Abstract
People often consume organic foods because they believe they are healthier and tastier foods. Agricultural products consumed by humans may contain harmful components such as chemical residues and heavy metals. The aim of this study is to compare the fruit quality parameters and heavy metal contents of strawberries grown in organic and conventional agriculture. Fruit, soil and water samples were taken from 10 organic and 10 conventional strawberry farms in the Hüyük district, located in the Central Anatolia Region of Turkey, in 2019–2020. The fruit quality parameters of the obtained fruit samples were examined and it was determined whether there were significant differences in fruit, soil and water contents in terms of Zn, Cu, Pb and Cd. According to the study findings, fruit quality parameters were found to be higher in organic strawberries. Additionally, it was determined that there was Zn and Cu accumulation in both organic and conventional strawberry fruits, but the heavy metal accumulation did not exceed the acceptable limit. According to these results, it can be said that the products grown in the region where organic strawberry cultivation is intense do not show pollution in terms of heavy metals.
1. Introduction
People started to engage in various economic activities to meet their needs, especially in the process that started with the industrial revolution, and tried to meet their daily needs by changing and transforming nature [1,2]. In agricultural production activities, methods focused on the intensive use of chemical inputs, excessive irrigation, monoculture production, faulty tillage and cultivation in unsuitable areas (intensive agriculture) cause great damage to agricultural production resources and destroy the abilities of these resources to repair themselves [3]. Intensive chemical inputs used for increasing yield in intensive agriculture have caused pollution of water, soil and food products with nitrates, heavy metals and pesticide residues, as well as the eutrophication of fresh water and some changes in the lower layer of the atmosphere over time [4]. Increasing environmental awareness and the various hazards found in food products, such as dioxins and bacterial contamination, have significantly reduced consumer confidence in food quality over the past decade. For these reasons, consumers have started to search for reliable and quality food produced with environmentally friendly methods [5].
Sustainability is redesigning nature and natural resources used in production–consumption processes to meet the needs of current and future generations by preserving their characteristics [6]. In terms of organic agriculture, which reflects sustainable economic activities in the agricultural production process, “It is defined as an agricultural production method that aims to produce healthy products that are controlled and documented at every stage from production to consumption, solving environmental problems by preserving and improving the natural balance, protecting the health of humans and other living beings” [7].
Food quality and food safety are two important factors of increasing importance in modern industry. One of the important problems long encountered in foods obtained from agricultural production activities using modern agricultural methods (from the industrial revolution to this time) is heavy metal accumulation in these foods [8]. Heavy metals found in nature have been mixed into the atmosphere and soil as a result of industrial production and consumption activities carried out to meet the various needs of people [9]. Heavy metals are elements that are naturally occurring and have a high density of more than 5 g/cm3 [10,11], with high atomic weights, or atomic numbers [9]. The most common and polluting heavy metals are lead (Pb), arsenic (As), cadmium (Cd), chromium (Cr), iron (Fe), cobalt (Co), copper (Cu), nickel (Ni), mercury (Hg) and zinc (Zn) [9,10]. A large part of heavy metals, which are absorbed by living things in various ways (oral, respiratory and skin) and cannot be excreted by the body’s excretory systems (kidney, liver, intestine, lung, skin), can accumulate in biological organisms. When these metals reach effective doses, they can cause serious diseases such as thyroid, neurological, autism, infertility and even death [10]. The heavy metal total content limit values allowed in the soil by the General Directorate of Environment and Forestry of Turkey and the heavy metal limit values allowed in plants by WHO/FAO are given in Table 1 [12,13].
Table 1.
Heavy metal limit values in soil and plants.
Strawberry is a powerful antioxidant due to its rich content of vitamins A, B6, B9, B12 and especially C [14,15]. It is also a fruit rich in sodium, potassium, manganese, calcium nutrients, fiber and carbohydrates [15]. The fruits of this plant, which have a pleasant smell and aroma, are an important food source consumed fresh or processed for a healthy diet, having blood-pressure-lowering properties, anticancer effects and cardiovascular-risk-reducing properties [16,17]. Strawberry, which is very important in terms of human nutrition and health and is also used as an important raw material in the food industry, is a fruit with high economic value. According to FAO 2021 data, 9,175,384.43 tons of strawberries were produced in 389,665 ha worldwide and 669,195 tons of strawberries were produced in 18,676 ha in Turkey [18]. According to FIBL 2020 data, the total organic strawberry production area in the world is 9573 ha [19]. In general, organic foods are considered to be of higher quality and safer than conventional foods.
The limited number of studies on food safety and quality in organic products and the multifaceted nature of the topic cause the continuation of disagreements on the subject. There is a possibility of heavy metal residues in organic foods. This situation needs to be revealed through planned and comprehensive studies. There are numerous studies [20,21,22,23,24,25] examining the effect of organic crop cultivation practices on strawberry yield, fruit quality and the amount of biochemical compounds. However, only a few studies [26,27,28] have focused on a more holistic understanding of whether organic strawberries contain residue of heavy metals. In this study, we aimed to compare the fruit quality criteria of strawberries grown by organic and conventional methods and to determine the differences in fruit, soil and water contents in terms of Zn, Cu, Pb and Cd. Within the scope of the study, soil, water and fruit samples were taken from 10 strawberry farms with organic certification and 10 strawberry farms that use conventional methods, and heavy metal contents were determined in order to scientifically clarify the above-mentioned views. In addition, fruit quality criteria were determined in the samples in order to determine the effect of cultivation methods on product quality.
2. Materials and Methods
2.1. Research Area
The research was carried out in the Hüyük district of Konya Province, located in the Central Anatolia Region of Turkey, in 2019–2020. Hüyük is located between 37°57′ N latitude and 31°35′ E longitude, and the average elevation of the region above sea level is 1245 m. In the region, summers are hot and dry, and winters are cold and rainy. In this study, the monthly maximum and minimum temperature, mean monthly temperature and precipitation data of the district stations of Hüyük were obtained from the General Directorate of Meteorology and are presented in Table 2. The soil structures of the agricultural lands in the region are similar to each other, and the ground of the district consists of limestone, silt and clay mixture, and schist marls. The Hüyük district is located within the Beyşehir Lake Basin, surrounded by mountains, and is a kind of closed basin. For this reason, efforts are being made to declare the region as an Organic Agriculture Region. Strawberry production is carried out on an open cultivated area of 1000 ha in the Hüyük district, where wheat and barley were grown on agricultural lands in previous years. In the region, 1600 farmers registered with the Ministry of Agriculture and Forestry produce organic strawberries with a Geographical Indication Certificate [29], and farmers are cultivating with methods in accordance with these certificate rules. Conventional farmers, on the other hand, continue their production within the framework of integrated agriculture rules in order not to pollute the region, in line with the recommendations of the representatives of the Ministry of Agriculture in the district.
