force to the solid pipeline wall and analyzes the changes in the steady-state parameters such as the deformation and stress of the pipeline structure. The finite element model of the cross-type pipeline still adopts the straight pipe modeling method mentioned above, and after geometric modeling, the SOLSH190 element in the continuum shell element is used to discretize the pipeline. This is mesh division work. At the same time, the convergence of the grid is verified, and there is a certain degree of refinement of the grid at the connection position between the pipeline and the joint. The material of the cross-type pipeline used is stainless steel, and the fluid is hydraulic oil. The material properties of the pipeline and hydraulic oil are shown in Table 3. The pipeline support method is still fixed at both ends.

3.1. Influence of Fluid Pressure on Fluid–Structure Interaction Characteristics of Cross-Type Pipeline

In order to consider the coupled vibration of the pipeline caused by fluid pressure pulsation, the fluid pressure values are set as 0 MPa, 1 MPa, 5 MPa, 10 MPa, 15 MPa, and 21 MPa, and the influence of fluid pressure on it is discussed by solving the fluid–structure interaction steady-state parameters under six working conditions. The treatment method for the fluid is the same as that for using the finite element method for the single pipeline, with boundary conditions set. The inlet of the cross-type pipe is set as the velocity inlet, and the flow rate is 1 m/s. The outlet is set as the pressure outlet. The pressure values correspond to the six working conditions, and the fluid–solid interface is set as the wall. As the fluid pressure increases, the maximum response value increases and the maximum stress decreases.
After the flow field calculation is completed, the fluid pressure is introduced into the solid inner wall of the cross-type pipeline for import calculation. After the calculation is completed, the pressure load and displacement of the flow field on the pipeline solid can be obtained, as shown in Figure 5, which is the deformation diagram and stress distribution diagram of the cross-type pipeline under the corresponding working condition of 21 MPa pressure.
Plot the maximum response value and maximum stress of the pipeline under different fluid pressures as a curve, as shown in Figure 6. As the fluid pressure increases, the maximum deformation of the cross-type pipeline decreases in a small range, and the maximum stress shows a decreasing trend.

3.2. Influence of Pipeline Elastic Modulus on Fluid–Structure Interaction Characteristics of Cross-Type Pipeline

Taking the cross-type hydraulic pipeline with the same boundary condition and different pipeline elastic modulus as the research object, the fluid–structure interaction analysis was carried out to study the influence of the pipeline elastic modulus on the steady-state characteristics of the branch pipeline. Taking into account the elastic moduli of all metal materials, the range of elastic moduli is determined to be 70–230 GPa. Calculations are conducted every 20 GPa to obtain the steady-state deformation and stress, and the curve is plotted as shown in Figure 7. By analyzing the curve trend, it can be concluded that as the elastic modulus of the pipeline increases, the maximum response value decreases, and the maximum stress shows a linear increase trend.

4. Analysis of Vibration Characteristics of Cross-Type Hydraulic Pipeline

Based on the fluid–structure interaction analysis of cross-type pipelines, the modal analysis of cross-type pipelines considering fluid–structure interaction is carried out. In the actual working environment, when the pipeline is excited by external forces from the fixed wall panels and other structures, the vibration modes of each order of the pipeline are different. Therefore, it is also necessary to consider the external force excitation of the pipeline and conduct a harmonic response analysis. The article simulates external excitation by adding a simple harmonic force to harmonic response analysis.

