Abstract
This study aimed to investigate the axial compression performance of concrete-filled circular-end aluminum tube (RECFAT) columns, utilizing four specimens with varying parameters such as cross-sectional aspect ratio and cross-sectional aluminum content. Axial compression tests and ABAQUS finite element extended parameter analyses were conducted, with key mechanical performance indicators such as specimen failure morphology, ultimate bearing capacity, load–displacement curve, and load–strain curve being obtained. The influence of various variation parameters on the axial compression performance of the specimen was analyzed. The results indicated that the majority of specimens underwent oblique shear failure due to local bulging of the aluminum tube plane, while specimens with an aspect ratio of 4.0 experienced overall instability failure. As the aspect ratio increased, the bearing capacity improvement coefficient and ductility coefficient of the specimen decreased and the initial stiffness of the specimen gradually decreased. As the aluminum content increased, the initial stiffness decreased, with the critical aspect ratio for overall instability being between 2.0 and 2.5. The optimal aluminum content was recommended to be between 8.5% and 13.5%. When the aspect ratio was around 2.0, the lateral strain of the round-ended aluminum tube developed faster and the constraint effect was the best. The finite element model accurately reproduced the oblique shear bulging of the round-ended aluminum tube and the internal concrete V-shaped collapse, with the axial load–displacement curve being in good agreement. Improving the strength of aluminum alloy was more conducive to improving the axial compression bearing capacity of RECFAT than increasing the strength of concrete. A simplified model and calculation method for RECFAT was proposed, with an error of less than 1%.
1. Introduction
Round-ended concrete-filled steel tubular (RECFST) columns, as depicted in Figure 1, provide a unique amalgamation of benefits observed in rectangular and circular concrete-filled steel tubular (CFST) columns. These benefits encompass improved load-carrying capacity, ductility, and energy absorption. Notably, RECFST columns have been successfully employed as bridge piers in contemporary bridge projects, exemplified by their implementation in notable structures such as the Weihe Bridge and the Houhu Bridge in China [1]. The adoption of round-ended tube design in RECFST columns results in the efficient application of confining pressures on the concrete fill during axial compression, thereby enhancing the ductility and strength, in comparison with conventional reinforced concrete columns. In recent years, researchers have conducted comprehensive investigations, encompassing both experimental and numerical approaches, to investigate the performance of RECFST columns under various load conditions [2]. These studies have contributed valuable insights into the behavior of RECFST columns. For instance, Shen et al. [3] and Hassanein and Patel [4] discussed the unique nature of the concrete confinement in RECFST columns, which lay between circular and rectangular CFST columns due to their distinctive shape. Extensive experiments were conducted by Ding et al. [5] and Wang et al. [6] to investigate the axial compressive behavior of RECFST stub columns. These studies meticulously analyzed the influence of key parameters, including the aspect ratio and steel stiffeners, on the strength characteristics of this composite column configuration. In addition, Wang et al. [2,7] conducted systematic parametric analyses utilizing the ABAQUS solver. Their work focused on both stub and slender RECFST columns subjected to axial loading, leading to the establishment of innovative confinement effects and design methods. Furthermore, Patel [8], Piquer et al. [9], and Shen et al. [10] investigated the eccentric compressive performance of RECFST stub columns. By means of meticulous experimental investigations and diverse simulation techniques, such as finite element (FE) analysis and numerical fiber-based methodologies, researchers acquired comprehensive understanding of the nuanced behaviors exhibited by these columns when subjected to eccentric loads. The cumulative findings from these studies consistently highlighted the exceptional attributes of RECFST columns, encompassing remarkable strength, optimized structural characteristics, visually appealing architectural aesthetics, and minimal flow resistance coefficients.
Figure 1.
Cross-section structure of the specimen.
