Prediction of Undrained Bearing Capacity of Skirted Foundation in Spatially Variable Soils Based on Convolutional Neural Network
Abstract
1. Introduction
2. Random Finite Element Method
2.1. Simulation of Non-Stationary Soil Random Field
2.2. Numerical Model
2.3. Random Finite Element Method
- (1)
- A deterministic finite element model, coupling the skirted foundation and soil, is established in ABAQUS software, with the soil elements shown in Figure 1 numbered from 1 to 5300;
- (2)
- The non-stationary random field of is generated using the SRM proposed in Section 2.1. Each value in the random field data is mapped to an element in the finite element model based on its unique position number. Subsequently, each realization of the soil random field is assigned to the deterministic model, replacing the soil undrained shear strength to generate a new calculation document for the subsequent finite element analysis. This process was executed using Python coding;
- (3)
- The number of MCS (n) is determined, and the finite element calculation in Section 2.2 is repeated after generating the random field data. The stochastic analysis comprises n finite element calculations.
3. Architecture of the Proposed Two-Dimensional Convolutional Neural Network (2D-CNN) Model
3.1. Input and Output Layer
3.2. Convolutional Layer
3.3. Pooling Layer
3.4. Fully Connected Layer
4. Results and Discussion
4.1. Influence of Coefficient of Variation (COV) in the Random Field
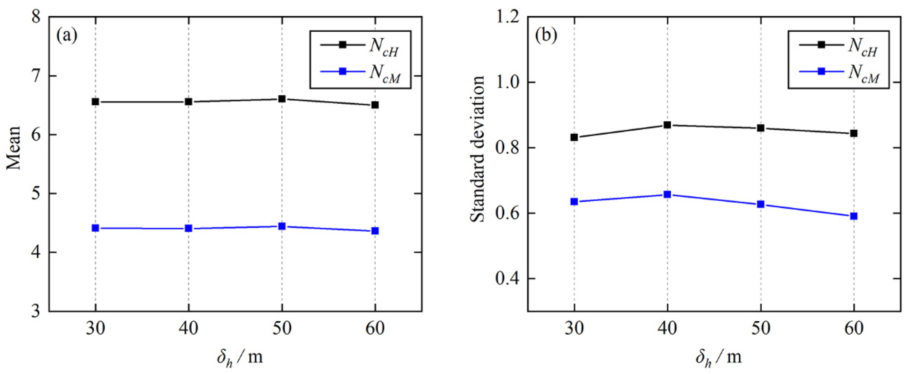
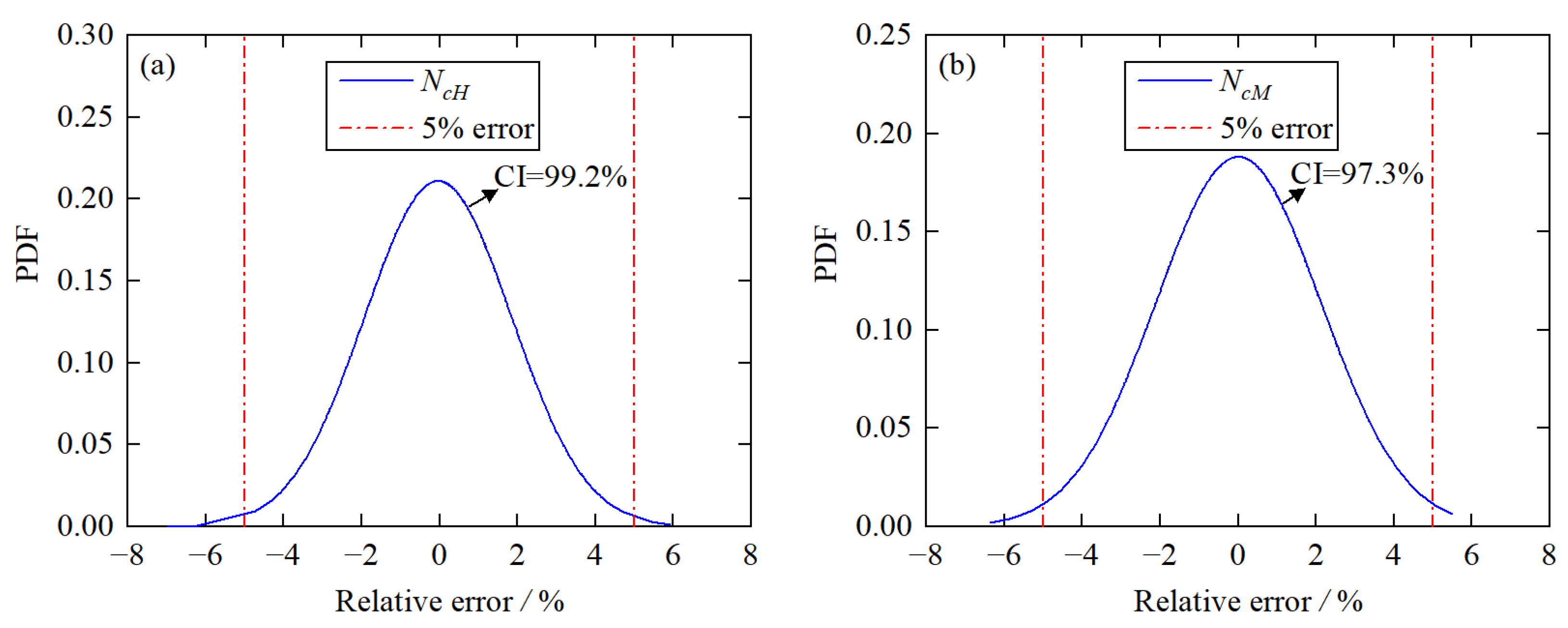
4.2. Influence of Horizontal Scale of Fluctuation () in the Random Field
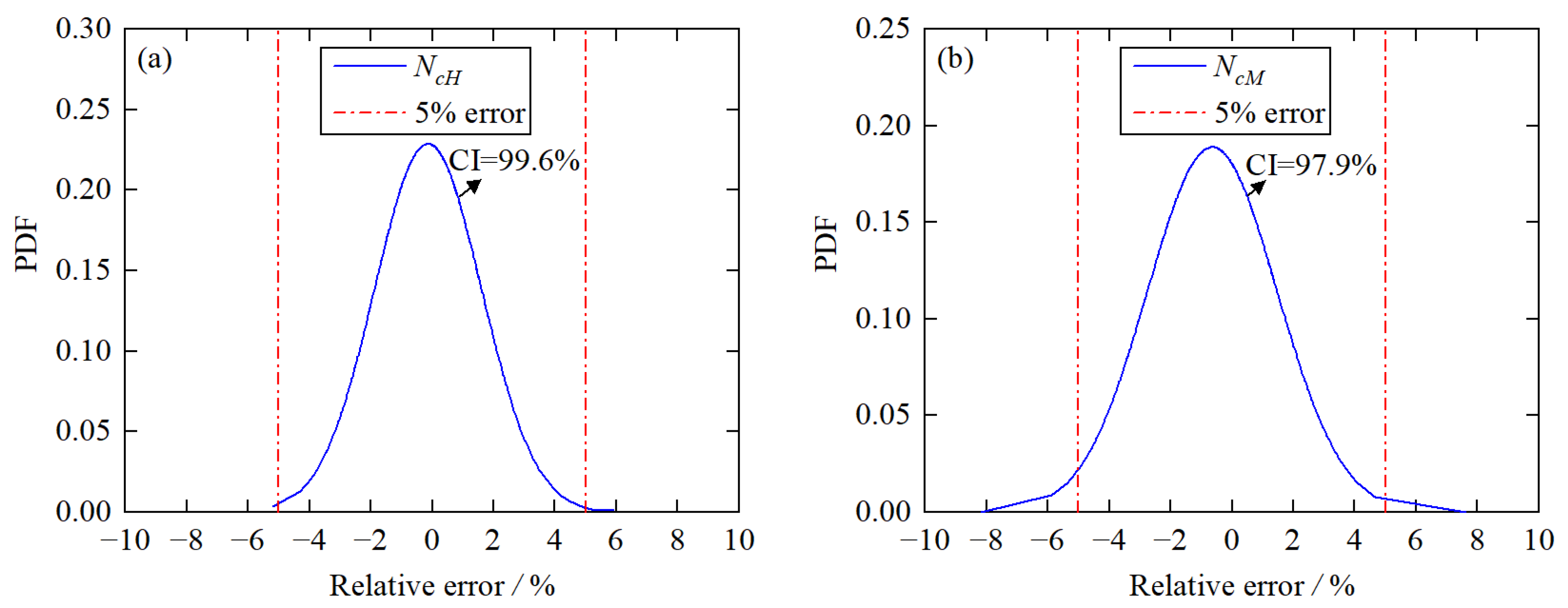
4.3. Influence of Vertical Scale of Fluctuation () in the Random Field
5. Conclusions
- (1)
- The proposed 2D-CNN model can replace the time-consuming RFEM in predicting the uniaxial bearing capacity factors of the skirted foundation in spatially variable soil with reasonable accuracy;
- (2)
- There are three 2D-CNN models with the same architecture that are trained to deal with the prediction of skirted foundation bearing capacity considering the variation of COV, and in the soil random field, respectively. The minimum R2 value and maximum RMSE value for the three surrogate models are 0.9781 and 0.1204, indicating satisfactory prediction performance of the proposed model;
