Seismic Response and Recentering Behavior of Reinforced Concrete Frames: A Parametric Study
Abstract
1. Introduction
2. Modeling Assumptions
3. Model Validation
4. Parametric Study
4.1. Selection of Parameter Ranges
- = (0.05; 0.20; 0.40; 0.60; 0.80);
- = (1%; 2%; 3%; 4%);
- = (0.40%; 0.80%; 1.20%; 1.60%).
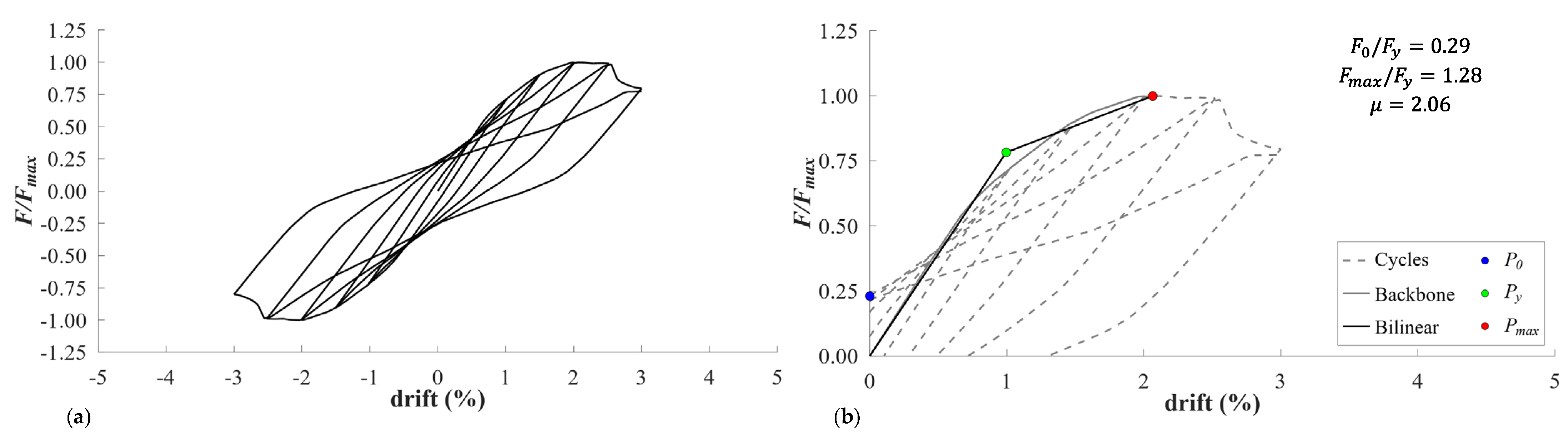
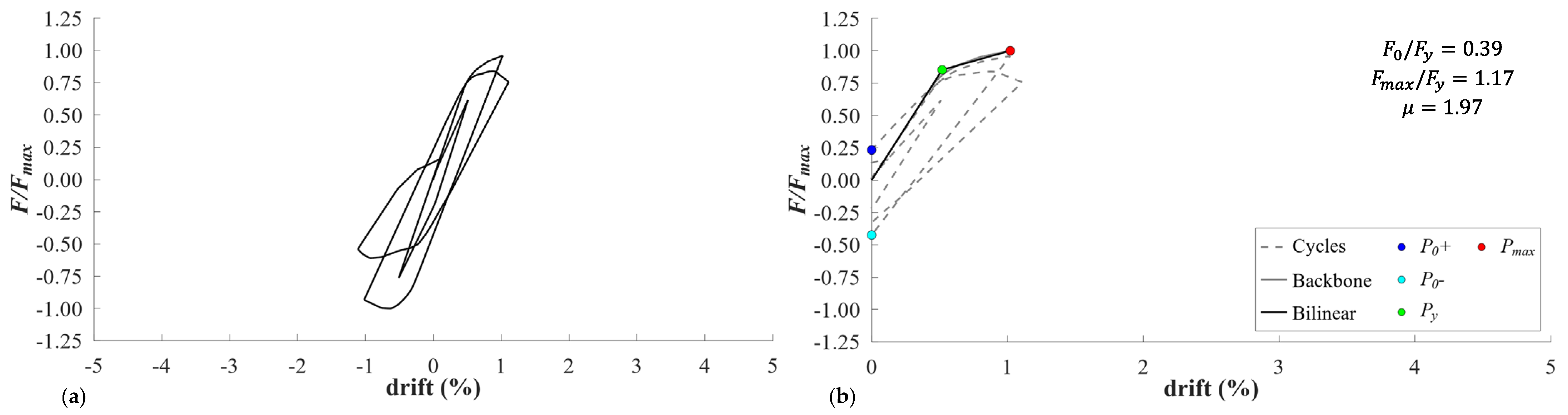
4.2. Results in Terms of Force–Drift Curves
4.3. Three-Dimensional Surface and Contour Plots of Synthetic Behavioral Indexes
- (1)
- The recentering index is much more sensitive to the than to the longitudinal and transverse reinforcement. In particular, for given and values, variations up to 100% of the parameter are observed by spanning the range of investigated. Such variations are more marked for low amounts of steel reinforcement (see, e.g., the variability of corresponding to and shown in the left part of Figure 11) and tend to diminish for higher amounts of steel reinforcement. The peak values of (poorest recentering behavior) are generally observed in the range of , which characterizes most of the RC column configurations encountered in the existing buildings. The sensitivity of with respect to is relatively modest, while the presence of higher amounts of transverse reinforcement slightly increases the recentering index. It is worth noting that these trends consistently reflect, at a structural (macroscopic) scale, the empirical relationships expressed at the material (microscopic) level by the calibration parameters of the pivot model derived by Sharma et al. [12] and reported in Equations (3)–(6).
