Experimental Study on Shield-Receiving Steel Sleeve Sealing Performance and Filler Pressure Regulation
Abstract
:1. Introduction
2. Test Profile
2.1. Specimen Design
2.2. Loading Test Scheme
2.3. Layout of the Measuring Points
3. Results and Discussion
3.1. Steel Sleeve Pressure-Holding Sealing Performance
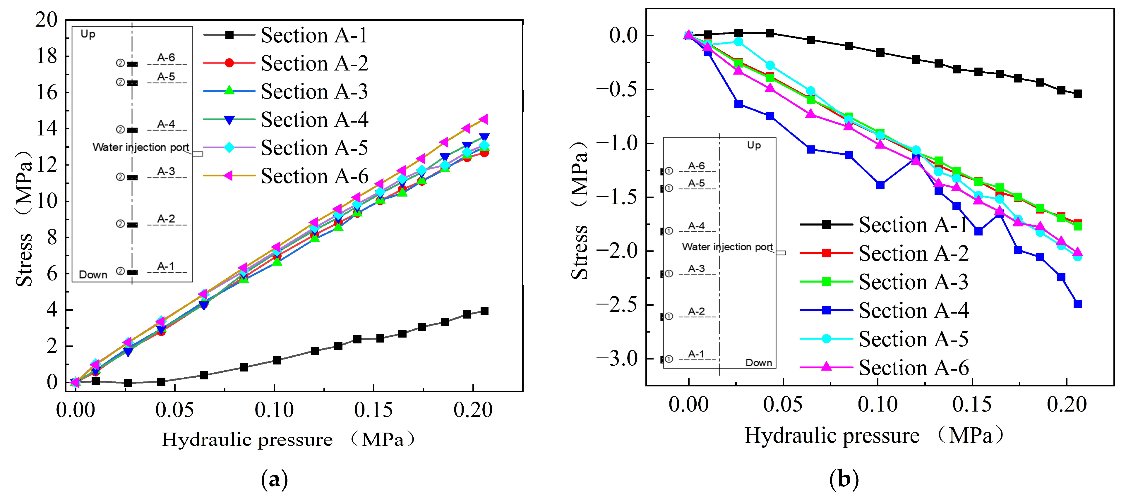
3.2. Results and Analysis of the Hydraulic Pressure Regulation Test
3.3. Results and Analysis of the Mechanical Pressure Regulation Test
4. Conclusions
- (1)
- By hydraulic pressure regulation, the linear and equally proportional variation in the filler pressure of the steel sleeve in response to external hydraulic pressure variation is observed. The pressure variation at the entrance point of the filler pressure monitoring cross section is 16~24% larger than that at the peripheral measuring points.
- (2)
- During mechanical pressure regulation, the pattern of its increase and decrease is obvious, the action mechanism is clear, and the pressure value is steady and controllable. Under the low internal pressure level (less than 0.15 MPa), the nonlinear variation in filler pressure is complicated by mechanical pressurization which could be divided into three stages. The filler pressure changed stably during mechanical pressurization and depressurization under a high internal pressure level (greater than 0.15 MPa).
- (3)
- The maximum stress of the new steel sleeve structure was 14.5 MPa under an elastic stress level. Variations in the jack reaction forces and cover plate displacement are stable, guaranteeing the safety of the steel sleeve structure.
- (4)
- Under the low internal pressure level (greater than 0.15 MPa), the operation of mechanical pressure regulation requires more prudential control. The slight slant of the cover plate should be dynamically revised by accurate adjustment of Jack pressure, and normal mechanical pressure regulation should implement after pressurization to 0.05 MPa via water injection. A simple and stable method involves regulating filler pressure using the hydraulic pressure regulation method. However, with the use of the mechanical pressure regulation method, faster regulation effects will be obtained with higher control precision. Two methods for regulating filler pressure should be selected according to practical operational capacity and pressure regulation requirements.
- (5)
- Under the proposed design scheme, the pressure in the steel sleeve is still slowly lost during pressure holding, and absolute sealing cannot be achieved in the whole pressure regulation process. The present solution is to compensate for the pressure according to the pressure monitoring result. The design scheme should be optimized from the view of seal ring material and seal structure design, and further related research work will be carried out. In addition, the current research is only on the principle and performance of the filler pressure regulation for the new steel sleeve structure, and the specific construction technology needs to be further studied in the engineering application.
