Abstract
In the present study, a stochastic model of explosive ground motions applying the dimension-reduction method is proposed, and the reliability evaluation of a nonlinear frame structure under such excitations is realized by means of the probability density evolution method and an equivalent extreme-value-based reliability evaluation strategy. Firstly, the evolutionary power spectrum density function of the explosive ground motions is modeled by respectively identifying the normalized total energy distribution function and the frequency total energy distribution function on the basis of the measured motion records. In addition, an exponential model is constructed to forecast the seismic characteristics of the explosive ground motions based on the given distance to the explosive source and the charge quantity. Then, the representative samples of the explosive ground motions are simulated using the dimension-reduction method. The simulation results show that the generated acceleration samples have significant seismic characteristics of the explosive ground motions, and the accuracy is verified by comparing the second-order statistics with the sample set and the corresponding targets. Due to the fact that the probabilities of the representative samples simulated by the dimension-reduction method can compose a comprehensive probability set, it contributes to the refined dynamic response analysis and reliability evaluation of complex structures combining with the probability density evolution method. The accurate dynamic response analysis and reliability evaluation of a nonlinear frame structure illustrates the effectiveness of the proposed model and the dimension-reduction method for simulating the explosive ground motions. The numerical results demonstrate that the explosive ground motions have a substantial effect on the nonlinear behavior and the security of engineering structures.
1. Introduction
In general, an explosion is a process of rapid energy release. Previous studies and explosion damage data show that most of the explosive energy is converted primarily to thermal energy, ground motions and shock waves. With the development of anti-explosion design theory and the renewal of design concepts, the influence of explosion damage, especially explosive ground motions, on structures has been gradually recognized and paid more attention to in the engineering field. Actually, explosive ground motions can be partially analogous to natural ground motions since the source of an explosion is similar to that of the latter. However, compared with natural seismic ground motions, explosive ground motions have the characteristics of shorter duration, smaller amplitude and more abundant frequency components, which would perform a noticeable impact on typical engineering structures.
In the 1920s, Rockwell [1] took the lead in studying the impact of the ground motions caused by mine blasting on nearby building structures, and initially proposed the concept of structural anti-explosion. As a matter of fact, the explosion has significant randomness, and applying the random vibration theory to identify and study the spectral characteristics of explosive ground motions is crucial for exploring the damage mechanism and the anti-explosion strategy of the engineering structures affected by such excitations. In this regard, Persson [2] presented the bispectrum analysis of both natural earthquake ground motion signals and explosive ground motion signals. He found that the sample bispectrum of the signals with Gaussian distribution is lower than that of the signals with skewed distribution. Wu and Hao [3] proposed empirical formulas for estimating the ground peak particle velocity and the dominant frequency of explosive ground motions based on data recorded in the field and found that explosive ground motions on the ground surface and in the free field are remarkably different due to the effect of surface reflection. In addition, with the rapid development of numerical analysis technologies such as finite element strategy, significant progress has been achieved in the investigations of the effects of explosive ground motions on structures. Hao and Wu [4] studied the dynamic response of reinforced concrete frame structures under the action of the simulated explosive ground motions, and they compared the numerical results of structural damage with some test results obtained in previous studies and codes. Ye et al. [5] analyzed the dynamic response and the damage state of a four-story masonry building utilizing measured explosive ground motion records, and they concluded that the structure suffered brittle failure due to tensile stress. With the help of the measured data, Zhang et al. [6] investigated the possibility of evaluating the damaging effect of explosion sources on the ground by utilizing the actual explosive ground motion records through experimental tests, which showed that the treatment was feasible in the case of the same formation condition and within a certain distance. Obviously, explosive ground motion is a special form of ground motion that has attracted widespread attention [7,8,9,10,11].
Dynamic response and damage analysis of structures induced by explosive ground motions are primarily based on measured recordings at present, according to the research described above, which undoubtedly belong to the deterministic analysis scheme. However, due to the limited number of measured explosive ground motion time-histories, as well as the limitations of site conditions and explosion environment, it is difficult for the existing measured records to completely satisfy the requirements of structural dynamic response analysis. Considering the nature of the random dynamic characteristics of explosive ground motions, the application of random vibration theory and method to conduct the artificial synthetic method for reasonable stochastic explosive ground motion model, as well as structural dynamic response and reliability analysis, plays a significantly important role in the anti-explosion analysis and design of engineering structures. In addition, the aforementioned studies generally focus on the dynamic response of structures under explosive seismic action, and rarely consider the dynamic reliability evaluation of structural systems, which requires further investigation for engineering purpose.
Due to the fact that the explosive ground motions are similar to the natural earthquake ground motions, the former can be simulated through the spectral representation method (SRM) [12,13,14,15,16], which is widely applied in the generation of stochastic processes and is already extensively used for the simulation of explosive ground motions [17,18]. However, the conventional SRM is based on the Monte Carlo simulation method, which typically requires a large number of random variables and randomly generated sample functions to obtain a satisfactory level of simulation precision. In this end, it is difficult to use the Monte Carlo method for an accurate dynamic reliability evaluation and response analysis of complex civil engineering structures due to the large amount of computational costs and time expenses required to complete a dynamic time-history analysis of the investigated structure and the lack of assigned probability sampling [19,20,21].
Overall, current research on explosive ground motions has entered a relatively mature stage by analogy with natural ground motions, where the Sadovsky formula is a typical example. However, there are still three limitations in the existing research that require further exploration.
- The research of the relation of charge quantity and the distance to the explosion source with the seismic characteristics of explosive ground motions only staying on the seismic energy level in the present stage, where the influence of that on the seismic spectrum and seismic duration is neglected.
- The classic Monte Carlo method for simulating explosive ground motions faces the problems of high-dimensional random variables and the incomplete probability information of the generated sample set, which leads to great difficulty for the efficient and refined dynamic response and reliability analysis of randomly excited structural systems.
- The method of using measured records for structural dynamic response analysis has two shortcomings. On the one hand, the number of measured records is limited, and the records are susceptible to the environment and the noise of the measurement instrument, which is difficult to meet the strict requirements of engineering structures. On the other hand, it is essentially a deterministic method that ignores the impact of the randomness of explosive ground motions on structures, which is not in line with reality.