- (2)
- The hardening index is instead more correlated (than ) with the longitudinal reinforcement since, as reasonably expected, higher values of lead to an increase in the overall flexural capacity of the RC frame. The peak values of the parameter are identified in a range of the value that somehow depends on the transverse reinforcement, i.e., it is close to for lower amounts of transverse reinforcement () and close to for higher amounts (). This indicates that there is a reciprocal influence between the hardening behavior and the loading condition in terms of axial load, as reasonably expected.
- (3)
- The deformation capacity of the RC frame is expressed in this work by the ductility index . As reasonably expected, higher values of are observed for lower value scenarios, which correspond to the flexural failures being dominated by the steel reinforcement that is largely yielded due to the high value of the ultimate curvature (resulting from a small value of neutral axis depth). Moreover, the increase in the transverse reinforcement leads to higher confinement effects in the RC columns, which, in turn, are beneficial in terms of ductility. This is reflected in the larger values of observed for compared with those obtained for for comparable values of . The influence of on is rather negligible in the entire range of the parameters explored, apart from very low values of (0.05–0.15), where higher amounts of longitudinal reinforcement may generate more brittle failure modes associated with lower values of .






5. Nonlinear Time History Analysis on a Multi-Story RC Building
6. Conclusions
- 1.
- The cyclic behavior of the RC frames has been described by a backbone branch enveloping the peaks for each cycle of the cyclic pushover analysis and then idealized through a bilinear curve with hardening. The unloading residual force has also been incorporated in the parametric study to investigate the recentering behavior of the RC frames related to the possible pinching effects of the existing RC structures with poor construction details.
- 2.
- The inelastic behavior of the RC frames can be described synthetically by means of three behavioral indexes, namely a recentering index, a hardening index, and a ductility index, whose trends have been described in this work through 3D surface and contour plots. These indexes were able to describe the backbone as well as the hysteretic behavior of the RC frame as a whole, depending on the axial load ratio , longitudinal reinforcement percentage , and volumetric transverse reinforcement percentage of each story level.
- 3.
- The recentering index was much more sensitive to the than to the longitudinal and transverse reinforcement. The variations were more marked for low amounts of steel reinforcement and tended to diminish for higher amounts of steel reinforcement. The poorest recentering behavior was generally observed in a range of , which characterized most of the RC column configurations encountered in existing buildings.
- 4.
- The hardening index was highly correlated with the longitudinal reinforcement since, as reasonably expected, higher values of led to an increase in the overall flexural capacity of the RC frame. A reciprocal influence between the hardening behavior and the loading condition in terms of axial load has been detected in the analyses, as the peak values of the hardening index were identified in a range of values that somehow depended on the transverse reinforcement.
- 5.
- The deformation capacity of the RC frame, expressed by the ductility index, was higher for lower scenarios. Moreover, the increase in the transverse reinforcement led to higher confinement effects in the RC columns, and this trend was consistently reflected in the numerical results obtained in the parametric study.
- 6.
