Numerical Study on the Green-Water Loads and Structural Responses of Ship Bow Structures Caused by Freak Waves
Abstract
1. Introduction
2. Numerical Implementation
2.1. Freak Wave Based on Superposition Model
2.2. Fluid Solver
2.3. Structure Solver
3. Numerical Validations
3.1. Validation on the Ship Motion Responses
3.2. Validation of the Green Water Loading
4. Wave-Ship Interaction and Green-Water Loads
4.1. Numerical Wave Tank
4.2. Generation of the Freak Wave
4.3. Measurement of the Impact Pressures
4.4. Ship Motion Responses and Green-Water Loads
4.4.1. Ship Motion Responses Induced by the Freak Wave
4.4.2. Green-Water Loads Induced by the Freak Wave
5. Structural Responses of the Deck and Breakwater
5.1. Modelling of the Ship Bow Structures
5.2. Loading on the Ship Bow Structures
5.3. Structural Response Analysis
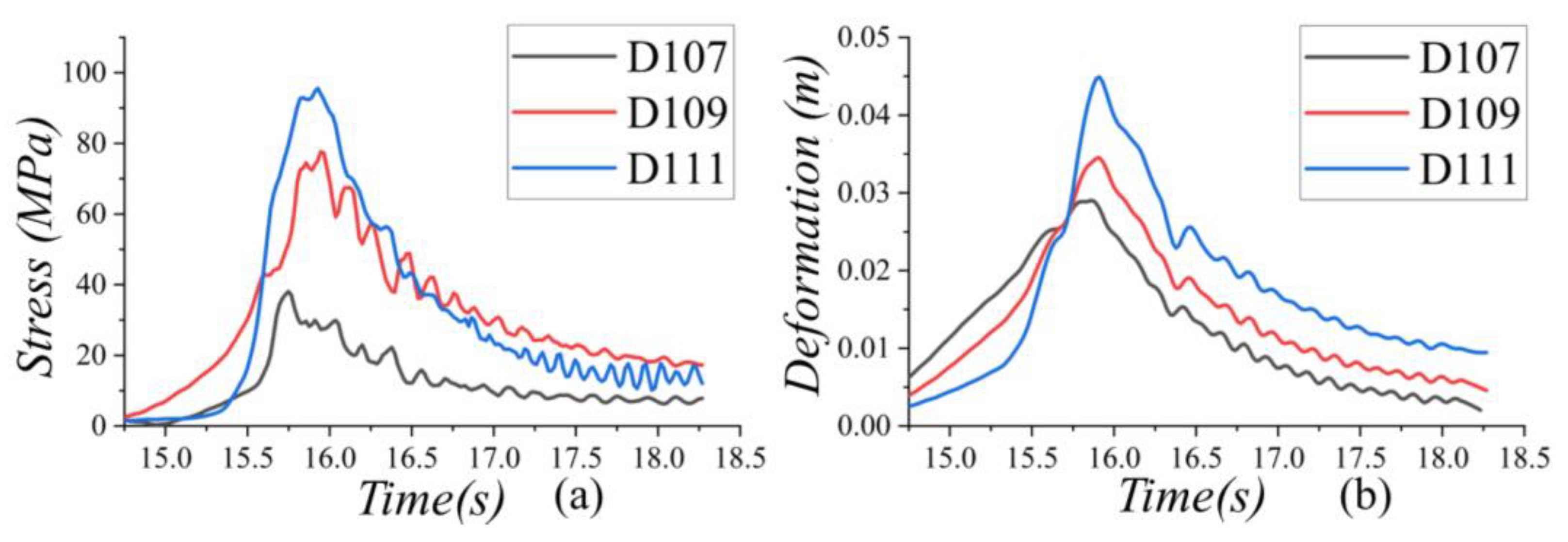
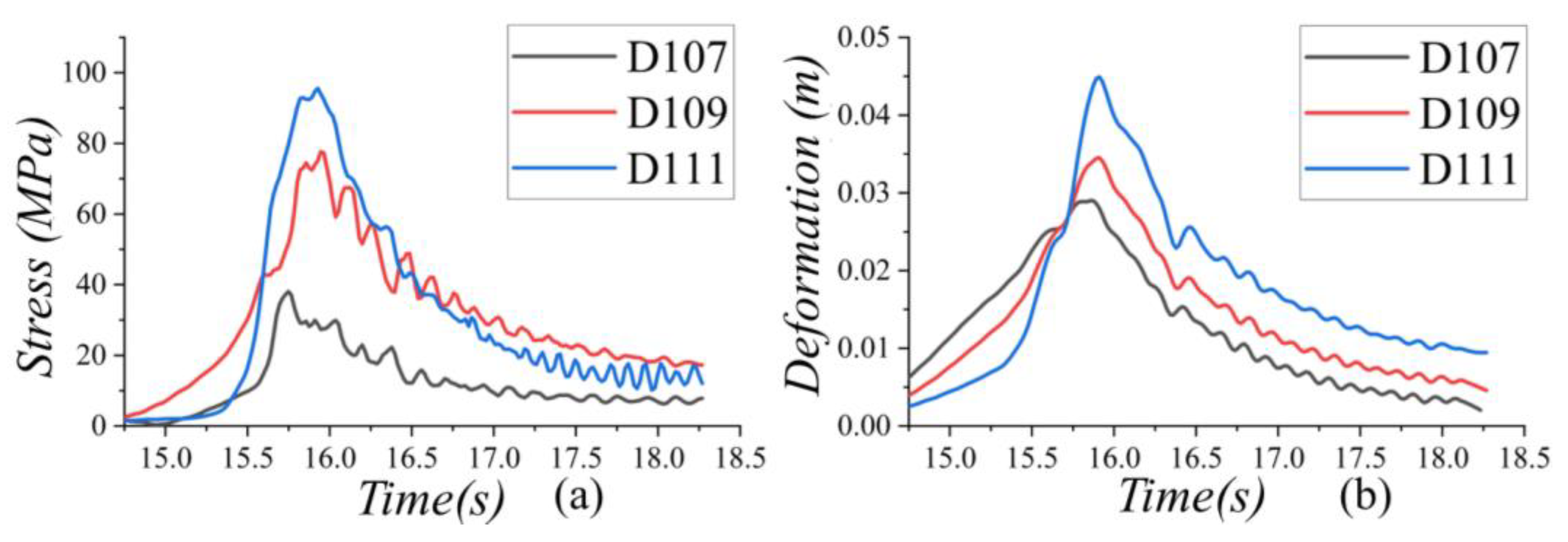
5.3.1. Structure Responses of the Deck and Breakwater
5.3.2. Comparison of Dynamic and Static Analysis Methods
5.3.3. Comparison of Linear and Nonlinear Analysis Methods
6. Conclusions
- (1)
- It can be concluded from numerical simulation results that freak waves have a crucial impact on ship motion response. It should be noted that wave crests and troughs can cause significant heave and pitch motion. Therefore, it is necessary to consider the influence of extreme sea conditions on ship stability in the design and verification of ships.
- (2)