- (3)
- The confidence interval of the relative error is more than 96.3% with a margin of 5% for the predicted bearing capacity factor with the variation of COV, while the minimum confidence intervals are 97.3% and 97.9% for the relative errors that are located within 5% on account of the variation of and , respectively.
Author Contributions
Funding
Institutional Review Board Statement
Informed Consent Statement
Data Availability Statement
Acknowledgments
Conflicts of Interest
References
- Bransby, M.F.; Yun, G.J. The undrained capacity of skirted strip foundations under combined loading. Geotechnique 2009, 59, 115–125. [Google Scholar] [CrossRef]
- Gourvenec, S.; Barnett, S. Undrained failure envelope for skirted foundations under general loading. Geotechnique 2011, 61, 263–270. [Google Scholar] [CrossRef]
- Hung, L.C.; Kim, S.R. Evaluation of combined horizontal-moment bearing capacities of tripod bucket foundations in undrained clay. Ocean. Eng. 2014, 85, 100–109. [Google Scholar] [CrossRef]
- Vulpe, C.; Gourvenec, S.M.; Cornelius, A.F. Effect of embedment on consolidated undrained capacity of skirted circular foundations in soft clay under planar loading. Can. Geotech. J. 2017, 54, 158–172. [Google Scholar] [CrossRef]
- Cao, Z.J.; Wang, Y.; Li, D.Q. Quantification of prior knowledge in geotechnical site characterization. Eng. Geol. 2016, 203, 107–116. [Google Scholar] [CrossRef]
- Cho, S.E. Probabilistic assessment of slope stability that considers the spatial variability of soil properties. J. Geotech. Geoenviron. 2010, 136, 975–984. [Google Scholar] [CrossRef]
- Huang, J.S.; Griffiths, D.V.; Fenton, G.A. Probabilistic analysis of coupled soil consolidation. J. Geotech. Geoenviron. 2010, 136, 417–430. [Google Scholar] [CrossRef]
- Bari, M.W.; Shahin, M.A. Probabilistic design of ground improvement by vertical drains for soil of spatially variable coefficient of consolidation. Geotext. Geomembr. 2014, 42, 1–14. [Google Scholar] [CrossRef]
- Sina, J.; Luo, N.; Bathurst, R.J. Probabilistic analysis of simple slopes with cohesive soil strength using RLEM and RFEM. Georisk 2017, 11, 231–246. [Google Scholar]