However, as marine construction progresses, many structures need to be built in highly corrosive environments, leading to an increased demand for high-quality building materials capable of withstanding harsh conditions. Traditional concrete structures are susceptible to corrosion and damage, making it imperative to explore more sustainable and durable alternatives. Some scholars have proposed the use of corrosion-resistant aluminum alloys as a substitute for ordinary carbon steel to promote the application of concrete structures in marine engineering. Aluminum alloy, compared with carbon steel, possesses unique features such as an aesthetically pleasing appearance and lightweight properties. In recent investigations, Zhou et al. [11,12,13] conducted axial compression tests on concrete-filled square and circular aluminum alloy tubes, revealing that the full potential of square aluminum alloy tubes was not fully exploited. Wang et al. [14] performed finite element analyses on concrete-filled aluminum alloy tubes subjected to axial compression. These studies [15,16,17] collectively demonstrated that concrete-filled aluminum alloy tubes effectively leveraged the advantages of both materials, resulting in improved axial compression capacity.
Therefore, in order to combine the advantages of aluminum alloy and round-ended sections and to better apply round-ended section columns in corrosive environments, this study proposed the use of round-ended concrete-filled aluminum tube (RECFAT) columns and investigated their axial compression behavior through experimental and numerical methods. Previous studies [3,4,5,6,7,8,9,10] have shown that the column with a round-ended section was mainly affected by the section aspect ratio and the steel content. Therefore, four specimens were designed with variations in aspect ratio and aluminum content and experimental studies were conducted. Subsequently, the failure modes, load–displacement curves, ductility, and stiffness degradation of the RECFAT columns were evaluated and discussed. Furthermore, a nonlinear numerical model of the RECFAT columns under axial loading was developed and validated using the experimental results. Finally, a simplified prediction method for the axial compressive capacity of RECFAT columns was proposed. The findings of this study provided scientific references for the design and application of RECFAT columns in engineering practice.
2. Experimental Program
2.1. Design of Specimen
Four RECFAT specimens were designed and fabricated, each with a height (H) of 500 mm and a total of four cross-sections. The cross-sectional dimensions are illustrated in Figure 1; the specific parameters of the specimens are presented in Table 1. The round-ended aluminum tube comprised a rectangle and two semicircles, with the width (b) of the specimen being equivalent to the diameter of the semicircle. During the production process of the specimen, a vibrating rod was used to vibrate the concrete to ensure the pouring quality of the concrete. After pouring, the upper and lower ends of the specimen were polished to ensure that both ends were flat. In order to verify the pouring quality of the concrete, the aluminum alloy tube and concrete were cut after the experiment; it was observed that the surface of the concrete was smooth and there were no obvious holes inside.
Table 1.
Design parameters of specimens.
2.2. Raw Materials
The experiment utilized Chinese standard C35 concrete and produced three standard cubic test blocks that were cured under identical conditions as the specimens. Material testing was conducted one day prior to loading the specimens, with the cube compressive strength (fcu,k) measuring 36.8 MPa. As aluminum alloys lack obvious yield steps, the strength f0.2 corresponding to a residual strain of 0.2% was utilized as the conditional yield strength, as per the existing literature. The mechanical properties of the aluminum alloys are presented in Table 2.
Table 2.
Material properties of aluminum tube.
2.3. Experimental Apparatus and Test Procedure
In this test, the electrohydraulic servo press numbered YAW-1000 was used, with a maximum load capacity of 1000 kN. The test loading rate was 2 mm/min and two strain gauges were arranged in the middle of the specimen in the circumferential and longitudinal directions. The two measuring points were perpendicular to each other; the circumferential strain and axial strain of the specimen were measured, respectively. The loading equipment and measurement point arrangement are shown in Figure 2; the upper and lower ends of the specimen were spherical hinges. When the load dropped to 70% of the peak load or there was obvious damage to the specimen, the test was terminated [18].
Figure 2.
Loading device and measuring point layout.
3. Test Results
3.1. Failure Process and Failure Mode
Figure 3 shows the final failure morphology of all specimens. For further research, the bulging part of the aluminum tube was cut after the experiment.
Figure 3.
Failure mode.
The failure process of each specimen was similar and there was no significant change during the initial loading stage. The aluminum tube and concrete were subjected to joint forces. As the axial displacement gradually increased, local bulging appeared on the two planes of the aluminum tube. After cutting open the specimen, it was found that the concrete at this location was crushed and filled with bulging. This is because the plane constraint was weaker than the curved surface, causing the concrete at the bulge of the aluminum tube to lose its constraint and collapse; the bulge ring gradually penetrated to form an oblique shear line. The difference was that the CA100-0, CA115-0, and CA130-0 specimens experienced oblique shear failure caused by local bulging, while the CA120-0 specimen not only experienced local bulging but also experienced overall instability failure, causing the concrete to be sheared off. It is worth noting that drum buckling occurred at the end of the specimen. This may have been due to the fact that the end of the specimen directly bore the load, resulting in stress concentration.
