An Efficient Method for the Reliability Evaluation of Power Systems Considering the Variable Photovoltaic Power Output
Abstract
:1. Introduction
2. PV Model of the Power System
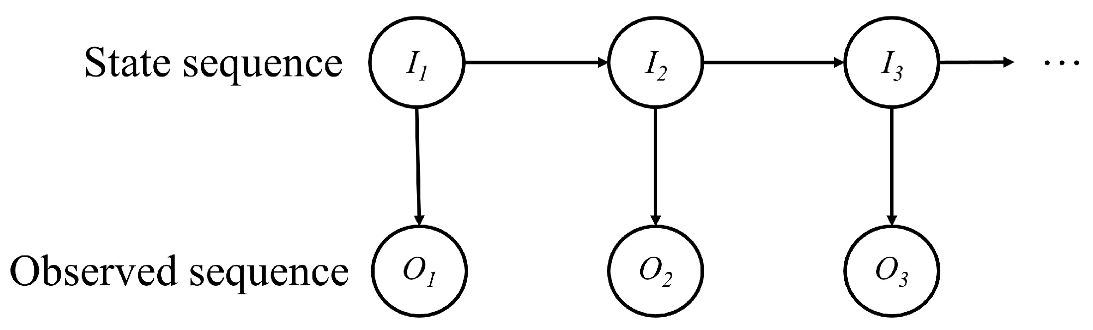
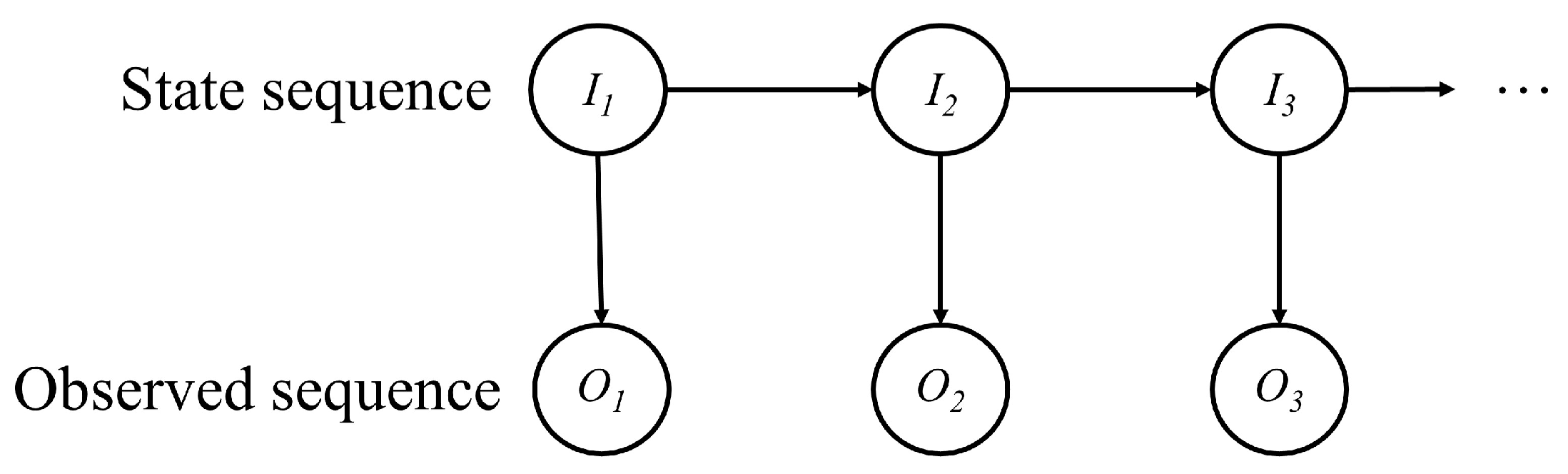
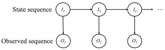
2.1. Definition of the HMM
2.2. The PV Output Modeling Based on GMM-HMM
2.3. Calculation of GMM-HMM Parameters
- (1)
- Set the initial value of the model parameter ;
- (2)
- Step E, construct the Q function so that . Among them, is the expectation of the log-likelihood function on the conditional probability distribution of the hidden variable I under the known observation data O and the current parameter :
- (3)
- Step M: Find the value that maximises and update the model parameter as:
- (4)
- After obtaining the updated model parameters, it is determined whether the parameters satisfy the convergence conditions. If convergence is met, the algorithm terminates. If not, the second step is turned around.