Author Contributions
Funding
Institutional Review Board Statement
Informed Consent Statement
Data Availability Statement
Acknowledgments
Conflicts of Interest
References
- Youn, B.Y.; Breitenbücher, R. Influencing parameters of the grout mix on the properties of annular gap grouts in mechanized tunneling. Tunn. Undergr. Space Technol. 2014, 43, 290–299. [Google Scholar] [CrossRef]
- Li, X.G.; Yuan, D.J. Response of a double-decked metro tunnel to shield driving of twin closely under-crossing tunnels. Tunn. Undergr. Space Technol. 2012, 28, 18–30. [Google Scholar] [CrossRef]
- Qian, F.; Du, J.M.; Wang, Z.J.; Liu, X. Model experimental study on stratum deformation of shield tunnelling in sand. China J. Highw. Transp. 2021, 34, 135. [Google Scholar]
- Cheng, H.Z.; Chen, J.; Chen, G.L. Analysis of ground surface settlement induced by a large EPB shield tunnelling: A case study in Beijing, China. Environ. Earth Sci. 2019, 78, 605. [Google Scholar] [CrossRef]
- Zhu, C.; Li, N. Prediction and Analysis of Surface Settlement Due to Shield Tunneling for Xi’an Metro. Can. Geotech. J. 2017, 54, 529–546. [Google Scholar] [CrossRef]
- He, X.C.; Xu, Y.S.; Shen, S.L.; Zhou, A.N. Geological Environment Problems during Metro Shield Tunnelling in Shenzhen, China. Arab. J. Geosci. 2020, 13, 87. [Google Scholar] [CrossRef]
- Liu, W.Z.; Sun, K.; Dai, X.Y.; Ai, G.P.; Lei, T. Numerical Simulation and Field Monitoring of Influence of Metro Shield Tunnel Undercrossing the Existing Railway Frame Bridge by Long Distance. J. Railw. Sci. Eng. 2022, 19, 208–218. [Google Scholar]
- Lin, R.A.; Sun, Y.F.; Dai, Z.H.; Weng, X.L.; Wu, Y.H.; Luo, W. Predicting for Ground Surface Settlement Induced by Shield Tunneling in Upper-soft and Lower-hard Ground Based on RS-SVR. China J. Highw. Transp. 2018, 31, 130–137. [Google Scholar]
- Liu, X.X.; Xu, Y.S.; Cheng, W.C. Investigation of Hydraulic Parameters of a Weathered Mylonite Fault from Field Pumping Tests: A case study. Bull. Eng. Geol. Environ. 2017, 76, 1431–1448. [Google Scholar] [CrossRef]
- Ren, D.J.; Shen, S.L.; Cheng, W.C. Geological Formation and Geo-Hazards during Subway Construction in Guangzhou. Environ. Earth Sci. 2016, 75, 934. [Google Scholar] [CrossRef]
- Fang, Y.; Chen, Z.; Tao, L. Model Tests on Longitudinal Surface Settlement Caused by Shield Tunnelling in Sandy Soil. Sustain. Cities Soc. 2019, 47, 101504. [Google Scholar] [CrossRef]
- Zhang, Z.X.; Liu, C.; Huang, X. Numerical Analysis of Volume Loss Caused by Tunnel Face Instability in Soft Soils. Environ. Earth Sci. 2017, 76, 563. [Google Scholar] [CrossRef]
- Hu, Q.F.; Qin, J.B. Statistical Analysis on Accidents of Subway Tunnel Construction from 2003 to 2011 in China. Chin. J. Undergr. Space Eng. 2013, 9, 705–710. [Google Scholar]
- Li, F.W.; Du, X.L.; Zhang, M.J. Statistical Analysis of Accidents in Metro Construction. Chin. J. Undergr. Space Eng. 2014, 10, 474–479. [Google Scholar]
- Ben, Z.J.; Yang, P.; Chen, C.J.; Wang, S.F. Water Receiving Technology of Large Slurry Shield in River-crossing Subway Tunnel. J. Nanjing For. Univ. (Nat. Sci. Ed.) 2015, 39, 119–124. [Google Scholar]
- Liao, S.M.; Men, Y.Q.; Zhao, G.Q.; Xu, W.Z. Mechanical Behaviors and Field Tests of Steel Sleeves During Shield Receiving. Chin. J. Geotech. Eng. 2016, 38, 1948–1956. [Google Scholar]
- Sun, T.S.; Chen, S.M. New Technology of Large-diameter Shield Excavation on Tunnel Portal. Urban Mass Transit 2012, 15, 95–98. [Google Scholar]