Table 2.
Climate data of the Hüyük district for 2019–2020 1.
In the study, strawberry fruits obtained from 10 different organic-certified producers and 10 different conventional producers in Konya Province’s Hüyük district, which produces the Albion variety of strawberries, were used (Figure 1a,b).
Figure 1.
(a) General view on the map of the area where fruit, soil and water samples were taken; (b) stations where Albion strawberry samples were taken; blue marks indicates the conventional, green marks organic stations.
2.2. Material
In this research, the Albion strawberry variety was preferred as a plant material, which is widely produced in the region, has high commercial value and is preferred for fresh consumption. Albion, a short-day neutral variety developed in the USA, is adaptable to various climatic conditions and cultivated similarly to Diamante. It has higher fruit quality, darker fruit color and better resistance to Phytophthora cactorum than Diamante [30]. The fruits of the Albion strawberry variety are conically shaped, large and have hard firmness, and also have a high content of total soluble solids, sugars and aroma [30,31]. This variety is resistant to Verticillium wilt (Verticillium dahliae), crown rot (Phytophthora cactorum) and anthracnose fruit rot (Colletotrichum acutatum) [32].
2.3. Method
The study was carried out in two different periods designated as spring and autumn production seasons. For the research, soil, water and fruit samples were taken from 10 organic and 10 conventional strawberry-growing stations in 3 replications on 19–21 September 2019 and 25–26 June 2020.
2.3.1. Determination of Fruit Quality Parameters
Fruits were taken simultaneously from the producers in 3 replications, each weighing 1 kg, considering the harvest time. Strawberry samples obtained each season were delivered to Akdeniz University Faculty of Agriculture Laboratories and fruit quality analyses were carried out. In the laboratory analysis processes, some of the strawberry fruits were first washed with tap water and then washed twice with double-distilled water in order to carry out the determined quality analyses. The following quality parameters were examined in washed fruit samples. Fruit weight was measured using a digital balance (Denver TP-152, Denver Instruments, Bohemia, NY, USA) with a sensitivity of 0.01 g. Fruit width and length were measured in mm with the help of a digital caliper from 20 fruits randomly taken from each harvested fruit in each plot. Firmness was measured as kg·cm−2 with a special hardness-measuring device (FT011) using a 7 mm pointed tip from the middle of the fruit at 3 different points. In the fruit juice obtained from fruit samples, the total amount of water-soluble solids (TSS) was measured in % with a digital refractometer (Hanna HI96801, Hanna Instruments, Smithfield, RI, USA), and pH was measured with a pH meter (Inolab pH 720, WTW, Weilheim, Germany).
2.3.2. Determination of Heavy Metal Contents
Heavy metal analyses of the fruits were carried out by a private Istanbul environmental analysis laboratory. Soil and water samples taken from the stations where the fruits were collected were sent to the Ministry of Agriculture and Forestry Laboratory (Ankara) for heavy metal analysis.
Strawberry fruits to be analyzed for heavy metals were frozen at −80 °C and packed with dry ice and sent to a special laboratory called Environment Food Analysis (Istanbul) with special poly packaging providing a cold chain at −18 °C. Quantitative analysis of the total heavy metal content was performed by ICP/MS [33].
Water samples were taken from the underground water sources used for irrigation at the stations where fruit samples were taken. The water samples taken were filled into 1 lt plastic bottles that were washed 3 times with water and then passed through distilled water. In order to prevent microbiological activity, a few drops of toluene were added and sent to the laboratory where the analysis would be performed. Heavy metal contents in water samples were analyzed by ICP-MS.
Soil samples were taken from a depth of 0–30 cm in 3 repetitions from each of the stations where organic and conventional strawberry cultivation is carried out in the Hüyük district and placed in plastic bags and brought to the laboratory. Soil samples were homogenized by pounding in a mortar after drying in the open air. Then, the soil was passed through a stainless-steel sieve with a diameter suitable for the type of analysis. The amounts of Zn, Cu, Pb and Cd in the extract were determined in ICP-OES [34].
2.4. Statistical Analysis
The study was carried out during 2 different periods, spring and autumn, covering the production seasons. Fruits were taken simultaneously from the producers in 3 replications. Data from the two seasons were arranged and statistically analyzed using SPSS version 22 software (IBM, Chicago, IL, USA). Analysis of variance and Duncan’s Multiple Range Test at a significance level of p < 0.05 were used for the comparison of means.
3. Results
3.1. Fruit Quality Parameters
The effects of organic and conventional growing techniques on fruit firmness in the spring and autumn growing seasons are given in Table 3.
Table 3.
Effects of different seasons and cultivation practices on strawberry fruit firmness (kg).
As seen in Table 3, the effect of the growing technique on fruit firmness values was found to be statistically significant in the spring season (p < 0.005). According to our study findings, when organic agriculture and conventional agriculture were compared, higher values were obtained from conventional agriculture in terms of fruit firmness ACT in the spring (5.88 kg) and autumn (5.99 kg) seasons (Table 3).
Cultivation technique and season had significant effects on average fruit weight (Table 4). When organic farming and conventional farming were compared, higher values were obtained from organic farming in the spring (8.38 g) and autumn seasons (8.99) in terms of ACT in fruit weight.
Table 4.
Effects of different seasons and cultivation practices on strawberry fruit weights (g).
The results showed that the TSS values were found to be statistically significant at the p < 0.05 significance level (Table 5). In the spring season, the highest TSS value was obtained from station 5 in organic agriculture and station 6 in conventional agriculture. The highest TSS value in the autumn season was obtained from station 4 in organic agriculture and conventional agriculture. According to our study findings, when organic farming and conventional farming were compared, higher values were obtained from organic farming in the spring and autumn seasons in terms of ACT in TSS (Table 5).
Table 5.
Effects of different seasons and cultivation practices on strawberry TSS (%).
As shown in Table 6, the pH values examined within the scope of the study were found to be statistically significant at the p < 0.05 significance level, but similar values were obtained between the applications, except for spring-season organic agriculture and ACT. The highest numerical pH value in the spring season was obtained from station 5 in conventional agriculture (Table 6). The highest numerical pH value in the autumn season was obtained from station 3 in organic agriculture (Table 6).