2.4. Estimation of PV Output State Sequence
- (1)
- Initialise , .
- (2)
- Calculate iteratively according to Equations (20) and (21).
- (3)
- Determine if it is iterative to time T. If not, proceed to (2); otherwise, proceed to the next step.
- (4)
- The optimal path is determined by retracing, according to Equation (22).
3. The Dynamic Reliability Evaluation and Critical Component Identification Method for Power System
3.1. Production of Critical State Sets
3.2. Polynomial Chaos Expansion
3.3. Hyperbolic Truncated Polynomial Chaos Expansion Method
3.4. Load Loss Calculation Model
3.5. The Dynamic Reliability Evaluation Model
- (1)
- The potential distribution function of the PV is derived using GMM-HMM.
- (2)
- The S system states with the greatest probability are chosen to compose the critical states set.
- (3)
- For each possible distribution function, all critical states are enumerated, and the analytical function between PV output and reliability levels for each state is determined.
- (1)
- For the current PV output, the Viterbi algorithm is utilised to calculate the corresponding hidden state and GMM-HMM parameters.
- (2)
- The reliability levels of the time are calculated according to the calculated polynomial coefficient.
| Algorithm 1: Dynamic evaluation algorithm of the power system operation reliability | |||
| Input: | PV historical output, PV forecast output, system parameter. | ||
| Output: | The mean value of operation reliability levels. | ||
| Step1 | Set the number of hidden states N. | ||
| Step2 | Using the GMM-HMM, the potential distribution function of the PV is derived. | ||
| Step3 | Generating critical state set. | ||
| Step4 | for i = 1:N do | ||
| Step5 | for j = 1:S do | ||
| Step6 | Generate collocation points by sampling the Latin hypercube of the standard normal distribution. | ||
| Step7 | The Nataf transformation generates the PV output value that corresponds to the collocation point. | ||
| Step8 | Calculate the OPF to figure out the reliability levels value. | ||
| Step9 | Compute the coefficients of chaotic polynomials Yij. | ||
| Step10 | end for | ||
| Step11 | end for | ||
| Step12 | for t = 1:T do | ||
| Step13 | Calculate the hidden state I(t) that corresponds to the actual PV output at time t using the Viterbi algorithm. | ||
| Step14 | Select the polynomial coefficients according to I(t). | ||
| Step15 | Transform the output of the PV at time t using the Nataf transformation into the value of the standard normal distribution. | ||
| Step16 | Calculate the reliability levels at time t. | ||
| Step17 | end for | ||
| Step18 | Calculate the mean value of reliability levels. | ||
3.6. The Critical Component Identification Model
- (1)
- The unreliability of the system is attributable to the faulty components; the normal operation components do not contribute to the allocation of system reliability levels.
- (2)
- Component allocation is proportional to the system reliability levels.
4. Example Analysis
4.1. Example Setting
- (1)
- Enumerate the PV output sequence.
- (2)
- Enumerate the system critical states at time t.
- (3)
- Calculate the reliability levels of the power system.
4.2. The Comparison of the Reliability Evaluation Results
4.3. The Critical Component Identification Results
5. Conclusions
- (1)
- The distribution characteristics of PV output are modelled using GMM-HMM, and the model is able to reflect the correlation of PV output more accurately.
- (2)
- On the basis of SE and PCE methods, the analytical function relationship between the PV output and the operation reliability levels of the power system is established. This eliminates the repeated calculation of the OPF model when the PV output varies and realises the dynamic operation reliability evaluation of the new energy power system as the PV output varies in real time. Compared to the SE method of the same order, the proposed method drastically reduces calculation time under the assumption that the error is insignificant.
- (3)
- This paper also examines the effectiveness of the HTPCE method in the proposed dynamic reliability evaluation. The HTPCE method can effectively minimise the time required during offline model training.
Author Contributions
Funding
Institutional Review Board Statement
Informed Consent Statement
Data Availability Statement
Conflicts of Interest
References
- The Construction and Operation of Photovoltaic Power Generation in 2022. Available online: http://www.nea.gov.cn/2023-02/17/c_1310698128.htm?eqid=8a153e5b000ab71b00000003642fbead (accessed on 2 June 2023).