Overall, the slenderness ratio of the weak axis was one of the main factors affecting the failure mode. This was because the length/width ratio of the section was large and the difference between the inertia moments of the strong and weak axes was large, which resulted in the weak axis concrete being relatively thin and easier to cut. The critical slenderness ratio for transitioning from local instability to overall instability was between 40.2 and 59.3.
3.2. Axial Load–Displacement Curve
Figure 4 illustrates the load–displacement curves for all specimens. It is evident from the figure that each specimen exhibited an elastic stage, an elastic–plastic stage, and a gradual decrease stage after the peak point. The CA130-0 specimen demonstrated the highest initial slope and peak point, whereas the CA120-0 specimen exhibited the opposite behavior. This disparity could be attributed to the larger slenderness ratio and major-to-minor axis ratio of the CA120-0 specimen, leading to overall instability and a substantial reduction in stiffness.
Figure 4.
Axial load–displacement curve.
3.3. Bearing Capacity and Ductility
Table 3 shows the yield load Py, peak load Pu, and ductility coefficient μ of all specimens. For the convenience of comparative analysis, the bearing capacity coefficient SI was analyzed. The calculation method for SI and μ are as follows:
where Ps is the calculated sum of the bearing capacity of concrete and circular aluminum tubes. Pu is the ultimate bearing capacity obtained from the experiment. Aa and f0.2 are the cross-sectional area and yield strength of the aluminum tube, respectively. Ac and fc are the cross-sectional area and compressive strength of the core concrete, respectively.
where Δ85% is the axial displacement when the bearing capacity decreases to 85% of the ultimate bearing capacity. Δy is the yield displacement, which is calculated using the equal energy method.
Table 3.
Test result.
The table reveals that, as the a/b increased, the improvement coefficient of bearing capacity and ductility coefficient of the specimen decreased. When the a/b reached 2.5 and 4.0, the improvement coefficient fell below 1.0, indicating a deterioration of the specimen at that point. This was because the specimen with a large a/b was prone to overall buckling around the weak axis of the section and the aluminum tube was not provided with a restraint specimen before instability failure occurred. The critical a/b was between 2.0 and 2.5. Among specimens with the same a/b (CA100-0 and CA130-0), the specimen with a higher aluminum content in the section (CA100-0) exhibited a smaller increase coefficient. This could be attributed to the thicker wall of the aluminum tube, leading to poorer interaction between the aluminum tube and the core concrete. Therefore, it was recommended that the optimal aluminum content range be between 8.5% and 13.5%. However, the ductility increased by 8.9% due to the increased aluminum content. This could be attributed to the excellent plasticity of aluminum alloys, where an increase in aluminum content enhanced restraint after concrete crushing, resulting in improved resistance to deformation and enhanced ductility.
3.4. Stiffness Degradation
Figure 5 presents the stiffness degradation curve of the specimen. The figure revealed a consistent trend in the stiffness degradation curve for each specimen, characterized by the highest stiffness in the elastic section. As the vertical displacement exceeded approximately 3 mm, the stiffness experienced a rapid degradation until reaching a vertical displacement of approximately 5 mm. However, due to the constraint effect of the circular-end aluminum tube, the stiffness degradation was mitigated and the curve transitioned into a section of gentle degradation.
Figure 5.
Stiffness degradation curve.
The initial stiffness of the specimen gradually decreased as the a/b increased. In comparison with specimens with an a/b = 2.0, the initial stiffness of specimens with a/b = 2.5 and a/b = 4.0 decreased by 28.2% and 75.5%, respectively. This reduction could be attributed to the increased a/b, leading to a significant difference in the sectional moment of inertia between the strong and weak axes. Consequently, the test specimen experienced a high slenderness ratio around the weak axis, resulting in premature overall instability.