Table 6.
Effects of different seasons and cultivation practices on strawberry pH.
Results of variance analysis show that the fruit width values were found to be statistically significant (p < 0.05) (Table 7). In the spring season, the highest fruit width values were obtained from stations 9 and 10 in organic agriculture. The highest fruit width value in the autumn season was obtained from station 9 in organic agriculture. According to our study findings, when organic and conventional farming were compared, higher values were obtained from organic farming in the spring (38.84 mm) and autumn (32.57 mm) seasons in terms of ACT in fruit width (Table 7).
Table 7.
Effects of different seasons and cultivation practices on strawberry fruit width (mm).
According to Table 8, in the spring and autumn seasons, the highest fruit length values were obtained from station 9 in organic agriculture. According to our study findings, when organic farming and conventional farming were compared, higher values were obtained from organic farming in the spring (42.01 mm) and autumn (39.30 mm) seasons in terms of ACT in fruit length.
Table 8.
Effects of different seasons and cultivation practices on strawberry fruit length (mm).
3.2. Heavy Metal Contents
As a result of analyses carried out to evaluate strawberries in terms of pollution risk, the overall pollution level of heavy metals in strawberries in Hüyük was low. Likewise, while low levels of Zn and Cu residues were found in the fruit samples taken, Pb and Cd were not detected (Table 9 and Table 10). This situation shows that organic and conventional strawberries produced in the region where intensive strawberry cultivation is carried out do not carry high risk in terms of Zn, Cu, Pb and Cd heavy metals.
Table 9.
Effects of different seasons and cultivation practices on strawberry Zn content (ppm).
Table 10.
Effects of different seasons and cultivation practices on strawberry Cu content (ppm).
In the spring period, the highest Zn content among organic strawberry stations was determined at station 6, while it was found at station 3 among the conventional stations (Table 9). The Zn contents of the fruits taken from different stations in the autumn season were also evaluated and the highest Zn content in organic strawberry fruits was found at station 5, and in conventional strawberry fruits at stations 3 and 8. In addition, it was also determined that the average Zn content in the conventionally grown fruits in the spring and autumn period was higher than that in the organic ones (Table 9).
In the spring period, the highest Cu content in organic strawberry fruits was found at station 7 (Table 10). In the autumn period, the highest Cu content in organic strawberry fruits was found at station 10, and the highest Cu content in conventional strawberry fruits was found at station 4 (Table 10). When the organic and conventionally grown strawberry fruits were compared in terms of Cu content, the average Cu content in the organic-grown fruits in the spring was determined to be higher than in the conventional ones; in the conventionally grown fruits, in autumn, the average Cu content was determined to be higher than in the organic ones (Table 10). As a result of the analysis, Pb and Cd contents could not be determined in strawberry fruit samples.
Within the scope of the study, samples taken from irrigation water sources of each organic and conventional production station were analyzed in order to determine the heavy metal content of irrigation water.
When the Zn level of irrigation water was examined in strawberry-growing regions, the highest Zn content was 106.18 ppm at station 3 in water samples taken from organic farming areas and 120.22 ppm at station 10 in samples taken from conventional farming areas. Comparing the water samples taken from the organic and conventional production areas in terms of total Zn content, the Zn level was found to be higher in the water samples taken from the conventional farming areas (Figure 2a). This affected the Zn content of the fruits, and the Zn contents of the fruit samples taken from the conventional plots were found to be higher than those of the organic plots.
Figure 2.
Zn (a), Cu (b) and Pb (c) contents in water samples taken from different stations. Circular marks indicate statistically significant differences (p < 0.05) between organic and conventional stations.
The highest Cu content was 37.55 ppm at station 8 in the water samples taken from the regions where organic farming is carried out and 79.25 ppm at station 10 in the samples taken from the regions where conventional farming is practiced (Figure 2b). When the water samples taken from the organic and conventional production areas were compared in terms of total Cu content, the Cu level was higher in the water samples taken from the organic farming areas.
The average values of Cd and Pb in the analysis of organic and conventional strawberry fruit samples were below the detection limit.
When the Pb level of irrigation water was examined in strawberry-growing regions, the highest Pb content was 28.37 ppm at station 3 in water samples taken from organic farming areas and 9.29 ppm at station 8 in samples taken from conventional farming areas (Figure 2c). When the water samples taken from the organic and conventional production areas are compared in terms of total Pb content, the Pb level is higher in the water samples taken from the organic farming areas.
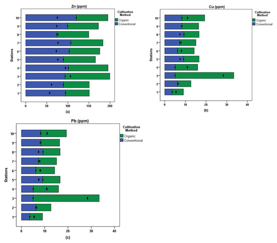
The heavy metal (Zn, Cu, Pb, Cd) contents of different organic and conventional stations soils are shown in Figure 3. Since heavy metals are transported from soil to strawberries through the roots and stems of plants, soil is considered one of the important sources of pollutants. The fact that the average concentrations of different heavy metals (Zn, Cu and Pb) were lower than the risk screening values show that the general heavy metal pollution in Hüyük soils where organic and conventional strawberry cultivation is carried out is not a serious problem.

Figure 3.
Zn (a), Cu (b) and Pb (c) contents in soil samples taken from different stations. Circular marks indicate statistically significant differences (p < 0.05) between organic and conventional stations.
The Zn level in soil samples taken from organic and conventional farming areas was examined, and the highest Zn content was 133.80 ppm at station 6 in soil samples taken from organic farming areas and 74.66 ppm at station 1 in samples taken from conventional farming areas (Figure 3a). When soil samples taken from organic and conventional production areas were compared in terms of total Zn content, the Zn level was higher in soil samples taken from organic farming areas.
The data obtained show that the highest Cu content was 74.26 ppm at station 1 in soil samples taken from regions with organic farming and 108.10 ppm at station 4 in samples taken from regions with conventional agriculture (Figure 3b). When soil samples taken from organic and conventional production areas were compared in terms of total Cu content, the Cu level was higher in soil samples taken from conventional farming areas.
When the Pb level was examined in soil samples taken from organic and conventional farming regions, the highest Pb content was 10.58 ppm at station 1 in soil samples taken from organic farming areas and 35.69 ppm at station 10 in samples taken from conventional farming areas (Figure 3c). In terms of total Pb content, when soil samples taken from organic and conventional production regions were compared, the Pb level was higher in soil samples taken from conventional farming regions.