- Chen, X.; Tang, J.; Li, W. Probabilistic Operational Reliability of Composite Power Systems Considering Multiple Meteorological Factors. IEEE Trans. Power Syst. 2020, 35, 85–97. [Google Scholar] [CrossRef]
- Garip, S.; Özdemir, Ş.; Altin, N. Power System Reliability Assessment—A Review on Analysis and Evaluation Methods. J. Energy Syst. 2022, 6, 401–419. [Google Scholar] [CrossRef]
- Liu, Z.; Hou, K.; Jia, H.; Zhao, J.; Wang, D.; Mu, Y.; Zhu, L. A Lagrange Multiplier Based State Enumeration Reliability Assessment for Power Systems with Multiple Types of Loads and Renewable Generations. IEEE Trans. Power Syst. 2021, 36, 3260–3270. [Google Scholar] [CrossRef]
- Al-Shaalan, A.M. Contingency selection and ranking for composite power system reliability evaluation. J. King Saud Univ.-Eng. Sci. 2020, 32, 141–147. [Google Scholar] [CrossRef]
- Ding, T.; Li, C.; Yan, C.; Li, F.; Bie, Z. A Bilevel Optimization Model for Risk Assessment and Contingency Ranking in Transmission System Reliability Evaluation. IEEE Trans. Power Syst. 2017, 32, 3803–3813. [Google Scholar] [CrossRef]
- Yang, W.; Cao, M.; Ge, P.; Hu, B.; Qu, G.; Xie, K.; Cheng, X.; Peng, L.; Yan, J.; Li, Y. Risk-Oriented Renewable Energy Scenario Clustering for Power System Reliability Assessment and Tracing. IEEE Access 2020, 8, 183995–184003. [Google Scholar] [CrossRef]
- Li, N.; Zhu, Z.; Li, M.; Lin, Y.; Wang, X.; Liu, Q. Research on reliability evaluation of power system including improved Monte Carlo and parallel calculation. In Proceedings of the 2017 2nd International Conference on Power and Renewable Energy (ICPRE), Chengdu, China, 20–23 September 2017; pp. 534–538. [Google Scholar] [CrossRef]
- Yin, Q.; Miao, J.; Zhang, X.; Lu, D. A method for evaluating the reliability of transformer area based on Markov Chain Monte Carlo. Electrotech. Electr. 2021, 4, 7–11. [Google Scholar]
- Cai, J.; Hao, L.; Zhang, K. Non-parametric stratified importance sampling method for reliability evaluation of power system with renewable energy. Autom. Electr. Power Syst. 2022, 46, 104–115. [Google Scholar]
- Li, X.; Sun, T.; Hou, K.; Jiang, T.; Li, G.; Chen, H.; Jia, H. N-k security assessment and screening for large-scale random equipment faults in bulk power grid under extreme weather. Proc. CSEE 2020, 40, 5113–5126. [Google Scholar]
- Li, H. Statistical Learning Methods; Tsinghua University Press: Beijing, China, 2012. [Google Scholar]
- Celler, B.G.; Le, P.N.; Argha, A.; Ambikairajah, E. GMM-HMM-Based Blood Pressure Estimation Using Time-Domain Features. IEEE Trans. Instrum. Meas. 2020, 69, 3631–3641. [Google Scholar] [CrossRef]
- Bilmes, J.A. A Gentle Tutorial of the EM Algorithm and Its Application to Parameter Estimation for Gaussian Mixture and Hidden Markov Models; International Computer Science Institute: Berkeley, CA, USA, 1998. [Google Scholar]
- Jia, Y.; Yan, Z. An Improving Fast Sorting Technique for Generating System Reliability Evaluation. Power Syst. Technol. 2010, 34, 144–148. [Google Scholar] [CrossRef]
- Xiong, F.F.; Chen, J.T.; Ren, C.K.; Zhang, L.; Li, Z.X. Recent advances in polynomial chaos method for uncertainty propagation. Chin. J. Ship Res. 2021, 16, 19–36. [Google Scholar]
- Su, H.; Dong, X. Probabilistic power flow calculation of power system considering wind power based on improved stochastic response surface method. Acta Energiae Solaris Sin. 2021, 42, 289–296. [Google Scholar] [CrossRef]
- Hosder, S.; Walters, R.W.; Balch, M. Efficient sampling for non-intrusive polynomial chaos applications with multiple uncertain input variables. In Proceedings of the 48th AIAA/ASME/ASCE/AHS/ASC Structures, Structural Dynamics, and Materials Conference, Honolulu, HI, USA, 23–26 April 2007. [Google Scholar]
- Lu, D.-G. First order reliability method based on linearized Nataf transformation. Eng. Mech. 2007, 24, 79–86+124. [Google Scholar]
- Solar Power Generation. Available online: https://www.elia.be/en/grid-data/power-generation/solar-pv-power-generation-data (accessed on 3 June 2023).