- Griffiths, D.V.; Fenton, G.A. Probabilistic Slope Stability Analysis by Finite Elements. J. Geotech. Geoenviron. 2004, 130, 507–518. [Google Scholar] [CrossRef]
- Griffiths, D.V.; Huang, J.S.; Fenton, G.A. Influence of spatial variability on slope reliability using 2-D random fields. J. Geotech. Geoenviron. 2009, 135, 1367–1378. [Google Scholar] [CrossRef]
- Li, D.Q.; Qi, X.H.; Phoon, K.K.; Zhang, L.M.; Zhou, C.B. Effect of spatially variable shear strength parameters with linearly increasing mean trend on reliability of infinite slopes. Struct. Saf. 2014, 49, 45–55. [Google Scholar] [CrossRef]
- Liu, L.L.; Deng, Z.P.; Zhang, S.H.; Cheng, Y.M. Simplified framework for system reliability analysis of slopes in spatially variable soils. Eng. Geol. 2018, 239, 330–343. [Google Scholar] [CrossRef]
- Popescu, R.; Deodatis, G.; Nobahar, A. Effects of random heterogeneity of soil properties on bearing capacity. Probab. Eng. Mech. 2005, 20, 324–341. [Google Scholar] [CrossRef]
- Cho, S.E.; Park, H.C. Effect of spatial variability of cross-correlated soil properties on bearing capacity of strip footing. Int. J. Numer. Anal. Met. 2010, 34, 1–26. [Google Scholar] [CrossRef]
- Ye, Z.T.; Gao, Y.F.; Shu, S.; Wu, Y.X. Probabilistic undrained bearing capacity of skirted foundations under HM combined loading in spatially variable soils. Ocean. Eng. 2021, 219, 108297. [Google Scholar] [CrossRef]
- Shen, Z.C.; Pan, Q.J.; Chian, S.C.; Gourvenec, S.; Tian, Y.H. Probabilistic failure envelopes of strip foundations on soils with non-stationary characteristics of undrained shear strength. Geotechnique 2022, 2020, 1–20. [Google Scholar] [CrossRef]
- Chen, H.Z.; Shen, Z.C.; Wang, L.; Tian, Y.H.; Chu, X.X. Undrained capacity of skirted circular foundations under fully three-dimensional loading. Comput. Geotech. 2023, 156, 105261. [Google Scholar] [CrossRef]
- Mollon, G.; Phoon, K.K.; Dias, D.; Soubra, A.H. Validation of a new 2D failure mechanism for the stability analysis of a pressurized tunnel face in a spatially varying sand. J. Eng. Mech. 2011, 137, 8–21. [Google Scholar] [CrossRef]
- Wang, X.R.; Li, Z.; Wang, H.; Rong, Q.G.; Liang, R.Y. Probabilistic analysis of shield-driven tunnel in multiple strata considering stratigraphic uncertainty. Struct. Saf. 2016, 62, 88–100. [Google Scholar] [CrossRef]
