You are currently viewing a new version of our website. To view the old version click .
Applied Sciences
  • Article
  • Open Access

15 June 2023

A New Model of Ultrasonic Guided Wave Propagation in Blood Vessels and Its Propagation Characteristics

,
,
,
,
and
1
School of Information Science and Technology, Fudan University, Shanghai 204333, China
2
School of Environment and Civil Engineering, Dongguan University of Technology, Dongguan 523808, China
3
Guangdong Provincial Key Laboratory of Intelligent Disaster Prevention and Emergency Technologies for Urban Lifeline Engineering, Dongguan University of Technology, Dongguan 523808, China
*
Author to whom correspondence should be addressed.
This article belongs to the Section Acoustics and Vibrations

Abstract

The identification of a blood vessel’s elastic properties by an ultrasonic guided wave mainly depends on the accurate propagation characteristics, which are obtained by solving the problem of elastic mechanics based on a thin-plate model. However, this method cannot accurately predict the characteristics for low frequencies. Since blood vessels are of a tubular structure, a hollow-cylinder model, constructed to model blood vessels, is proposed in this paper. Based on this model, the propagation characteristics and dispersion curves of the ultrasonic guided wave propagating along the axial direction are studied by expanding the state equation using Legendre polynomials. A detailed comparison between the results of the proposed model and the thin-layer-based model is presented. It is shown that the dispersion curves of the L (0,1) modes, calculated by the two different models, are a match for high frequencies but differ for low frequencies. The dispersion curve of the L (0,1) mode calculated by the proposed model is in good agreement with the results of the reported experiments. Then, the relationship between the propagation characteristics of ultrasonic guided waves and Young’s modulus is studied. It is discovered that the phase velocity and group velocity are significantly affected by Young’s modulus close to the cutoff frequency, which has important implications for the selection of the detection frequency to the characteristic parameter of vascular.

1. Introduction

Arterial vascular lesions can cause all kinds of serious cardiovascular diseases. Therefore, it is of great clinical significance to develop accurate and rapid detection methods for the early diagnosis of arterial vascular lesions. As an indispensable clinical tool, ultrasound examination has the advantages of non-invasion and non-radiation and is widely used in various medical tests [1,2]. In this method, specific kinds of ultrasonic waves are artificially stimulated, and the mechanical properties of human tissues are obtained by analyzing various reflection and transmission phenomena in the human body to assist in medical diagnosis [3,4]. In 1998, Sarvazyan et al. [5] first proposed the shear wave elastography (SWE) method, and the echo wave of the shear wave that is induced remotely by the focused ultrasonic beam radiation force is analyzed in detail to obtain the elastic modulus of the internal organs more precisely. The SWE method has also been introduced in the diagnosis of vascular diseases [6,7]. In 2016, Widman et al. [8] simulated the human carotid artery with the pig aorta and estimated the stiffness by SWE. Then, Fedak and Urbanik [9] proposed a method to evaluate arterial health by observing and classifying echo wave characteristics of SWE. Systematic reviews from Pruijssen [10] and Golemati [11] comprehensively discussed the feasibility and clinical value of vascular SWE in evaluating atherosclerotic diseases or other related diseases at different stages.
However, different from other large and uniform human tissues, arterial vessels cannot be regarded as an infinite medium, but instead, as a thin-walled hollow cylinder form. Maksuti [12] has proved that group velocity with an infinite medium assumption incorrectly estimated shear modulus values in confined geometries, and should therefore not be available in the diagnosis of arterial vascular lesions. The ultrasonic wave propagated in the vascular wall will propagate along the tube wall and have reflective and radial interference, thus showing the propagation characteristics of guided waves [13,14], which is inconsistent with the hypothesis in the SWE. In 2011, Nenadic [15] first developed a thin-layer soft of viscoelastic solids, obtained the analytical solution of zero-order anti-symmetric Lamb waves, and proposed a method to judge the elasticity of blood vessels by analyzing the propagation characteristics of Lamb waves in the thin-layer soft model. The feasibility of the thin-layer soft model in the measurement of vascular elasticity was also verified through the experiment of polyurethane tubes and pig arteries [13]. Then, Guo [16] estimated the arterial shear modulus in longitudinal and transverse directions using this model in [15]. Li [17] also developed a method to solve the vascular elastic modulus based on the guided circumferential wave (GCW) in the thin-layer-based method. However, since the guided wave property equation in [15] is a transcendental equation, all of the above solutions can only be obtained by the finite element method, which requires a huge amount of computation. In addition, the ratio between the radius and thickness of blood vessels must be greater than a certain value to analyze the axial propagation of guided waves in blood vessels by the thin-layer-based model. Moreover, when the wavelength is equivalent to the diameter of the blood vessel, the geometric shape of the blood vessel will have an impact on the propagation characteristics of the guided wave [14], resulting in a large deviation in the prediction of the thin-layer-based method for low frequencies.
There are also some methods for calculating guided waves in a cylinder. Transfer Matrix Method [18] and Global Matrix Method [19,20] have been used to solve the propagation characteristics of Lamb waves in isotropic plates and cylinders. Some efficient numerical solvers, such as Disperse [21], have also been developed based on matrix methods. However, a solution to the problem of the propagation of guided waves in a cylinder is much more numerically demanding than that of guided waves in plates, so these methods often fail due to the necessity of calculating complicated Bessel functions for large arguments and orders, or the high-frequency problem. Moreover, these methods strongly depend on vulnerable root-searching algorithms in the wavenumber domain. In other words, while these matrix methods are accurate and flexible, they require an iterative approach and are prone to numerical instability. In addition, the global matrix method sometimes failed to trace the curves for the complicated system, resulting in the dispersion curves crossing incorrectly at adjacent branches. For these reasons, matrix methods are not effective in solving vascular models with a much lower Young’s modulus than normal materials.
To obtain the accurate propagation characteristics along the axial direction of guided waves in the arterial wall, we construct the arterial vessel as a hollow cylinder model, and then use the Legendre polynomial to expand the guided wave characteristic equation in the vessel. The polynomial-expansion techniques can obtain the analytical solution of the integral expression involved in the dispersion equation of cylinder guided waves by the recursive and orthogonal properties of the Legendre polynomial. In 2017, Zheng et al. [22] first used the Legendre polynomial method in solving the guided waves in anisotropic plates, then they introduced the similar method to hollow cylinders [23]. Compared to the matrix methods, the polynomial-expansion method transforms the solution of the cylinder guided waves into a polynomial eigenvalue problem, which avoids solving any transcendental equation and increases the stability of the method. However, this method does not miss any modes and has the ability to calculate all modes that exist for the given case, and frequency/wave number range, automatically. It also can avoid tracing a wrong mode and reduce or eliminate the mode-jumping (mode-crossing) phenomenon in tracing modes. All these advantages make the polynomial-expansion technique a robust and efficient algorithm.
On the basis of using the Legendre polynomial method, we derive the analytical solution of the guided wave in the arterial wall and obtain the propagation characteristics and dispersion curves. Then, the calculated results of the method are analyzed and compared with that obtained by the thin-layer-based method in [15], in order to validate our method and explore the propagation characteristics of guided waves in arterial vessels.
The paper is organized as follows. In Section 2, we analyze the propagation characteristics of the guided wave in a hollow cylinder model and derive the state equation by using Legendre polynomial expansion. Section 3 presents the comparison between the proposed method and the thin-layer-based method in [15], along with the dispersion curves with different elasticity. General concluding is in Section 4.