- Freak waves have significant impacts on green-water loads. The green-water event caused by freak waves generates a huge impact force on the deck and breakwater of the ship bow, with a greater slamming load on the breakwater than on the deck. The tremendous impact loads may pose a threat to the safety of personnel on the deck and cause damage to the equipment on deck. Therefore, in engineering applications, it is necessary to pay attention to checking the local strength of the bow deck and the breakwater to ensure the safety of the ship and personnel.
- (3)
- Freak waves are able to cause severe structural responses in the deck and breakwater structures of the ship bow. Under the impact of green water caused by the freak wave, the breakwater and breakwater stiffener suffered relatively severe damage. Therefore, in the design of ships, it is necessary to strengthen the structure of the breakwater to prevent damage to the breakwater caused by green-water events resulting from freak waves. Increasing the thickness of the breakwater and the number of breakwater stiffeners is recommended to guarantee local strength and avoid structural damage.
- (4)
- Equivalent static analysis methods are computationally efficient and widely applicable in engineering, but tend to produce conservative results, which may result in material waste. As such, they are best suited for the preliminary design stage of ship hulls. However, this study focuses on the high-speed water impact caused by freak waves, which is a transient dynamic problem. The equivalent static analysis methods cannot reflect the temporal and spatial differences in the green water impact phenomenon. Therefore, the dynamic analysis methods are more suitable for the analysis of such problems.
