Research on Multi-Sensor Simultaneous Localization and Mapping Technology for Complex Environment of Construction Machinery
Abstract
Featured Application
Abstract
1. Introduction
2. Overview of the System
3. LiDAR-Inertial odometry
3.1. LiDAR Odometry
3.2. IMU Preintegration
3.3. Loop Closure Detection
4. Visual-Inertial Odometry
4.1. Visual Odometry
4.2. Inertial Measurement and Initialization
4.3. Optimization of Visual-Inertial Systems
4.3.1. Position Optimization
4.3.2. Marginalization
5. Real Vehicle Experiments and Analysis of Results
5.1. Establishment of Experimental Platform
5.2. Collection of Private Datasets
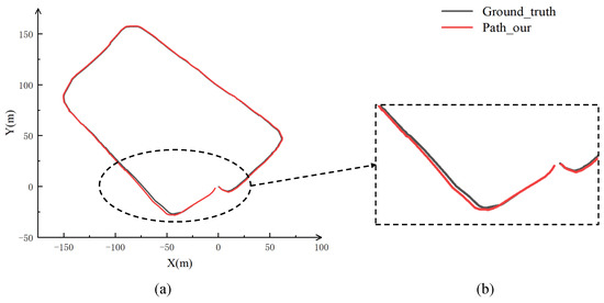
5.3. Experimental Results and Analysis
6. Conclusions
Author Contributions
Funding
Institutional Review Board Statement
Informed Consent Statement
Data Availability Statement
Conflicts of Interest
References
- Graeter, J.; Wilczynski, A.; Lauer, M. Limo: Lidar-monocular visual odometry. In Proceedings of the IEEE/RSJ International Conference on Intelligent Robots and Systems (IROS), Madrid, Spain, 1–5 October 2018; pp. 7872–7879. [Google Scholar] [CrossRef]
- Shin, Y.; Park, Y.S.; Kim, A. Dvl-slam: Sparse depth enhanced direct visual-lidar slam. Auton. Robot. 2020, 44, 115–130. [Google Scholar] [CrossRef]
- Shin, Y.; Park, Y.S.; Kim, A. Direct visual slam using sparse depth for camera-lidar system. In Proceedings of the IEEE International Conference on Robotics and Automation (ICRA), Brisbane, Australia, 21–25 May 2018; pp. 5144–5151. [Google Scholar] [CrossRef]
- Silva, V.D.; Roche, J.; Kondoz, A. Fusion of lidar and camera sensor data for environment sensing in driverless vehicles. arXiv 2017, arXiv:1710.06230. [Google Scholar]
- Scherer, S.; Rehder, J.; Achar, S.; Cover, H.; Chambers, A.; Nuske, S.; Singh, S. River mapping from a flying robot: State estimation, river detection, and obstacle mapping. Auton. Robot. 2012, 33, 189–214. [Google Scholar] [CrossRef]
- Huang, K.; Xiao, J.; Stachniss, C. Accurate direct visual-laser odometry with explicit occlusion handling and plane detection. In Proceedings of the International Conference on Robotics and Automation (ICRA), Montreal, QC, Canada, 20–24 May 2019; pp. 1295–1301. [Google Scholar] [CrossRef]
- Zhang, J.; Singh, S. Visual-lidar odometry and mapping: Low-drift, robust, and fast. In Proceedings of the IEEE International Conference on Robotics and Automation (ICRA), Seattl, WA, USA, 26–30 May 2015; pp. 2174–2181. [Google Scholar] [CrossRef]
- Wang, W.; Liu, J.; Wang, C.; Luo, B.; Zhang, C. Dv-loam: Direct visual lidar odometry and mapping. Remote Sens. 2021, 13, 3340. [Google Scholar] [CrossRef]
- Forster, C.; Pizzoli, M.; Scaramuzza, D. Svo: Fast semi-direct monocular visual odometry. In Proceedings of the IEEE International Conference on Robotics and Automation (ICRA), Hong Kong, China, 31 May–7 June 2014; pp. 15–22. [Google Scholar] [CrossRef]
- Zuo, X.; Geneva, P.; Lee, W.; Liu, Y.; Huang, G. Lic-fusion: Lidar-inertial-camera odometry. In Proceedings of the IEEE/RSJ International Conference on Intelligent Robots and Systems (IROS), Macau, China, 4–8 November 2019; pp. 5848–5854. [Google Scholar] [CrossRef]
- Zuo, X.; Yang, Y.; Geneva, P.; Lv, J.; Liu, Y.; Huang, G.; Pollefeys, M. Lic-fusion 2.0: Lidar-inertial-camera odometry with sliding-window plane-feature tracking. In Proceedings of the IEEE/RSJ International Conference on Intelligent Robots and Systems (IROS), Las Vegas, NV, USA, 25–29 October 2020; pp. 5112–5119. [Google Scholar] [CrossRef]
- Shan, T.; Englot, B.; Ratti, C.; Ru, D.S. Lvi-sam: Tightly-coupled lidar-visual-inertial odometry via smoothing and mapping. In Proceedings of the IEEE international conference on robotics and automation (ICRA), Xi’an, China, May 30–5 June 2021; pp. 5692–5698. [Google Scholar] [CrossRef]