2. Analytical Model for Guided Waves in a Hollow Cylinder

To study the axial propagation characteristics of guided waves in the arterial wall, we consider the vessel as a hollow cylinder structure with an inner diameter a and outer diameter b . As shown in Figure 1, a cylindrical coordinate system with radial direction r , circumferential direction θ and axial direction z is established, and the coordinate axes are aligned with the center line of the cylinder.
Figure 1. Hollow cylinder model of arterial vessel.
Assuming that the arterial wall is uniform, isotropic, and elastic, the equilibrium equation in the column coordinate system [23] can be expressed as:
σ r r r + 1 r σ r θ θ + σ r z z + σ r r σ θ θ r = ρ 2 u r t 2 σ r θ r + 1 r σ θ θ θ + σ θ z z + 2 σ r θ r = ρ 2 u θ t 2 σ r z r + 1 r σ θ z θ + σ z z z + σ r z r = ρ 2 u θ t 2
where σ i j is the component of the stress tensor in the blood vessel ( i , j = r , θ , z ), u r , u θ and u z is the radial, circumferential and axial displacement component, respectively, and ρ is the density of the vessel. For an isotropic material, the stress–strain relationship in the cylindrical coordinate system can be described as [24]:
σ i j = 2 G ε i j + λ ε k k δ i j
where ε i j is the strain tensor, λ is Lamé constant, G is the shear modulus, δ i j is the Kronecker delta, and ε k k = ε i i + ε θ θ + ε z z is the strain tensor trace. λ and G are determined by vascular mechanical properties; it can also be expressed by Young’s modulus E and Poisson’s ratio ν as [24]:
λ = E ν ( 1 + ν ) ( 1 2 ν ) G = E 2 ( 1 + ν )
In the arterial model, the mechanical properties of representative blood vessels are shown in Table 1.
Table 1. Mechanical properties of representative blood vessels [13,14,25].
In addition, in the column coordinate system, each strain component can be represented by displacement as:
ε r r = u r r ε θ θ = u r r + 1 r u θ θ ε z z = u z z ε r z = u z r + u r z ε θ z = 1 r u z θ + u θ z ε r θ = 1 r u θ θ + u θ r u θ r
By combining Equations (1)–(4), and eliminating the stress and strain tensors, it can be derived that:
λ 2 u r r 2 + 1 r 2 G 2 u r θ 2 + G 2 u r z 2 + 1 r ( λ + 3 G ) 2 u θ r θ + ( λ + 3 G ) 2 u z r z + 1 r λ u r r 1 r 2 ( λ + G ) u θ θ 1 r 2 λ u r = ρ 2 u r t 2 G 2 u θ r 2 + 1 r 2 λ 2 u θ θ 2 + G 2 u θ z 2 + 1 r ( λ + 3 G ) 2 u r r θ + 1 r ( λ + 3 G ) 2 u z θ z + 1 r G u θ r + 1 r 2 ( λ + G ) u r θ 1 r 2 G u θ = ρ 2 u θ t 2 G 2 u z r 2 + 1 r 2 G 2 u z θ 2 + λ 2 u z z 2 + ( λ + 3 G ) 2 u r r z + 1 r ( λ + 3 G ) 2 u θ θ z + 1 r ( λ + 3 G ) u r z + 1 r G u z r = ρ 2 u z t 2
Equation (5) is the wave equation expressed by the displacement vector component and the vascular mechanical constant. Finally, the boundary condition of the hollow cylinder model satisfies as stress-free on the inner and outer surfaces, which can be written as:
σ r r = a , b = 0 , σ r θ r = a , b = 0 , σ r z r = a , b = 0
Simplify Equation (6) with Equations (2), (3) and (A8), the boundary condition can be expressed as:
( λ + 2 G ) u r r + λ r ( u r + j n u θ ) + j k λ u z r = a , b = 0 G u θ r + G r ( j n u r u θ ) r = a , b = 0 G u z r + j k G u r r = a , b = 0
By using the similar method in [23,26], Legendre polynomials are introduced to simplify Equation (5) and eliminate the derivative terms (the detailed simplification process is in Appendix A), then it can be derived that:
ξ 2 G T 1 Ψ r + j ξ ( l k 0 C 0 ( G + λ ) T 2 Ψ z 1 k 0 C 0 ( 2 G ) T 3 Ψ θ + 1 k 0 C 0 ( λ ) T 3 Ψ z ) n 2 k 0 2 C 0 ( G ) T 5 Ψ r + j n l k 0 2 C 0 ( G + λ ) T 6 Ψ θ + l k 0 2 C 0 ( λ + 2 G ) T 7 Ψ r l k 0 2 C 0 ( λ + 3 G ) T 7 Ψ θ + l 2 k 0 2 C 0 ( λ + 2 G ) T 8 Ψ r j n k 0 2 C 0 ( λ + 3 G ) T 9 Ψ θ 1 k 0 2 C 0 ( λ + 2 G ) T 10 Ψ r + ρ ρ 0 T 11 Ψ r = 0 ξ 2 G T 1 Ψ θ + j ξ ( 1 k 0 C 0 ( 2 G ) T 3 Ψ r ) + j 2 k n k 0 C 0 ( G + λ ) T 4 Ψ z n 2 k 0 2 C 0 ( λ + 2 G ) T 5 Ψ r + j n l k 0 2 C 0 ( G + λ ) T 6 Ψ r + l k 0 2 C 0 ( λ + 3 G ) T 7 Ψ r + l k 0 2 C 0 ( G ) T 7 Ψ θ + l 2 k 0 2 C 0 ( G ) T 8 Ψ θ + j n k 0 2 C 0 ( λ + 3 G ) T 9 Ψ r 1 k 0 2 C 0 ( G ) T 10 Ψ θ + ρ ρ 0 T 11 Ψ θ = 0 ξ 2 ( λ + 2 G ) T 1 Ψ z + j ξ ( l k 0 C 0 ( G + λ ) T 2 Ψ r + 1 k 0 C 0 ( G ) T 3 Ψ r ) + j 2 k n k 0 C 0 ( G + λ ) T 4 Ψ θ n 2 k 0 2 C 0 ( G ) T 5 Ψ r + l k 0 2 C 0 ( G ) T 7 Ψ z + l 2 k 0 2 C 0 ( G ) T 8 Ψ z + ρ ρ 0 T 11 Ψ z = 0
where l is the known quantity used to transform the displacement field to the orthogonality intervals during the introduction of the Legendre polynomial, which can be expressed by the inner radius and outer radius as:
l = 2 b a
T 1 ~ T 11 are the N × N dimensional matrices of known coefficients obtained by Legendre polynomial expansion, k is the wave number in the axial direction, and n is the circumferential order. k 0 and ρ 0 are the reference wave number, and the reference density introduced for ease of calculation and ξ = k / ω C 0 / ρ 0 is the normalized wave number, which contains the dispersion relation, where ω is the angular frequency.
N groups of Legendre polynomials are introduced in the simplification process, and N polynomial coefficients Ψ n are generated. Each polynomial coefficient contains three expansion components, r , θ and z , which are grouped into
Ψ r = Ψ r 1 Ψ r 2 Ψ r N T Ψ θ = Ψ θ 1 Ψ θ 2 Ψ θ N T Ψ z = Ψ z 1 Ψ z 2 Ψ z N T
Then, after sorting out Equation (8) according to the order of normalized wave number ξ , one has
( ξ 2 M 2 + j ξ M 1 + M 0 ) Ψ 3 N = 0
where Ψ 3 N = Ψ r T Ψ θ T Ψ z T T is the unknown coefficient introduced by the Legendre polynomials, M 0 , M 1 and M 2 are the known coefficient matrices. From Equation (11), we get a linear eigenvalue equation. For each group of ω and n , there should be a corresponding set of solutions ξ m n to make the front part of the coefficient matrix ξ 2 M 2 + j ξ M 1 + M 0 contain the eigenvalue 0, thus satisfying the equation. Every single solution ξ m n of the set represents the m-th axial mode in the case of angular frequency ω and circumferential order n . Thus, the relationship between wave number and frequency can be obtained by solving the eigenvalue problem described above. The relation between the frequency and the phase velocity can be obtained through that between the wavenumber and frequency:
c p = ω k
The group velocity can also be expressed as follows:
c g = d ω d k = c p + k d c p d k