- The estimates of the behavioral indexes reported in the contour plots of the parametric study were compared with the actual values obtained from the NTHAs on an eight-story building representative of the substandard RC frames built in the 1960s–1970s in Italy. The excellent agreement between the two sets of results has emphasized the usefulness of the constructed 3D surface and contour plots in predicting the seismic response and recentering behavior of a generic RC building, depending on the actual mechanical parameters of the RC sections at each story level, thus highlighting the importance of this parametric study for practical design purposes.
Author Contributions
Funding
Institutional Review Board Statement
Informed Consent Statement
Data Availability Statement
Conflicts of Interest
References
- Gurbuz, T.; Cengiz, A.; Kolemenoglu, S.; Demir, C.; Ilki, A. Damages and failures of structures in Izmir (Turkey) during the October 30, 2020 Aegean Sea earthquake. J. Earthq. Eng. 2023, 27, 1565–1606. [Google Scholar] [CrossRef]
- Aynur, S.; Atalay, H.M. Comparative analysis of existing reinforced concrete buildings damaged at different levels during past earthquakes using rapid assessment methods. Struct. Eng. Mech. 2023, 85, 793. [Google Scholar]
- Monteiro, R.; Araújo, M.; Delgado, R.; Marques, M. Modeling considerations in seismic assessment of RC bridges using state-of-practice structural analysis software tools. Front. Struct. Civ. Eng. 2018, 12, 109–124. [Google Scholar] [CrossRef]
- Salgado, R.A.; Guner, S. A comparative study on nonlinear models for performance-based earthquake engineering. Eng. Struct. 2018, 172, 382–391. [Google Scholar] [CrossRef]
- Bruschi, E.; Calvi, P.M.; Quaglini, V. Concentrated plasticity modelling of RC frames in time-history analyses. Eng. Struct. 2021, 243, 112716. [Google Scholar] [CrossRef]
- Mazza, F. A distributed plasticity model to simulate the biaxial behaviour in the nonlinear analysis of spatial framed structures. Comput. Struct. 2014, 135, 141–154. [Google Scholar] [CrossRef]
- De Domenico, D.; Messina, D.; Recupero, A. Seismic vulnerability assessment of reinforced concrete bridge piers with corroded bars. Struct. Concr. 2023, 24, 56–83. [Google Scholar] [CrossRef]
- Takeda, T.; Sozen, M.A.; Nielsen, N.N. Reinforced concrete response to simulated earthquakes. J. Struct. Div. 1970, 96, 2557–2573. [Google Scholar] [CrossRef]
- Sezen, H.; Chowdhury, T. Hysteretic model for reinforced concrete columns including the effect of shear and axial load failure. J. Struct. Eng. 2009, 135, 139–146. [Google Scholar] [CrossRef]
- Jiang, Y.; Saiidi, M. Four-spring element for cyclic response of R/C columns. J. Struct. Eng. 1990, 116, 1018–1029. [Google Scholar] [CrossRef]
- Dowell, R.K.; Seible, F.; Wilson, E.L. Pivot Hysteresis Model for Reinforced Concrete Members. ACI Struct. J. 1998, 95, 607–617. [Google Scholar]
- Sharma, A.; Eligehausen, R.; Reddy, G.R. Pivot Hysteresis Model Parameters for Reinforced Concrete Columns, Joints, and Structures. ACI Struct. J. 2013, 110, 217–227. [Google Scholar]
- Scott, M.H.; Fenves, G.L. Plastic hinge integration methods for force-based beam–column elements. J. Struct Eng. 2006, 132, 244–252. [Google Scholar] [CrossRef]
- Mazzoni, S.; McKenna, F.; Scott, M.H.; Fenves, G.L. OpenSees command language manual. Pac. Earthq. Eng. Res. (PEER) Cent. 2006, 264, 137–158. [Google Scholar]
- Seismosoft. “SeismoStruct—A Computer Program for Static and Dynamic Nonlinear Analysis of Framed Structures”. 2023. Available online: http://www.seismosoft.com (accessed on 23 May 2023).
- Computers and Structures, Inc. (CSI). Analysis Reference Manual for SAP2000; CSI: Berkeley, CA, USA, 2022. [Google Scholar]
- Consiglio Superiore dei Lavori Pubblici (CSLLPP). Aggiornamento delle Norme Tecniche per le Costruzioni; CSLLPP: Rome, Italy, 2018.
- Consiglio Superiore dei Lavori Pubblici (CSLLPP). Istruzioni per L’applicazione Dell’aggiornamento delle Norme Tecniche per le Costruzioni; CSLLPP: Rome, Italy, 2019.