For specimens with the same a/b, the stiffness degradation curves exhibited parallel behavior. However, as the aluminum content increased, the initial stiffness decreased, with the CA100-0 demonstrating an 18.4% lower initial stiffness compared with the CA130-0. This disparity could be attributed to the increased confinement coefficient of concrete due to the higher aluminum content. However, the lower elastic modulus of the aluminum alloy affected the synergistic performance with concrete, subsequently influencing the combined stiffness of the cross-section.
3.5. Strain Analysis
Figure 6 shows the axial and transverse strain development of the specimen. As can be seen from the figure, the transverse and longitudinal strains developed together in the early stage of loading and, at that time, they were in the elastic stage with relatively small lateral constraints. After entering the plastic stage, due to the constraint of the aluminum tube, the transverse strain developed faster. At the same load, the transverse strain of the CA100-0 specimen developed the fastest, indicating that the circular-ended aluminum tube had the best constraint effect when the aspect ratio was about 2.0.
Figure 6.
Strain distribution of specimen (T represents transverse strain, D represents longitudinal strain).
4. Finite Element Analysis
4.1. Constitutive Properties of Materials
4.1.1. Aluminum
The stress–strain curve of aluminum alloy does not exhibit a yield stage and its constitutive relationship can be described using the Ramberg–Osgood [17,18] formulations. The constitutive law can be expressed as follows:
where ε and f are the strain and stress of aluminum, respectively; f0.2 and f1.0 are the 0.2% and 1% proof stress, respectively; ε0.2 is the strain of f0.2; E0 is the Young’s modulus of aluminum alloy; E0.2 is the stiffness at f0.2; n’0.2,1.0 can be obtained by Wang et al. [10].
4.1.2. Concrete
In this paper, the concrete plastic damage model (CDP) was adopted. The higher version of ABAQUS 2020 software would automatically consider the constraint effect of aluminum tube on concrete; subsequent modeling would consider the contact and separation between concrete and aluminum tubes. Therefore, in order to avoid secondary constraints, the constitutive model of concrete subjected to uniaxial stress adopted in this article did not consider the constraint of aluminum tubes in the constitutive model of concrete. The stress–strain relationship curve of concrete specified in the standard could be adopted [19]. The schematic diagram and the calculation formula of the CDP model are shown in Figure 7. The strength grade of concrete in this paper was C40; the reference standards were αa = 2.03, αd = 1.36, and αt = 1.25.
Figure 7.
CDP model.
4.2. Mesh
Figure 8 shows the grid division of the specimen. The concrete unit adopted the C3D8R solid unit and the aluminum tube adopted the S4R shell unit, which could better demonstrate local buckling. To facilitate the application of loads and boundary conditions, a rigid loading pad was placed at the upper and lower ends of the specimen. In order to reduce calculation time while ensuring the accuracy of the calculation results, the approximate grid size of all components was selected as 10 mm.
Figure 8.
Modeling of specimen.
4.3. Interaction and Boundary Conditions
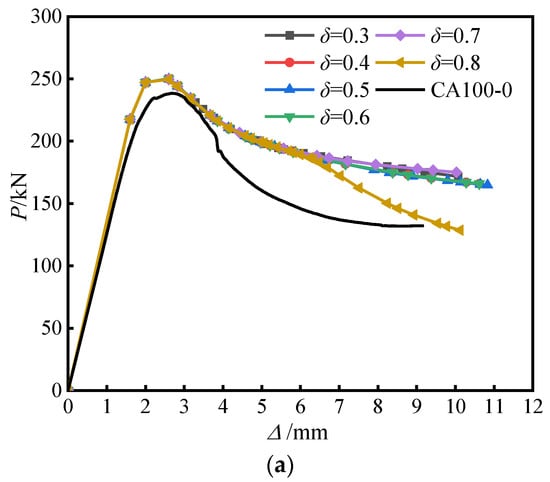
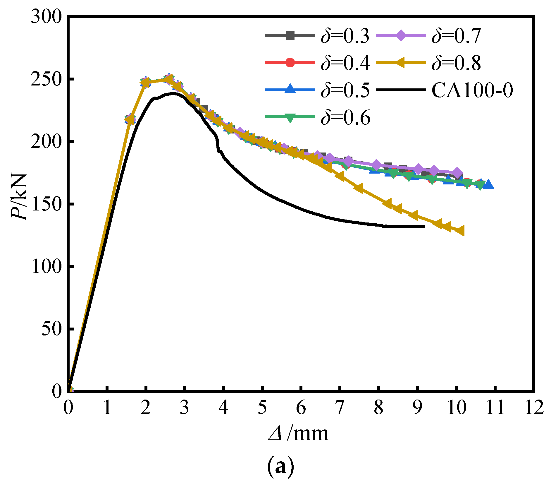
The interaction between concrete and aluminum tube was modeled as a face-to-face contact interaction. Aluminum tubes with higher elastic modulus were selected as the main surface, while concrete with lower elastic modulus was selected as the secondary surface. Contact properties could be defined between contact surfaces, specifically by using a penalty function with a friction coefficient (δ) in the tangent direction and hard contact in the normal direction (Figure 9). Due to limited research on this type of cross-section column, the value of the friction coefficient at the interface was still unclear. Therefore, a trial calculation was conducted on the commonly used friction coefficient values (Figure 10) and it was ultimately determined that, when δ = 0.5, the model had a high degree of agreement.