3. Calculation Results and Discussions

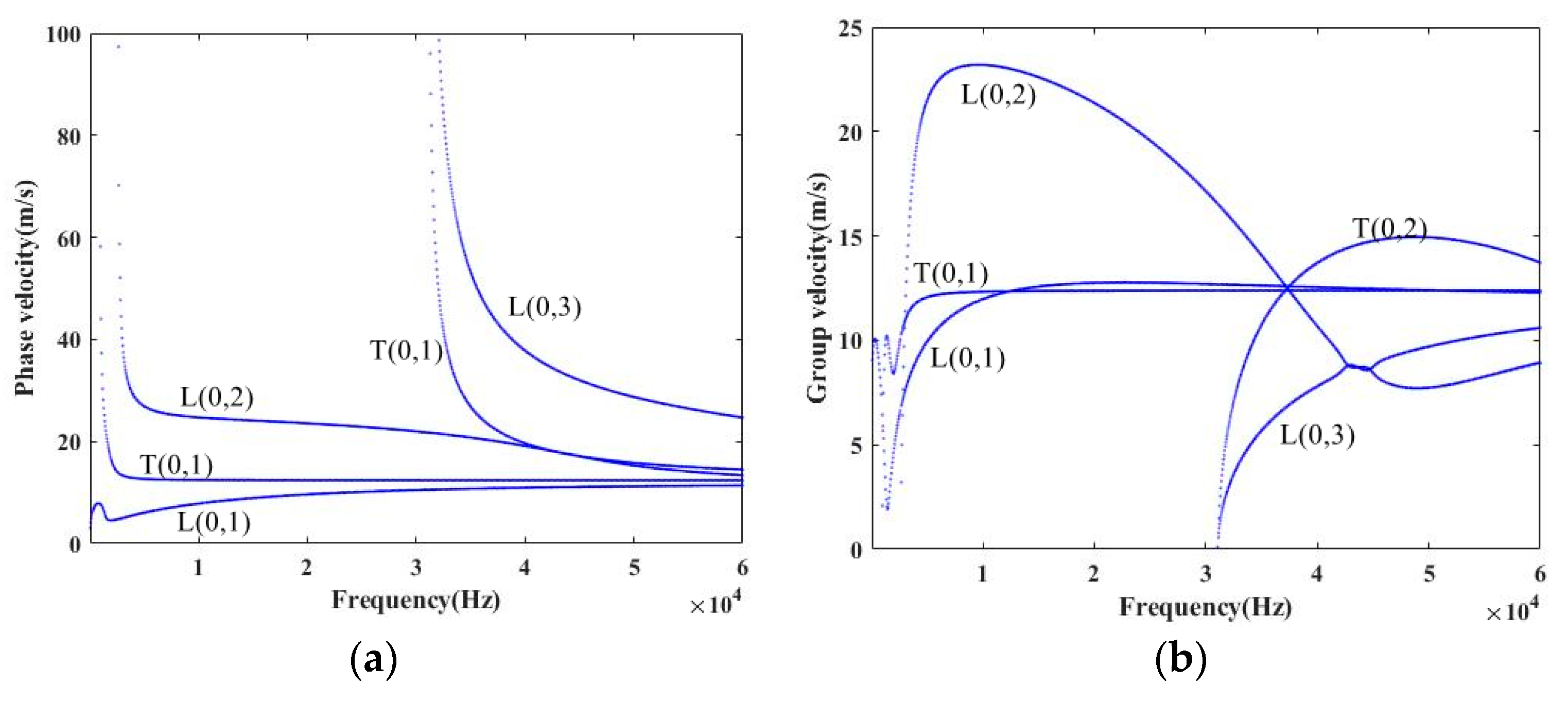
We solve Equation (11) by Matlab and calculate the dispersion curve of guided waves in blood vessels. In all simulation operations in this paper, the Legendre polynomial number introduced is N = 10 , and the convergence of solutions will be shown below. In the simulation process of the Matlab program, the differential process in Equation (13) is replaced by difference. Under the vascular mechanical characteristics shown in Table 1, the dispersion curves can be obtained, as shown in Figure 2:
Figure 2. Dispersion curves of phase velocity (a) and group velocity (b) in simulation operation.
The longitudinal guided waves in the arterial wall can be divided into three modes: axial-symmetry longitudinal mode, axial-symmetry torsional mode, and non-axisymmetric flexural mode, which are labeled by L (0, m), T (0, m) and F (n, m) [27]. As the frequency increases, various high-order flexural modes will nearly approach the corresponding longitudinal modes [23].
It can be found in Figure 2 that there is a peak in the low-frequency region of the phase velocity of the L (0,1) mode, which can also be clearly seen in the measured data of [14]. This is because the wavelength of the guided wave is longer in the low-frequency region and is comparable to the diameter of the blood vessel. So the geometric shape of the blood vessel has an impact on the propagation characteristics of the guided wave. In addition, except for L (0,1) mode, all other modes have cutoff frequency, near which the I havephase velocity and group velocity of the corresponding mode changes significantly, and the phase velocity tends to infinity while the group velocity tends to 0.
Then, the convergence of solutions under the Legendre polynomial number N = 10 is worth discussing. After setting the Legendre polynomial number to 2~10, respectively, part of the dispersion curve of the phase velocity under the mechanical property of Table 1 is shown as Figure 3.
Figure 3. Dispersion curves of phase velocity under different Legendre polynomial numbers. When the Legendre polynomial number N = 2 , the result does not converge and return the solution of NaNs.
As shown in Figure 3a,b, there were obvious errors and zero values that are not expected in the curve. In contrast, the dispersion curves under N 6 tend to be stable. Considering that the frequency-thickness of the guided wave in blood vessels does not change dramatically in the proposed method, it is feasible and effective to select a parameter N = 10 with redundancy.
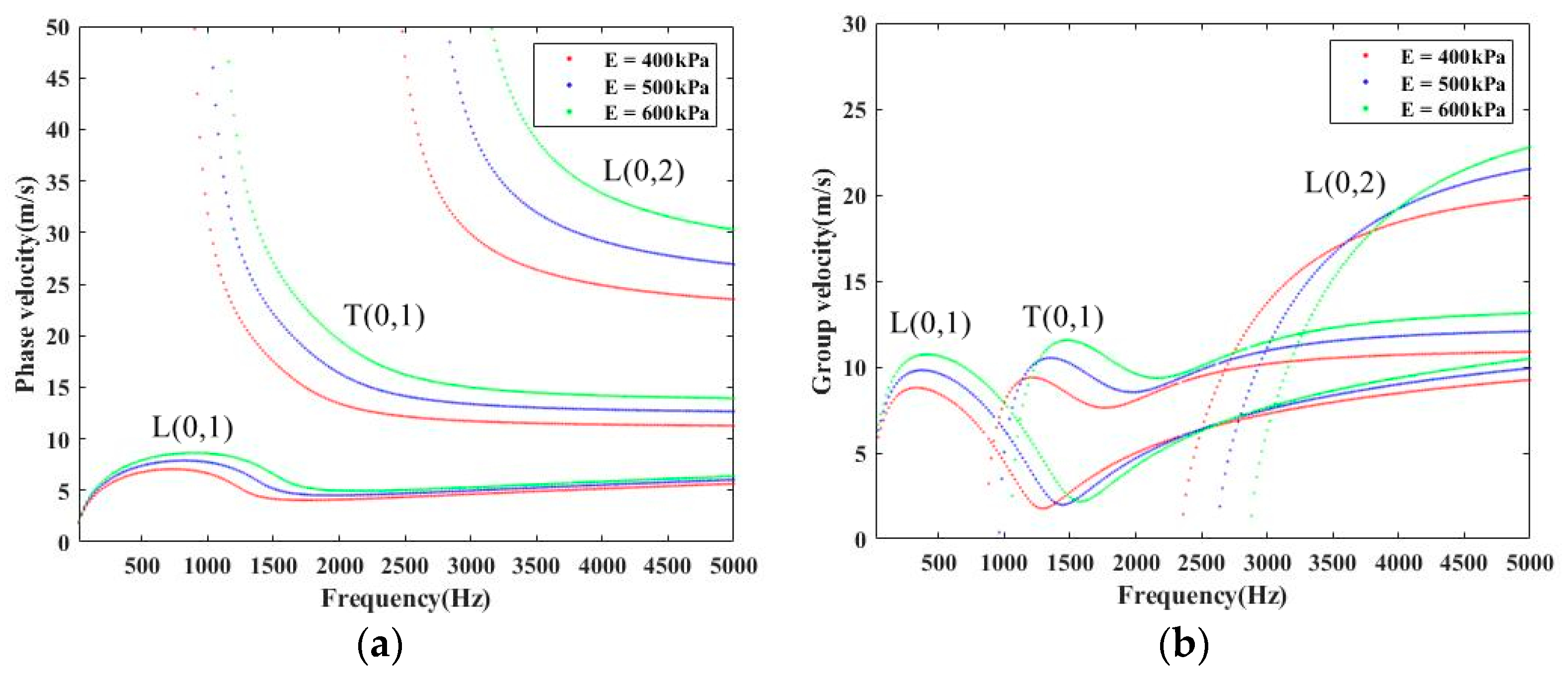
Then, to illustrate the accuracy and advantages of the proposed theoretical model, we use Matlab to conduct simulation calculations of the guided wave dispersion curves in hollow cylinders, and compare these results with those obtained by the thin-layer-based method. We use I. Z. Nenadic’s method [15] to obtain the result by the equation of antisymmetric Lamb waves for thin-elastic layers and compare it with the method proposed in this paper. In the comparison experiment, the thickness of the thin-layer model is 0.2 mm, which is the same as the wall thickness of the vascular model. Young’s modulus, Poisson’s ratio, and density of blood vessels are shown in Table 1. The dispersion curves obtained by the thin-layer-based method in [15] are shown together with the results of our method in Figure 4.