- Zhou, C.; Yu, Q.Z.; Yang, J. Risk Control Technology of Leakage Accident for the Subway Arriving. J. Railw. Eng. Soc. 2016, 33, 99–104. [Google Scholar]
- Wang, S.J.; Zhang, J.P. Shield-Driven Initiation Technology of Reinforced Concrete Sealed Cabin in the Concealed Working Well of Metro Engineering. Urban Mass Transit 2020, 23, 165–168. [Google Scholar]
- Chang, X. Piston Sealing Steel Ring Receiving Technology of Slurry Shield. Constr. Technol. 2017, 46, 106–108. [Google Scholar]
- Liu, M.B.; Liao, S.M.; Chen, L.S.; Zhao, G.Q.; Xu, W.Z. In-Situ Measurements of Shield Machine Receiving in Foamed Concrete. Chin. J. Geotech. Eng. 2020, 42, 2006–2014. [Google Scholar]
- Zheng, S.; Ju, S.J. Technology of Steel Reception Sleeve for Slurry Shield. Mod. Tunn. Technol. 2010, 47, 51–56. [Google Scholar]
- Zhao, L.F. Auxiliary Construction Technology with Steel Sleeve Used for the Arrival of Soil Pressure Balance Shield. Railw. Stand. Des. 2013, 8, 89–93. [Google Scholar]
- Wu, W.L.; Wang, H.J.; Gao, K.; Zou, Y. Application of Steel Sleeve Balance Technology in Slurry Balance Shield Tunneling. Urban Mass Transit 2016, 19, 125–128. [Google Scholar]
- Zhu, H.Y.; Jia, L.; Feng, H.H. Steel Sleeve Receiving Technology for Shield Construction in Zhengzhou Rail Transit Line 2. Constr. Technol. 2016, 45, 122–127+140. [Google Scholar]
- Wang, T.M.; Dai, Z.R. Application on Ground Reinforcement Method of Launching Shaft for Shield Tunnel. J. Railw. Eng. Soc. 2014, 31, 90–95+100. [Google Scholar]
- Zhao, J.; Dai, H.J. Shield Break-in and Break-out Techniques in Soft Soil for Shield Driven Tunnel. Chin. J. Rock Mech. Eng. 2004, S2, 5147–5152. [Google Scholar]
- Sun, Y.; Liu, M.G.; Lu, P.; Chen, R.D.; Pang, K. Review of Key Technical Issues in Construction of Cross Passage in Shield Tunnel. Mod. Tunn. Technol. 2021, 58, 293–302. [Google Scholar]
- Liu, H.; He, Y.; Zhong, H.; Zhang, F.L. Key Technologies for Steel Sleeve Receiving of a Large-Diameter Slurry Shield in Water-Rich Silty-Fine Sand Strata in Coastal Area: A Case Study of Karnaphuli River-Crossing Tunnel in Bangladesh. Tunn. Constr. 2021, 41, 1225–1233. [Google Scholar]
- Yang, S.B. Risk Analysis and Preventive Measures of Metro Shield Steel Sleeve Receiving. Eng. Technol. Res. 2020, 5, 180–181. [Google Scholar]
- Zhou, L. Study on Risk Evaluation and Countermeasures of Metro Shield Steel Sleeve Receiving Construction. Ph.D. Thesis, Lanzhou Jiaotong University, Lanzhou, China, 2020. [Google Scholar]
- Liu, Y.J.; Yang, Z.L.; Yang, T.; Yin, Q.F.; Chen, L.; Gu, X.F. Shield Receiving Technology by Encapsulated Steel Sleeve and Pre-freezing. Mod. Tunn. Technol. 2020, 57, 974–979. [Google Scholar]
- Ji, W.J. Application of Freezing Combined Steel Sleeve Construction Technique to Shield Receiving in Metro Tunnel. Mod. Tunn. Technol. 2019, 56, 660–664. [Google Scholar]
- Wu, Z.S.; He, Z.H.; Liu, W.; Xu, C.; Kong, Q. Torsion-resistant Construction Technology for Steel Sleeve Used in Launching of Large-diameter Slurry Shield: A Case Study of Canapuri River Tunnel in Bangladesh. Tunn. Constr. 2020, 40, 321–326. [Google Scholar]
- Xu, J.B.; Wang, F.; Fu, C.; Song, W. Combined Application of Cement System and Vertical Ground Freezing to Shield Receiving in Wuhan Metro Tunnel Construction. Tunn. Constr. 2019, 39, 358–365. [Google Scholar]
