Comparative Analysis of Instrumental and Manual Visibility Observations at Xiamen Airport and the Influence of Relative Humidity
Abstract
:1. Introduction
2. Materials and Methods
2.1. Study Area and Data Sources
2.2. Statistical Methods
3. Results
3.1. Agreement and Correlation between VI and VM
3.2. RMSE and RRMSE of VI Relative to VM
3.2.1. Daily Variation Characteristics of RMSE and RRMSE
3.2.2. Distribution Characteristics of RMSE and RRMSE at Different Visibility Levels
3.3. Mean Values of VI’s Deviation Relative to VM
3.4. Distributions of the Deviation and Relative Deviation of VI Relative to VM
3.4.1. Overall Distribution Patterns
3.4.2. Distributions of Deviation and Relative Deviation at VM800
3.5. Influence of RH on the Deviation and Relative Deviation of VI from VM
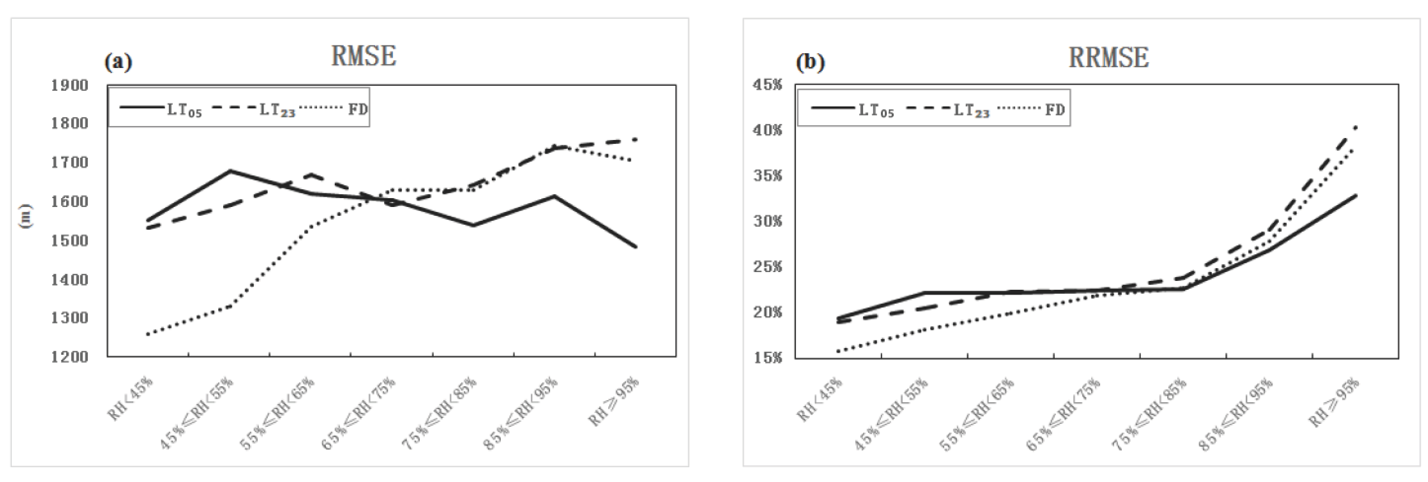
3.5.1. Influence of RH on the RMSE and RRMSE of VI Relative to VM
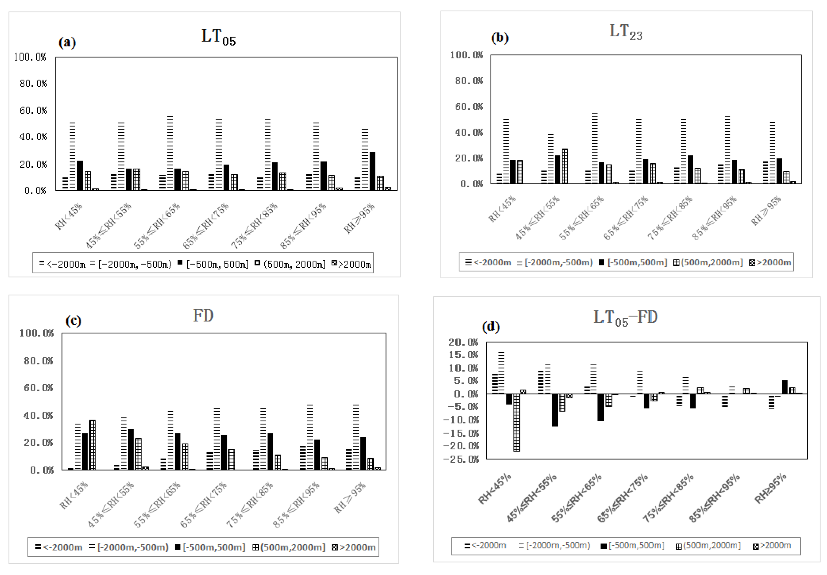
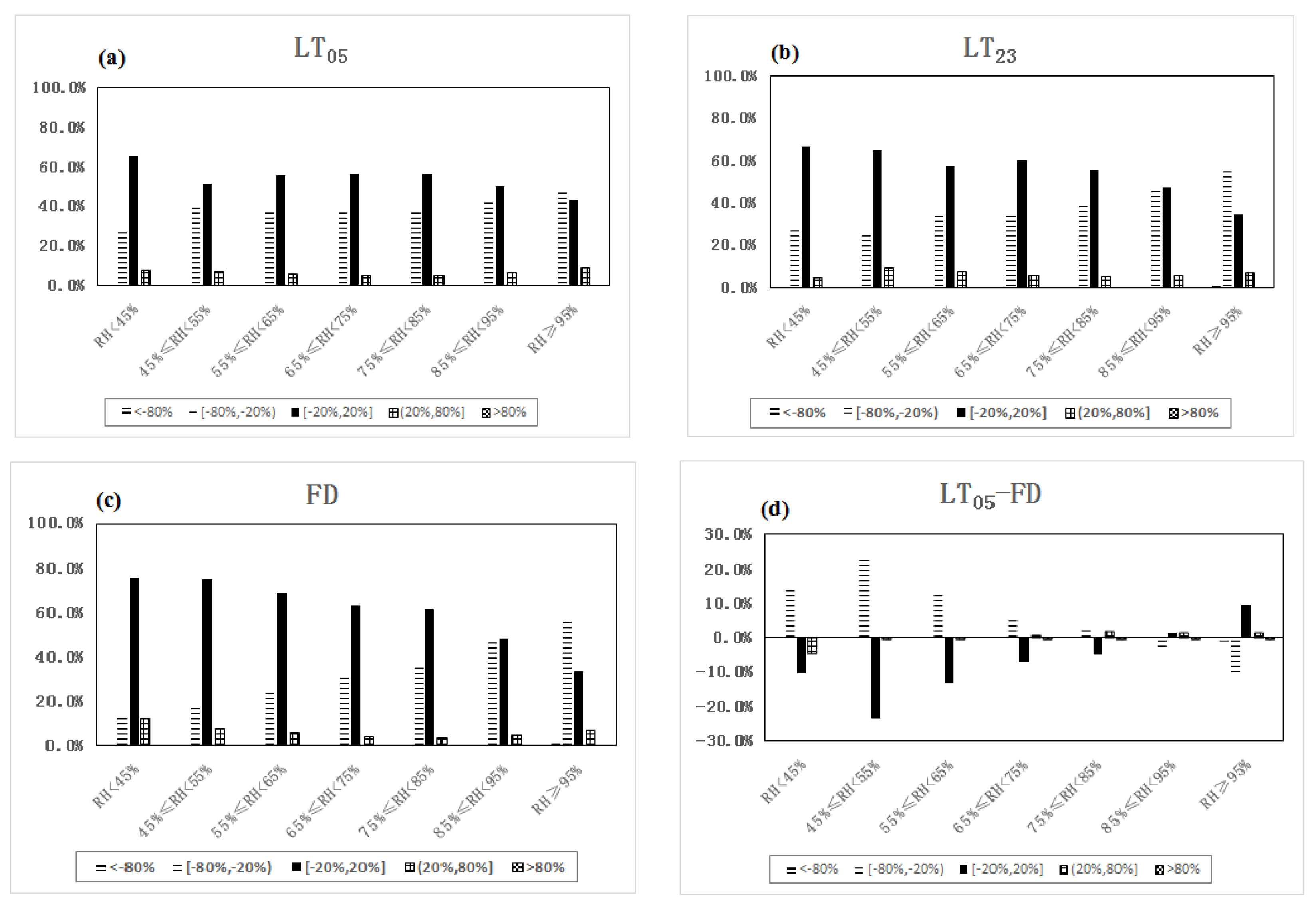
3.5.2. Influence of RH on the Distributions of the Deviation and Relative Deviation of VI from VM
4. Conclusions
Author Contributions
Funding
Institutional Review Board Statement
Informed Consent Statement
Data Availability Statement
Acknowledgments
Conflicts of Interest
References
- AC-97-FS-2011-01; Guidelines on the Formulation and Implementation of the Minimum Standards for Civil Aviation Airport Operations. Civic Aviation Administration of China: Beijing, China, 2011.