Figure 4. Comparison of phase velocity (a) and group velocity (b) dispersion-curve results between the proposed method and the thin-layer-based method in [15].
It can be observed from the results of Figure 4 that the L (0,1) mode in the cylindrical model approaches the antisymmetric mode A0 in the thin plate for high frequencies, which is consistent with the existing research results [28]. In addition, the method in this paper can obtain not only the L (0,1) mode but also a variety of other modes, such as T (0,1) and L (0,2). According to the comparison with the measured dispersion curve in [14], the cylindrical model in this paper can better match the results of the reported experiments, while the results provided by the two methods converge for high frequencies. Previously reported measured mechanical properties of 7% Agar are used in the model, instead of the properties from Table 1. We selected a data set for 7% Agar silica gel presented in experiments by Miguel Bernal [13], which were carried out via the simulation calculation with the method presented in this paper, and chose the group velocity and phase velocity of the L (0,1) mode at 900 Hz for comparison.
After sorting according to Young’s modulus, the data of the phase velocity and group velocity obtained by different methods are shown in Figure 5.
Figure 5. Dispersion curves of phase velocity (a) and group velocity (b) of L (0,1) mode at 900 Hz between the proposed method, the thin-layer-based method in [15], and the actual experiment. Note: The experimental data were from the measurements results for the urethane tube in [13].
From the comparative results shown in Figure 5, it can be seen that the proposed method can accurately obtain the phase velocity and group velocity of the L (0,1) mode at 900 Hz under the condition of the vascular mechanical properties selected in [10]. It is found that the propagation characteristics at the frequency of 900 Hz are seriously affected by the geometric shape. In contrast, the thin-layer-based method has a severe deviation in the low-frequency area, so the phase velocity obtained by the thin-layer-based method in [15] is very low. The method in this paper again reflects the advantages of the analysis based on the hollow cylinder model over that which is based on the thin-layer soft-plate model.
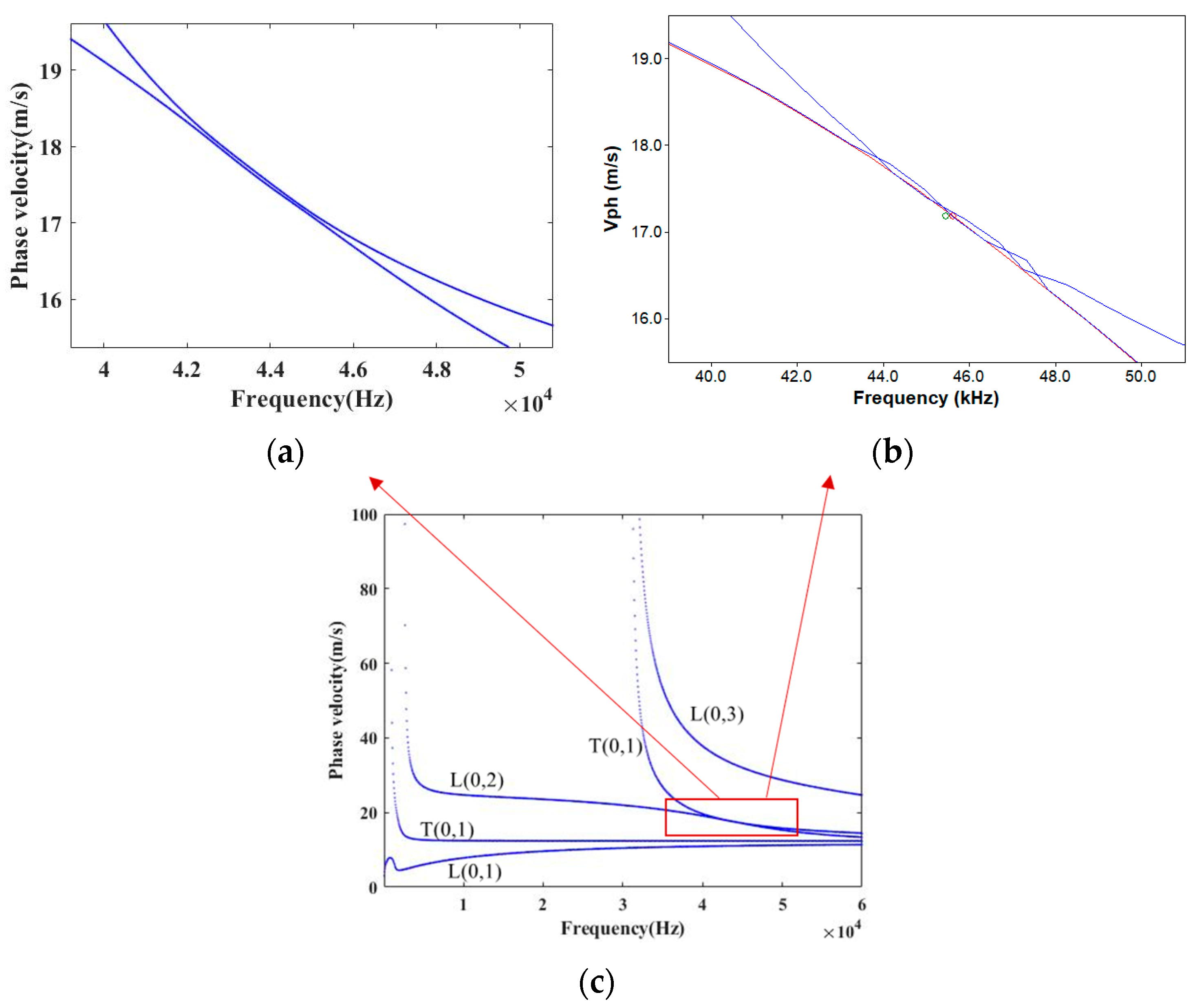
In addition to the thin-plate-based model mentioned above, the global matrix method is also an effective method to solve the conduction properties of isotropic tubes. However, the global matrix method sometimes failed to trace a curve (the cross between adjacent branches) for the complicated material, such as a vascular model with relatively low Young modulus values. A comparison of the proposed method and global matrix method in mode tracing is clearly shown in Figure 6 for the arterial vessel model with characteristics in Table 1. The curve of the global matrix method comes from Disperse, published by Imperial College London [21].