The correlation between Zn and Cu contents in soil water samples taken from strawberry stations practicing conventional and organic growing methods and Zn and Cu contents taken from fruit samples is given in Figure 4.
Figure 4.
Correlation between soil water Zn and Cu contents and fruit Zn and Cu contents. (a) Correlation between water and fruit Zn contents, (b) correlation between water and fruit Cu contents, (c) correlation between soil and fruit Zn contents, (d) correlation between soil and fruit Cu contents.
In Figure 4, it is seen that there is a high correlation between the Zn content in irrigation water and the Zn content in strawberries. This is an expected situation. However, the same conditions could not be determined between the Zn content in the soil content and the content determined in the fruit. A similar situation is observed for Cu contents in soil, water and fruit. The relationship between the variables is a “cause and effect” relationship, and it may not always seem clear. Therefore, the fact that the variables change together does not always mean that there is a cause–effect relationship between them.
4. Discussion
Fruit firmness is one of the most important post-harvest quality characteristics for strawberry growers, shippers and consumers, especially for the marketing process. Plant genetic characteristics or growing conditions factors such as maturity level, temperature and harvest period can affect this quality parameter [35,36]. Shaw and Larson [37] reported fruit firmness as 9.30 kg in the approved patent document for Albion. Antunes et al. [38] reported fruit firmness as 5.07 kg in the first season and 11.53 kg in the second season for Albion in Brazil. Reganold et al. [23] reported that fruit firmness was higher in organic farming than in conventional farming in their study examining whether there were significant differences in fruit and soil quality in 13 pairs of commercial organic and conventional strawberry farming ecosystems in California. Andrade et al. [24] compared the quality characteristics of strawberry fruits grown in organic and conventional agriculture in Brazil and reported that fruit firmness was higher in organic agriculture than in conventional agriculture. Kilic et al. [21], on the other hand, examined the effects of organic, chemical and organic–chemical fertilizer applications on fruit quality parameters in different strawberry cultivars in Turkey and reported that fruit firmness was lower in organic farming. Neuweiler [39] reported that there is a direct correlation between the nitrogen uptake of strawberry plants and the firmness of the fruit flesh. Contrary to our study findings, reference studies by Reganold et al. [23] and Andrade et al. [24] reported higher fruit firmness in organic farming, and Kılıç et al. [21] reported similar results. As can be seen in the referenced studies, fruit firmness is a quality characteristic that can vary greatly, influenced by different factors.
Fruit weight is an important quality indicator in terms of product yield and nutritional content values. It is seen in the literature that some studies have reached similar results in terms of the fruit quality of organic and conventional strawberry production [23]. Similar results to our study were obtained in a study comparing organic and conventional strawberry cultivation in Southern Italy, where strawberry cultivation is common and has similar climatic characteristics to Turkey. According to this study, the average fruit weight of strawberry fruits obtained from organic agriculture was statistically significantly different when compared with conventional agriculture [40]. In another study conducted in Samsun, the performances of five different strawberry cultivars under organic and conventional growing conditions were examined, and it was reported that fruit weight in organic farming is higher than in conventional farming [41]. In another study by Rhinds and Kovach [42], it was reported that strawberry yield in organic farming was higher than in conventional farming, but the practices had no effect on average fruit weight.
TSS, which is one of the fruit quality characteristics, is important in terms of determining the maturity and harvesting times of the fruits.
In addition, TSS is important as production processes such as fruit juice, concentrate or canned processing must be kept under constant control at various production stages and quality control studies. In the literature, it has been reported that the TSS of strawberries is higher in organic farming than in conventional farming [43]. In another study conducted by Özkan and Güleryüz [44] on strawberry cultivation in Erzurum’s ecological conditions, the TSS values were higher in organic agriculture compared to conventional agriculture. Balci et al. [45] also compared conventional and organic farming techniques in Samsun, Turkey, and stated that the TSS content in organically grown Sweet Charlie and Camarosa cultivars was higher than in conventional farming. Wang and Lin [46] investigated the effectiveness of different growing media (soil, compost and sand) on two different strawberry cultivars, Beltsville and MD. They found that the use of compost significantly increased the titratable acid, TSS, sugar and organic acid content in both cultivars. As seen in the references of numerous studies, TSS is affected by many factors. However, as stated in different reports comparing organic and conventional techniques, it can be said that organic cultivation techniques have a positive effect on the TSS content of the fruit.
The pH value is one of the important quality characteristics that affect the taste quality in determining the tartness and sweetness of strawberries and is also important in determining the ripening period [47]. In a study conducted in Mersin, Turkey, on strawberries, it was determined that the pH content in organic agriculture was lower compared to conventional agriculture [25]. Results similar to our findings were obtained in a study conducted by Sayğı [48] to examine the effects of different organic and chemical fertilizer applications on strawberry fruit quality; the author reported that there was no difference in pH content between applications.
One of the physical quality characteristics is fruit size (width and length) and this is affected by early planting, temperature and pollination factors [49]. Generally, it is commonly believed by producers that the yield and quality of strawberry production will be lower in organic agriculture compared to conventional agriculture [40,46], in which chemical inputs are used.
However, according to our study findings, better results were obtained from organic agriculture in terms of fruit width. Contrary to our study findings, in Mersin’s ecological conditions, it was reported that fruit width was higher in conventional agriculture [25]. The geographical location of the agricultural area is thought to be one of the reasons for this. In a study on organic agriculture and conventional agriculture by Seufert et al. [50], they reported that the yield was lower in organic agriculture and that these yield differences were significantly dependent on the characteristics of the breeding system and area. The use of synthetic chemical fertilizers, which continues for many years, adversely affects the vitality of the soil and may reduce the amount of microorganisms in the soil, and, as a result, the fertility of the soil may decrease [51].
Fruit length, which is an effective quality component in directing consumers’ preferences in terms of marketability, is important in determining the fruit quality of strawberries [40,52]. In the study conducted by Ersoy [25] on strawberries, it was determined that the fruit length in organic agriculture was lower compared to conventional agriculture. Reganold et al. [23] also reported that fruit size was generally smaller in organic farming in a literature review in which they compared organic and conventional production methods in strawberries. Abu-Zahra et al. [53] examined the effects of organic farming and conventional farming on fruit quality in strawberries and found that fruit length, titratable acidity (TA) percentage, moisture content, ammonium content and nitrate content were higher in conventionally produced fruits than in organically produced fruits. The results of previous studies on the subject are different from the data obtained in this study. This situation may be affected by many factors. Cultivation technology can be effective in shaping the fruit composition of strawberries [22]. In addition, organic agriculture is a production method that has gained importance and started to be applied in many countries in the past 20 years. For this reason, new products and techniques that can be used in this production method and that can increase efficiency and quality are being developed.