- (5)
- The linear dynamic analysis method can capture the spatial and temporal characteristics of slamming loads, but fails to account for geometric and material nonlinearity. It is best suited for scenarios where the slamming load is small and does not result in material failure. However, these methods cannot accurately reflect the state of structural damage or accurately describe the areas of the structure that have been damaged. The damaged areas determined by these methods are often overestimated. Therefore, if the stress response of the linear analysis methods exceeds the yield limit of the material, nonlinear dynamic analysis methods should be used. Nonlinear dynamic analysis methods can not only more accurately display the damaged areas and states of the structure, but also obtain more precise stress responses and displacement results of the structure.
Author Contributions
Funding
Institutional Review Board Statement
Informed Consent Statement
Data Availability Statement
Acknowledgments
Conflicts of Interest
References
- Akhmediev, N.; Ankiewicz, A.; Taki, M. Waves That Appear from Nowhere and Disappear without a Trace. Phys. Lett. A 2009, 373, 675–678. [Google Scholar] [CrossRef]
- Didenkulova, E. Catalogue of Rogue Waves Occurred in the World Ocean from 2011 to 2018 Reported by Mass Media Sources. Ocean Coast. Manag. 2020, 188, 105076. [Google Scholar] [CrossRef]
- Didenkulova, I.; Didenkulova, E.; Didenkulov, O. Freak Wave Accidents in 2019–2021. In Proceedings of the OCEANS 2022—Chennai, Chennai, India, 21–24 February 2022; pp. 1–7. [Google Scholar]
- Lavrenov, I.V. The Wave Energy Concentration at the Agulhas Current off South Africa. Nat. Hazards 1998, 17, 117–127. [Google Scholar] [CrossRef]
- Fedele, F.; Brennan, J.; Ponce de León, S.; Dudley, J.; Dias, F. Real World Ocean Rogue Waves Explained without the Modulational Instability. Sci. Rep. 2016, 6, 27715. [Google Scholar] [CrossRef] [PubMed]
- Kharif, C.; Pelinovsky, E. Physical Mechanisms of the Rogue Wave Phenomenon. Eur. J. Mech.—B/Fluids 2003, 22, 603–634. [Google Scholar] [CrossRef]
- Dysthe, K.; Krogstad, H.E.; Müller, P. Oceanic Rogue Waves. Annu. Rev. Fluid Mech. 2008, 40, 287–310. [Google Scholar] [CrossRef]
- Sparboom, U.; Wienke, J.; Oumeraci, H. Laboratory “Freak Wave” Generation for the Study of Extreme Wave Loads on Piles. In Proceedings of the Ocean Wave Measurement and Analysis (2001), Reston, VA, USA, 29 March 2002; pp. 1248–1257. [Google Scholar]
- Corte, C.; Grilli, S.T. Numerical modeling of extreme wave slamming on cylindrical offshore support structures. In Proceedings of the Sixteenth International Offshore and Polar Engineering Conference, San Francisco, CA, USA, 28 May–2 June 2006. [Google Scholar]
- Kim, N.; Kim, C.H. Investigation of a dynamic property of Draupner freak wave. Int. J. Offshore Polar Eng. 2003, 13, 38–42. [Google Scholar]
- Li, J.; Wang, Z.; Liu, S. Experimental Study of Interactions between Multi-Directional Focused Wave and Vertical Circular Cylinder, Part II: Wave Force. Coast. Eng. 2014, 83, 233–242. [Google Scholar] [CrossRef]
- Bunnik, T.; Veldman, A.; Wellens, P. Prediction of extreme wave loads in focused wave groups. In Proceedings of the Eighteenth International Offshore and Polar Engineering Conference, Vancouver, BC, Canada, 6–11 July 2008. [Google Scholar]