Figure 6. Comparison of the results calculated by the proposed method (a) and Global-matrix method (b) in part of the complete dispersion curve (c).
The most important thing shown in Figure 6 is that the proposed Legendre-polynomial-based method could avoid tracing a wrong mode, so that it can reduce or eliminate the mode-jumping (mode-crossing) phenomenon, thus making numerical algorithms much more robust and efficient in comparison to the global-matrix method.
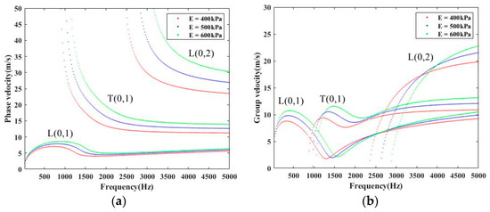
After the effectiveness of this method being verified, other characteristics of guided wave propagation in arterial vessels can be explored by using this method. The first is the influence of Young’s modulus of blood vessels on the dispersion curve. Figure 7 shows the dispersion curves (red) in the blood vessel with mechanical properties shown in Table 1, together with the corresponding dispersion curves of Young’s modulus of 80% (400 kPa) and 120% (600 kPa).
Figure 7. Dispersion curves of phase velocity (a) and group velocity (b) at the Young’s Modulus of 400 kPa, 500 kPa and 600 kPa.
According to the dispersion curves shown in Figure 7, the phase velocity of each mode of the same frequency increases, and all modes of the guided wave, together with the cutoff frequency, move towards high frequency when Young’s modulus increases. For the L (0,1) mode, the maximum of the phase velocity for low frequencies also rise with the increase of frequency. Then, to study the relationship between Young’s modulus and the propagation characteristics, three frequencies, 1 kHz, 2 kHz, and 5 kHz, were selected for scanning to find out the sensitivities of different frequencies to Young’s modulus of blood vessels. Within the range of Young’s modulus of 350 kPa ~ 700 kPa, the dispersion curves of phase velocity and group velocity of the scanning are shown in Figure 8.
Figure 8. Dispersion curves of phase velocity (a) and group velocity (b) at the Young’s Modulus of 350 kPa~700 kPa.
By observing each part of the dispersion curve shown in Figure 8, it can be found that: (1) The phase velocity of the L (0,1) mode is relatively low for all frequencies and changes gently, and the curve of 1   kHz in the low-frequency area changes relatively quickly. (2) Since both T (0,1) and L (0,2) modes have cutoff frequencies; the phase velocity and group velocity close to the cutoff frequency (for example, the curve of T (0,1) around 1 kHz) are significantly affected by Young’s modulus. Such modes will also disappear due to the increase of cutoff frequency. For example, there is no T (0,1) mode at 1 kHz above 600kPa. Therefore, such frequency bands and modes close to the cutoff frequency are expected to be selected to represent Young’s modulus.

