Optical Analysis of the Impact Transmission in Steel Sheet Arrays with Bolted-Type Joints
Abstract
1. Introduction
2. Materials and Methods
Optical Metrology and Processing
3. Results
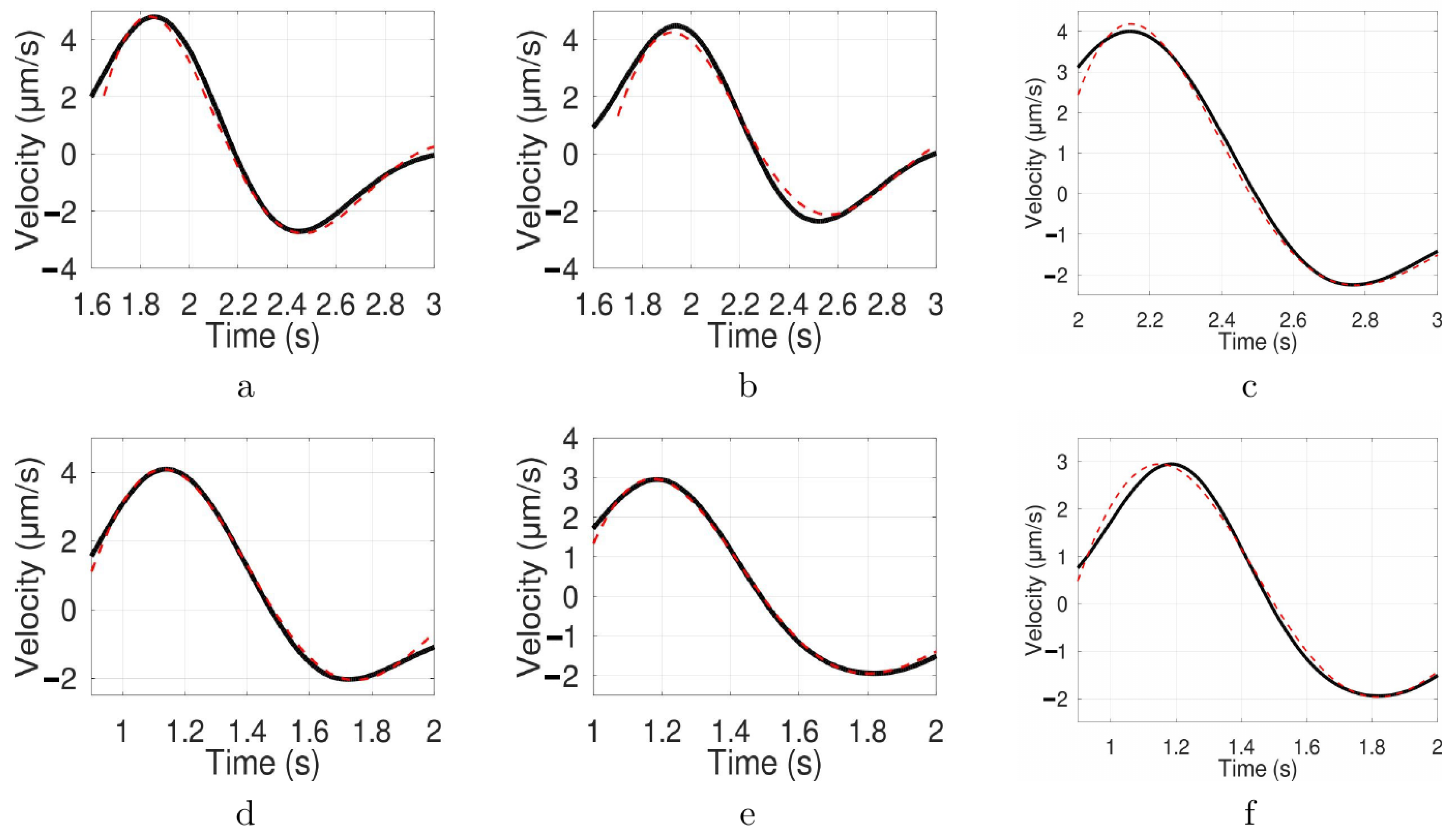
3.1. One-Sheet Array
3.2. Two-Sheet Array
3.3. Three-Sheet Array
3.4. Analytical Discussion
4. Conclusions
Supplementary Materials
Author Contributions
Funding
Data Availability Statement
Acknowledgments
Conflicts of Interest
References
- Proulx, T. Optical Measurements, Modeling, and Metrology, Volume 5, Structural Health Monitoring Using Digital Speckle Photography. In Society for Experimental Mechanics Series; Springer: New York, NY, USA, 2011; Chapter 47; pp. 393–399. [Google Scholar] [CrossRef]
- Kuglin, C.D.; Hines, D.C. The phase correlation image alignment method. In Proceedings of the International Conference on Cybernetics and Society, Palo Alto, CA, USA, 23–25 September 1975; pp. 163–165. Available online: http://boutigny.free.fr/Astronomie/AstroSources/Kuglin-Hines.pdf (accessed on 3 August 2023).