To overcome the challenges faced by the conventional Monte Carlo method, on the one hand, Chen et al. [22,23] proposed the stochastic harmonic function representation for simulating stationary and non-stationary stochastic processes in recent years. On the other hand, Liu et al. [24,25,26,27] recently offered a dimension-reduction technique wherein random functions are introduced as the constraints of random variables in order to generate stochastic (vector) processes for modeling the earthquake ground motions and the wind velocity fields. The computational costs associated with millions of random variables have been effectively reduced to the level of a few elementary random variables, demonstrating the commendable accuracy and efficiency of the dimension-reduction method. In addition, it is worth mentioning that each representative sample generated by the dimension-reduction method has an assigned probability and all the representative samples can constitute a complete probability set, making it possible to achieve the refined dynamic response analysis and reliability evaluation of randomly excited structural systems combining with the probability density evolution method (PDEM) [28,29]. Consequently, it effectively bypasses the deficiencies of the conventional Monte Carlo method. Actually, the PDEM is a new approach to solve the dynamic reliability of complex engineering structures under the action of dynamic disasters, which was initially proposed by Li and Chen and has been widely expanded and applied in both the academic and engineering communities [30,31,32].
Based on the above research situation, the purpose of this investigation is to establish an efficient and accurate stochastic model for synthesizing explosive ground motions by introducing the dimension-reduction method and to realize the refined dynamic reliability evaluation of a nonlinear frame structure combining with the PDEM, which can provide a certain theoretical foundation and technical support for the anti-explosion research of engineering structures. The remaining sections are organized as follows. Section 2 introduces the evolutionary power spectrum density (EPSD) function of explosive ground motions and proposes a method for identifying the EPSD parameters. In addition, an exponential model is suggested, which can essentially characterize the functioning relationship between the explosion mechanism and the EPSD parameters. Section 3 expounds the SRM-based dimension-reduction method for simulating explosive ground motions, and the accuracy of the proposed dimension-reduction model is revealed through numerical examples. Section 4 establishes a finite element model of a 10-story frame structure considering the material nonlinearity, and the dynamic response analysis is implemented combining with the PDEM. Section 5 suggests an equivalent extreme value (EEV)-based strategy for evaluating the component and global dynamic reliability of the frame structure. Some conclusion remarks are summarized in Section 6.
2. EPSD Modeling of Explosive Ground Motions
2.1. EPSD Function of Explosive Ground Motions
Generally, explosive ground motion can be regarded as a stochastic process , which is non-stationary in time domain, and its evolutionary power spectrum density (EPSD) function can be defined as follows [33]:
where denotes the EPSD function, indicates the intensity modulation function, and indicates the corresponding one-sided power spectrum density (PSD) function, respectively.
The intensity modulation function , adopting Wang’s model with double parameters capable of reflecting the non-stationary characteristics of intensity, is given by [34]:
where c and d, respectively, control the peak arrival time and the decay speed of the explosive ground motions. Thus, the parameter vector of the intensity modulation function can be expressed as .
For the PSD function of the corresponding stationary ground motions, the Clough-Penzien model is adopted in this paper, followed by [35]:
where and denote the dominant frequency and critical damping of the soil layer, respectively. and denote the dominant frequency and critical damping of the rock bed, respectively. is the spectrum intensity factor, which represents the energy intensity of the explosive ground motions, defined as follows [36]:
where r and A, respectively, denote the peak factor and peak ground acceleration (PGA) of the explosive ground motions. In light of the fact that the peak factor is insensitive to the changes in the seismic environment, it can thus be considered as a fixed constant valued by in this study. Therefore, the parameter vector of the PSD function can be expressed as .
As previously mentioned, there are a total of seven parameters in the EPSD function which need to be determined. Specifically, the parameters involved in the intensity modulation function control the seismic duration, and the parameters included in the PSD function control the seismic amplitude and the shape of the spectrum, respectively. As a result, the overall parameter vector of the EPSD function can be written as:
Prior research has demonstrated that the seismic characteristics of explosive ground motions are mostly influenced by charge quantity and explosion source distance. To this end, the scaled charge quantity, which can comprehensively reflect charge quantity and distance to the explosion source, is extensively employed herein to describe the seismic characteristics. For this purpose, it is assumed that the parameters of the EPSD function may have a certain relationship with the scaled charge quantity of a confirmed explosion, which can be defined as:
where indicates the i-th EPSD parameter of the explosive ground motion . indicates the scaled charge quantity and its definition is as follows [12]:
of which Q and R, respectively, indicate the charge quantity and the distance to the explosion source. indicates the functional relation between the scaled charge quantity and the i-th EPSD parameter which needs to be further identified and modeled.
2.2. Modeling of EPSD Function
For the purpose of obtaining reliable research results, the EPSD parameter vector of the explosive ground motions mentioned above is identified according to the measured motion records in this study. Particularly, the explosive ground motions recorded by Wuxue Changjiang River Mining Industry Co., Ltd. are used to represent the EPSD function as described in Table 1. As shown in the table, the range of the distance to the explosion source is 115 m–1534 m, and the charge quantity is 75 kg. In view of the fact that the measured explosive ground motion records are susceptible to the noise of the surrounding environment and recording equipment, the present work introduces wavelet filtering [37] and baseline calibration to correct the measured records, hence ensuring the efficacy of the subsequent studies. In addition, the measured records typically produce an extremely low-intensity portion relative to the peak ground acceleration (PGA) at the beginning and the end of the recording time-histories; thus, the energy interception is necessary in this portion as well.
Table 1.
The information of the measured explosive ground motion records.
In this section, the principle of energy equivalence between the EPSD function and the measured records is employed to identify the EPSD parameter vector . Defining the i-th measured record as , its total energy can be characterized by the Arias intensity [38]. Further, the normalized total energy distribution (NTED) function of can be expressed as follows:
where indicates the recorded duration of .