4. Conclusions

In this paper, a hollow cylinder model is constructed to model the blood vessel, and the propagation characteristics and the dispersion curves in the artery vessels are obtained by solving the characteristic equation using the Legendre polynomials method. Then, the simulation experiment and the comparison with the existing data prove the effectiveness and advantages of the proposed method, which can obtain a variety of other modes except for the L (0,1) mode, and accurately predicts low frequencies. According to the calculations in this paper, when Young’s modulus increases, the phase velocity of all modes, together with the cutoff frequencies, move towards a higher frequency, and they change drastically for the range close to the cutoff frequency, especially.
The proposed method chosen in this paper overcomes the problems of instability in the mode tracking of the matrix method, and avoids the inaccurate calculation results of the thin-plate model, but it also has its own defects. For example, the influence of blood is not taken into account in the proposed method, such as the deviation of boundary conditions from stress-free boundaries, due to the presence of blood. The same Legendre polynomial expansion method can be used to solve the guided wave in the multilayer cylinder [29]. However, its stability and accuracy under the conditions of vascular mechanical parameters remain to be proved. However, the flaws do not outweigh its benefit. The conclusion obtained by the proposed method has the conditions to be selected as one of the basis for the selection of the detection frequency to the characteristic parameter of vascular. This section may be divided by subheadings. It should provide a concise and precise description of the experimental results, their interpretation, as well as the experimental conclusions that can be drawn.

Author Contributions

Methodology, D.L.; Software, K.S. and M.Z.; Validation, K.S. and Q.S.; Investigation, Q.S. and D.T.; Writing—original draft, K.S.; Writing—review & editing, D.L. and J.Z.; Supervision, D.L. and J.Z. All authors have read and agreed to the published version of the manuscript.

Funding

This research was funded by the National Natural Science Foundation of China (Grant Nos. 11974082 and 51905099), Guangdong Basic and Applied Basic Research Foundation (Grant No. 2021B1515120090), and the Key Platforms and Major Scientific Research Projects in Universities in Guangdong Province (Grant No. 2022ZDZX3032).

Institutional Review Board Statement

Not applicable.

Data Availability Statement

No new data were created.

Conflicts of Interest

The authors declare no conflict of interest.