- Huang, H.W.; Xiao, L.; Zhang, D.M.; Zhang, J. Influence of spatial variability of soil Young’s modulus on tunnel convergence in soft soils. Eng. Geol. 2017, 228, 357–370. [Google Scholar] [CrossRef]
- Wang, S.; Hao, H. Effects of random variations of soil properties on site amplification of seismic ground motions. Soil. Dyn. Earthq. Eng. 2002, 22, 551–564. [Google Scholar] [CrossRef]
- Yue, Q.X.; Ang, A.H.S. 3D reliability evaluation of tunnels under strong-motion earthquakes considering spatial randomness. Struct. Infrastruct. Eng. 2017, 13, 882–893. [Google Scholar] [CrossRef]
- Wang, Y.B.; He, J.J.; Shu, S.; Zhang, H.L.; Wu, Y.X. Seismic responses of rectangular tunnels in liquefiable soil considering spatial variability of soil properties. Soil Dyn. Earthq. Eng. 2022, 162, 107489. [Google Scholar] [CrossRef]
- Hossain, M.S.; Randolph, M.F. Effect of strain rate and strain softening on the penetration resistance of spudcan foundations on clay. Int. Geomech. 2009, 9, 122–132. [Google Scholar] [CrossRef]
- Charlton, T.S.; Rouainia, M. A probabilistic approach to the ultimate capacity of skirted foundations in spatially variable clay. Struct. Saf. 2017, 65, 126–136. [Google Scholar] [CrossRef]
- Selmi, M.; Kormi, T.; Hentati, A.; Ali, N.B.H. Capacity assessment of offshore skirted foundations under HM combined loading using RFEM. Comput. Geotech. 2019, 114, 103148. [Google Scholar] [CrossRef]
- Zhang, J.; Sato, T.; Iai, S. Novel support vector regression for structural system identification. Struct. Control. Health 2007, 14, 609–626. [Google Scholar] [CrossRef]
- Dong, Y.F.; Li, Y.M.; Lai, M.; Xiao, M.K. Nonlinear structural response prediction based on support vector machines. J. Sound Vib. 2008, 311, 886–897. [Google Scholar]
- Lagaros, N.D.; Papadrakakis, M. Neural network based prediction schemes of the non-linear seismic response of 3D buildings. Adv. Eng. Softw. 2012, 44, 92–115. [Google Scholar] [CrossRef]
- Amjad, M.; Ahmad, I.; Ahmad, M.; Wroblewski, P.; Kaminski, P.; Amjad, U. Prediction of pile bearing capacity using XGBoost algorithm: Modeling and performance evaluation. Appl. Sci. 2022, 12, 2126. [Google Scholar] [CrossRef]