Figure 9.
Contact modeling of concrete and aluminum tube. (a) The influence of friction coefficient; (b) modeling of contact attributes.
Figure 10.
Comparison of failure modes.
The tie constraint was applied between the loading plate and the aluminum tube and a reference point (RP-1) was positioned at the center of the loading pad surface to establish coupling with the loading plate.
For the lower part of the specimen, three displacement directions were constrained to simulate the ball joint in the experimental loading. As for the upper loading end, only a 10 mm axial displacement (consistent with the test conditions) was applied, while the displacement and rotation in other directions were not constrained.
4.4. Model Validation
The finite element model was verified using the test results of the failure mode and axial load–displacement curve. The comparison of axial load–displacement curves for each specimen is presented in Figure 4, while Table 4 displays the comparison of ultimate bearing capacity. The axial load–displacement curve of the simulated circular-end aluminum tube concrete column exhibited a close resemblance to the experimental results, with the initial stiffness of the finite element results being relatively higher. This disparity could be attributed to the presence of a gap between the specimen and the loading equipment, resulting in virtual displacement during the test and subsequent reduction of the observed stiffness. However, the overall trend of the curve was consistent with the bearing capacity; the average ratio between the simulated and experimental values of the ultimate load was 0.985, with a negligible error of 1.5%.
Table 4.
Comparison of calculation results.
Figure 10 presents a comparative analysis of typical failure modes observed in the specimens. The figure illustrated that the aluminum tube exhibited bulging rings of varying heights and underwent oblique shear failure. Upon examining the internal concrete compression damage cloud map, a distinct V-shaped compression collapse could be observed in the area of the bulging rings, which aligned with the experimental findings. The validated finite element model of the circular-end aluminum tube concrete column was deemed reliable for conducting internal stress analysis.
4.5. Stress Analysis
Figure 11a depicts the stress cloud diagram of the concrete cross-section of the typical CA100-0 specimen at the peak load, with the stress analysis focused on the x-axis direction. The figure revealed the occurrence of an “arch effect” within the rectangular region of the elliptical aluminum tube, where the darker-colored area represented a region of weaker confinement. Figure 11b showcases the stress cloud diagram of the buckling section at the point of failure. It could be observed that, due to the lower elastic modulus of the aluminum alloy, the bulging occurred when there was significant axial displacement rather than the concrete crushing and squeezing the aluminum tube. This observation was consistent with the experimental results, highlighting the necessity to optimize the stiffness of the aluminum alloy through the use of reinforcing materials.

Figure 11.
Stress cloud diagram. (a) Stress cloud diagram of concrete cross-section (peak load); (b) stress cloud diagram of buckling section (failure load).