- Chevalier, L.; Calloch, S.; Hild, F.; Marco, Y. Digital image correlation used to analyze the multiaxial behavior of rubber-like materials. Eur. J. Mech. A 2010, 20, 169–187. [Google Scholar] [CrossRef]
- Cintrón, R.; Saouma, V. Strain measurements with digital image correlation system Vic-2D. In Network for Earthquake Engineering Simulation; CU-NEES-08-06; Brown, E.G., Jr., Ed.; Department of Civil Environmental and Architectural Engineering: Boulder, CO, USA, 2008; Available online: https://www.researchgate.net/publication/265230722_Strain_Measurements_with_Digital_Image_Correlation_System_Vic-2D (accessed on 3 August 2023).
- Pradille, C.; Bellet, M.; Chastel, Y. A Laser speckle method for measuring displacement field. Application to resistance heating tensile test on steel. Appl. Mech. Mater. 2010, 24, 135–140. [Google Scholar] [CrossRef]
- Barrière, L.; Cherrier, O.; Passieux, J.-C.; Bouquet, M.; Ferrero, J.-F. 3D Digital Image Correlation Applied to Birdstrike Tests; Institute of Research and Technology Saint Exupery: Toulouse, France, 2015. [Google Scholar]
- Heredia, A.S.; Aguilar, P.A.M.; Villegas, J.A.V. In-plane Displacement Measurement for Analytical Strain Determination. J. Mater. Sci. Eng. 2019, 8, 510. [Google Scholar] [CrossRef]
- Saldaña-Heredia, A.; Martínez-Calzada, V.; Márquez-Aguilar, P.A.; Hernández-Cruz, D. Optical Characterization of a Pendular Impact. Front. Phys. 2020, 8, 329. [Google Scholar] [CrossRef]
- Saldaña-Heredia, A.; Martínez-Calzada, V.; Del Villar-Ramírez, V.U.; Rodríguez-Torres, A. Optical measurement of an impact reaction in a modeled wing. Front. Phys. 2022, 10, 770536. [Google Scholar] [CrossRef]
- Iskander, M. Digital Image Correlation. In Modelling with Transparent Soils; Springer Series in Geomechanics and Geoengineering; Springer: Berlin/Heidelberg, Germany, 2010. [Google Scholar] [CrossRef]
- Niezrecki, C.; Baqersad, J.; Sabato, A. Digital Image Correlation Techniques for NDE and SHM. In Handbook of Advanced Non-Destructive Evaluation; Ida, N., Meyendorf, N., Eds.; Springer: Cham, Switzerland, 2018. [Google Scholar] [CrossRef]
- Reddy, K.T.K.; Koniki, S. Digital image correlation for structural health monitoring—A review. E3S Web Conf. 2021, 309, 01176. [Google Scholar] [CrossRef]
- Mousa, M.A.; Yussof, M.M.; Udi, U.J.; Nazri, F.M.; Kamarudin, M.K.; Parke, G.A.R.; Assi, L.N.; Ghahari, S.A. Application of Digital Image Correlation in Structural Health Monitoring of Bridge Infrastructures: A Review. Infrastructures 2021, 6, 176. [Google Scholar] [CrossRef]
- Fu, G.; Moosa, A.G. An Optical Approach to Structural Displacement Measurement and Its Application. J. Eng. Mech. 2002, 128, 511–520. [Google Scholar] [CrossRef]