- Gao, J.; Lyu, J.; Wang, J.; Zhang, J.; Liu, Q.; Zang, J.; Zou, T. Study on Transient Gap Resonance with Consideration of the Motion of Floating Body. China Ocean Eng. 2022, 36, 994–1006. [Google Scholar] [CrossRef]
- Liu, J.; Gao, J.; Shi, H.; Zang, J.; Liu, Q. Investigations on the Second-Order Transient Gap Resonance Induced by Focused Wave Groups. Ocean Eng. 2022, 263, 112430. [Google Scholar] [CrossRef]
- Gao, J.; Ma, X.; Zang, J.; Dong, G.; Ma, X.; Zhu, Y.; Zhou, L. Numerical Investigation of Harbor Oscillations Induced by Focused Transient Wave Groups. Coast. Eng. 2020, 158, 103670. [Google Scholar] [CrossRef]
- Liu, W.; Suzuki, K.; Shibanuma, K. Nonlinear Dynamic Response and Structural Evaluation of Container Ship in Large Freak Waves. J. Offshore Mech. Arct. Eng. 2015, 137, 011601. [Google Scholar] [CrossRef]
- Guedes Soares, C.; Fonseca, N.; Pascoal, R.; Clauss, G.F.; Schmittner, C.E.; Hennig, J. Analysis of Design Wave Loads on an FPSO Accounting for Abnormal Waves. J. Offshore Mech. Arct. Eng. 2006, 128, 241–247. [Google Scholar] [CrossRef]
- Qin, H.; Tang, W.; Xue, H.; Hu, Z. Numerical Study of Nonlinear Freak Wave Impact underneath a Fixed Horizontal Deck in 2-D Space. Appl. Ocean Res. 2017, 64, 155–168. [Google Scholar] [CrossRef]
- Luo, M.; Koh, C.G.; Lee, W.X.; Lin, P.; Reeve, D.E. Experimental Study of Freak Wave Impacts on a Tension-Leg Platform. Mar. Struct. 2020, 74, 102821. [Google Scholar] [CrossRef]
- Rudman, M.; Cleary, P.; Leontini, J.; Sinnott, M.; Prakash, M. Rogue Wave Impact on a Semi-Submersible Offshore Platform. In Proceedings of the ASME 2008 27th International Conference on Offshore Mechanics and Arctic Engineering, Estoril, Portugal, 15–20 June 2008; pp. 887–894. [Google Scholar]
- Hu, Z.; Tang, W.; Xue, H.; Zhang, X.; Wang, K. Numerical Study of Rogue Wave Overtopping with a Fully-Coupled Fluid-Structure Interaction Model. Ocean Eng. 2017, 137, 48–58. [Google Scholar] [CrossRef]
- Qin, H.; Wang, J.; Zhao, E.; Mu, L. Numerical Study of Rogue Wave Forces on Flat Decks Based on the Peregrine Breather Solution under Finite Water Depth. J. Fluids Struct. 2022, 114, 103744. [Google Scholar] [CrossRef]
- Zhang, H.; Tang, W.; Yuan, Y.; Xue, H.; Qin, H. The Three-Dimensional Green-Water Event Study on a Fixed Simplified Wall-Sided Ship under Freak Waves. Ocean Eng. 2022, 251, 111096. [Google Scholar] [CrossRef]
- Liu, D.; Li, F.; Liang, X. Numerical Study on Green Water and Slamming Loads of Ship Advancing in Freaking Wave. Ocean Eng. 2022, 261, 111768. [Google Scholar] [CrossRef]
- Wang, J.; Qin, H.; Hu, Z.; Mu, L. Three-Dimensional Study on the Interaction between a Container Ship and Freak Waves in Beam Sea. Int. J. Naval Archit. Ocean Eng. 2023, 15, 100509. [Google Scholar] [CrossRef]
- Maki, K.J.; Lee, D.; Troesch, A.W.; Vlahopoulos, N. Hydroelastic Impact of a Wedge-Shaped Body. Ocean Eng. 2011, 38, 621–629. [Google Scholar] [CrossRef]
- Yang, S.H.; Chien, H.L.; Chou, C.M.; Tseng, K.C.; Lee, Y.J. A study on the dynamic buckling strength of containership’s bow structures subjected to bow flare impact force. In Proceedings of the 3rd International Conference on Marine Structures, Hamburg, Germany, 3–5 April 2011; pp. 249–255. [Google Scholar]