It is of great importance for human health to determine the content of heavy metals [54], which are scientifically proven to cause great harm to human health, in strawberry fruit, as strawberry production and consumption amounts are increasing around the world. This study was carried out to determine the effects of organic and conventional farming methods on heavy metal (Pb, Cu, Zn and Cd) content in strawberry fruit.
Zn is a trace element necessary for a healthy person. However, high-dose Zn intake exceeding the daily dose tolerable by the human body (0.43 mg/kg body weight; [55]) can damage the pancreas, impair protein metabolism, cause arteriosclerosis and have a toxic effect after exceeding certain amounts in living things [56]. Hattab et al. [26] evaluated the heavy metal content of strawberries grown in conventional and organic farming areas in the east-central region of Tunisia and reported higher heavy metal content in strawberry fruits in conventional farming compared to organic farming. Similar to our study findings, Hattab et al. [26] reported lower Zn (0.98 mg kg−1) content in strawberry fruits in organic agriculture compared to strawberry fruits in conventional agriculture (1.29 mg kg−1). On the other hand, Kotula et al. [57] reported that raspberry fruits obtained from organic farming had significantly more (p ≤ 0.05) cadmium, zinc, manganese and vanadium than those obtained from conventional cultivation, unlike the findings we obtained. It is thought that this situation may be caused by climatic and soil factors. The presence of heavy metals in a plant depends on factors such as the type of plant and its total and accessible content in the soil. Petrova et al. [58], in their study evaluating the effects on fruit quality of two different garden strawberries grown in technologically polluted soils, reported that the highest Zn content in strawberry fruit was 3.78 mg kg−1. Bednarek et al. [28] evaluated the quality of strawberry fruit and heavy metal contents in the Lublin region and reported the highest Zn content of 1307 mg kg−1. While one of the strawberry fruit zinc content values in these two reference studies is close to our study findings obtained from conventional agriculture, the other is a higher value; the values in both studies are higher than our study findings obtained from organic agriculture. Contrary to our study findings, in the literature review of Çakmakçı and Çakmakçı [43], in which product quality characteristics in organic and conventional agriculture were examined, Zn content was higher in organically grown strawberry fruits than in conventional ones.
Cu is the basic building block for hair, skin, bones and some internal organs [59]. However, high Cu intake causes the slowing of growth and development, the graying hair, decreases in body temperature and brain damage [59]. According to the EFSA Scientific Committee, the acceptable Cu intake for an adult human per day is 0.007 mg kg−1 body weight [60]. Petrova et al. [58] evaluated two different strawberry cultivars (Fragaria x ananassa) grown in technologically contaminated soils and reported the highest Cu content as 2.83 mg kg−1. Bednarek et al. [28] reported this value as 0.424 mg kg−1 in their study in the Lublin region. The average Cu values we found in this study are in the range of the values obtained from the aforementioned studies. In the literature review of Çakmakçı and Çakmakçı [43], in which product quality characteristics in organic and conventional agriculture were examined, Cu content was higher in organically grown strawberry fruits than in conventional ones. While these results are similar to our study findings obtained in the spring season, they are the opposite for the autumn season.
The main route of exposure to lead, which is considered a potential carcinogen for humans, is through food. According to our study findings, the average values of Cd and Pb analysis of organic and conventional strawberry fruit samples were below the detection limit. Bednarek et al. [28] similarly reported that the average heavy metal content in strawberry fruit grown in the Lublin region was not at a significant level. Hattab et al. [26] evaluated the heavy metal (Fe, Mg, Mn, K, Ca, Na, Zn, Cu, Ni and Cd) contents of strawberries grown with conventional and organic farming methods in the east-central region of Tunisia, and researchers reported that Cd could not be detected in strawberry fruits, as in our study findings. Wieczorek et al. [27], in their study for the determination of lead, cadmium and persistent organic pollutants in some berry species grown wild and cultivated in Northeast Poland, reported that wild strawberry contains a higher concentration of Cd (50 μg/kg fresh weight) compared to raspberry and blackberry. Cd and Pb amounts in fruit samples below the observable limit values in some studies that were similar to our study in terms of fruit type [61] or the region where the samples were taken [62]. The reason for the different results from the studies is thought to be factors such as the conditions of the study sites and the proximity to pollutant sources. The Hüyük district is a high-altitude region where industrialization is not intense. This situation is thought to be closely related to the low or no heavy metal content in fruits. In addition, under organic farming principles and rules, agricultural activities are recommended to be carried out in areas far from industrial enterprises and main land transportation roads.
Chemical pollutants formed as a result of environmental pollution can be found in both conventional and organic products [57,59]. However, the presence or absence of these chemicals in organic or non-organic foods basically depends on the area of agriculture. The Pb concentration in plants differs, especially due to exhaust gases. It is thought that these results obtained in our study are due to the characteristics of the region. Contamination of foods with cadmium, which is known as a carcinogen, is also a hotly debated issue. In some studies, it has been reported that this element is poorly fixed in the roots of plants and is more evenly distributed in the organs of strawberry plants compared to other heavy metals [58,63]. Cd values in soil and water samples taken from strawberry stations grown with conventional and organic methods are below the detection limit.
5. Conclusions
This study was carried out to compare the fruit quality parameters and heavy metal contents of strawberries grown by organic and conventional methods. Within the scope of the study, organic and conventional strawberry samples collected from different stations were examined by comparing fruit quality parameters (fruit firmness, fruit size, TSS content, pH, fruit width and length) and heavy metal (Pb, Cd, Cu, Zn) contents. According to our study findings, the fruits grown in organic agriculture had greater width, length, weight and TSS values, while fruits grown in conventional agriculture had greater firmness values. According to our study findings, for heavy metal parameters, while the Zn metal content of strawberry fruits grown with conventional agriculture was higher than in organic agriculture, the Cu metal content was found to be higher in organic agriculture in the spring season and in conventional agriculture in the autumn season. The heavy metal content of the soil is of great importance in areas where agriculture will take place, especially in areas where organic farming will be practiced. When the data of the soil samples obtained as a result of this study were compared with the heavy metal limit values allowed in the soil in Turkey and the world, it was observed that heavy metal accumulation in the soil did not exceed the acceptable limit value. When the data of the samples taken from strawberry fruits grown by organic and conventional methods were examined, it was determined that there was Zn and Cu accumulation, but when compared with the heavy metal limit values allowed in plants by the World Health Organization (WHO) and the United Nations Food and Agriculture Organization (FAO), the heavy metal accumulation did not exceed the acceptable limit value. According to these results, it can be said that the region and the strawberries grown there do not show pollution in terms of Zn, Cu, Cd and Pb heavy metals.