Since the EPSD function characterizes the energy distribution on time-frequency domain of ground motions, the corresponding NTED function can be written as:
Obviously, it can be seen that the NTED function of the EPSD function is only related to the parameters of the intensity modulation function. To this end, taking as the target, the parameter vector can be identified by using the best square approximation principle [39], followed by:
The parameter vector of the PSD function is identified by means of the directly fitting method. In the specific operation, the equivalent stationary PSD of can be estimated by utilizing the MATLAB toolbox function ‘pwelch’, and its frequency total energy distribution (FTED) can be further defined as:
where indicates the estimated one-sided PSD of the corresponding .
For the Clough–Penzien model adopted in this study, the corresponding FTED of the explosive ground motions can be defined similarly, given by:
In the same way, taking as the target, the parameter vector of PSD function can be identified by utilizing the best square approximation principle:
It should be noted that for the purpose of eliminating the influence of the PGA and peak factor of the spectrum, the amplitudes of all the selected measured records are uniformly scaled to 200 .
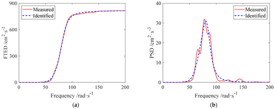
Figure 1 and Figure 2 compare the NTED and FTED between the measured records obtained by L2015-100 and identified models, respectively. Figure 1a and Figure 2a demonstrate that the identified NTED and FTED both fit well with the corresponding target measured records, which can describe the cumulative distribution of seismic energy with time and frequency, respectively. Figure 1b reveals that the identified intensity modulation function can roughly describe the non-stationary characteristics of explosive ground motions, and Figure 2b demonstrates that the identified PSD function can precisely capture the energy distribution characteristics on the frequency domain of explosive ground motions. Specifically, the energy of the explosive ground motions is mainly concentrated in the range of 50 –100 , indicating that the explosive ground motions are provided with more abundant high-frequency components. Obviously, the aforementioned results illustrate the efficacy of the parameter identification method presented in this research.
Figure 1.
The fitting results of NTED between the measured records and the identified model: (a) NTED; (b) acceleration.
Figure 2.
The fitting results of FTED between the measured records and the identified model: (a) FTED; (b) PSD function.
Further, to quantify the effectiveness of the parameter identification method proposed in this paper, the determination coefficient is employed as follows [40]:
where M is the total number of the data to be fitted by . and , respectively, indicate the mean of the data to be fitted and the fitted data. is the determination coefficient over the interval . As previously mentioned in the typical example, the determination coefficient of NTED and FTED are, respectively, 0.95 and 0.99, demonstrating the effectiveness of the proposed parameter identification method. Table 2 displays the identified parameters of this typical example.
Table 2.
Identified parameters of the EPSD function for the typical example.
2.3. Modeling of Functional Relation between EPSD Parameters and Scaled Charge Quantity
For the purpose of simulating the explosive ground motions reasonably and quantitatively, an exponential model is defined to describe the relationship between the EPSD parameters and the explosion mechanism. Consequently, Equation (6) is further expressed as:
where , and are the i-th corresponding model parameters of which are also corresponding to the i-th EPSD parameters of . It should be noted that the aforementioned proposed model is a typical pure mathematical model, and its model parameters have no definite physical meaning.
In addition, in view of the fact that the identified errors are unavoidable during the identification process, the outliers ought to be eliminated from the EPSD parameters that have been determined in order to guarantee the dependability of the subsequent study. Moreover, the measured recordings of which of the PGA values are less than 5 cm/s2 ought to be removed since their impacts on structures can be ignored. For that, the multivariate regression method [41] is utilized to concurrently obtain the parameters of the suggested exponential model.
Figure 3 displays the fitting results, which reveals that the exponential model proposed in this study can roughly describe the changing trend of the EPSD parameters with the scaled charge quantity. It is shown in the figures that as the scaled charge quantity increases, , , c, d and PGA grow while and decrease, which indicates that the frequency components, duration and PGA of the explosive ground motions become richer, longer and stronger, respectively. It should be mentioned that, currently, due to the limited amount of measured explosive ground motion data, the fitting results may not accurately reflect the trend of EPSD parameters describing explosive ground motions with changes in the explosion environment. Nevertheless, the fitting results can still roughly present the increasing trend of the duration, amplitude and frequency components of explosive ground motions as the scaled charge quantity increases. In subsequent research, it would be more feasible to achieve more accurate results as the number of measured explosive ground motion records increases. The regression parameters of the proposed exponential model are listed in Table 3.

Figure 3.
The fitting results of EPSD parameters with scaled charge quantity: (a) regression result of ; (b) regression result of ; (c) regression result of ; (d) regression result of ; (e) regression result of c; (f) regression result of d; (g) regression result of PGA.
Table 3.
Parameters of the proposed exponential model.
Consequently, the corresponding EPSD parameter vector of the explosive ground motions can be obtained by the given scaled charge quantity according to Equation (15) and Table 3. Further, the EPSD function can be calculated by substituting into Equation (1).
In this section, the parameter identification method is proposed, of which the effectiveness is demonstrated by the determination coefficient. In addition, the EPSD parameter prediction formula is suggested based on the parameter identification results and the corresponding scaled charge quantity. This method realizes the prediction of seismic characteristics of explosive ground motions by giving the explosive environment conditions.
3. Generation of Explosive Ground Motions Based on Dimension-Reduction Method
3.1. Dimension-Reduction Method
Assume that the explosive ground motions are real-valued and zero-mean stochastic processes with the EPSD function ; thus, the original spectral representation can be expressed as follows [24]:
where indicates the discrete frequency series. indicates the frequency increment. N indicates the number of frequency intervals. denotes the upper cut-off frequency. denotes a set of standard orthogonal random variables satisfying the following basic conditions:
where indicates the mathematical expectation, and denotes the Kronecker-delta, respectively.
In Equation (16), the probability distribution of is not given, resulting in the original representation not being directly used for simulation. For that matter, the random variable set is usually further defined as the form of random amplitude or random phase angle, which commonly applies the conventional Monte Carlo method to select the random terms. As previously mentioned, the large number and the incomplete probability information of the samples simulated by the Monte Carlo method would pose significant challenges to the efficient and refined dynamic response analysis and structural reliability evaluation. To drive this issue, the dimension-reduction method proposed by Liu et al. [24,25,26,27] is introduced in this study for simulating the explosive ground motions, such as:
where is the elementary random variable following the uniform distribution over the range , which indicates the randomness inherent in the seismic excitation, and is a constant taken as in this study, respectively.