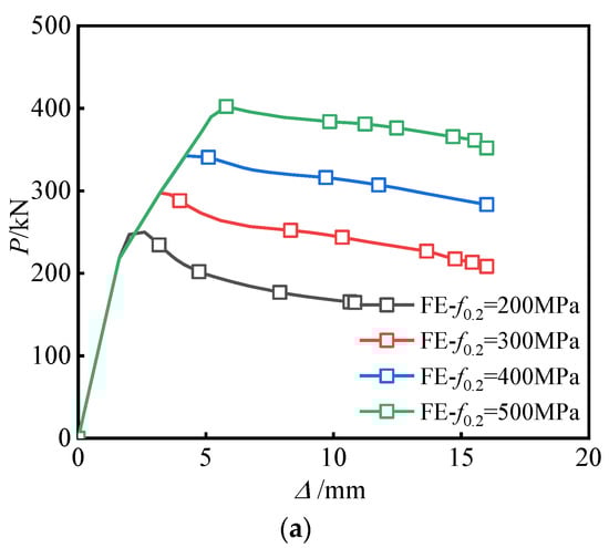
4.6. Parametric Study
Based on the results of the model validation, the CA100-0 model—which exhibited a high degree of conformity between the load–displacement curves—was selected as the reference model for the extended parameter analysis of different aluminum alloy strengths and concrete strengths. Figure 12 illustrates the comparison of load–displacement curves for different aluminum alloy strengths and concrete strengths. It could be observed that increasing the strength of the aluminum alloy had minimal influence on the curve shape and stiffness, but it could enhance the bearing capacity of the composite column. Increasing the concrete strength slightly improved the axial compression stiffness and ultimate bearing capacity of the composite column. However, as the concrete strength increased, the curve exhibited a faster decline after reaching the ultimate load, indicating a decrease in ductility.

Figure 12.
Parameter analysis. (a) The influence of concrete strength; (b) the influence of aluminum alloys.
5. Calculation Method for Bearing Capacity
The calculation method of axial compressive bearing capacity is very important in the design of columns [20,21]. When calculating the axial compressive capacity of RECFAT, it was necessary to consider the confinement ability of the aluminum tube. According to the stress distribution of the cross-section obtained from finite element analysis (Figure 11a), the arch effect still existed within the rectangular region, while the semicircular region exhibited better confinement capacity. In this section, a simplified model for circular-end aluminum tube concrete columns was presented, as shown in Figure 13. In the figure, Acc represented the area of strongly confined concrete in the circular-end section; Asc represented the area of strongly confined concrete in the rectangular section after deducting the weak fan-shaped confinement area. The fan-shaped area had a radius equal to the side length of the rectangle and an angle of 60°.
Figure 13.
Constrained model of circular-end aluminum tube.
For the semicircular region of concrete, it could be simplified by splitting the aluminum tube concrete with a circular cross-section into two halves. Therefore, the calculation method for hoop confinement coefficient used for circular steel tube concrete could be applied [22]:
where Aac is the cross-sectional area and conditional yield strength of the aluminum tube in the semicircular zone. Acc and fc are the concrete area and axial compressive strength in the semicircular area, respectively.
For the rectangular region of concrete, as only two faces were confined by the aluminum tubes, in order to maintain conservatism and simplify the calculation, the strength enhancement of the rectangular region concrete was not considered [23]. Based on this, referring to the increase in concrete strength due to hoop confinement in steel tube concrete, the simplified calculation method for the axial compressive capacity of circular-end aluminum tube concrete columns was proposed as follows:
In Equation (6), the first term represents the contribution of the aluminum tube to the load-bearing capacity, the second term represents the contribution of the semicircular region of concrete to the load-bearing capacity, and the third term represents the contribution of the rectangular region of concrete to the load-bearing capacity.
Based on the experimental results, the aspect ratio had a significant influence on the compressive load-bearing capacity of the specimens. The variation in aspect ratio directly affected the slenderness ratio of the specimens. Therefore, in addition to Equation (6), a slenderness ratio stability factor was considered. The calculation method for the slenderness ratio stability factor is as follows:
In Equation (7), φ represents the stability factor for the slenderness ratio of the weak axis, which is equivalent to the load-carrying capacity improvement factor SI. Referring to the relevant provisions in GB2002-2012, when the slenderness ratio λ ≤ 28, φ = 1. The calculation of φ is obtained by fitting SI(φ) with the weak axis slenderness ratio λ, as shown in Equation (8):
The calculations using Equation (7) were performed on the specimens in this study; the results are presented in Table 4. The error was 0.4%, with a coefficient of variation of 0.056, indicating that the proposed equation could reasonably estimate the axial compressive capacity of circular-end aluminum alloy tube-confined concrete.