- Amalberti, R. Chapter 10: Safety in Flight Operations. In Reliability and Safety Hazardous Work Systems: Approaches to Analysis and Design; Wilpert, B., Qvale, T., Eds.; Lawrence Erlbaum: Hove, UK, 1993; pp. 171–194. [Google Scholar]
- Li, H. The Understanding of Optical. Air Traffic Manag. 2001, 1, 34–36. [Google Scholar]
- Tai, H.; Zhuang, Z.; Liu, H.; Sun, D. Automatic Observation Methods of Airport Prevailing Visibility. Meteorol. Sci. Technol. 2019, 47, 222–228. [Google Scholar]
- Xing, X.; Cui, Y.; Zhang, F.; Xie, B. Summary of Present Situation and Development Trend of Visibility Measurement Technology. Metrol. Meas. Technol. 2010, 30, 15–20. [Google Scholar]
- Zeng, S.; Wang, G. Observation and Instrument of Visibility. J. Appl. Meteorol. Sci. 1999, 10, 207–212. [Google Scholar]
- Wang, W.; Zhang, S.; Zhang, C.; Fang, H.; Wang, M. Performance Analysis of Self-Developed Transmission Visibility System. Meteorol. Sci. Technol. 2020, 48, 163–170. [Google Scholar]
- Wang, M.; Fang, H.; Zhang, S.; Wang, W.; Wang, M.; Zhu, J.; Fang, X. A Method for Testing Forward Scattering. Meteorol. Sci. Technol. 2021, 49, 12–17. [Google Scholar]
- Mo, Y.; Liu, J.; Lu, W. Experimental Analysis of a Visibilimeter’s Prototype. Trans. Atmos. Sci. 2004, 27, 230–237. [Google Scholar]
- Li, H.; Sun, X. Theoretical Analysis on Measurement Error of Forward Scattering Visibility Meter. Infrared Laser Eng. 2009, 38, 1094–1098. [Google Scholar]
- Xiao, S.; Huang, X.; Zhang, Z.; Qian, H.; Yang, L. The Effect of Field Angle for Forward Scattering Visibility Receiver on Measurement. Mod. Radar 2015, 37, 78–82. [Google Scholar]
- Zhou, S.; Ma, Z. Influence of LED Surface Characteristics of Transmittance Meter on Visibility Measurement. J. Appl. Opt. 2016, 37, 719–724. [Google Scholar]
- Wang, H.; Zu, F.; Yuan, C.; Bao, Y.; Wu, H.; Zhu, J. Comprehensive Observation Experiment and Comparative Analysis of the Forward Scattering Visibility Meter and Atmospheric Transmission Visibility Meter. J. Meteorol. Sci. 2022, 42, 225–234. [Google Scholar]
- Ma, S.; Xu, Z.; Mao, J.; Liu, D.; Zhang, C.; Yang, L.; Zhen, X. Experimental Research on Visibility Reference Standard for Blackbody Targets. J. Appl. Meteorol. Sci. 2014, 25, 129–134. [Google Scholar]
- Czarnecki, T.; Perlicki, K.; Wilczewski, G. Atmospheric Visibility Sensor Based on Backscattering Using Correlation Coding Method. Opt. Quantum Electron. 2015, 47, 771–778. [Google Scholar] [CrossRef]
- Muhammad, I.; Zabih, G.; Joaquin, P.; Brazda, V.; Fiser, Q. Enhancing the Atmospheric Visibility and Fog Attenuation Using a Controlled FSO Channel. IEEE Photonics Technol. Lett. 2013, 25, 1262–1265. [Google Scholar]