Obviously, Equation (18) completely satisfies the basic conditions involved in Equation (17), and the proof process is as follow:
In most cases, the set of orthogonal random variables defined by Equation (18) needs to be transformed into the desired orthogonal random variable set via a deterministic one-to-one mapping, i.e., , . The deterministic mapping can be realized by the MATLAB toolbox functions ‘rand(‘state’,0)’ and ‘’. Thus, the original spectral representation, given by Equation (16), has its randomness degree decreased from 2N to 2, which benefits greatly from the dimension-reduction method. It is worth noting that the advanced deterministic number theoretical method (NTM) [42] can be used to pick random terms because there are few random variables in the dimension-reduction form. Therefore, the dynamic response and reliability evaluation under random excitations can be achieved by the combination of the PDEM.
3.2. Procedures for Representative Sample Realization
The procedures for representative sample realization of the explosive ground motions using the dimension-reduction method are specified as follows:
- 1.
- Construct the EPSD function of the explosive ground motions. The EPSD can be obtained by substituting EPSD parameters which are calculated through Equation (15) corresponding to the given scaled charge quantity into Equation (1).
- 2.
- Generate the representative point sets. For the defined random function form, i.e., Equation (18), the target representative point sets of the elementary random variable is expressed as , where indicates the number of representative points. First, the initial representative point set is uniformly distributed over the interval , which can be selected by the NTM [36]. Second, calculate the assigned probability of each initial representative point, where and exist. Thus, the initial representative point set can be linearly transformed from to for acquiring the target representative point set .
- 3.
- Determine representative values of the orthogonal stochastic variable set . Substituting the target representative point set generated in the second step into Equation (18), the representative values of the orthogonal random variable set can thus be obtained through implementing the mapping operation and . As a matter of fact, the representative values are uniquely determined through the above treatment.
- 4.
- Simulate the representative sample set of explosive ground motions. Substitute the EPSD function and the representative orthogonal stochastic variable set with generated in the third step into Equation (16). Then, once these initial representative points are determined, representative samples can be obtained while ensuring that the probability of each sample is the same as that of the initial representative point. As a consequence, the representative samples with a complete set of probabilities that can accurately reflect the probability information of the simulated explosive ground motions.
3.3. Numerical Examples
In this study, three cases are, respectively, assumed as the scaled charge quantity : 0.02, 0.03 and 0.04, which are typical situations in engineering. In this end, the corresponding EPSD parameters used for simulation are listed in Table 4, which can be calculated through substituting the scaled charge quantity into the prediction formula, i.e., Equation (15), by referring to Table 3. The parameters of the original spectral representation formula, i.e., Equation (16), are presented in Table 5.
Table 4.
The predicted EPSD parameters used for generating explosive ground motions.
Table 5.
Parameters for original spectral representation formula.
Figure 4 displays the generated representative samples of explosive ground motions with different scaled charge quantities, which have different seismic characteristics under the conditions of the three cases. Obviously, as the scaled charge quantity increases, namely, the charge quantity Q increases or the distance to the explosion source R decreases, the effective intensity duration, PGA and frequency components of the simulated explosive ground motions get longer, stronger and richer, respectively, which is in line with the understanding of the impact of explosion mechanisms on the seismic characteristics of explosive ground motions.
Figure 4.
Representative samples of explosive ground motions: (a) ; (b) ; (c) .
Figure 5 depicts comparisons of the mean and standard deviation (Std. D) between the simulated time-histories with the corresponding target ones under the three cases, which reveals that the mean and Std. D are both well fitted to the corresponding targets. Specifically, it can be acknowledged by inspection of Figure 5a that the simulated explosive ground motions are zero-mean stochastic processes, and the information obtained by analyzing Figure 5b is that as increases, the effective intensity duration and response Std. D of the explosive ground motions, respectively, get longer and stronger. Therefore, the effectiveness of the dimension-reduction method for generating explosive ground motions can be further verified.
Figure 5.
Comparisons of the mean and Std. D between the simulated time-histories with the corresponding target ones under the three cases (): (a) Mean; (b) Std. D.
The average relative errors (AREs) upon the mean and Std. D are calculated under the cases of the number of representative samples—which are 144, 377 and 610, respectively—generated by the dimension-reduction method and the Monte Carlo method to further verify the accuracy and superiority of the former. The results in detail are listed in Table 6. Obviously, the AREs upon the mean of the dimension-reduction method are practically equal to zero, which fully indicates the simulated stochastic explosive ground motions are zero-mean processes. The AREs upon the Std. D of the dimension-reduction method are smaller than 5%, which is acceptable for engineering purposes. The table also shows that as the number of the representative samples rises, the AREs upon both the mean and Std. D of the dimension-reduction method decline. As a result, it can be deduced that the AREs will get particularly small if there are enough representative samples, which can completely demonstrate that the suggested dimension-reduction method has generally acceptable convergence and accuracy.
Table 6.
The AREs upon mean and Std. D of the dimension-reduction method and the Monte Carlo method.
Figure 6 depicts the comparisons of the EPSD function between the representative samples and corresponding targets in the cases of , 0.03 and 0.04, respectively. It can be found that the simulated EPSD function surfaces all have similar shapes with the corresponding target ones, which reveals that the identified method proposed in this study is effective for the simulation of explosive ground motions.
Figure 6.
Comparisons of EPSD function between representative samples and corresponding targets (): (a) simulated EPSD of ; (b) target EPSD of ; (c) simulated EPSD of ; (d) target EPSD of ; (e) simulated EPSD of ; (f) target EPSD of .
From the above, the random-function-based dimension-reduction method is adopted, which realizes the explosive ground motions are represented using just one elementary random variable. In addition, the accuracy of dimension-reduction method is demonstrated by means of comparing the second-order statistics of generated samples with that of the conventional Monte Carlo simulation method.