- Chu, T.P.; Poudel, A. Digital Image Correlation Techniques for Aerospace Applications; Department of Mechanical Engineering and Energy Processes, Southern Illinois University: Carbondale, IL, USA, 2018; p. 62901. [Google Scholar]
- Kosmann, J.; Völkerink, O.; Schollerer, M.J.; Holzhüter, D.; Hühne, C. Digital image correlation strain measurement of thick adherend shear test specimen joined with an epoxy film adhesive. Int. J. Adhes. Adhes. 2019, 90, 32–37. [Google Scholar] [CrossRef]
- Johansson, M.; Rempling, R.; Sanz, G.; Zanuy, C. Key aspects of digital image correlation in impact tests of reinforced concrete beams. In Proceedings of the Guimaraes 2019: Towards a Resilient Built Environment Risk and Asset Management, Guimarães, Portugal, 27–29 March 2019. Report: 961-968. [Google Scholar]
- Chai, J.; Liu, Y.; Yang, B.Y.; Zhang, D.; Du, W. Application of Digital Image Correlation Technique for the Damage Characteristic of Rock-like Specimens under Uniaxial Compression. Adv. Civ. Eng. 2020, 2020, 8857495. [Google Scholar] [CrossRef]
- Winkler, J.; Duus Hansen, M. Innovative Long-Term Monitoring of the Great Belt Bridge Expansion Joint Using Digital Image Correlation. Struct. Eng. Int. 2018, 28, 347–352. [Google Scholar] [CrossRef]
- Ledford, N.; Paul, H.; Isakov, M.; Hiermaier, S. High rate loading of hybrid joints in a Split Hopkinson Tension Bar. EPJ Web Conf. 2018, 183, 2023. [Google Scholar] [CrossRef][Green Version]
- Souto Janeiro, A.; Fernández López, A.; Chimeno Manguan, M.; Pérez Merino, P. Three Dimensional Digital Image Correlation Based on Speckle Pattern Projection for Non Invasive Vibrational Analysis. Sensors 2022, 22, 9766. [Google Scholar] [CrossRef]
- Timbolmas, C.; Rescalvo, F.J.; Portela, M.; Bravo, R. Analysis of poplar timber finger joints by means of Digital Image Correlation (DIC) and finite element simulation subjected to tension loading. Eur. J. Wood Prod. 2022, 80, 555–567. [Google Scholar] [CrossRef]
- Chaves, C.E.; Fernandez, F.F. A review on aircraft joints design. Aircr. Eng. Aerosp. Technol. 2016, 88, 411–419. [Google Scholar] [CrossRef]
- Bunin, B.L. Critical Joints in Large Composite Primary Aircraft Structures: Volume I—Technical Summary (NASA Contractor Report 3914); Prepared for Langley Research Center under Contract NAS1-16857; Douglas Aircraft Company: Long Beach, CA, USA, 1986. [Google Scholar]
- Li, H.; Li, X.; Yang, Y.; Liu, Y.; Ma, M. Structural Stress Characteristics and Joint Deformation of Shield Tunnels Crossing Active Faults. Appl. Sci. 2022, 12, 3229. [Google Scholar] [CrossRef]
- Hristovska, E.; Stavreva, S. Stress and Deformation Analysis of Joint Plate Depending on Truss Joint Design of Carrying Structure. TEM J. 2021, 10, 892–899. [Google Scholar] [CrossRef]