6. Conclusions
Through axial compression tests and finite element analysis on four RECFAT columns, the following conclusions were drawn:
- The failure process of each specimen was generally consistent. After reaching the ultimate load, the two planes of the circular-end aluminum tube exhibited local bulging and formed oblique shear lines. Specimens with aspect ratios less than 4 exhibited localized bulging and oblique shear failure, while specimens with aspect ratios greater than 4 experienced overall instability failure.
- As the aspect ratio increased, the load enhancement coefficient and ductility coefficient of the specimens decreased. When the aspect ratio exceeded 2.5, the load enhancement coefficient was less than 1 and the critical aspect ratio was between 2.0 and 2.5. For specimens with the same aspect ratio, those with higher aluminum content had smaller enhancement coefficients but better ductility. The optimal aluminum content was recommended to be between 8.5% and 13.5%.
- Analysis of transverse and longitudinal strains in the plane of the circular-end aluminum alloy tube revealed that, due to the constraint effect of the aluminum tube, the transverse strain developed more rapidly after entering the plastic stage. The best constraint effect of the circular-end aluminum alloy tube was observed at an aspect ratio of around 2.0.
- The established refined finite element model matched well with the experimental results and captured the inclined shear bulging of the circular-end aluminum alloy tube and the “V”-shaped concrete compression failure during specimen failure.
- Finite element stress analysis and experimental strain measurements indicated the presence of an “arch effect” in the rectangular region of the circular-end aluminum alloy tube at the peak point. Due to the lower elastic modulus of the aluminum alloy, bulging occurred first when there was significant axial displacement, rather than concrete crushing and squeezing the aluminum alloy tube. Improving the strength of aluminum alloy would be more conducive to improving the axial compression bearing capacity of RECFST than increasing the strength of concrete.
- Based on the experimental and finite element analysis results, a composite confinement model for circular-end aluminum alloy tubes was proposed, considering the efficiency of concrete strength enhancement in both the strong confinement and confinement regions. The calculated results had an error of 0.4%.
Author Contributions
J.B.: conceptualization, formal analysis, writing—original draft. Q.L.: conceptualization, funding acquisition, writing—review and editing. Y.Y.: conceptualization, data curation, writing—review and editing. Q.Q.: software, supervision, and visualization. All authors have read and agreed to the published version of the manuscript.
Funding
The authors would like to acknowledge the financial support provided by National Key R&D Program of China (2021YFB2600600, 2021YFB2600605).
Institutional Review Board Statement
Not applicable.
Informed Consent Statement
Not applicable.
Data Availability Statement
Not applicable.
Conflicts of Interest
The authors declare no conflict of interest.
References
- Wang, E.L. Research on Compressive Behavior and Reliability of Round-Ended Steel Tube-Filled Concrete Column. Ph.D. Thesis, Wuhan University of Technology, Wuhan, China, 2012. (In Chinese). [Google Scholar]
- Wang, J.F.; Wang, F.Q.; Shen, Q.H. Numerical modelling and design recommendation of axially-loaded thin-walled RCFST slender column. Thin-Walled Struct. 2019, 135, 210–226. [Google Scholar] [CrossRef]
- Shen, Q.; Wang, J.; Wang, W.; Wang, Z. Performance and design of eccentrically-loaded concrete-filled round-ended elliptical hollow section stub columns. J. Constr. Steel Res. 2018, 150, 99–114. [Google Scholar] [CrossRef]
- Hassanein, M.F.; Patel, V.I. Round-ended rectangular concrete-filled steel tubular short columns: FE investigation under axial compression. J. Constr. Steel Res. 2018, 140, 222–236. [Google Scholar] [CrossRef]