4. Dynamic Response Analysis of a Nonlinear Frame Structure
4.1. Engineering Background
In order to investigate the dynamic reliability evaluation of a nonlinear frame structure subjected to explosive ground motions, a 10-story frame structure considering material nonlinearity is studied herein as the engineering object. Figure 7 shows the diagrammatic sketch of the nonlinear frame structure, where the height of the first story is , and the height of other stories is . The sections of the bottom and rest columns are, respectively, and . It is assumed that the beam stiffness is infinite. The lumped masses from top to bottom are 1.5, 2.0, 2.0, 2.0, 2.0, 2.0, 2.0, 2.0, 2.0 and , in turn. The initial Young’s modulus from top to bottom are, respectively, 2.8, 3.0, 3.0, 3.0, 3.0, 3.0, 3.0, 3.0, 3.0 and . The Rayleigh damping is adopted—namely, , where M, K and C indicate the matrix of mass, stiffness and damping, respectively. The parameters of the Rayleigh damping are determined as and .
Figure 7.
The 10-story frame structure.
For describing the characteristics of structural restoring forces, the extended Bouc–Wen model [43,44] is adopted in this paper, which can be broken down as the form of the sum of elastic forces and hysteretic forces, followed by:
where K indicates the initial stiffness, indicates the ratio between post-yielding stiffness and initial stiffness, X denotes the story drift ratio and Z is hysteretic component with the dimension of displacement, respectively. and n are the parameters controlling the initial stiffness and amplitude of the hysteresis displacement as well as hysteresis shape. and are the parameters which, respectively, reflect the degradation of strength and stiffness, of which:
where and cause the degradation of strength and stiffness, respectively. indicates the hysteretic energy, represented as:
in which is the function which reflects the pinch effect, defined as the following:
where indicates the sign function; and are the parameters that reflect the pinch effect. denotes the limiting hysteresis component, defined as follows:
As a whole, there are a total of 13 parameters in this model, of which the parameter values are determined as , , , , , , , , , , , and in this paper [45].
4.2. Dynamic Response Analysis
It is possible to write the nonlinear motion equation of the frame structure with degrees of freedom as follows:
where denotes the excitation induced by the explosive ground motions, of which the randomness depends on and seismic characteristics depends on . , and denote the matrices of mass, damping and stiffness, respectively. , and denote the vectors of structural displacement, velocity and acceleration relative to ground, respectively. indicates the nonlinear restoring force vector.
It can be acknowledged from that the randomness of the frame structure is caused by the elementary random variable . To this goal, the following is the generalized probability density evolution equation (PDEE) of a stochastic dynamic system, where Q is some physical-response quantity of interest (it might be displacement, stress or anything else) [24]:
where indicates the joint probability density function (PDF) of the stochastic process . Further, the velocity of Q can be defined as .
Finally, the PDF of interested physical quantity can be obtained through the following integral equation:
where Ω denotes the distribution domain of the elementary random variable .
Figure 8a shows the mean and Std. D of the dynamic response of story drift ratio under the explosive ground motion representative time-histories with of the fourth and eighth stories. Figure 8b shows the restoring force vs. the story drift ratio under a typical explosive ground motion representative time-history of the fourth and eighth stories. It can be seen from Figure 8a that the dynamic response of higher stories is greater than that of lower stories, and the time instance of the greatest dynamic response is around 1 s, which corresponds to the arrival time of the PGA of the simulated explosive ground motions as shown in Figure 4. It can be acknowledged from Figure 8b that the strong nonlinearity involved in this frame structure model and the dynamic response of higher stories are greater than that of lower stories.
Figure 8.
The statistical characteristics of dynamic response and restoring force: (a) mean and Std. D of dynamic response; (b) restoring force.
Figure 9 demonstrates how the PDEM can be used to accurately capture the probability information of the dynamic response of the 10-story frame structure. In specific, the PDFs of the story drift ratio of the eighth story at the three given time instances, i.e., t = 2 s, 3 s and 4 s, are presented in Figure 9a, from which it can be clearly acknowledged that the PDFs of dynamic response at different time instances are quite different. According to the simulated representative samples of the explosive ground motions, the intensity approaches the peak value around 1 s and then gradually decays over the duration, indicating that the maximum story drift ratio of the nonlinear frame structure is most likely to occur at about 1 s. In fact, the story drift ratio reaches nearly 0.003 at 2 s, and then gradually decreases as time goes by. Figure 9b depicts the probability density evolution information for the eighth story’s drift ratio in the time interval from t = 2 s to t = 4 s. It depicts the PDF’s contour and resembles a streaming liquid, describing the probability density’s changes over time. Apparently, the PDFs of story drift ratio from 2 s to 4 s gradually decreases from 0.0025. It has thus been proven without any reasonable doubt that the proposed dimension-reduction method for modeling explosive ground vibrations is successful and can be used in conjunction with the PDEM to execute the refined dynamic response.
Figure 9.
Probability information of the story drift ratio of the eighth story: (a) the PDFs of the story drift ratio of the eighth story at three typical time instances; (b) probability information of the story drift ratio of the eighth story from the time instance t = 2 s to 4 s.
In this section, the dynamic response of a 10-story nonlinear frame structure is analyzed using the representative samples generated by the dimension-reduction method as external excitations combine with the PDEM at the probability level. From the results, it can be seen that the PDEM can capture the probability information of any interested dynamic response at any time instance, which reveals the engineering applicability and superiority of the PDEM.
5. Reliability Evaluation of the Nonlinear Frame Structure
5.1. EEV-Based Reliability Evaluation Strategy
The maximum story drift ratio of each story as the dynamic response reference indicators is recommended by the Chinese Code for Seismic Design of Buildings (GB 50011-2010, 2016) [46], and the dynamic reliability of the frame structure of a single-story can be written as follows, based on the first-passage failure criterion with a symmetrical double boundary [47]:
where j denotes the number of stories of the frame structure. denotes the reliability of the j-th story of the frame structure over the interval . is the threshold. is the EEV of , and denotes the PDF of the extreme value , respectively. It is clear that the single-story dynamic reliability is the cumulative distribution function (CDF) of the extreme value .
To this end, the global dynamic reliability of the frame structure can be expressed as follows:
where is the EEV of the story drift ratio of the frame structure and is the PDF of , respectively. Similarly, the global dynamic reliability of the frame structure is the CDF of the extreme value .