- Liu, Y.J.; Yang, Z.L.; Yang, T.; Yin, Q.F.; Chen, L.; Gu, X.F. Application of Combined Technology of Plain Concrete Diaphragm Wall Reinforcement and Closed Steel Sleeve in Shield Receiving. Mod. Tunn. Technol. 2020, 57, 980–984. [Google Scholar]
- Wu, Q. Key Technology of Short Sleeve Shield Reception in Water-rich Gravel Stratum. Urban Rapid Rail Transit 2017, 30, 40–43+49. [Google Scholar]
- He, W.G. Receiving Technology of Steel Sleeve for Shield Machine Under the Conditions of Local Block Ground. Constr. Technol. 2015, 44, 109–112. [Google Scholar]
- Zhou, Y.K. Mechanical Deformation Characteristics and Soil Disturbance Analysis of the Launching Steel Sleeve of EPB Shield. Ph.D. Thesis, Beijing Jiaotong University, Beijing, China, 2018. [Google Scholar]











| Yield Strength fs/MPa | Tensile Strength fu/MPa | Yield Strain Εs/10−3 | Elasticity Modulus Es/MPa |
|---|---|---|---|
| 292.8 | 418.0 | 1.44 | 2.03 × 105 |
| Type | Cumulative Retained Percentage of Each Sieve Mesh/% | Fineness Modulus | |||||
|---|---|---|---|---|---|---|---|
| 4.75 | 2.36 | 1.18 | 0.6 | 0.3 | 0.15 | ||
| Sand | 1.90 | 19.24 | 35.78 | 53.12 | 80.17 | 90.41 | 2.97 |
| Loading Type | Loading Mode | Initial Load | Ending Load | Load Monitoring |
|---|---|---|---|---|
| Pressurization by water injection | Pressurization by pressure pump | 0.02 MPa | 0.16 MPa | Pressure at the water injection port |
| Depressurization by water discharge | Depressurization by water discharge | 0.1 MPa | 0.01 MPa | Pressure at the water discharge opening |
| Mechanical pressurization 1 | Jack loading | 0 | 116 kN | Reaction force of jacks |
| Mechanical pressurization 2 | Jack loading | 156 kN | 199 kN | Reaction force of jacks |
| Mechanical depressurization | Jack unloading | 199 kN | 77 kN | Reaction force of jacks |
| Pressurization by water injection | Pressurization by pressure pump | 0.02 MPa | 0.16 MPa | Pressure at the water injection port |
Disclaimer/Publisher’s Note: The statements, opinions and data contained in all publications are solely those of the individual author(s) and contributor(s) and not of MDPI and/or the editor(s). MDPI and/or the editor(s) disclaim responsibility for any injury to people or property resulting from any ideas, methods, instructions or products referred to in the content. |
© 2023 by the authors. Licensee MDPI, Basel, Switzerland. This article is an open access article distributed under the terms and conditions of the Creative Commons Attribution (CC BY) license (https://creativecommons.org/licenses/by/4.0/).
Share and Cite
Qi, J.; Pan, Y.; Zhang, J. Experimental Study on Shield-Receiving Steel Sleeve Sealing Performance and Filler Pressure Regulation. Appl. Sci. 2023, 13, 7045. https://doi.org/10.3390/app13127045
Qi J, Pan Y, Zhang J. Experimental Study on Shield-Receiving Steel Sleeve Sealing Performance and Filler Pressure Regulation. Applied Sciences. 2023; 13(12):7045. https://doi.org/10.3390/app13127045
Chicago/Turabian StyleQi, Jiarui, Yiheng Pan, and Jinfeng Zhang. 2023. "Experimental Study on Shield-Receiving Steel Sleeve Sealing Performance and Filler Pressure Regulation" Applied Sciences 13, no. 12: 7045. https://doi.org/10.3390/app13127045
APA StyleQi, J., Pan, Y., & Zhang, J. (2023). Experimental Study on Shield-Receiving Steel Sleeve Sealing Performance and Filler Pressure Regulation. Applied Sciences, 13(12), 7045. https://doi.org/10.3390/app13127045