- Lin, J.; Zheng, C.; Xu, W.; Zhang, F. R2 live: A robust, real-time, lidar-inertial-visual tightly-coupled state estimator and mapping. IEEE Robot. Autom. Lett. 2021, 6, 7469–7476. [Google Scholar] [CrossRef]
- Xu, W.; Cai, Y.; He, D.; Lin, J.; Zhang, F. Fast-lio2: Fast direct lidar-inertial odometry. IEEE Trans. Robot. 2022, 38, 2053–2073. [Google Scholar] [CrossRef]
- Hess, W.; Kohler, D.; Rapp, H.; Andor, D. Real-time loop closure in 2d lidar slam. In Proceedings of the IEEE International Conference on Robotics and Automation (ICRA), Stockholm, Sweden, 16–21 May 2016; pp. 1271–1278. [Google Scholar] [CrossRef]
- Nagla, S. 2d hector slam of indoor mobile robot using 2d lidar. In Proceedings of the International Conference on Power, Energy, Control and Transmission Systems (ICPECTS), Chennai, India, 10–11 December 2020; pp. 1–4. [Google Scholar] [CrossRef]
- Lin, J.; Zhang, F. Loam livox: A fast, robust, high-precision lidar odometry and mapping package for lidars of small fov. In Proceedings of the IEEE International Conference on Robotics and Automation (ICRA), Paris, France, 31 May–31 August 2020; pp. 3126–3131. [Google Scholar] [CrossRef]
- Ji, Z.; Singh, S. Loam: Lidar odometry and mapping in real-time. In Proceedings of the Robotics: Science and Systems Conference, Berkeley, CA, USA, 13–15 July 2014. [Google Scholar]
- Shan, T.; Englot, B. Lego-loam: Lightweight and ground-optimized lidar odometry and mapping on variable terrain. In Proceedings of the IEEE/RSJ International Conference on Intelligent Robots and Systems (IROS), Madrid, Spain, 3–5 October 2019. [Google Scholar] [CrossRef]
- Wang, Z.; Zhang, L.; Shen, Y.; Zhou, Y. D-liom: Tightly-coupled direct lidar-inertial odometry and mapping. IEEE Trans. Multimed. 2022. [Google Scholar] [CrossRef]
- Shan, T.; Englot, B.; Meyers, D.; Wang, W.; Rus, D. Lio-sam: Tightly-coupled lidar inertial odometry via smoothing and mapping. In Proceedings of the IEEE/RSJ International Conference on Intelligent Robots and Systems (IROS), Las Vegas, NV, USA, 24 October 2020–24 January 2021. [Google Scholar] [CrossRef]
- Xu, W.; Zhang, F. Fast-lio: A fast, robust lidar-inertial odometry package by tightly-coupled iterated kalman filter. IEEE Robot. Autom. Lett. 2021, 6, 3317–3324. [Google Scholar] [CrossRef]
- Kaess, M.; Johannsson, H.; Roberts, R.; Ila, V.; Leonard, J.J.; Dellaert, F. isam2: Incremental smoothing and mapping using the bayes tree. Int. J. Robot. Res. 2012, 31, 216–235. [Google Scholar] [CrossRef]
- Segal, A.; Hhnel, D.; Thrun, S. Generalized-icp. In Proceedings of the Robotics: Science and Systems V, University of Washington, Seattle, WA, USA, 28 June–1 July 2009. [Google Scholar]
- Zhang, J.; Singh, S. Low-drift and real-time lidar odometry and mapping. Auton. Robot. 2017, 41, 401–416. [Google Scholar] [CrossRef]
- Tong, Q.; Li, P.; Shen, S. Vins-mono: A robust and versatile monocular visual-inertial state estimator. IEEE Trans. Robot. 2018, 34, 1004–1020. [Google Scholar] [CrossRef]
- Forster, C.; Carlone, L.; Dellaert, F.; Scaramuzza, D. Imu Preintegration on Manifold for Efficient Visual-Inertial Maximum-a-Posteriori Estimation (Supplementary Material); Georgia Institute of Technology: Atlanta, GA, USA, 2015. [Google Scholar]
- Carlone, L.; Kira, Z.; Beall, C.; Indelman, V.; Dellaert, F. Eliminating conditionally independent sets in factor graphs: A unifying perspective based on smart factors. In Proceedings of the IEEE International Conference on Robotics and Automation (ICRA), Hong Kong, China, 31 May–7 June 2014. [Google Scholar] [CrossRef]
- Kim, G.; Kim, A. Scan context: Egocentric spatial descriptor for place recognition within 3d point cloud map. In Proceedings of the IEEE/RSJ International Conference on Intelligent Robots and Systems (IROS), Madrid, Spain, 1–5 October 2018. [Google Scholar] [CrossRef]
- Mur-Artal, R.; Montiel, J.M.M.; Tardos, J.D. Orb-slam: A versatile and accurate monocular slam system. IEEE Trans. Robot. 2015, 31, 1147–1163. [Google Scholar] [CrossRef]