- Han, Y.; Xie, C.; Rao, R. Comparison and Analysis of Two Visibility Detecting Methods Based on Optical Scatter Technology. Infrared Laser Eng. 2006, 35, 173–176. [Google Scholar]
- Li, X.; Quan, W.; Wang, D.; Wang, D. Comparison of Visibility Measurements Using DNQ1 and FD12 Visibility Meters and Their Major Influencing Factors. J. Meteorol. Environ. 2021, 37, 25–32. [Google Scholar]
- Tan, H.; Chen, H.; Wu, D.; Deng, X.; Deng, T.; Li, F.; Zhao, X.; Bi, X. The Performance Evaluation and Data Correction of the Forward Scattering Visibility Sensor. J. Trop. Meteorol. 2010, 26, 687–693. [Google Scholar]
- Zhu, L.; Li, L. Calibration Techniques for Forward Scattering Visibility Meters. Meteorol. Sci. Technol. 2013, 41, 1003–1007. [Google Scholar]
- Yang, Y.; Hu, X. Miriam PWD20 Visibility and Comparative Analysis of Visibility and Visual. J. Lanzhou Univ. (Nat. Sci.) 2009, 45, 61–63. [Google Scholar]
- Liu, N.; Ma, Y.; Wang, Y. Comparative Analysis of Atmospheric Visibility Data from the Middle Area of Liaoning Province Using Instrumental and Visual Observations. Res. Environ. Sci. 2012, 25, 1120–1125. [Google Scholar]
- Xia, D.; Wu, Z.; Tan, H.; Yuan, Z.; Chen, L.; Huang, P. Analysis and Correction of Visibility Measured by Automatic Observing System in Guangdong. Meteorol. Sci. Technol. 2014, 42, 68–72. [Google Scholar]
- Wu, H.; Huang, X.; Mo, C. Analysis of Difference between M6000 Visibility Sensor and Manual Observation Visibility. Meteorol. Sci. Technol. 2015, 43, 595–600. [Google Scholar]
- Si, P.; Gao, R. A Comparative Evaluation on Automatic and Manual Observations of Fog and Haze in Tianjin. J. Appl. Meteorol. Sci. 2015, 26, 240–246. [Google Scholar]
- Zhang, H.; Chen, L. Comparative analysis of visual visibility and instrumental visibility on Guangzhou airport. J. Meteorol. Res. Appl. 2010, 31, 123–125. [Google Scholar]
- He, F.; Yuan, Y. Comparative analysis of automatic and manual visibility observation at airport meteorological station. J. Green Sci. Technol. 2019, 12, 27–29. [Google Scholar]
- International Civil Aviation Organization. Manual on Automatic Meteorological Observing Systems at Aerodromes; International Civil Aviation Organization: Montreal, QC, Canada, 2013. [Google Scholar]
- AP-117-TM-2012-01; Guidelines for Meteorological Station Construction at Civil Aviation Airports. Civic Aviation Administration of China: Beijing, China, 2012.
- AP-117-TM-2021-01R2; Specifications for Ground-based Civil Aviation Meteorological Observations. Civic Aviation Administration of China: Beijing, China, 2021.