Author Contributions
Conceptualization, S.Ş. and M.H.C.; methodology, S.Ş. and M.H.C.; data curation, S.Ş. and M.H.C.; writing—original draft preparation, S.Ş. and M.H.C.; writing—review and editing, S.Ş.; supervision, S.Ş.; project administration, S.Ş.; funding acquisition, S.Ş. All authors have read and agreed to the published version of the manuscript.
Funding
This research was supported by Akdeniz University, Unit of Scientific Research Projects, Antalya, Turkey, Project No. FYL-2020-5366 (only for research funding).
Institutional Review Board Statement
Not applicable.
Informed Consent Statement
Not applicable.
Data Availability Statement
Data are contained within this article.
Acknowledgments
We acknowledge the Unit of Scientific Research Projects, Akdeniz University, for funding this project (FYL-2020-5366).
Conflicts of Interest
The authors declare no conflict of interest.
References
- Chu, E.W.; Karr, J.R. Environmental Impact: Concept, Consequences, Measurement. Ref. Modul. Life Sci. 2017, B978-0-12-809633-8.02380-3. [Google Scholar] [CrossRef]
- Sayği, H.; Sayği, A.; Gökçe, M.A. The future of organic fish production in the world. Asian J. Agric. Rural Dev. 2017, 7, 262–267. [Google Scholar] [CrossRef]
- John, D.A.; Babu, G.R. Lessons from the Aftermaths of Green Revolution on Food System and Health. Front. Sustain. Food Syst. 2021, 22, 644559. [Google Scholar] [CrossRef]
- Zhang, L.; Yan, C.; Guo, Q.; Zhang, J.; Ruiz-Menjivar, J. The impact of agricultural chemical inputs on environment: Global evidence from informetrics analysis and visualization. Int. J. Low-Carbon Technol. 2018, 13, 338–352. [Google Scholar] [CrossRef]
- Rembialkowska, E. Quality of plant products from organic agriculture. J. Sci. Food Agric. 2007, 87, 2757–2762. [Google Scholar] [CrossRef]
- Brundtland, G. Report of the World Commission on Environment and Development: Our Common Future. United Nations General Assembly Document A/42/427. 1987. Available online: https://sustainabledevelopment.un.org/content/documents/5987our-common-future.pdf (accessed on 9 March 2023).
- Gil, J.M.; Gracia, A.; Sanchez, M. Market segmentation and willingness to pay for organic products in Spain. Int. Food Agribus. Manag. Rev. 2000, 3, 207–226. [Google Scholar] [CrossRef]
- Rai, P.K.; Lee, S.S.; Zhang, M.; Tsang, Y.F.; Kim, K.H. Heavy metals in food crops: Health risks, fate, mechanisms, and management. Environ. Int. 2019, 125, 365–385. [Google Scholar] [CrossRef]
- Seven, T.; Can, B.; Darende, B.N.; Ocak, S. Heavy Metals Pollution in Air and Soil. Ulus. Çevre Bilim. Araştırma Derg. 2018, 1, 91–110. [Google Scholar]
- Özbolat, G.; Tuli, A. Effects of Heavy Metal Toxicityon Human Health. Arch. Med. Rev. J. 2016, 25, 502–521. [Google Scholar]
- Briffa, J.; Sinagra, E.; Blundell, R. Heavy metal pollution in the environment and their toxicological effects on humans. Heliyon 2020, 6, e04691. [Google Scholar] [CrossRef]
- MEU Regulation on the Control of Soil Pollution. Number: 25831, 31 May 2005. Available online: https://www.resmigazete.gov.tr/eskiler/2010/06/20100608-3.htm (accessed on 9 March 2023).
- FAO/WHO. Food Additives and Contaminants. Codex Alimentarius Commission. Joint FAO/WHO Food Standards Program, ALI-NORM 01/12A. In Proceedings of the Report of the 33rd Session of the Codex Committee on Food Additives and Contaminants, The Hague, The Netherlands, 12–16 March 2001; pp. 1–289. [Google Scholar]
- Giampieri, F.; Tulipani, S.; Alvarez-Suarez, J.M.; Quiles, J.L.; Mezzetti, B.; Battino, M. The strawberry composition, nutritional quality, and impact on human health. Nutrition 2012, 28, 9–19. [Google Scholar] [CrossRef] [PubMed]
- Gündüz, K. Strawberry: Phytochemical Composition of Strawberry (Fragaria × ananassa). In Nutritional Composition of Fruit Cultivars; Simmonds, M.S.J., Victor, R., Preedy, V.R., Eds.; Academic Press: London, UK, 2016; Chapter 30; pp. 733–752. [Google Scholar] [CrossRef]
- Hannum, S.M. Potential impact of strawberries on human health: A review of the science. Crit. Rev. Food Sci. Nutr. 2004, 44, 1–17. [Google Scholar] [CrossRef] [PubMed]
- Rapuru, R.; Bathula, S.; Kaliappan, I. Phytochemical Constituents and Pharmacological Activities of Strawberry. In Recent Studies on Strawberries; Kafkas, N.E., Ed.; IntechOpen: London, UK, 2023; Chapter 10; pp. 173–191. [Google Scholar] [CrossRef]
- FAO. Crops and Livestock Products. 2021. Available online: https://www.fao.org/faostat/en/#data/QCL (accessed on 9 March 2023).
- FIBL. FiBL & IFOAM Organics International. The World of Organic Agriculture, Statistics & Emerging Trends 2022. 2021. Available online: https://www.fibl.org/fileadmin/documents/shop/1344-organic-world-2022.pdf (accessed on 9 March 2023).