It is important to note that the out-crossing-process theory on the first-passage reliability problem frequently fails to provide a precise solution. However, by employing the EEV event, the complete correlational information is already present, making it simple to determine the precise solution.
5.2. Reliability Evaluation Analysis
Figure 10 shows the PDFs and CDFs of the story drift ratio at each story and those of the EEV of the frame structure under the generated explosive ground motions in the case of . It can be clearly seen in Figure 10a that with the increase of the story, the opening of the PDF curve of the story drift ratio becomes larger and the peak value shifts to the right, indicating that the dynamic responses of the higher stories are often larger than that of the lower stories. Figure 10b describes the CDFs of the story drift ratio at each story and that of EEV, which are also referred to as the structural seismic reliability. Correspondingly, a similar phenomenon can also be observed in Figure 10b, where under the same threshold conditions the CDF value of the story drift ratio gradually decreases as the height of the frame structure increases in total.
Figure 10.
The PDFs and CDFs of story drift ratio of each story and those of EEV in the case of : (a) PDFs of story drift ratio of each story and that of EEV; (b) CDFs of story drift ratio of each story and that of EEV.
The corresponding threshold of the story drift ratio of moderate and minor ground motions is 1/550 and 1/100, according to reference [48]. Since the simulated explosive ground motions are between the moderate and minor ground motions, the corresponding threshold of the story drift ratio is taken as 1/300 in this study. Table 7 lists the component and global reliability of the 10-story nonlinear frame structure at the threshold of 1/300 under the action of the explosive ground motions with scaled charge quantities of 0.03 and 0.04. In essence, the reliabilities presented in Table 7 are the area between the threshold line and the PDFs to left of the threshold, and the specific values are the vertical coordinates corresponding to the line focus of CDFs and the threshold line, which are also clearly pictured in Figure 10b. Moreover, it can be easily seen in the table that the weak stories are the eighth story and ninth story which have the lowest seismic reliabilities in all the 10 stories, of which the values are 0.903, 0.906 in case of and 0.860, 0.882 in case of . Table 7 also points out that the global dynamic reliability is lower than the minimum single-story dynamic reliability, which indicates that the global dynamic reliability is not equivalent to the weakest chain reliability, and the failure events of each story are not completely related. What is more, it can be further observed from the table that as the scaled charge quantity increases, the reliability of the structure decreases under the same threshold conditions. This indicates that the scaled charge quantity can affect explosive ground motions, thereby affecting the safety performance of the structure. The reliability analysis of this nonlinear frame structure sufficiently verifies the effectiveness of the dimension-reduction modeling method and the EEV-based reliability evaluation strategy, which provide a theoretical basis for the design of structural explosion resistance analysis.
Table 7.
Dynamic reliability of the 10-story frame structure under the explosive ground motions.
In this section, the reliability evaluation of the investigated 10-story nonlinear frame structure is realized by the EEV-based reliability evaluation strategy. From this, it is easy to acknowledge the weakest chain of the frame structure by presenting the refined dynamic reliability of each story and also obtain the global dynamic reliability of the whole structure, which can provide a theoretical basis for the anti-explosion design of structures.
6. Conclusions
In this paper, a dimension-reduction stochastic model of explosive ground motions has been proposed, which realizes the efficient and accurate simulation by giving the scaled charge quantity. Meanwhile, a frame structure considering material nonlinearity is employed in this paper to investigate the structural reliability under the explosive ground motions by combining with the EEV-based reliability evaluation strategy embedded in the PDEM. The numerical analysis results fully reveal the superiority of the proposed dimension-reduction method for simulating the explosive ground motions and the feasibility of the EEV-based dynamic reliability evaluation strategy for complex nonlinear engineering structures. The main conclusions can be drawn as follows.
- The identification method of EPSD model parameters proposed in this study can separately identify the PSD and intensity modulation functions, which effectively reduces the identification errors induced by time-frequency coupling of EPSD function.
- The exponential model suggested in this paper preliminarily establishes the relationship between the seismic characteristics of explosive ground motions with the explosion mechanism, which realizes the prediction of the EPSD model by giving the scaled charge quantity.
- The introduction of the dimension-reduction method successfully achieves the accurate simulation of explosive ground motions by using only one elementary random variable. Benefitted from the dimension-reduction simulation method, the number of representative time-histories of the explosive ground motions is just several hundred and the probability information of the sample set is complete.
- The refined probability density evolution information of the dynamic response with respect to the structures subjected to the explosive ground motions can be captured with the help of the PDEM. Further, the proposed EEV-based reliability evaluation strategy can precisely assess the component and global dynamic reliability of complex structures. The numerical results of the nonlinear frame structure investigate the relationship between the scaled charge quantity and the structural reliability, which can provide a reference for structural anti-explosion analysis.
In future work, more measured data will be included to propose a more precise and reasonable prediction model of EPSD parameters for generating explosive ground motions. A coherency function model between different directions of the explosive ground motions will be achieved to realize the modeling of multi-dimensional explosive ground motions based on the dimension-reduction method. Furthermore, the multiple index evaluation method for the dynamic reliability of structures under explosive ground motions is also an important aspect that needs to be further explored.
Author Contributions
Conceptualization, Z.L. (Zhangjun Liu); methodology, Z.L. (Zhangjun Liu); software, Y.J.; validation, Y.J.; formal analysis, Y.J.; investigation, Y.J.; resources, Y.J.; data curation, Y.J.; writing—original draft preparation, Y.J.; writing—review and editing, Z.L. (Zixin Liu), X.R.; supervision, Z.L. (Zixin Liu), X.R.; project administration, Z.L. (Zhangjun Liu); funding acquisition, Z.L. (Zhangjun Liu). All authors have read and agreed to the published version of the manuscript.
Funding
This work was supported by State Key Laboratory of Precision Blasting and Hubei Key Laboratory of Blasting Engineering, Jianghan University (No. PBSKL2022C07), the National Natural Science Foundation of China (No. 52108444), the Natural Science Foundation of Hebei Province (No. E2021512001), the Spark Program of Earthquake Sciences (Grant No. XH23065YA), and the Plan of Outstanding Young and Middle-aged Scientific and Technological Innovation Team in Universities of Hubei Province (No. T2020010). The above foundations are highly appreciated.