4.1. Effect of Fluid Pressure on the Vibration Characteristics of Cross-Type Pipelines

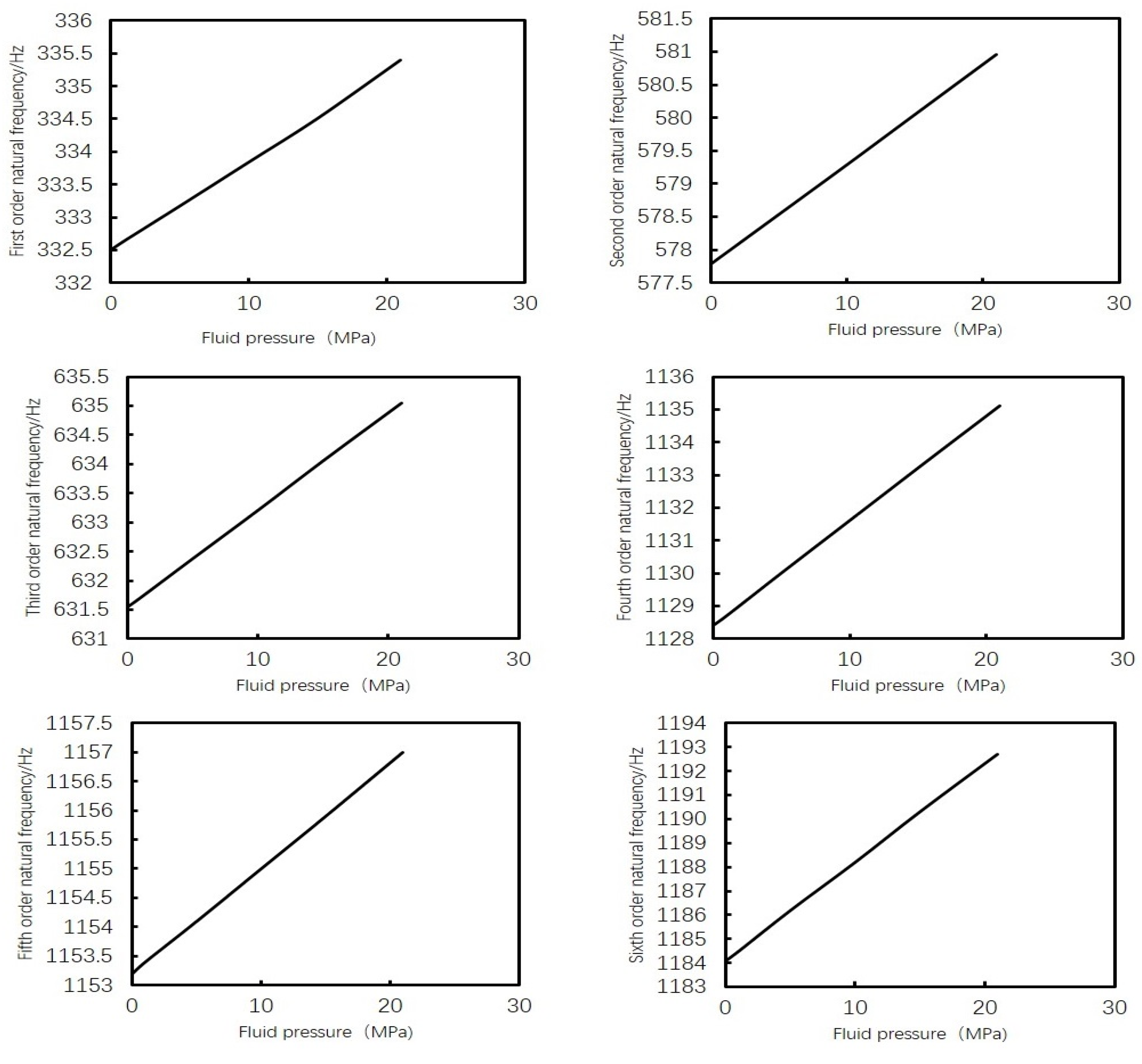
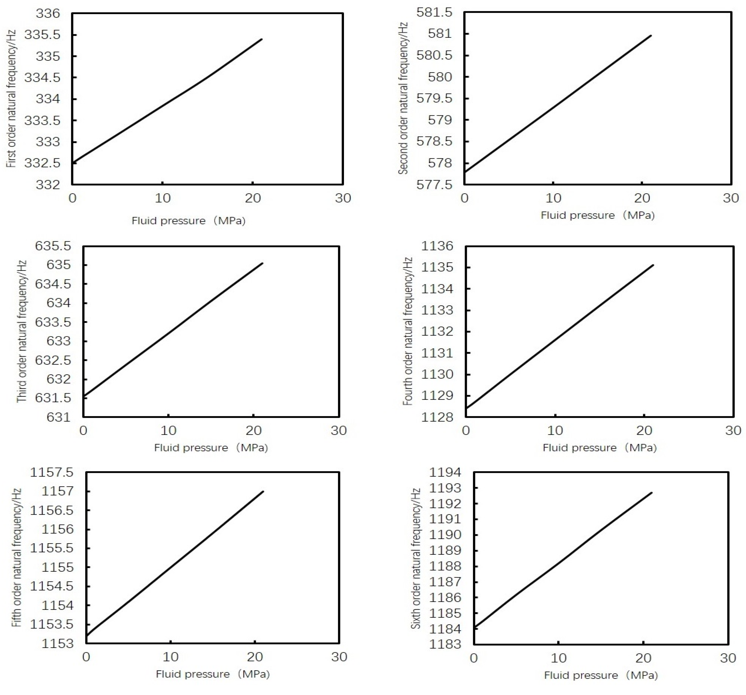
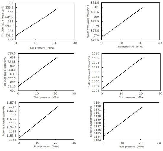
Set the fluid pressure to 0 MPa, 1 MPa, 5 MPa, 10 MPa, 15 MPa, and 21 MPa, respectively, and perform modal analysis on the cross-type pipeline to obtain its modal frequency and vibration mode. The first six natural frequency variation curves under different pressures are shown in Figure 8. Taking the pressure inside the pipe as an example of 21 MPa, harmonic response analysis was conducted by adding a simple harmonic force with an amplitude of 1 N in the X, Y, and Z directions at the connection positions of the pipe joint, and the frequency range was set to basically cover the first six modal natural frequencies of the cross-type pipe. For example, when the pressure inside the pipe is 21 Mpa, the frequency range to be considered for harmonic response analysis is the same as the first six natural frequencies in modal analysis, ranging from 0–1200 Hz. Figure 9 shows the displacement response of a cross-type pipeline when a simple harmonic force is added in the X, Y, and Z directions.
From the above curve analysis, it can be concluded that the first six natural frequencies of the cross-type pipeline show an increasing trend with the increase in fluid pressure inside the pipeline. With the increase in fluid pressure, the pipeline’s stiffness will go up. So the self-excited vibration period of the vibration system decreases, and the natural frequency