- Roussos, P.A.; Triantafillidis, A.; Kepolas, E.; Peppas, P.; Piou, A.; Zoti, M.; Gasparatos, D. Effects of Integrated and Organic Management on Strawberry (cv. Camarosa) Plant Growth, Nutrition, Fruit Yield, Quality, Nutraceutical Characteristics, and Soil Fertility Status. Horticulturae 2022, 8, 184. [Google Scholar] [CrossRef]
- Kılıc, N.; Burgut, A.; Gündesli, M.A.; Nogay, G.; Ercisli, S.; Kafkas, N.E.; Ekiert, H.; Elansary, H.O.; Szopa, A. The Effect of Organic, Inorganic Fertilizers and Their Combinations on Fruit Quality Parameters in Strawberry. Horticulturae 2021, 7, 354. [Google Scholar] [CrossRef]
- Sener, S.; Turemis, N.F. Effects of various mulch materials on fruit quality characteristics on organically grown strawberries. Fresen. Environ. Bull. 2017, 26, 4616–4622. [Google Scholar]
- Reganold, J.P.; Andrews, P.K.; Reeve, J.R.; Carpenter-Boggs, L.; Schadt, C.W.; Alldredge, J.R.; Zhou, J. Fruit and soil quality of organic and conventional strawberry agroecosystems. PLoS ONE 2010, 5, e12346. [Google Scholar] [CrossRef]
- Andrade, C.A.W.; Miguel, A.C.A.; Spricigo, P.C.; dos Dias, C.T.S.; Jacomino, A.P. Comparison of Quality between Organic and Conventional Strawberries from Multiple Farms. Rev. Bras. Frutic. 2017, 39, e045. [Google Scholar]
- Ersoy, N. Some Physico-chemical Properties and Antioxidant Capacities of organically and conventionally cultivated strawberry ‘Camarosa’. Selçuk Tarım Gıda Bilim. Derg. 2011, 25, 73–78. [Google Scholar]
- Hattab, S.; Bougattass, I.; Hassine, R.; Dridi-Al-Mohandes, B. Metals and micronutrients in some edible crops and their cultivation soils in eastern-central region of Tunisia: A comparison between organic and conventional farming. Food Chem. 2019, 270, 293–298. [Google Scholar] [CrossRef]
- Wieczorek, J.; Pietrzak, M.; Osowski, A.; Wieczorek, Z. Determination of lead, cadmium, and persistent organic pollutants in wild and orchard-farm-grown fruit in northeastern Poland. J. Toxicol. Environ. Health 2010, 73, 1236–1243. [Google Scholar] [CrossRef]
- Bednarek, W.; Tkaczyk, P.; Dresler, S. Content of heavy metals as a criterium of the quality of strawberry fruit and soil properties. Pol. J. Soil Sci. 2006, 39, 165–174. [Google Scholar]
- MEVKA. Organik Hüyük Çileği Üretiminin Geliştirilmesinde İhracat Kanalları ve Lojistik Çalıştayı Sonuç Özeti; Konya: Mevlana Kalkınma Ajansı, Turkey, 2014. Available online: https://www.mevka.org.tr/assets/upload/dosyalar/DsyzsN9KX53201933756PM.pdf (accessed on 25 March 2023).
- Paparozzi, E.T.; Meyer, G.E.; Schlegel, V.; Blankenship, E.E.; Adams, S.A.; Conley, M.E.; Loseke, B.A.; Read, P.E. Strawberry cultivars vary in productivity, sugars and phytonutrient content when grown in a greenhouse during the winter. Sci. Hortic. 2018, 227, 1–9. [Google Scholar] [CrossRef]
- Gabriel, A.; de Resende, J.T.; Zeist, A.R.; Resende, L.V.; Resende, N.C.; Zeist, R.A. Phenotypic stability of strawberry cultivars based on physicochemical traits of fruits. Hortic. Bras. 2019, 37, 75–81. [Google Scholar] [CrossRef]
- Shaw, D.V. Strawberry production systems, breeding and cultivars in California. In Simpósio Nacional de Morango; do Raseira, M.C.B., Antunes, L.E.C., Trevisan, R., Dias, E.G., Eds.; Embrapa Pelotas: State of Rio Grande do Sul, Brazil, 2004; pp. 16–21. [Google Scholar]
- Voica, C.; Kovacs, M.H.; Dehelean, A.; Ristoiu, D.; Iordache, A. ICP-MS determinations of heavy metals in surface waters from Transylvania. Roman. J. Phys. 2012, 57, 1184–1193. [Google Scholar]
- Lindsay, W.L.; Norvell, W. Development of a DTPA soil test for zinc, iron, manganese, and copper. Soil Sci. Soc. Am. J. 1978, 42, 421–428. [Google Scholar] [CrossRef]
- Dunn, J.L.; Able, A.J. Pre-harvest calcium effects on sensory quality and calcium mobility in strawberry fruit. Acta Hort. 2006, 708, 307–311. [Google Scholar] [CrossRef]
- Døving, A.; Måge, F.; Vestrheim, S. Methods for Testing Strawberry Fruit Firmness. Small Fruits Rev. 2005, 4, 11–34. [Google Scholar] [CrossRef]
- Shaw, D.V.; Larson, K.D. Strawberry Plant Named ‘Albion’. U.S. Plant Patent 16,228 P3, 31 January 2006. Available online: https://patentimages.storage.googleapis.com/61/ce/e7/aca66ac422372b/USPP16228.pdf (accessed on 11 March 2023).
- Antunes, M.C.; Cuquel, F.L.; Zawadneak, M.A.C.; Mogor, Á.F.; Resende, J.T.V. Postharvest quality of strawberry produced during two consecutive seasons. Hortic. Bras. 2014, 32, 168–173. [Google Scholar] [CrossRef]
- Neuweiler, R. Nitrogen fertilization in integrated outdoor strawberry production. In Proceedings of the III International Strawberry Symposium Veldhoven, Veldhoven, The Netherlands, 1 September 1997. [Google Scholar] [CrossRef]
- Conti, S.; Villari, G.; Faugno, S.; Melchionna, G.; Somma, S.; Caruso, G. Effects of organic vs. conventional farming system on yield and quality of strawberry grown as an annual or biennial crop in southern Italy. Sci. Hortic. 2014, 180, 63–71. [Google Scholar] [CrossRef]
- Macit, I.; Koç, A.; Guler, S.; Deligoz, I. Yield, quality, and nutritional status of organically and conventionally grown strawberry cultivars. Asian J. Plant Sci. 2007, 6, 1131–1136. [Google Scholar]
- Rhainds, M.; Kovach, J.; English-Loeb, G. Impact of strawberry cultivar and incidence of pests on yield and profitability of strawberries under conventional and organic management systems. Biol. Agric. Horticult. 2002, 19, 333–353. [Google Scholar] [CrossRef]
- Çakmakçı, S.; Çakmakçı, R. Quality and Nutritional Parameters of Food in Agri-Food Production Systems. Foods 2023, 12, 351. [Google Scholar] [CrossRef]
- Özkan, G.; Güleryüz, M. The Effects of Some Organic and Chemical Fertilizer Applications on Chemical Contents of Fruits in Strawberry (Fragaria x ananassa L.). Atatürk Üniv. Ziraat Fakültesi Derg. 2017, 47, 77–83. [Google Scholar]
- Balcı, G. A Study on Comparing Classical and Organic Strawberry Growing system in Terms of Yield, Fruit Quality and Economic Feasibility. Master’s Thesis, Ondokuz Mayıs Üniversitesi, Samsun, Türkiye. 2005; pp. 1–59. Available online: https://tez.yok.gov.tr/UlusalTezMerkezi/tezDetay.jsp?id=4iuZib23s8nA3Xp4D_lKGw&no=4szpoOJ6Fy5KJvsroPIbOA (accessed on 9 March 2023).