- Jolfaei, S.; Lakirouhani, A. Sensitivity analysis of effective parameters in borehole failure, using neural network. Adv. Civ. Eng. 2022, 2022, 4958004. [Google Scholar] [CrossRef]
- Moayedia, H.; Hayati, S. Modelling and optimization of ultimate bearing capacity of stripfooting near a slope by soft computing methods. Appl. Soft Comput. 2018, 66, 208–219. [Google Scholar] [CrossRef]
- Tran, Q.A.; Ho, L.S.; Le, H.V.; Prakash, I.; Pham, B.T. Estimation of the undrained shear strength of sensitive clays using optimized inference intelligence system. Neural Comput. Appl. 2022, 34, 7835–7849. [Google Scholar] [CrossRef]
- Wang, Z.Z.; Goh, S.H.; Zhang, W.G. Reliability-based design in spatially variable soils using deep learning: An illustration using shallow foundation. Georisk 2022, 2022, 1–15. [Google Scholar] [CrossRef]
- Van, C.N.; Keawsawasvong, S.; Nguyen, D.K.; Lai, V.Q. Machine learning regression approach for analysis of bearing capacity of conical foundations in heterogenous and anisotropic clays. Neural Comput. Appl. 2023, 35, 3955–3976. [Google Scholar]
- Cassidy, M.J.; Uzielli, M.; Tian, Y.H. Probabilistic combined loading failure envelopes of a strip footing on spatially variable soil. Comput. Geotech. 2013, 49, 191–205. [Google Scholar] [CrossRef]
- Hentati, A.; Selmi, M.; Kormi, T.; Ali, N.B.H. Probabilistic HM failure envelopes of strip foundations on spatially variable soil. Comput. Geotech. 2018, 102, 66–78. [Google Scholar] [CrossRef]
- Li, J.H.; Zhou, Y.; Zhang, L.L.; Tian, Y.; Cassidy, M.J.; Zhang, L.M. Random finite element method for spudcan foundations in spatially variable soils. Eng. Geol. 2016, 205, 146–155. [Google Scholar] [CrossRef]
- Charlton, T.S.; Rouainia, M. Probabilistic capacity analysis of suction caissons in spatially variable clay. Comput. Geotech. 2016, 80, 226–236. [Google Scholar] [CrossRef]
- Fenton, G.A.; Vanmarcke, E.H. Simulation of random fields via local average subdivision. J. Eng. Mech. 1990, 116, 1733–1749. [Google Scholar] [CrossRef]
- Huang, S.P.; Quek, S.T.; Phoon, K.K. Convergence study of the truncated Karhunen-Loeve expansion for simulation of stochastic processes. Int. J. Numer. Meth. Eng. 2001, 52, 1029–1043. [Google Scholar] [CrossRef]