- Ding, F.X.; Fu, L.W.; Yu, Z.; Li, G. Mechanical performances of concrete-filled steel tubular stub columns with round ends under axial loading. Thin-Walled Struct. 2015, 97, 22–34. [Google Scholar]
- Wang, Z.B.; Chen, J.; Xie, E.P.; Lin, S. Behavior of concrete-filled round-end steel tubular stub columns under axial compression. J. Build. Struct. 2014, 35, 123–130. [Google Scholar]
- Xie, E.P.; Wang, Z.B.; Lin, C.; Zhou, J.Z. Mechanism analysis on concrete-filled round-end steel tubular stub columns under axial load. J. Fuzhou Uni. 2015, 43, 1–6. [Google Scholar]
- Patel, V.I. Analysis of uniaxially loaded short round-ended concrete-filled steel tubular beam-columns. Eng. Struct. 2020, 205, 110098. [Google Scholar] [CrossRef]
- Piquer, A.; Ibañez, C.; Hernández-Figueirido, D. Structural response of concretefilled round-ended stub columns subjected to eccentric loads. Eng. Struct. 2019, 184, 318–328. [Google Scholar] [CrossRef]
- Wang, J.; Shen, Q. Numerical analysis and design of thin-walled RECFST stub columns under axial compression. Thin-Walled Struct. 2018, 129, 166–182. [Google Scholar] [CrossRef]
- Zhou, F.; Young, B. Tests of concrete-filled aluminum stub columns. Thin-Walled Struct. 2008, 46, 573–583. [Google Scholar] [CrossRef]
- Zhou, F.; Young, B. Concrete-filled aluminum circular hollow section column tests. Thin-Walled Struct. 2009, 47, 1272–1280. [Google Scholar] [CrossRef]
- Zhou, F.; Young, B. Concrete-filled double-skin aluminum circular hollow section stub columns. Thin-Walled Struct. 2018, 133, 141–152. [Google Scholar] [CrossRef]
- Wang, F.C.; Zhao, H.Y.; Han, L.H. Analytical behavior of concrete-filled aluminum tubular stub columns under axial compression. Thin-Walled Struct. 2019, 140, 21–30. [Google Scholar] [CrossRef]
- Zhao, D.; Zhang, J.; Lu, L.; Liang, H.; Ma, Z. The Strength in Axial Compression of Aluminum Alloy Tube Confined Concrete Columns with a Circular Hollow Section: Experimental Results. Buildings 2022, 12, 699. [Google Scholar] [CrossRef]
- Zhao, Q.; Guo, C.; Niu, K.; Zhao, J.; Huang, Y.; Li, X. Long-term corrosion behavior of the 7A85 aluminum alloy in an industrial-marine atmospheric environment. J. Mater Res. Technol. 2021, 12, 1350–1359. [Google Scholar] [CrossRef]
- Su, M.N.; Young, B.; Gardner, L. The continuous strength method for the design of aluminium alloy structural elements. Eng. Struct. 2016, 122, 338–348. [Google Scholar] [CrossRef]
- Chen, Z.P.; Xu, W.S.; Zhou, J. Mechanical performance of marine concrete filled CFRP-aluminum alloy tube columns under axial compression: Experiment and finite element analysis. Eng. Struct. 2022, 272, 114993. [Google Scholar] [CrossRef]
- GB 50010-2002; Code for Design of Reinforced Concrete Structures. China Planning Press: Beijing, China, 2002. (In Chinese)
- Foraboschi, P. Optimal Design of Seismic Resistant RC Columns. Materials 2020, 13, 1919. [Google Scholar] [CrossRef] [PubMed]
- Foraboschi, P. Layered plate with discontinuous connection: Exact mathematical model. Compos. Part B 2013, 47, 365–378. [Google Scholar] [CrossRef]
- GB 50936-2014; Design Code for Steel Tube Concrete Structures. China Planning Press: Beijing, China, 2014. (In Chinese)
- Han, L.H. Concrete Filled Steel Tube Structures-Theory and Practice; Science Press: Beijing, China, 2004. (In Chinese) [Google Scholar]
Disclaimer/Publisher’s Note: The statements, opinions and data contained in all publications are solely those of the individual author(s) and contributor(s) and not of MDPI and/or the editor(s). MDPI and/or the editor(s) disclaim responsibility for any injury to people or property resulting from any ideas, methods, instructions or products referred to in the content. |
© 2023 by the authors. Licensee MDPI, Basel, Switzerland. This article is an open access article distributed under the terms and conditions of the Creative Commons Attribution (CC BY) license (https://creativecommons.org/licenses/by/4.0/).