Appendix A

The displacement components u r , u θ and u z in Equation (5) can be expanded by a series of Legendre polynomials:
u = n = 0 N 1 Ψ l n P n ( χ ) l = r , θ , z
where P n ( χ ) is the n-th Legendre polynomial and Ψ l n are three component quantities of the expansion coefficients at a provided polynomial order. Considering that the domain of radius r associated with the displacement component is [ a , b ] , while the domain of Legendre polynomial is [ 1 , 1 ] , the argument must be converted as:
χ = 2 r ( a + b ) b a
then the displacement components u i ( i = r , θ , z ) can be expressed as:
u i = n = 0 N 1 Ψ i n P n ( χ )
In addition, the orthogonality of Legendre polynomial can be expressed as:
1 1 P n ( x ) P m ( x ) d x = 2 2 m + 1 = 2 2 n + 1 n = m 1 1 P n ( x ) P m ( x ) d x = 0 n m
It can be derived by Equation (A4) that:
n = 0 N 1 1 1 P n ( χ ) P m ( χ ) d χ = 2 2 m + 1
Combining Equations (A3) and (A5), an equation of the displacement component can be derived as:
1 1 u i P m ( x ) d x = n = 0 N 1 1 1 Ψ i n P n ( χ ) P m ( x ) d x = n = 0 N 1 2 2 n + 1 Ψ i n
There are several derivative terms in Equation (5), which interferes with the calculation of analytical solution. Therefore, it is necessary to transform it into forms that can be simplified by Equation (A6).
First, an axially propagating wave can be expressed as:
u i = u i ( r ) e j [ k z + n θ ω t ]
where k is the axial wave number, n is the circumferential wave number and ω is the angular frequency. The result of its partial derivatives are as follows:
u i θ = j n u i u i z = j k u i u i t = j ω u i
By using Equation (A8) to simplify the partial derivative term in Equation (5), we can obtain:
λ 2 u r r 2 + ( j n ) 2 r 2 G u r + ( j k ) 2 G u r + ( j n ) r ( λ + 3 G ) u θ r + ( j k ) ( λ + 3 G ) u z r + 1 r λ u r r ( j n ) r 2 ( λ + G ) u θ 1 r 2 λ u r = ( j ω ) 2 ρ u r G 2 u θ r 2 + ( j n ) 2 r 2 λ u θ + ( j k ) 2 G u θ + ( j n ) r ( λ + 3 G ) u r r + ( j n ) ( j k ) r ( λ + 3 G ) u z + 1 r G u θ r + ( j n ) r 2 ( λ + G ) u r 1 r 2 G u θ = ( j ω ) 2 ρ u θ G 2 u z r 2 + ( j n ) 2 r 2 G u z + ( j k ) 2 λ u z + ( j k ) ( λ + 3 G ) 2 u r r + ( j n ) ( j k ) r ( λ + 3 G ) u θ + ( j k ) r ( λ + 3 G ) u r + 1 r G u z r = ( j ω ) 2 ρ u z
After using Equation (A1) to perform Legendre transformation on Equation (A9), we can use Equation (A6) to simplify some terms, and the remaining terms are χ P n ( χ ) , χ 2 P n ( χ ) , P n ( χ ) χ , χ P n ( χ ) χ , χ 2 P n ( χ ) χ , 2 P n ( χ ) χ 2 , χ 2 P n ( χ ) χ 2 and χ 2 2 P n ( χ ) χ 2 . This kind of monomial cannot be simplified by Equation (A6) because it contains the derivative term of Legendre polynomial or multiplies with the independent variable D. Therefore, it is necessary to remove such elements that cannot be simplified.
The simplification of the above eight terms must be carried out based on the definition of Legendre polynomial, Equation (A1). The simplified equations are shown as:
χ u = n = 0 N 1 Ψ l n χ P n ( χ ) = n = 0 N 2 y 01 l n P n ( χ ) χ 2 u = n = 0 N 1 Ψ l n χ 2 P n ( χ ) = n = 0 N 2 y 02 l n P n ( χ ) 2 u χ 2 = n = 0 N 1 Ψ l n 2 P n ( χ ) χ 2 = n = 0 N 3 y 20 l n P n ( χ ) u χ = n = 0 N 1 Ψ l n P n ( χ ) χ = n = 0 N 2 y 10 l n P n ( χ ) χ 2 2 u χ 2 = n = 0 N 1 Ψ l n χ 2 2 P n ( χ ) χ 2 = n = 0 N 3 y 22 l n P n ( χ ) χ 2 u χ 2 = n = 0 N 1 Ψ l n χ 2 P n ( χ ) χ 2 = n = 0 N 3 y 21 l n P n ( χ ) χ 2 u χ = n = 0 N 1 Ψ l n χ 2 P n ( χ ) χ = n = 0 N 2 y 12 l n P n ( χ ) χ u χ = n = 0 N 1 Ψ l n χ P n ( χ ) χ = n = 0 N 2 y 11 l n P n ( χ )
The coefficients in Equation (A10) after simplification are:
y 10 l m = ( 2 m + 1 ) n = m + 1 , m + 3 N 1 Ψ l n y 12 l m = m ( m - 1 ) Ψ l m 1 + ( ( m + 1 ) 2 2 m + 3 + m ) Ψ l m + 1 + ( 2 m + 1 ) n = m + 2 , m + 4 N 1 Ψ l n y 11 l m = m Ψ l m + ( 2 m + 1 ) n = m + 2 , m + 4 N 1 Ψ l n y 02 l m = ( m + 1 ) ( m + 2 ) ( 2 m + 1 ) ( 2 m + 5 ) Ψ l m 2 + 2 m 2 + 2 m 1 ( 2 m 1 ) ( m + 3 ) Ψ l m + m ( m 1 ) ( 2 m 1 ) ( 2 m 3 ) Ψ l m + 2 y 01 l m = m 2 m 1 Ψ l m 1 + m + 1 2 m + 3 Ψ l m + 1 y 20 l m = ( 2 m + 1 2 ) n = m + 2 , m + 4 N 1 ( n ( n + 1 ) m ( m + 1 ) ) Ψ l n y 22 l m = m ( m - 1 ) Ψ l m + ( 2 m + 1 2 ) n = m + 2 , m + 4 N 1 ( n ( n + 1 ) m ( m + 1 ) 4 ) Ψ l n y 21 l m = ( 2 m + 1 2 ) n = m + 1 , m + 3 N 1 ( n ( n + 1 ) m ( m + 1 ) 2 ) Ψ l n
Equation (7) is derived after simplifying the remaining terms using Equations (A10) and (A11).