- Ivan, H.; Iyad, A. Connections and Joints in Precast Concrete Structures. Slovak J. Civ. Eng. 2020, 28, 49–56. [Google Scholar] [CrossRef]
- Santos, M.A.S.; Campilho, R.D.S.G. Experimental and numerical analysis of the fracture envelope of composite adhesive joints. Sci. Technol. Mater. 2018, 30, 131–137. [Google Scholar] [CrossRef]
- Kendall, O.; Paradowska, A.; Abrahams, R.; Reid, M.; Qiu, C.; Mutton, P.; Yan, W. Residual Stress Measurement Techniques for Metal Joints, Metallic Coatings and Components in the Railway Industry: A Review. Materials 2023, 16, 232. [Google Scholar] [CrossRef]
- Laserglow Technologies. LCS-0532 Low-Cost DPSS Laser System; Laserglow Part Number: C53200XSX, Laser Product Datasheet Generated on 2015; Laserglow Technologies: North York, ON, Canada, 2015. [Google Scholar]
- BahaaSaleh, E.A.; Teich, M.C. Fundamentals of Photonics; John Wiley and Sons: Hoboken, NJ, USA, 1991. [Google Scholar]
- Dainty, J.C. Laser Speckle and Related Phenomena; Springer: Berlin/Heidelberg, Germany; New York, NY, USA, 1975. [Google Scholar]
- Qian, J.; Tiwari, P.; Gochhayat, S.P.; Pandey, H.M. A Noble Double-Dictionary-Based ECG Compression Technique for IoTH. IEEE Internet Things J. 2020, 7, 10160–10170. [Google Scholar] [CrossRef]
- Reu, P.L.; Blaysat, B.; Andó, E.; Bhattacharya, K.; Couture, C.; Couty, V.; Deb, D.; Fayad, S.S.; Iadicola, M.A.; Jaminion, S.; et al. DIC Challenge 2.0: Developing Images and Guidelines for Evaluating Accuracy and Resolution of 2D Analyses. Exp. Mech. 2022, 62, 639–654. [Google Scholar] [CrossRef]
- Bidel, Y.; Zahzam, N.; Bresson, A.; Blanchard, C.; Cadoret, M.; Olesen, A.V. Absolute airborne gravimetry with a cold atom sensor. J. Geod. 2020, 94, 20. [Google Scholar] [CrossRef]
- Chu, M.; Nguyen, T.; Pandey, V.; Zhou, Y.; Pham, H.N.; Bar-Yoseph, R.; Radom-Aizik, S.; Jain, R.; Cooper, D.M. Respiration rate and volume measurements using wearable strain sensors. NPJ Digit. Med. 2019, 2, 8. [Google Scholar] [CrossRef] [PubMed]
- Lee, B.; Oh, J.Y.; Cho, H.; Joo, C.W.; Yoon, H.; Jeong, S.; Oh, E.; Byun, J.; Kim, H.; Lee, S.; et al. Ultraflexible and transparent electroluminescent skin for real-time and super-resolution imaging of pressure distribution. Nat. Commun. 2020, 11, 663. [Google Scholar] [CrossRef]
- Amer, K.O.; Elbouz, M.; Alfalou, A.; Brosseau, C.; Hajjami, J. Enhancing underwater optical imaging by using a low-pass polarization filter. Opt. Express 2019, 27, 621–643. [Google Scholar] [CrossRef]
- Kulkarni, R.; Rastogi, P. Simultaneous unwrapping and low pass filtering of continuous phase maps based on autoregressive phase model and wrapped Kalman filtering. Opt. Lasers Eng. 2020, 124, 105826. [Google Scholar]









| Graph | A (μm) | k (Hz) | b | Relative Error | |
|---|---|---|---|---|---|