Institutional Review Board Statement
Not applicable.
Informed Consent Statement
Not applicable.
Data Availability Statement
The data is provided by Wuxue Changjiang River Mining Industry Co., Ltd., and only open access for collaborator of this company.
Acknowledgments
Thank you to all the authors and peer reviewers for their valuable contributions to this paper. We also express our gratitude to the reviewers and editors for their valuable comments and feedback, which helped the authors improve the paper.
Conflicts of Interest
The authors declare no conflict of interest.
References
- Rockwell, E.H. Vibrations Caused by Blasting and Their Effect on Structures; Hercules Powder Company, Incorporated: Wilmington, DE, USA, 1934; pp. 6–19. [Google Scholar]
- Persson, L. Bispectrum Analysis of The Coda Records from Local Earthquakes and Mine Explosions. Comput. Geosci. 1993, 19, 243–247. [Google Scholar] [CrossRef]
- Wu, C.Q.; Hao, H. Numerical Study of Characteristics of Underground Blast Induced Surface Ground Motion and Their Effect on Above-Ground Structures. Part I. Ground Motion Characteristics. Soil Dyn. Earthq. Eng. 2005, 25, 27–38. [Google Scholar] [CrossRef]
- Hao, H.; Wu, C.Q. Numerical Study of Characteristics of Underground Blast Induced Surface Ground Motion and Their Effect on Above-Ground Structures. Part II. Effects on Structural Responses. Soil Dyn. Earthq. Eng. 2005, 25, 39–53. [Google Scholar] [CrossRef]
- Ye, H.W.; Ran, C.; Lei, T. Dynamic Response and Damage Analysis of Masonry Structures under Blast Vibration. Blasting 2018, 35, 161–166+174. (In Chinese) [Google Scholar]
- Zhang, Q.; Lin, D.C.; Bai, C.H. Investigations of Evaluating Blast Damage Power to Ground Surface Targets by Explosion Seismic Effects. Explos. Shock. Waves 2002, 21, 92–95. (In Chinese) [Google Scholar]
- Wang, T.; Bian, Y.; Zhang, Y. Classification of earthquakes, explosions and mining-induced earthquakes based on XGBoost algorithm. Comput. Geosci. 2023, 170, 105242. [Google Scholar] [CrossRef]
- Kong, Q.; Wang, R.; Walter, W.R.; Pyle, M.; Koper, K.; Schmandt, B. Combining Deep Learning with Physics Based Features in Explosion-Earthquake Discrimination. Geophys. Res. Lett. 2022, 49, e2022GL098645. [Google Scholar] [CrossRef]
- Nishimura, T.; Iguchi, M.; Hendrasto, M.; Aoyama, H.; Yamada, T.; Ripepe, M.; Genco, R. Magnitude–frequency distribution of volcanic explosion earthquakes. Earth Planets Space 2016, 68, 125. [Google Scholar] [CrossRef]
- Abdollahzadeh, G.; Faghihmaleki, H. Seismic-explosion risk-based robustness index of structures. Int. J. Damage Mech. 2017, 26, 523–540. [Google Scholar] [CrossRef]
- Ma, J.; Dong, L.; Zhao, G.; Li, X. Ground motions induced by mining seismic events with different focal mechanisms. Int. J. Rock Mech. Min. 2019, 116, 99–110. [Google Scholar] [CrossRef]
- Shinozuka, M. Simulation of Multivariate and Multidimensional Random Processes. J. Acoust. Soc. Am. 1971, 49, 357–368. [Google Scholar] [CrossRef]
- Shinozuka, M.; Jan, C.M. Digital Simulation of Random Processes and Its Applications. J. Sound Vib. 1972, 25, 111–128. [Google Scholar] [CrossRef]
- Shinozuka, M. Monte Carlo Solution of Structural Dynamics. Comput. Struct. 1972, 2, 855–874. [Google Scholar] [CrossRef]
- Shinozuka, M.; Deodatis, G. Simulation of Stochastic Processes by Spectral Representation. Appl. Mech. Rev. 1991, 44, 191–204. [Google Scholar] [CrossRef]
- Shinozuka, M.; Deodatis, G. Simulation of Multi-Dimensional Gaussian Stochastic Fields by Spectral Representation. Appl. Mech. Rev. 1996, 49, 29–53. [Google Scholar] [CrossRef]
- Sheng-bing, G.U.O.; Yue-feng, P.A.N.; Pei-zheng, G.A.O.; Ming-yang, W.A.N.G.; Qi-hu, Q.I.A.N. Numerical Simulation of Explosion Seismic Waves. Explos. Shock. Waves 2005, 25, 335–340. (In Chinese) [Google Scholar]
- Lou, J.W.; Long, Y.; Xu, Q.J. Simulation of Blasting Vibration Signal and Verification of Its Frequency Spectrum. Eng. Blasting 2001, 7, 7–11. (In Chinese) [Google Scholar]
- Xu, J.; Zhang, W.; Sun, R. Efficient Reliability Assessment of Structural Dynamic Systems with Unequal Weighted Quasi-Monte Carlo Simulation. Comput. Struct. 2016, 175, 37–51. [Google Scholar] [CrossRef]
- Shayanfar, M.A.; Barkhordari, M.A.; Roudak, M.A. An Efficient Reliability Algorithm for Locating Design Point Using the Combination of Importance Sampling Concepts and Response Surface Method. Commun. Nonlinear Sci. 2017, 47, 223–237. [Google Scholar] [CrossRef]
- Jing, Z.; Chen, J.; Li, X. RBF-GA: An Adaptive Radial Basis Function Metamodeling with Genetic Algorithm for Structural Reliability Analysis. Reliab. Eng. Syst. Safe 2019, 189, 42–57. [Google Scholar] [CrossRef]
- Chen, J.B.; Sun, W.L.; Li, J.; Xu, J. Stochastic Harmonic Function Representation of Stochastic Processes. J. Appl. Mech. 2013, 80, 011001. [Google Scholar] [CrossRef]
- Chen, J.B.; Kong, F.; Peng, Y.B. A Stochastic Harmonic Function Representation for Non-Stationary Stochastic Processes. Mech. Syst. Signal Process. 2017, 96, 31–44. [Google Scholar] [CrossRef]