| Methods | err | (GWh/Year) | Offline Time (s) |
|---|---|---|---|
| PCEN=1 | 49.85% | 132.76 | 2694.38 |
| PCEN=2 | 11.63% | 182.39 | 5440.85 |
| PCEN=3 | 3.47% | 176.68 | 8036.20 |
| PCEN=4 | 2.29% | 172.68 | 10,918.72 |
| PCEN=5 | 0.40% | 173.82 | 13,589.80 |
| PCEN=6 | 0.81% | 172.97 | 20,312.98 |
| SE | - | 174.1 | 34,587.58 |
| Methods | err | (GWh/Year) | Offline Time/s | Online Time/s |
|---|---|---|---|---|
| PCEN=5 | 0.40% | 173.82 | 13,589.80 | 0.130 |
| HTPCEN=5 | 0.92% | 173.58 | 11,869.97 | 0.113 |
| SE | - | 174.1 | 34,587.58 | 360.29 |
| No. | Componet | No. | Componet | No. | Componet | No. | Componet | No. | Componet |
|---|---|---|---|---|---|---|---|---|---|
| 1 | branch1–2 | 11 | branch6–9 | 21 | branch16–17 | 31 | branch22–24 | 41 | branch6–28 |
| 2 | branch1–3 | 12 | branch6–10 | 22 | branch15–18 | 32 | branch23–24 | 42 | unit of bus 1 |
| 3 | branch2–4 | 13 | branch9–11 | 23 | branch18–19 | 33 | branch24–25 | 43 | unit of bus 2 |
| 4 | branch3–4 | 14 | branch9–10 | 24 | branch19–20 | 34 | branch25–26 | 44 | unit of bus 5 |
| 5 | branch2–5 | 15 | branch4–12 | 25 | branch10–20 | 35 | branch25–27 | 45 | unit of bus 8 |
| 6 | branch2–6 | 16 | branch12–13 | 26 | branch10–17 | 36 | branch28–27 | 46 | unit of bus 11 |
| 7 | branch4–6 | 17 | branch12–14 | 27 | branch10–21 | 37 | branch27–29 | 47 | unit of bus 13 |
| 8 | branch5–7 | 18 | branch12–15 | 28 | branch10–22 | 38 | branch27–30 | 48 | PV of bus 12 |
| 9 | branch6–7 | 19 | branch12–16 | 29 | branch21–22 | 39 | branch29–30 | 49 | PVof bus 22 |
| 10 | branch6–8 | 20 | branch14–15 | 30 | branch15–23 | 40 | branch8–28 |
Disclaimer/Publisher’s Note: The statements, opinions and data contained in all publications are solely those of the individual author(s) and contributor(s) and not of MDPI and/or the editor(s). MDPI and/or the editor(s) disclaim responsibility for any injury to people or property resulting from any ideas, methods, instructions or products referred to in the content. |
© 2023 by the authors. Licensee MDPI, Basel, Switzerland. This article is an open access article distributed under the terms and conditions of the Creative Commons Attribution (CC BY) license (https://creativecommons.org/licenses/by/4.0/).
Share and Cite
He, H.; Guo, L.; Han, P.; Shao, C.; Xu, T. An Efficient Method for the Reliability Evaluation of Power Systems Considering the Variable Photovoltaic Power Output. Appl. Sci. 2023, 13, 9053. https://doi.org/10.3390/app13169053
He H, Guo L, Han P, Shao C, Xu T. An Efficient Method for the Reliability Evaluation of Power Systems Considering the Variable Photovoltaic Power Output. Applied Sciences. 2023; 13(16):9053. https://doi.org/10.3390/app13169053
Chicago/Turabian StyleHe, Haojie, Liweiyong Guo, Peidong Han, Changzheng Shao, and Tan Xu. 2023. "An Efficient Method for the Reliability Evaluation of Power Systems Considering the Variable Photovoltaic Power Output" Applied Sciences 13, no. 16: 9053. https://doi.org/10.3390/app13169053
APA StyleHe, H., Guo, L., Han, P., Shao, C., & Xu, T. (2023). An Efficient Method for the Reliability Evaluation of Power Systems Considering the Variable Photovoltaic Power Output. Applied Sciences, 13(16), 9053. https://doi.org/10.3390/app13169053