- Wang, S.Y.; Lin, S.S. Composts as soil supplement enhanced plant growth and fruit quality of strawberry. J. Plant Nutr. 2002, 25, 2243–2259. [Google Scholar] [CrossRef]
- Basak, J.K.; Madhavi, B.G.K.; Paudel, B.; Kim, N.E.; Kim, H.T. Prediction of Total Soluble Solids and pH of Strawberry Fruits Using RGB, HSV and HSL Colour Spaces and Machine Learning Models. Foods 2022, 11, 2086. [Google Scholar] [CrossRef]
- Sayğı, H. Effects of Organic Fertilizer Application on Strawberry (Fragaria vesca L.) Cultivation. Agronomy 2022, 12, 1233. [Google Scholar] [CrossRef]
- Agehara, S.; Nunes, M.C.D.N. Season and nitrogen fertilization effects on yield and physicochemical attributes of strawberry under subtropical climate conditions. Agronomy 2021, 11, 1391. [Google Scholar] [CrossRef]
- Seufert, V.; Navin, R.; Foley, J.A. Comparing the yields of organic and conventional agriculture. Nature 2012, 485, 229–232. [Google Scholar] [CrossRef]
- Şener, S.; Türemiş, N.F.; Tanır, F. Agrochemical usage for sustainable fruit production and human health. In Agrochemicals Detection, Treatment and Remediation; Butterworth-Heinemann: Oxford, UK, 2020; pp. 291–305. [Google Scholar]
- Hortyński, J.A.; Żebrowska, J.; Gawroński, J.; Hulewicz., T. Factors influencing fruit size in the strawberry (Fragaria ananassa Duch.). Euphytica 1991, 56, 67–74. [Google Scholar] [CrossRef]
- Abu-Zahra, T.R.; Al-Ismail, K.; Shatat, F. Effect of organic and conventional systems on fruit quality of strawberry (Fragaria x ananassa Duch.) grown under plastic house conditions in the Jordan valley. In Proceedings of the 1st International Symposium on Fresh Food Quality Standards: Better od by Quality and Assurance, Alanya, Turkey, 27–28 April 2017; Volume 741, pp. 159–171. [Google Scholar]
- Rusin, M.; Domagalska, J.; Rogala, D.; Razzaghi, M.; Szymala, I. Concentration of cadmium and lead in vegetables and fruits. Sci. Rep. 2021, 11, 11913. [Google Scholar] [CrossRef]
- SCCS (Scientific Committee on Consumer Safety). Opinion on Watersoluble Zinc Salts Used in Oral Hygiene Products—Submission I, Preliminary Version Adopted on 7 March 2017, Final Version Adopted on 21–22 June 2018, SCCS/1586/17. Available online: https://health.ec.europa.eu/system/files/2021-08/sccs_o_207_0.pdf (accessed on 9 March 2023).
- Doğan, M. Çinko Eksikliği ve Fazlalığı. Klin. Tıp Pediatri Derg. 2020, 12, 13–19. [Google Scholar]
- Kotuła, M.; Kapusta-Duch, J.; Smoleń, S. Evaluation of Selected Heavy Metals Contaminants in the Fruits and Leaves of Organic, Conventional and Wild Raspberry (Rubus idaeus L.). Appl. Sci. 2022, 12, 7610. [Google Scholar] [CrossRef]
- Petrova, O.; Kachanova, T.; Manuchkina, T.; Trybrat, R.; Smirnova, I. Quality of garden strawberry fruit grown under conditions of technogenic pollution. Food Sci. Technol. 2020, 14, 122–129. [Google Scholar] [CrossRef]
- Yerli, C.; Çakmakcı, T.; Sahin, U.; Tüfenkçi, Ş. The Effects of Heavy Metals on Soil, Plant, Water and Human Health. Turk. J. Nat. Sci. 2020, 1, 103–114. [Google Scholar]
- EFSA, European Food Safety Authority. Total Copper Intakes below New Safe Level. 2023. Available online: https://www.efsa.europa.eu/en/news/total-copper-intakes-below-new-safe-level (accessed on 9 March 2023).
- Tosun, E. Determination of Trace Elements and Minerals in Some Fruits and Vegetable Tissues which Used at Teratment Disease. Master’s Thesis,İnönü Üniversitesi, Malatya, Türkiye, 2009; pp. 1–140. Available online: http://abakus.inonu.edu.tr/xmlui/handle/11616/1031 (accessed on 14 March 2023).
- Hamurcu, M.; Özcan, M.M.; Dursun, N.; Gezgin, S. Mineral and heavy metal levels of some fruits grown at the roadsides. Food Chem. Toxicol. 2010, 48, 1767–1770. [Google Scholar] [CrossRef] [PubMed]
- Siedlecka, A. Some aspects of interactions between heavy metals and plant mineral nutrients. Acta Soc. Botan. Pol. 1995, 64, 265–272. [Google Scholar] [CrossRef]
Disclaimer/Publisher’s Note: The statements, opinions and data contained in all publications are solely those of the individual author(s) and contributor(s) and not of MDPI and/or the editor(s). MDPI and/or the editor(s) disclaim responsibility for any injury to people or property resulting from any ideas, methods, instructions or products referred to in the content. |
© 2023 by the authors. Licensee MDPI, Basel, Switzerland. This article is an open access article distributed under the terms and conditions of the Creative Commons Attribution (CC BY) license (https://creativecommons.org/licenses/by/4.0/).