- Liu, Z.J.; Liu, W.; Peng, Y.B. Random Function Based Spectral Representation of Stationary and Non-Stationary Stochastic Processes. Probabilist. Eng. Mech. 2016, 45, 115–126. [Google Scholar] [CrossRef]
- Liu, Z.J.; Liu, Z.X.; Peng, Y.B. Dimension Reduction of Karhunen-Loeve Expansion for Simulation of Stochastic Processes. J. Sound Vib. 2017, 408, 168–189. [Google Scholar] [CrossRef]
- Liu, Z.J.; Liu, Z.X.; Chen, D.H. Probability Density Evolution of a Nonlinear Concrete Gravity Dam Subjected To Nonstationary Seismic Ground Motion. J. Eng. Mech. 2018, 144, 04017157. [Google Scholar] [CrossRef]
- Liu, Z.J.; Liu, Z.H.; Peng, Y.B. Simulation of Multivariate Stationary Stochastic Processes Using Dimension-Reduction Representation Methods. J. Sound Vib. 2018, 418, 144–162. [Google Scholar] [CrossRef]
- Li, J.; Chen, J.B. Stochastic Dynamics of Structures; John Wiley & Sons: Fusionopolis Walk, Singapore, 2009; pp. 191–226. [Google Scholar]
- Li, J. Probability Density Evolution Method: Background, Significance and Recent Developments. Probabilist. Eng. Mech. 2016, 44, 111–117. [Google Scholar] [CrossRef]
- Cao, X.Y.; Feng, D.C.; Li, Y. Assessment of various seismic fragility analysis approaches for structures excited by non-stationary stochastic ground motions. Mech. Syst. Signal Process. 2023, 186, 109838. [Google Scholar] [CrossRef]
- Cao, X.Y.; Feng, D.C.; Beer, M. Consistent seismic hazard and fragility analysis considering combined capacity-demand uncertainties via probability density evolution method. Struct. Saf. 2023, 103, 102330. [Google Scholar] [CrossRef]
- Feng, D.C.; Cao, X.Y.; Beer, M. An enhanced PDEM-based framework for reliability analysis of structures considering multiple failure modes and limit states. Probabilist. Eng. Mech. 2022, 70, 103367. [Google Scholar] [CrossRef]
- Priestley, M.B. Evolutionary Spectra and Non-Stationary Processes. J. R. Stat. Soc. B 1965, 27, 204–229. [Google Scholar] [CrossRef]
- Ou, J.P.; Wang, G.Y. Random Vibration of Structure [M]; Higher Education Press: Beijing, China, 1998; pp. 121–128. (In Chinese) [Google Scholar]
- Clough, R.W.; Penzien, J. Dynamic of Structures; McGraw-Hill Inc: New York, NY, USA, 1993; pp. 33–61. [Google Scholar]
- Deodatis, G. Non-Stationary Stochastic Vector Processes: Seismic Ground Motion Applications. Probabilist. Eng. Mech. 1996, 11, 149–167. [Google Scholar] [CrossRef]
- Donoho, D.L.; Johnstone, I.M. Ideal Denoising in An Orthonormal Basis Chosen from A Library of Bases. Comptes Rendus Acad. Bulg. Sci. 1994, 319, 1317–1322. [Google Scholar]
- Arias, A. Measure of Earthquake Intensity; Massachusetts Institute of Technology, Cambridge University of Chile: Santiago de Chile, Chile, 1970. [Google Scholar]
- Marquardt, D.W. An Algorithm for Least-Squares Estimation of Nonlinear Parameters. J. Soc. Indust. Appl. Math. 1963, 11, 431–441. [Google Scholar] [CrossRef]
- Legates, D.R.; Mccabe, G.J. Evaluating the use of “goodness-of-fit” Measures in hydrologic and hydroclimatic model validation. Water Resour. Res. 1999, 35, 233–241. [Google Scholar] [CrossRef]
- Motulsky, H.J.; Ransnas, L.A. Fitting Curves to Data Using Nonlinear Regression: A Practical and Nonmathematical Review. FASEB J. 1987, 1, 365–374. [Google Scholar] [CrossRef]
- Li, J.; Chen, J.B. The Principle of Preservation of Probability and The Generalized Density Evolution Equation. Struct. Saf. 2008, 30, 65–77. [Google Scholar] [CrossRef]
- Ma, F.; Zhang, H.; Bockstedte, A.; Foliente, G.C.; Paevere, P. Parameter Analysis of The Differential Model of Hysteresis. J. Appl. Mech. 2004, 71, 342–349. [Google Scholar] [CrossRef]
- Wen, Y.K. Method for Random Vibration of Hysteretic Systems. J. Eng. Mech. Div. 1976, 102, 249–263. [Google Scholar] [CrossRef]
- Liu, Z.J.; Chen, J.B.; Peng, Y.B. Dynamic of Structures; China Architecture & Building Press: Beijing, China, 2021; p. 509. (In Chinese) [Google Scholar]
- GB50011-2010; Code for Seismic Design of Buildings. China Architecture & Building Press: Beijing, China, 2016; pp. 44–47. (In Chinese)
- Li, J.; Chen, J.B.; Fan, W.L. The Equivalent Extreme-Value Event and Evaluation of The Structural System Reliability. Struct Saf. 2007, 29, 112–131. [Google Scholar] [CrossRef]
- Zhou, Y.; Wu, H.; Gu, A.Q. Earthquake Engineering: From Earthquake Resistance, Energy Dissipation, and Isolation, to Resilience. Eng. Mech. 2019, 36, 1–12. (In Chinese) [Google Scholar]
Disclaimer/Publisher’s Note: The statements, opinions and data contained in all publications are solely those of the individual author(s) and contributor(s) and not of MDPI and/or the editor(s). MDPI and/or the editor(s) disclaim responsibility for any injury to people or property resulting from any ideas, methods, instructions or products referred to in the content. |
© 2023 by the authors. Licensee MDPI, Basel, Switzerland. This article is an open access article distributed under the terms and conditions of the Creative Commons Attribution (CC BY) license (https://creativecommons.org/licenses/by/4.0/).