increases. Compared with the results of fluid–structure interaction vibration characteristics of a single pipe in the literature [25], it is found that the natural frequency of a cross-type pipe changes in the opposite direction to that of a single pipe when the fluid pressure in the pipe increases. The response of the cross-type branch pipeline under the action of this harmonic force shows maximum values at frequencies of 336 Hz, 582 Hz, 1136 Hz, and 1156 HZ. Comparing the response of the cross-type branch pipeline in the X, Y, and Z directions, it is found that the displacement response of the cross-type pipeline in the X direction was the largest, with a value of  8.73 × 10 3  mm. By comparing the modal analysis, it is found that the natural frequencies of the cross-type branch pipe were very close to the first-order natural frequency of 335.53 Hz, the second-order natural frequency of 581.36 Hz, the fourth-order natural frequency of 1136.4 Hz, and the fifth-order natural frequency of 1158.7 Hz, respectively. This indicates that under external excitation, the first, second, fourth, and fifth order modes of the cross-type pipe are more sensitive to external excitation forces, and the response value is the highest in the first order mode. When conducting modal analysis on pipelines, we will find that the amplitude of vibration varies at different orders of modes. Therefore, when subjected to external excitation, although the magnitude of the excitation force is the same, sensitivity may vary due to the different amplitudes of the modes in which the structure is located.