- Mur-Artal, R.; Tardós, J.D. Orb-slam2: An open-source slam system for monocular, stereo, and rgb-d cameras. IEEE Trans. Robot. 2017, 33, 1255–1262. [Google Scholar] [CrossRef]
- Nistér, D.; Naroditsky, O.; Bergen, J. Visual Odometry; IEEE: Manhattan, NY, USA, 2004. [Google Scholar] [CrossRef]
- Davison, A.J.; Reid, I.D.; Molton, N.D.; Stasse, O. Monoslam: Real-time single camera slam. IEEE Comput. Soc. 2007, 29, 1052–1067. [Google Scholar] [CrossRef] [PubMed]
- Engel, J.; Schps, T.; Cremers, D. Lsd-slam: Large-scale direct monocular slam. In Proceedings of the European Conference on Computer Vision, Zurich, Switzerland, 6–12 September 2014. [Google Scholar] [CrossRef]
- Mur-Artal, R.; Tardos, J.D. Visual-inertial monocular slam with map reuse. IEEE Robot. Autom. Lett. 2016, 2, 796–803. [Google Scholar] [CrossRef]
- Stumberg, L.V.; Usenko, V.; Cremers, D. Direct Sparse Visual-Inertial Odometry Using Dynamic Marginalization; IEEE: Manhattan, NY, USA, 2018. [Google Scholar] [CrossRef]
- Engel, J.; Koltun, V.; Cremers, D. Direct sparse odometry. IEEE Trans. Pattern Anal. Mach. Intell. 2017, 40, 611–625. [Google Scholar] [CrossRef] [PubMed]
- Ishikawa, R.; Oishi, T.; Ikeuchi, K. Lidar and camera calibration using motions estimated by sensor fusion odometry. In Proceedings of the IEEE/RSJ International Conference on Intelligent Robots and Systems (IROS), Madrid, Spain, 1–5 October 2018; pp. 7342–7349. [Google Scholar] [CrossRef]












| Algorithm | ATE | ||||||
|---|---|---|---|---|---|---|---|
| Max | Mean | Median | Min | Rmse | Sse | Std | |
| ALOAM | 1.231 | 0.424 | 0.380 | 0.038 | 0.509 | 226.777 | 0.282 | 
| Lego-LOAM | 0.369 | 0.148 | 0.141 | 0.026 | 0.158 | 10.729 | 0.055 | 
| LIO-SAM | 0.934 | 0.177 | 0.145 | 0.028 | 0.210 | 38.003 | 0.114 | 
| this paper | 0.320 | 0.140 | 0.136 | 0.020 | 0.151 | 19.535 | 0.056 | 
| Algorithm | RPE | ||||||
|---|---|---|---|---|---|---|---|
| Max | Mean | Median | Min | Rmse | Sse | Std | |
| ALOAM | 0.609 | 0.252 | 0.240 | 0.002 | 0.294 | 75.526 | 0.152 | 
| Lego-LOAM | 0.909 | 0.370 | 0.364 | 0.004 | 0.412 | 72.903 | 0.182 | 
| LIO-SAM | 0.806 | 0.256 | 0.262 | 0.001 | 0.279 | 66.935 | 0.111 | 
| this paper | 0.561 | 0.255 | 0.265 | 0.001 | 0.278 | 66.434 | 0.110 | 
| Disclaimer/Publisher’s Note: The statements, opinions and data contained in all publications are solely those of the individual author(s) and contributor(s) and not of MDPI and/or the editor(s). MDPI and/or the editor(s) disclaim responsibility for any injury to people or property resulting from any ideas, methods, instructions or products referred to in the content. | 
© 2023 by the authors. Licensee MDPI, Basel, Switzerland. This article is an open access article distributed under the terms and conditions of the Creative Commons Attribution (CC BY) license (https://creativecommons.org/licenses/by/4.0/).
Share and Cite
Ren, H.; Zhao, Y.; Lin, T.; Wu, J. Research on Multi-Sensor Simultaneous Localization and Mapping Technology for Complex Environment of Construction Machinery. Appl. Sci. 2023, 13, 8496. https://doi.org/10.3390/app13148496
Ren H, Zhao Y, Lin T, Wu J. Research on Multi-Sensor Simultaneous Localization and Mapping Technology for Complex Environment of Construction Machinery. Applied Sciences. 2023; 13(14):8496. https://doi.org/10.3390/app13148496
Chicago/Turabian StyleRen, Haoling, Yaping Zhao, Tianliang Lin, and Jiangdong Wu. 2023. "Research on Multi-Sensor Simultaneous Localization and Mapping Technology for Complex Environment of Construction Machinery" Applied Sciences 13, no. 14: 8496. https://doi.org/10.3390/app13148496
APA StyleRen, H., Zhao, Y., Lin, T., & Wu, J. (2023). Research on Multi-Sensor Simultaneous Localization and Mapping Technology for Complex Environment of Construction Machinery. Applied Sciences, 13(14), 8496. https://doi.org/10.3390/app13148496
 
        

 
       