- Ren, H.; Yu, P.; Wang, Q.; Li, H. Dynamic Response of the Bow Flare Structure Under Slamming Loads. In Proceedings of the ASME 2015 34th International Conference on Ocean, Offshore and Arctic Engineering, St. John’s, NL, Canada, 31 May–5 June 2015. [Google Scholar]
- Xie, H.; Liu, X.; Zhang, Z.; Ren, H.; Liu, F. Methodology of Evaluating Local Dynamic Response of a Hull Structure Subjected to Slamming Loads in Extreme Sea. Ocean Eng. 2021, 239, 109763. [Google Scholar] [CrossRef]
- Kim, K.; Shin, Y.S.; Wang, S. A Stern Slamming Analysis Using Three-Dimensional CFD Simulation. In Proceedings of the ASME 2008 27th International Conference on Offshore Mechanics and Arctic Engineering, Estoril, Portugal, 15–20 June 2008; pp. 929–934. [Google Scholar]
- Qin, H.; Tang, W.; Hu, Z.; Guo, J. Structural Response of Deck Structures on the Green Water Event Caused by Freak Waves. J. Fluids Struct. 2017, 68, 322–338. [Google Scholar] [CrossRef]
- Qin, H.; Tang, W.; Xue, H.; Hu, Z.; Guo, J. Numerical Study of Wave Impact on the Deck-House Caused by Freak Waves. Ocean Eng. 2017, 133, 151–169. [Google Scholar] [CrossRef]
- Hu, Z.; Tang, W.; Xue, H. A Probability-Based Superposition Model of Freak Wave Simulation. Appl. Ocean Res. 2014, 47, 284–290. [Google Scholar] [CrossRef]
- Wilcox, D.C. Reassessment of the Scale-Determining Equation for Advanced Turbulence Models. AIAA J. 1988, 26, 1299–1310. [Google Scholar] [CrossRef]
- Patankar, S.V.; Spalding, D.B. A Calculation Procedure for Heat, Mass and Momentum Transfer in Three-Dimensional Parabolic Flows. In Numerical Prediction of Flow, Heat Transfer, Turbulence and Combustion; Elsevier: Amsterdam, The Netherlands, 1983; pp. 54–73. [Google Scholar]
- Patankar, S.V.; Spalding, D.B. A Finite-Difference Procedure for Solving the Equations of the Two-Dimensional Boundary Layer. Int. J. Heat Mass Transf. 1967, 10, 1389–1411. [Google Scholar] [CrossRef]
- Hirt, C.W.; Sicilian, J.M. A Porosity Technique for the Definition of Obstacles in Rectangular Cell Meshes. In Proceedings of the 4th International Conference on Numerical Ship Hydrodynamics, Washington, DC, USA, 24–27 September 1985. [Google Scholar]
- Newmark, N.M. A Method of Computation for Structural Dynamics. J. Eng. Mech. Divis. 1959, 85, 67–94. [Google Scholar] [CrossRef]
- MSC. Patran User’s Guide; MSC Software Corporation: Newport Beach, CA, USA, 2018. [Google Scholar]
- el Moctar, O.; Shigunov, V.; Zorn, T. Duisburg Test Case: Post-Panamax Container Ship for Benchmarking. Ship Technol. Res. 2012, 59, 50–64. [Google Scholar] [CrossRef]
- Lyu, W.; el Moctar, O. Numerical and Experimental Investigations of Wave-Induced Second Order Hydrodynamic Loads. Ocean Eng. 2017, 131, 197–212. [Google Scholar] [CrossRef]
- El Moctar, O.; Sigmund, S.; Ley, J.; Schellin, T.E. Numerical and Experimental Analysis of Added Resistance of Ships in Waves. J. Offshore Mech. Arct. Eng. 2017, 139, 011301. [Google Scholar] [CrossRef]
- Mei, T.-L.; Delefortrie, G.; Ruiz, M.T.; Lataire, E.; Vantorre, M.; Chen, C.; Zou, Z.-J. Numerical and Experimental Study on the Wave-Body Interaction Problem with the Effects of Forward Speed and Finite Water Depth in Regular Waves. Ocean Eng. 2019, 192, 106366. [Google Scholar] [CrossRef]