4.2. The Effect of Elastic Modulus on the Vibration Characteristics of Cross-Type Branch Pipeline

In this section, the elastic modulus of materials is taken as the research variable, and the elastic modulus of all metal materials is considered without loss of generality. The range of elastic modulus is determined as 70–230 GPa, and every 20 GPa is a calculation point. The modal shape and harmonic response results are solved, and the calculation results are analyzed. Figure 10 depicts the variation of the first six natural frequencies under the elastic modulus parameters in the above range. Figure 11 shows the harmonic response analysis of a cross-type branch pipeline with an elastic modulus of 70 GPa.
From the above analysis, it can be concluded that the first six natural frequencies of the cross-type branch pipeline increase when the elastic modulus increases, and the higher-order modes are more significantly affected by the elastic modulus. With the increase in solid elastic modulus, the pipeline’s stiffness will go up. So the self-excited vibration period of the vibration system decreases, and the natural frequency increases. The response of the cross-type branch pipeline with an elastic modulus of 70 GPa under the action of this harmonic force shows maximum values at frequencies of 198 Hz, 342 Hz, and 678 Hz. Comparing the response of the cross-type branch pipeline in the X, Y, and Z directions, it was found that the displacement response of the cross-type pipeline in the x direction was the highest, with a displacement response of 0.019 mm. By comparing the modal analysis, it is found that the natural frequencies of the branch tube are very close to the first-order natural frequency of 198.52 Hz, the second-order natural frequency of 342.17 Hz, and the fifth-order natural frequency of 678.15, respectively. This indicates that under external excitation, the first, second, and fifth order modes of the cross-type tube with this elastic modulus are sensitive to external excitation forces, and the response value is the highest in the first order mode. When conducting modal analysis on pipelines, we will find that the amplitude of vibration varies at different orders of modes. Therefore, when subjected to external excitation, although the magnitude of the excitation force is the same, sensitivity may vary due to the different amplitudes of the modes in which the structure is located.
In passage [26], branch pipelines have been calculated with the transfer matrix method. By comparing its calculation results with those of finite element calculation, it was found that the transfer matrix method has a greater error in calculation. Therefore, it can be proven that the finite element method is superior at solving vibration problems in branch pipelines.

5. Conclusions

In light of the coupling vibration problem caused by the fluid pressure beat and external mechanical excitation of the pump at the junction of the branch of the cross-type hydraulic pipeline, a method combining finite element simulation and fluid-structure interaction vibration experiments is proposed for research. And the different pressures of the fluid in the pipeline and the elastic modulus of the pipeline are considered variables, so complex systems can be calculated using this method. The biggest advantage of the present method is that the influence of internal fluid beats and external excitation can be comprehensively considered. It means that there is no need to replace methods and models when solving the working conditions of internal fluid coupling and external excitation changes, in contrast to most existing methods. Thus, this method is simple, reduces measurement time and cost, and has practical engineering value.
Experimental measurements of a single pipeline in a simple laboratory apparatus are presented. The results calculated by the presented method are in good agreement with the experimental data, which verified the accuracy of the proposed method.
The fluid–structure interaction analysis and vibration characteristics of a cross-type hydraulic pipeline were carried out using the finite element method. As the fluid pressure increases, the maximum deformation of the cross-type pipeline decreases in a small range, and the maximum stress shows a decreasing trend. But only lower-order modes are significantly affected by modal analysis. As the elastic modulus of the pipeline increases, the maximum response value decreases, and the maximum stress shows a linear trend of increase. While the higher-order modes are significantly affected in modal analysis. With the increase in fluid pressure and solid elastic modulus, the pipeline’s stiffness will go up. So the self-excited vibration period of the vibration system decreases, and the natural frequency increases.
Under external excitation, the first, second, and fifth-order modes of the cross-type tube are sensitive to external excitation forces. And the vibration direction is in the X direction. The analysis results have a certain reference value for the vibration reduction design of liquid pipelines in practical engineering. When designing and installing the hydraulic pipeline system, adjust the stiffness parameters of the components reasonably based on the differences in the load frequency band of the area where the pipeline is located to avoid resonance frequencies. In the operation and maintenance stages, if there is a pipeline failure caused by vibration, it can be focused on the easily excited modes, so that maintenance is more targeted.
In actual hydraulic pipelines, the fluid flow rate is often variable, so in future research, the changing fluid flow rate can be considered the research object.

Author Contributions

Conceptualization, Z.L. and H.L.; methodology, Z.L. and B.L.; software, J.C.; validation, Z.L., H.L. and Y.L.; formal analysis, B.L.; investigation, H.L.; resources, H.L.; data curation, Y.L.; writing—original draft preparation, Z.L.; writing—review and editing, H.L.; visualization, J.C.; supervision, B.L.; project administration, Y.L.; funding acquisition, Z.L. All authors have read and agreed to the published version of the manuscript.

Funding

This research was funded by the Fundamental Research Funds for Central Universities at the Civil Aviation University of China, grant number “3122022062”.

Institutional Review Board Statement

Not applicable.

Informed Consent Statement

Not applicable.

Data Availability Statement

The data presented in this study are available from the corresponding.

Conflicts of Interest

The authors declare no conflict of interest.