References

  1. Shih, C.C.; Qian, X.J.; Ma, T.; Han, Z.L.; Huang, C.C.; Zhou, Q.F.; Shung, K.K. Quantitative Assessment of Thin-Layer Tissue Viscoelastic Properties Using Ultrasonic Micro-Elastography with Lamb Wave Model. IEEE Trans. Med. Imaging 2018, 37, 1887–1898. [Google Scholar] [CrossRef] [PubMed]
  2. Guha, A.; Aynardi, M.; Shokouhi, P.; Lissenden, C.J. Identification of long-range ultrasonic guided wave characteristics in cortical bone by modelling. Ultrasonics 2021, 114, 106407. [Google Scholar] [CrossRef] [PubMed]
  3. Dutta, P.; Urban, M.W.; Maître, O.P.L.; Greenleaf, J.F.; Aquino, W. Simultaneous identification of elastic properties, thickness, and diameter of arteries excited with ultrasound radiation force. Phys. Med. Biol. 2015, 60, 5279–5296. [Google Scholar] [CrossRef] [PubMed]
  4. Song, X.J.; Fan, T.D.; Zeng, J.D.; Shi, Q.Z.; Huang, Q.; Gu, M.L.; Petro, M.; Li, Y.F.; Ta, D.A. Nonlinear inversion of ultrasonic guided waves for in vivo evaluation of cortical bone properties. Chin. Phys. B 2022, 31, 431–438. [Google Scholar] [CrossRef]
  5. Sarvazyan, A.P.; Rudenko, O.V.; Swanson, S.D.; Fowlkes, J.B.; Emelianov, S.Y. Shear wave elasticity imaging: A new ultrasonic technology of medical diagnostics. Ultrasound Med. Biol. 1998, 24, 1419–1435. [Google Scholar] [CrossRef]
  6. Mougiakakou, S.G.; Golemati, S.; Gousias, I.; Nicolaides, A.N.; Nikita, K.S. Computer-aided diagnosis of carotid atherosclerosis based on ultrasound image statistics, laws’ texture and neural networks. Ultrasound Med. Biol. 2007, 33, 26–36. [Google Scholar] [CrossRef]
  7. Hensley, B.; Huang, C.; Martinez, C.V.C.; Shokoohi, H.; Liteplo, A. Ultrasound measurement of carotid intima-media thickness and plaques in predicting coronary artery disease. Ultrasound Med. Biol. 2020, 46, 1608–1613. [Google Scholar] [CrossRef]
  8. Widman, E.; Maksuti, E.; Amador, C.; Urban, M.W.; Caidahl, K.; Larsson, M. Shear Wave Elastography Quantifies Stiffness in Ex Vivo Porcine Artery with Stiffened Arterial Region. Ultrasound Med. Biol. 2016, 42, 2423–2435. [Google Scholar] [CrossRef]
  9. Fedak, A.; Ciuk, K.; Urbanik, A. Ultrasonography of vulnerable atherosclerotic plaque in the carotid arteries: B-mode imaging. J. Ultrason. 2020, 20, e135–e145. [Google Scholar] [CrossRef]
  10. Pruijssen, J.T.; de Korte, C.L.; Voss, I.; Hansen, H.H.G. Vascular Shear Wave Elastography in Atherosclerotic Arteries: A Systematic Review. Ultrasound Med. Biol. 2020, 46, 2145–2163. [Google Scholar] [CrossRef]
  11. Golemati, S.; Cokkinos, D.D. Recent advances in vascular ultrasound imaging technology and their clinical implications. Ultrasonics 2022, 119, 106599. [Google Scholar] [CrossRef] [PubMed]
  12. Maksuti, E.; Widman, E.; Larsson, D.; Urban, M.W.; Larsson, M.; Bjällmark, A. Arterial Stiffness Estimation by Shear Wave Elastography: Validation in Phantoms with Mechanical Testing. Ultrasound Med. Biol. 2016, 42, 308–321. [Google Scholar] [CrossRef] [PubMed]
  13. Bernal, M.; Nenadic, I.; Urban, M.W.; Greenleaf, J.F. Material property estimation for tubes and arteries using ultrasound radiation force and analysis of propagating modes. J. Acoust. Soc. Am. 2011, 129, 1344–1354. [Google Scholar] [CrossRef] [PubMed]
  14. Couade, M.; Pernot, M.; Prada, C.; Messas, E.; Emmerich, J.; Bruneval, P.; Criton, A.; Fink, M.; Tanter, M. Quantitative assessment of arterial wall biomechanical properties using shear wave imaging. Ultrasound Med. Biol. 2010, 36, 1662–1676. [Google Scholar] [CrossRef]
  15. Nenadic, I.Z.; Urban, M.W.; Mitchell, S.A.; Greenleaf, J.F. Lamb wave dispersion ultrasound vibrometry (LDUV) method for quantifying mechanical properties of viscoelastic solids. Phys. Med. Biol. 2011, 56, 2245–2264. [Google Scholar] [CrossRef] [PubMed]
  16. Guo, Y.X.; Lo, H.Y.; Lee, W.N. Transmural transverse stiffness estimation in vascular shear wave imaging: A simulation and phantom study. Appl. Phys. Lett. 2017, 110, 193701. [Google Scholar] [CrossRef]
  17. Li, G.; He, Q.; Xu, G.; Jia, L.; Luo, J.; Cao, Y. An ultrasound elastography method to determine the local stiffness of arteries with guided circumferential waves. J. Biomech. 2017, 51, 97–104. [Google Scholar] [CrossRef]
  18. Wang, L.; Yuan, F.G. Group velocity and characteristic wave curves of Lamb waves in composites: Modeling and experiments. Compos. Sci. Technol. 2006, 67, 1370–1384. [Google Scholar] [CrossRef]
  19. Pant, S.; Laliberte, J.; Martinez, M.; Rocha, B. Derivation and experimental validation of Lamb wave equations for an n -layered anisotropic composite laminate. Compos. Struct. 2014, 111, 566–579. [Google Scholar] [CrossRef]
  20. Lowe, M.J. Matrix techniques for modeling ultrasonic waves in multilayered media. IEEE Trans. Ultrason. Ferroelectr. Freq. Control. 1995, 42, 525–542. [Google Scholar] [CrossRef]
  21. Pavlakovic, B.; Lowe, M. Disperse User’s Manual Version 2.0; Imperial College, University of London: London, UK, 2001. [Google Scholar]
  22. Zheng, M.; He, C.; Lu, Y.; Wu, B. Modelling guided waves in anisotropic plates using the Legendre polynomial method. MATEC Web Conf. 2017, 104, 02015. [Google Scholar] [CrossRef]
  23. Zheng, M.; He, C.; Lyu, Y.; Wu, B. Guided Waves Propagation in Anisotropic Hollow Cylinders by Legendre Polynomial Solution based on State-vector Formalism. Compos. Struct. 2018, 207, 645–657. [Google Scholar] [CrossRef]
  24. Achenbach, J.D. Wave Propagation in Elastic Solids; North Holland: Amsterdam, The Netherlands, 1973; pp. 10–78. [Google Scholar]
  25. Berntsson, F.; Karlsson, M.; Kozlov, V.; Nazarov, S.A. A one-dimensional model of viscous blood flow in an elastic vessel. Appl. Math. Comput. 2016, 274, 125–132. [Google Scholar] [CrossRef]
  26. Zheng, M.; Ma, H.; Lyu, Y.; He, C.; Lu, C. On the dispersion of cylinder guided waves propagating in a multilayer composite hollow cylinder made of anisotropic materials. Aerosp. Sci. Technol. 2019, 95, 105432. [Google Scholar] [CrossRef]
  27. Meitzler, A.H. Mode Coupling Occurring in the Propagation of Elastic Pulses in Wires. J. Acoust. Soc. Am. 2005, 33, 435–445. [Google Scholar] [CrossRef]
  28. Guo, P.; Tian, Z.; Li, H.; Xu, H. Comparison Analysis of the Propagation Characteristics of Lamb Waves in Plates and Longitudinal Waves in Pipes. Nondestruct. Test. 2017, 39, 42–48. (In Chinese) [Google Scholar]
  29. Zheng, M.; Ma, H.; Lyu, Y.; Lu, C.; He, C. Derivation of circumferential guided waves equations for a multilayered laminate composite hollow cylinder by state-vector and Legendre polynomial hybrid formalism. Compos. Struct. 2021, 255, 112590. [Google Scholar] [CrossRef]
Disclaimer/Publisher’s Note: The statements, opinions and data contained in all publications are solely those of the individual author(s) and contributor(s) and not of MDPI and/or the editor(s). MDPI and/or the editor(s) disclaim responsibility for any injury to people or property resulting from any ideas, methods, instructions or products referred to in the content.

Article Metrics

Citations

Article Access Statistics

Multiple requests from the same IP address are counted as one view.