- Van Zwijnsvoorde, T.; Ruiz, M.T.; Delefortrie, G. Sailing in Shallow Water Waves with the DTC Container Carrier: Open Model Test Data for Validation Purposes. In Proceedings of the 5th International Conference on Ship Manoeuvring in Shallow and Confined Water, Ostend, Belgium, 20–22 May 2019. [Google Scholar]
- Rosetti, G.F.; Pinto, M.L.; de Mello, P.C.; Sampaio, C.M.P.; Simos, A.N.; Silva, D.F.C. CFD and Experimental Assessment of Green Water Events on an FPSO Hull Section in Beam Waves. Mar. Struct. 2019, 65, 154–180. [Google Scholar] [CrossRef]
- Mayer, S.; Garapon, A.; Sørensen, L.S. A Fractional Step Method for Unsteady Free-Surface Flow with Applications to Non-Linear Wave Dynamics. Int. J. Numer. Methods Fluids 1998, 28, 293–315. [Google Scholar] [CrossRef]
- Zhao, X.; Hu, C. Numerical and Experimental Study on a 2-D Floating Body under Extreme Wave Conditions. Appl. Ocean Res. 2012, 35, 1–13. [Google Scholar] [CrossRef]
- Mori, N.; Liu, P.C.; Yasuda, T. Analysis of Freak Wave Measurements in the Sea of Japan. Ocean Eng. 2002, 29, 1399–1414. [Google Scholar] [CrossRef]
- Cui, C.; Zhang, N.; Kang, H.; Yu, Y. An Experimental and Numerical Study of the Freak Wave Speed. Acta Oceanol. Sin. 2013, 32, 51–56. [Google Scholar] [CrossRef]
- Klinting, P.; Sand, S.E. Analysis of Prototype Freak Waves; The National Academies of Sciences, Engineering, and Medicine: Washington, DC, USA, 1987. [Google Scholar]
- Gómez-Gesteira, M.; Cerqueiro, D.; Crespo, C.; Dalrymple, R.A. Green Water Overtopping Analyzed with a SPH Model. Ocean Eng. 2005, 32, 223–238. [Google Scholar] [CrossRef]
- Hu, C.; Kashiwagi, M.; Kitadai, A. Numerical Simulation of Strongly Nonlinear Wave-Body Interactions With Experimental Validation. In Proceedings of the Sixteenth International Offshore and Polar Engineering Conference, San Francisco, CA, USA, 28 May–2 June 2006. [Google Scholar]
- Det Norske Veritas. Rules for Ships; Det Norske Veritas: Hovik, Norway, 2004. [Google Scholar]
- Bureau Veritas. Rules for the Classifications of Steel Ships, Part D—Container Ships; Bureau Veritas: Neuilly-sur-Seine, France, 2009. [Google Scholar]
- Lloyd Germanischer. Rules for the Classifications and Construction of Seagoing Ships; Lloyd Germanischer: Hamburg, Germany, 2009. [Google Scholar]
- Korean Register. Rules for the Classifications of Steel Ships; Korean Register: Seoul, Republic of Korea, 2009. [Google Scholar]
- Yang, B.; Wang, D. Numerical Study on the Dynamic Response of the Large Containership’s Bow Structure under Slamming Pressures. Mar. Struct. 2018, 61, 524–539. [Google Scholar] [CrossRef]
- Yang, S.-H.; Lee, Y.-J.; Chien, H.-L.; Chou, C.-M.; Tseng, K.-C. Dynamic Buckling Strength Assessment of Containership’s Bow Structures Subjected to Bow Flare Slamming. In Proceedings of the ASME 2012 International Mechanical Engineering Congress and Exposition, Houston, TX, USA, 9–15 November 2012; pp. 727–733. [Google Scholar]
- Xie, H.; Liu, F.; Tang, H.; Liu, X. Numerical Study on the Dynamic Response of a Truncated Ship-Hull Structure under Asymmetrical Slamming. Mar. Struct. 2020, 72, 102767. [Google Scholar] [CrossRef]
- Cowper, G.R.; Symonds, P.S. Strain-Hardening and Strain-Rate Effects in the Impact Loading of Cantilever Beams; Brown University: Providence, RI, USA, 1957. [Google Scholar]