References

  1. Li, Y.; Song, Y.; Jiang, F.; Zhu, D.; Jiao, J.; Zhu, Y. Design and test of intake and exhaust pipeline system of CNC two-stage pneumatic engine. Mech. Des. 2018, 35, 56–61. [Google Scholar]
  2. Karagiozis, K.N.; Païdoussis, M.P.; Amabili, M. Effect of geometry on the stability of cylindrical clamped shells subjected to internal fluid flow. Comput. Struct. 2007, 85, 645–659. [Google Scholar] [CrossRef]
  3. Tijsseling, A.S.; Lambert, M.F.; Simpson, A.R.; Stephens, M.L.; Vítkovský, J.P.; Bergant, A. Theory of Water Hammer. J. Sound Vib. 2008, 718. [Google Scholar] [CrossRef]
  4. Chao, J.; Yu, X.; Wang, Z.; Jiang, Z.; Zhang, G.; Shu, Y. Causes and Treatment Plan for Hydrogen Compressor Pipeline Vibration. Oil Gas Storage Transp. 2023, 42, 952–960. [Google Scholar]
  5. Xia, Z.; Ju, F.; Lu, Z.; Shi, D. Study on the vibration characteristics of local resonance type periodic pipeline systems. Noise Vib. Control 2023, 43, 86–91. [Google Scholar]
  6. Zhang, Y.; Sun, W.; Liu, X. Semi analytical modeling of vibration characteristics of liquid filled pipelines and optimization of clamp layout. J. Cent. South Univ. Nat. Sci. Ed. 2022, 53, 4262–4270. [Google Scholar]
  7. Tokarev, A.P.; Yanbarisova, A.A.; Khatmullina, R.S. The Dependence of the Pump Piping Vibration from the Rotor Speed. In IOP Conference Series: Earth and Environmental Science; IOP Publishing: Bristol, UK, 2021; Volume 666. [Google Scholar]
  8. Khudayarov, B.; Turaev, F. Numerical simulation of a viscoelastic pipeline vibration under pulsating fluid flow. Multidiscip. Model. Mater. Struct. 2022, 18, 219–237. [Google Scholar] [CrossRef]
  9. Liu, E.; Lian, D.; Zheng, H.; Su, Z.; Chen, Q. Research on Abnormal Vibration and Vibration Reduction Measures of a Natural Gas Compressor Station: A Case Study of the JYG Compressor Station. Energy Fuels 2022, 36, 897–909. [Google Scholar] [CrossRef]
  10. Xu, Z.; Yang, Y.; Miao, A.N. Dynamic Analysis and Parameter Optimization of Pipelines with Multidimensional Vibration Isolation and Mitigation Device. J. Pipeline Syst. Eng. Pract. 2021, 12, 4020058.1–4020058.12. [Google Scholar] [CrossRef]
  11. Liang, Z.; Guo, C.; Wang, C. The Connection between flow pattern evolution and vibration in 90-degree pipeline: Bidirectional fluid-structure interaction. Energy Sci. Eng. 2021, 10, 308–323. [Google Scholar] [CrossRef]
  12. Tijsseling, A.S.; Vardy, A.E. Fluid-structure interaction and transient cavitation tests in a T-piece pipe. J. Fluids Struct. 2005, 20, 753–762. [Google Scholar] [CrossRef]
  13. Ziada, S.; Mclaren, K.W.; Li, Y. Flow-Acoustic Coupling in T-Junctions: Effect of T-Junction Geometry. J. Press. Vessel. Technol. 2009, 131, 1–14. [Google Scholar] [CrossRef]
  14. Tentarelli, S.C.; Brown, F.T. Dynamic behavior of complex fluid-filled systems—Part 2: System analysis. J. Dyn. Syst. Meas. Control 2001, 123, 78–84. [Google Scholar] [CrossRef]
  15. Cao, Y.; Liu, G.; Zhang, L. Dynamic Optimization Design of Branch Pipeline System Based on Genetic Algorithm. J. Vib. Shock. 2021, 40, 221–227. [Google Scholar]
  16. Liu, M.-M.; Wang, H.-C.; Shao, F.-F.; Xin, J.; Tan, G.Q.; Fan, Y. Numerical investigation of local scour around a vibration pipeline under free surface wave condition. Ocean. Eng. 2022, 245, 110556. [Google Scholar]
  17. Cai, B.; Fang, C.; Ma, S.; Yu, J. Numerical simulation of flow vibration and noise of water injection pipeline under fluid-structure interaction. Ship Sci. Technol. 2020, 42, 118–122. [Google Scholar]
  18. Hu, B.; Yu, D. Study on vibration transfer characteristics of fluid-structure coupling pipeline. In Proceedings of the 13th National Conference on Vibration Theory and Application, Xi’an, China, 9–12 November 2019; pp. 348–354. [Google Scholar]
  19. Zhong, Y.; Zhong, Y.; Tian, Y.; Deng, J. Mathematical modeling of fluid-structure interaction vibration analysis of elbows in liquid-filled pipelines. Mach. Manuf. Autom. 2019, 48, 120–124. [Google Scholar]
  20. Sang, Y.; Shao, L.; Wang, X. Fluid-structure interaction vibration analysis based on ANSYS high-flow pipeline. Hydraul. Seal. 2018, 38, 1–5. [Google Scholar]
  21. Quan, L.; Sun, B.; Zhao, J.; Li, D. Frequency response analysis of fluid-structure interaction vibration of aviation bending hydraulic pipeline. J. Northwestern Polytech. Univ. 2018, 36, 487–495. [Google Scholar] [CrossRef]
  22. Guo, M. Correction of Friction Term of 14-Equation of Fluid-Structure Interaction Vibration of High-Speed and High-Pressure Hydraulic Pipeline. Master’s Thesis, Yanshan University, Qinhuangdao, China, 2018. [Google Scholar]