- Wang, R.; Zhou, X.; Li, C. Analysis on Visibility Difference Between Manual and Automatic Observation in Jiangsu. J. Meteorol. Sci. 2015, 35, 183–188. [Google Scholar]
- Wang, C.; Huang, Y.; Li, D.; Jiang, M.; Chen, W. Analysis of the Errors in Automatic and Manual Observations of Visibility. J. Meteorol. Res. Appl. 2015, 36, 111–112. [Google Scholar]
- Liu, F.; Tan, Q.; Jiang, X.; Jiang, W.J.; Song, D.L. Effect of Relative Humidity on Particulate Matter Concentration and Visibility During Winter in Chengdu. Environ. Sci. 2018, 39, 1466–1471. [Google Scholar]
- Du, R.; Qi, B.; Hu, D.; Li, L.; Yu, B. The Analysis of Relative Humidity and PM2.5 Impact on Visibility in Hangzhou. J. Nanjing Univ. (Nat. Sci.) 2015, 51, 473–480. [Google Scholar]
- Gong, S.; Feng, J. Relationships among Relative Humidity, PM10 Concentration and Atmospheric Visibility in Shanghai. Res. Environ. Sci. 2012, 25, 628–631. [Google Scholar]
- Chan, P.W. A Test of Visibility Sensors at Hong Kong International Airport. Weather 2016, 71, 241–246. [Google Scholar] [CrossRef]











| Instrument Model | Measurement Range | Accuracy | Temporal Resolution | Baseline Length or Scattering Angle | Operating Environment |
|---|---|---|---|---|---|
| LT | 10–10,000 m | ±10% | 1 min | 30 m | −40 ± 60 °C RH: 0–100% |
| FD | 10–15,000 m | ±10% | 1 min | 33° | −40 ± 50 °C RH: 0–100% |
| 1 | 2 | 3 | 4 | 5 | 6 | 7 | 8 | Total |
|---|---|---|---|---|---|---|---|---|
| 40 | 29 | 201 | 603 | 626 | 1531 | 4599 | 6720 | 14,349 |
| RH Level | 1 | 2 | 3 | 4 | 5 | 6 | 7 | Total |
|---|---|---|---|---|---|---|---|---|
| LT05 | 75 | 214 | 746 | 1745 | 2890 | 4944 | 3735 | 14,349 |
| FD | 41 | 166 | 668 | 1532 | 2775 | 5093 | 4074 | 14,349 |
| LT23 | 21 | 127 | 554 | 1378 | 2662 | 4689 | 4918 | 14,349 |
| Visibility Meter | LT05 | LT23 | FD |
|---|---|---|---|
| Agreement rate | 88.1% | 93.2% | 91.7% |
| Gross error rate | 6.4% | 7.6% | 3.6% |
| Correlation coefficient | 0.92 | 0.92 | 0.80 |
| Statistic | LT05ΔV (m) ΔVMdi (%) | LT23 ΔV (m) ΔVMdi (%) | FD ΔV (m) ΔVMdi (%) | |||
|---|---|---|---|---|---|---|
| AVG | −70 | −17.4 | −124 | −21.8 | −74 | −21.4 |
| MAX | 1000 | 233.3 | 2000 | 1000.0 | 1300 | 550.0 |
| MIN | −500 | −83.3 | −650 | −92.9 | −600 | −100.0 |
Disclaimer/Publisher’s Note: The statements, opinions and data contained in all publications are solely those of the individual author(s) and contributor(s) and not of MDPI and/or the editor(s). MDPI and/or the editor(s) disclaim responsibility for any injury to people or property resulting from any ideas, methods, instructions or products referred to in the content. |
© 2023 by the authors. Licensee MDPI, Basel, Switzerland. This article is an open access article distributed under the terms and conditions of the Creative Commons Attribution (CC BY) license (https://creativecommons.org/licenses/by/4.0/).
Share and Cite
Jiang, H.; Li, F.; Ren, X.; Hu, K.; Chen, Z.; Luo, Z.; Chan, P.W. Comparative Analysis of Instrumental and Manual Visibility Observations at Xiamen Airport and the Influence of Relative Humidity. Appl. Sci. 2023, 13, 9514. https://doi.org/10.3390/app13179514
Jiang H, Li F, Ren X, Hu K, Chen Z, Luo Z, Chan PW. Comparative Analysis of Instrumental and Manual Visibility Observations at Xiamen Airport and the Influence of Relative Humidity. Applied Sciences. 2023; 13(17):9514. https://doi.org/10.3390/app13179514
Chicago/Turabian StyleJiang, Hangdong, Fei Li, Xiaohui Ren, Kaiwen Hu, Zhen Chen, Zhonghong Luo, and Pak Wai Chan. 2023. "Comparative Analysis of Instrumental and Manual Visibility Observations at Xiamen Airport and the Influence of Relative Humidity" Applied Sciences 13, no. 17: 9514. https://doi.org/10.3390/app13179514
APA StyleJiang, H., Li, F., Ren, X., Hu, K., Chen, Z., Luo, Z., & Chan, P. W. (2023). Comparative Analysis of Instrumental and Manual Visibility Observations at Xiamen Airport and the Influence of Relative Humidity. Applied Sciences, 13(17), 9514. https://doi.org/10.3390/app13179514