- Paik, J.K. Practical Techniques for Finite Element Modeling to Simulate Structural Crashworthiness in Ship Collisions and Grounding (Part I: Theory). Ships Offshore Struct. 2007, 2, 69–80. [Google Scholar] [CrossRef]
- China Classification Society. Rules for Classification of Sea-Going Steel Ships; China Classification Society: Beijing, China, 2022. [Google Scholar]
- Wang, Q.; Yu, P.; Chang, X.; Fan, G.; He, G. Research on the Bow-Flared Slamming Load Identification Method of a Large Container Ship. Ocean Eng. 2022, 266, 113142. [Google Scholar] [CrossRef]






















| Designation | Scale |
|---|---|
| Length (m) | 3.984 ± 0.001 |
| Breadth (m) | 0.572 ± 0.001 |
| Draft (m) | 0.163 ± 0.001 |
| Displacement (kg) | 245.155 |
| Block coefficient (-) | 0.661 |
| Froude number (-) | 0.139 |
| Parameters | α | β1 | β2 | μ |
|---|---|---|---|---|
| Measured by Mori et al. [48] | 2.42 | 4.03 | 2.02 | 0.67 |
| Theoretical result | 2.46 | 3.65 | 1.96 | 0.70 |
| Numerical result | 2.48 | 3.70 | 1.84 | 0.71 |
| Part | Von Mises Stress (MPa) | Allowable Stress (MPa) | λy | Safety Assessment Results |
|---|---|---|---|---|
| Deck | 95.7 | 244.5 | 39.1% | qualified |
| Deck stiffener | 155.4 | 244.5 | 63.6% | qualified |
| Breakwater | 264.3 | 255.4 | 103.5% | unqualified |
| Breakwater stiffener | 293.0 | 255.4 | 114.7% | unqualified |
| Part | Von Mises Stress (MPa) | |
|---|---|---|
| Equivalent Static Analysis Method | Dynamic Analysis Method | |
| D111 of the deck | 232.9 | 95.7 |
| B101 of the stiffener | 735.0 | 315.5 |
Disclaimer/Publisher’s Note: The statements, opinions and data contained in all publications are solely those of the individual author(s) and contributor(s) and not of MDPI and/or the editor(s). MDPI and/or the editor(s) disclaim responsibility for any injury to people or property resulting from any ideas, methods, instructions or products referred to in the content. |
© 2023 by the authors. Licensee MDPI, Basel, Switzerland. This article is an open access article distributed under the terms and conditions of the Creative Commons Attribution (CC BY) license (https://creativecommons.org/licenses/by/4.0/).
Share and Cite
Zhang, C.; Zhang, W.; Qin, H.; Han, Y.; Zhao, E.; Mu, L.; Zhang, H. Numerical Study on the Green-Water Loads and Structural Responses of Ship Bow Structures Caused by Freak Waves. Appl. Sci. 2023, 13, 6791. https://doi.org/10.3390/app13116791
Zhang C, Zhang W, Qin H, Han Y, Zhao E, Mu L, Zhang H. Numerical Study on the Green-Water Loads and Structural Responses of Ship Bow Structures Caused by Freak Waves. Applied Sciences. 2023; 13(11):6791. https://doi.org/10.3390/app13116791
Chicago/Turabian StyleZhang, Chengzhe, Weiyi Zhang, Hao Qin, Yunwu Han, Enjin Zhao, Lin Mu, and Haoran Zhang. 2023. "Numerical Study on the Green-Water Loads and Structural Responses of Ship Bow Structures Caused by Freak Waves" Applied Sciences 13, no. 11: 6791. https://doi.org/10.3390/app13116791
APA StyleZhang, C., Zhang, W., Qin, H., Han, Y., Zhao, E., Mu, L., & Zhang, H. (2023). Numerical Study on the Green-Water Loads and Structural Responses of Ship Bow Structures Caused by Freak Waves. Applied Sciences, 13(11), 6791. https://doi.org/10.3390/app13116791