  23. Samanpour, H.; Ahmadi, N.; Jabbary, A. Effects of applying brand-new designs on the performance of PEM fuel cell and water flooding phenomena. Iran. J. Chem. Chem. Eng. Res. Artic. 2022, 41, 618–635. [Google Scholar]
  24. Quan, L.; Kong, X.; Yu, B.; Bai, H. Research status and development of fluid-structure interaction vibration mechanism and control of hydraulic pipeline. J. Mech. Eng. 2015, 51, 175–183. [Google Scholar] [CrossRef]
  25. Li, Z.; Wang, J.; Qiu, X. Fluid-structure interaction vibration characteristics of aero-engine space pipeline system. J. Aerosp. Power 2016, 31, 2346–2352. [Google Scholar]
  26. Liu, G.; Li, S.; Li, Y.; Chen, H. Vibration analysis of pipelines with arbitrary branches by absorbing transfer matrix method. J. Sound Vib. 2013, 332, 6519–6536. [Google Scholar] [CrossRef]
Figure 1. Single-pipe geometric modeling.
Figure 1. Single-pipe geometric modeling.
Applsci 13 09829 g001
Figure 2. Actual pipeline and its geometric modeling. (a) Actual hydraulic pipeline; (b) Single pipe geometric modeling.
Figure 2. Actual pipeline and its geometric modeling. (a) Actual hydraulic pipeline; (b) Single pipe geometric modeling.
Applsci 13 09829 g002
Figure 3. Schematic diagram of local pipeline grid and pipe clamp grid. (a) Single pipeline grid local; (b) Pipe clamp grid.
Figure 3. Schematic diagram of local pipeline grid and pipe clamp grid. (a) Single pipeline grid local; (b) Pipe clamp grid.
Applsci 13 09829 g003
Figure 4. Schematic diagram of pipe clamp and single pipe fixing.
Figure 4. Schematic diagram of pipe clamp and single pipe fixing.
Applsci 13 09829 g004
Figure 5. Analysis results of 21 MPa cross-type pipeline fluid–structure interaction. (a) steady-state deformation of cross-type pipe; (b) steady state stress of cross-type pipe.
Figure 5. Analysis results of 21 MPa cross-type pipeline fluid–structure interaction. (a) steady-state deformation of cross-type pipe; (b) steady state stress of cross-type pipe.
Applsci 13 09829 g005aApplsci 13 09829 g005b
Figure 6. Changes in steady-state parameters of pipelines with pressure. (a) response amplitude curve; (b) maximum stress curve.
Figure 6. Changes in steady-state parameters of pipelines with pressure. (a) response amplitude curve; (b) maximum stress curve.
Applsci 13 09829 g006
Figure 7. The variation of steady-state parameters of pipelines with elastic modulus. (a) response amplitude curve; (b) maximum stress curve.
Figure 7. The variation of steady-state parameters of pipelines with elastic modulus. (a) response amplitude curve; (b) maximum stress curve.
Applsci 13 09829 g007
Figure 8. Natural frequency variation curve of pipeline under different pressures.
Figure 8. Natural frequency variation curve of pipeline under different pressures.
Applsci 13 09829 g008
Figure 9. A 21 MPa harmonic response analysis curve of cross-type pipe.
Figure 9. A 21 MPa harmonic response analysis curve of cross-type pipe.
Applsci 13 09829 g009
Figure 10. Natural frequency variation curve of pipeline under different elastic modulus.
Figure 10. Natural frequency variation curve of pipeline under different elastic modulus.
Applsci 13 09829 g010
Figure 11. A 70 GPa harmonic response analysis curve of cross-type pipe.
Figure 11. A 70 GPa harmonic response analysis curve of cross-type pipe.
Applsci 13 09829 g011
Table 1. Pipeline and hydraulic oil material parameters.
Table 1. Pipeline and hydraulic oil material parameters.
PipelineFluid
Tube outer diameter (mm)9.56Density (kg/m3)850
Wall thickness (mm)0.51Bulk modulus (GPa)1.666
Total length (mm)583.17
Elastic modulus (GPa)108
Density (kg/m3)4510
Poisson’s ratio0.33
Table 2. Comparison of the first 15 natural frequencies of a single pipeline.
Table 2. Comparison of the first 15 natural frequencies of a single pipeline.
OrderExperimental Frequency (Hz) Ansys Simulation (Hz) Error
1210.20218.113.8%
2309.29322.594.3%
3483.39496.232.7%
4577.39592.662.6%
5601.81606.250.7%
6714.11721.651.1%
7901.24913.271.3%
8955.81931.622.5%
9989.99979.61%
101072.981055.71.6%
111149.91156.30.6%
121323.241379.14.2%
131525.881498.41.8%
141661.381682.11.2%
151984.861993.90.5%
Table 3. Cross-type pipeline material characteristics.
Table 3. Cross-type pipeline material characteristics.
PipelineFluid
Tube outer diameter (mm)50Density (kg/m3)850
Wall thickness (mm)5Bulk modulus (GPa)1.666
Elastic modulus (GPa)206
Density (kg/m3)7900
Poisson’s ratio0.3
Disclaimer/Publisher’s Note: The statements, opinions and data contained in all publications are solely those of the individual author(s) and contributor(s) and not of MDPI and/or the editor(s). MDPI and/or the editor(s) disclaim responsibility for any injury to people or property resulting from any ideas, methods, instructions or products referred to in the content.