| a | −0.17 | 5.8 | −0.9 | −0.035 | 1.2% |
| b | −0.17 | 5.8 | −0.9 | −0.035 | 1.2% |
| c | −0.17 | 6 | +1.9 | −0.035 | 1.4% |
| d | −0.5 | 6 | −1.65 | −0.17 | 1.1% |
| e | −0.49 | 5.4 | −1.3 | −0.13 | 0.8% |
| f | −0.48 | 5.8 | −1.7 | −0.17 | 1.2% |
| Graph | A (μm) | k (Hz) | b | Relative Error | ||
|---|---|---|---|---|---|---|
| a | 45 | 4.9 | −1.8 | −1.2 | −0.1 | 1.2% |
| b | 46 | 5 | −1.6 | −1.4 | −0.55 | 1.3% |
| c | 44 | 5 | −1 | −1.8 | −0.75 | 1.5% |
| d | 11 | 5 | −1.45 | −1.55 | −0.6 | 1.1% |
| e | 12.6 | 5.1 | −1.25 | −1.0 | +0.1 | 1% |
| f | 10.5 | 4.9 | −0.9 | −1.0 | −0.3 | 1.2% |
| Graph | A (μm) | k (Hz) | b | Relative Error | ||
|---|---|---|---|---|---|---|
| a | 6.2 | 4.7 | −0.8 | −0.9 | −0.18 | 1 % |
| b | 5.8 | 4.5 | +0.2 | −0.9 | −0.4 | 1.1 % |
| c | 6 | 4.6 | −1.1 | −0.6 | +0.4 | 1 % |
| Graph | A (m) | k (Hz) | b | Relative Error | ||
| d | 1.6 | 4.8 | −2.85 | 1 | 0.8% | |
| e | 1.8 | 5 | +1.5 | +0.75 | 1.2% | |
| f | 1.7 | 5 | −0.75 | −0.1 | 1% | |
| g | 2 | 4.6 | +1.33 | 0.2 | 1.3% | |
| h | 2.1 | 4.6 | −1.55 | 0 | 1.2% | |
| i | 2 | 4.4 | −0.5 | 0.9 | 0.8% |
Disclaimer/Publisher’s Note: The statements, opinions and data contained in all publications are solely those of the individual author(s) and contributor(s) and not of MDPI and/or the editor(s). MDPI and/or the editor(s) disclaim responsibility for any injury to people or property resulting from any ideas, methods, instructions or products referred to in the content. |
© 2023 by the authors. Licensee MDPI, Basel, Switzerland. This article is an open access article distributed under the terms and conditions of the Creative Commons Attribution (CC BY) license (https://creativecommons.org/licenses/by/4.0/).
Share and Cite
Martínez-Calzada, V.; Tapia-Pérez, F.d.J.; Rodríguez-Torres, A.; Saldaña-Heredia, A. Optical Analysis of the Impact Transmission in Steel Sheet Arrays with Bolted-Type Joints. Appl. Sci. 2023, 13, 9275. https://doi.org/10.3390/app13169275
Martínez-Calzada V, Tapia-Pérez FdJ, Rodríguez-Torres A, Saldaña-Heredia A. Optical Analysis of the Impact Transmission in Steel Sheet Arrays with Bolted-Type Joints. Applied Sciences. 2023; 13(16):9275. https://doi.org/10.3390/app13169275
Chicago/Turabian StyleMartínez-Calzada, Víctor, Felipe de Jesús Tapia-Pérez, Adriana Rodríguez-Torres, and Alonso Saldaña-Heredia. 2023. "Optical Analysis of the Impact Transmission in Steel Sheet Arrays with Bolted-Type Joints" Applied Sciences 13, no. 16: 9275. https://doi.org/10.3390/app13169275
APA StyleMartínez-Calzada, V., Tapia-Pérez, F. d. J., Rodríguez-Torres, A., & Saldaña-Heredia, A. (2023). Optical Analysis of the Impact Transmission in Steel Sheet Arrays with Bolted-Type Joints. Applied Sciences, 13(16), 9275. https://doi.org/10.3390/app13169275