- Mander, J.B.; Priestley, M.J.N.; Park, R. Theoretical Stress-Strain Model for Confined Concrete. J. Struct. Eng. 1988, 114, 1804–1826. [Google Scholar] [CrossRef]
- Comité Euro-International du Béton (CEB). CEB-FIP Model Code 1990: Design Code; CEB T. Telford: London, UK, 1993. [Google Scholar]
- Lee, C.-H.; Ryu, J.; Kim, D.-H.; Ju, Y.K. Improving seismic performance of non-ductile reinforced concrete frames through the combined behavior of friction and metallic dampers. Eng. Struct. 2018, 172, 304–320. [Google Scholar] [CrossRef]
- Masi, A.; Vona, M. Vulnerability assessment of gravity-load designed RC buildings: Evaluation of seismic capacity through non-linear dynamic analyses. Eng. Struct. 2012, 45, 257–269. [Google Scholar] [CrossRef]
- Consiglio Superiore dei Lavori Pubblici (CSLLPP). Norme Tecniche Alle Quali Devono Uniformarsi le Costruzioni in Conglomerato Cementizio, Normale e Precompresso ed a Struttura Metallica; CSLLPP: Rome, Italy, 1972.
- EN1998-1:2004; Eurocode 8: Design of Structures for Earthquake Resistance. General Rules, Seismic Actions and Rules for Buildings. CEN (European Committee for Standardisation: Brussels, Belgium, 2004.
- Bagheri, H.; Hashemi, A.; Yousef-Beik, S.M.M.; Zarnani, P.; Quenneville, P. New self-centering tension-only brace using resilient slip-friction joint: Experimental tests and numerical analysis. J. Struct. Eng. 2020, 146, 04020219. [Google Scholar] [CrossRef]


















| Experiment | Numerical Model | Relative Error (%) | |
|---|---|---|---|
| (+) (kN) | 300.6 | 299.3 | 0.4 |
| (−) (kN) | 294.0 | 295.9 | 0.6 |
| (+) (kN) | 26.7 | 26.4 | 1.1 |
| (−) (kN) | 30.4 | 30.1 | 1.0 |
| (kJ) | 27.2 | 26.6 | 2.2 |
| Prototype RC Frame | Point | (mm) | (kN) | ||
|---|---|---|---|---|---|
| 0 | 26.4 | ||||
| (−) | (−) | (−) | 30 | 283.3 | |
| 0.09 | 1.06 | 2.17 | 65 | 299.3 | |
| Material | Parameter | Value |
|---|---|---|
| Concrete C20/25 | Cubic characteristic strength | = 25 MPa |
| Cylindrical characteristic strength | = 20 MPa | |
| Cylindrical average strength | = 28 MPa | |
| Ultimate deformation | = 0.5% | |
| Reinforcing steel A38 | Characteristic yielding strength | = 380 MPa |
| Average yielding strength | = 400 MPa | |
| Ultimate deformation | = 2.0% |
Disclaimer/Publisher’s Note: The statements, opinions and data contained in all publications are solely those of the individual author(s) and contributor(s) and not of MDPI and/or the editor(s). MDPI and/or the editor(s) disclaim responsibility for any injury to people or property resulting from any ideas, methods, instructions or products referred to in the content. |
© 2023 by the authors. Licensee MDPI, Basel, Switzerland. This article is an open access article distributed under the terms and conditions of the Creative Commons Attribution (CC BY) license (https://creativecommons.org/licenses/by/4.0/).
Share and Cite
De Domenico, D.; Gandelli, E.; Gioitta, A. Seismic Response and Recentering Behavior of Reinforced Concrete Frames: A Parametric Study. Appl. Sci. 2023, 13, 8549. https://doi.org/10.3390/app13148549
De Domenico D, Gandelli E, Gioitta A. Seismic Response and Recentering Behavior of Reinforced Concrete Frames: A Parametric Study. Applied Sciences. 2023; 13(14):8549. https://doi.org/10.3390/app13148549
Chicago/Turabian StyleDe Domenico, Dario, Emanuele Gandelli, and Alberto Gioitta. 2023. "Seismic Response and Recentering Behavior of Reinforced Concrete Frames: A Parametric Study" Applied Sciences 13, no. 14: 8549. https://doi.org/10.3390/app13148549
APA StyleDe Domenico, D., Gandelli, E., & Gioitta, A. (2023). Seismic Response and Recentering Behavior of Reinforced Concrete Frames: A Parametric Study. Applied Sciences, 13(14), 8549. https://doi.org/10.3390/app13148549