Share and Cite

MDPI and ACS Style

Liu, Z.; Li, H.; Li, B.; Chen, J.; Liu, Y. Analysis of Vibration Characteristics of Cross-Type Hydraulic Pipeline Based on Finite Element Method. Appl. Sci. 2023, 13, 9829. https://doi.org/10.3390/app13179829

AMA Style

Liu Z, Li H, Li B, Chen J, Liu Y. Analysis of Vibration Characteristics of Cross-Type Hydraulic Pipeline Based on Finite Element Method. Applied Sciences. 2023; 13(17):9829. https://doi.org/10.3390/app13179829

Chicago/Turabian Style

Liu, Zhe, Huiping Li, Baichun Li, Jiaxin Chen, and Yong Liu. 2023. "Analysis of Vibration Characteristics of Cross-Type Hydraulic Pipeline Based on Finite Element Method" Applied Sciences 13, no. 17: 9829. https://doi.org/10.3390/app13179829

APA Style

Liu, Z., Li, H., Li, B., Chen, J., & Liu, Y. (2023). Analysis of Vibration Characteristics of Cross-Type Hydraulic Pipeline Based on Finite Element Method. Applied Sciences, 13(17), 9829. https://doi.org/10.3390/app13179829

Note that from the first issue of 2016, this journal uses article numbers instead of page numbers. See further details here.

Article Metrics

Back to TopTop