- Tao, Y.Q.; Sun, H.L.; Cai, Y.Q. Bayesian inference of spatially varying parameters in soil constitutive models by using deformation observation data. Int. J. Numer. Anal. Met. 2021, 45, 1647–1663. [Google Scholar] [CrossRef]
- Wu, Y.X.; Li, R.; Gao, Y.F.; Zhang, N.; Zhang, F. Simple and efficient method to simulate homogenous multidimensional non-Gaussian vector fields by the spectral representation method. J. Eng. Mech. 2017, 143, 06017016. [Google Scholar] [CrossRef]
- Lunne, T.; Andersen, K.H.; Low, H.E.; Randolph, M.F.; Sjursen, M. Guidelines for offshore in situ testing and interpretation in deepwater soft clays. Can. Geotech. J. 2011, 48, 543–556. [Google Scholar] [CrossRef]
- Choo, H.; Lee, W.; Hong, S.J.; Lee, C. Application of the dilatometer test for estimating undrained shear strength of Busan New Port clay. Ocean. Eng. 2016, 115, 39–47. [Google Scholar] [CrossRef]
- Shi, X.S.; Zhao, J.D. Practical estimation of compression behavior of clayey/silty sands using equivalent void-ratio concept. J. Geotech. Geoenviron. 2020, 146, 04020046. [Google Scholar] [CrossRef]
- Phoon, K.K.; Kulhawy, F.H. Characterization of geotechnical variability. Can. Geotech. J. 1999, 36, 612–624. [Google Scholar] [CrossRef]
- Zhang, Y.J.; Zhang, H.L.; Wu, Y.X. Dynamic response of rectangular tunnels embedded at various depths in spatially variable soils. Appl. Sci. 2022, 12, 10719. [Google Scholar] [CrossRef]
- Zhang, Y.H.; Bienen, B.; Cassidy, M.J.; Gourvenec, S. The undrained bearing capacity of a spudcan foundation under combined loading in soft clay. Mar. Struct. 2011, 24, 459–477. [Google Scholar] [CrossRef]
- Zhang, W.G.; Wu, C.Z.; Zhong, H.Y.; Li, Y.Q.; Wang, L. Prediction of undrained shear strength using extreme gradient boosting and random forest based on Bayesian optimization. Geo. Sci. Front. 2021, 12, 469–477. [Google Scholar] [CrossRef]















| Case | COV | ||
|---|---|---|---|
| Ani-1 | 0.1 | 50 | 4 |
| Ani-2 | 0.2 | 50 | 4 |
| Ani-3 | 0.3 | 50 | 4 |
| Ani-4 | 0.4 | 50 | 4 |
| Ani-5 | 0.5 | 50 | 4 |
| Ani-6 | 0.3 | 30 | 4 |
| Ani-7 | 0.3 | 40 | 4 |
| Ani-8 | 0.3 | 60 | 4 |
| Ani-9 | 0.3 | 50 | 2 |
| Ani-10 | 0.3 | 50 | 6 |
| Ani-11 | 0.3 | 50 | 8 |
| NCL | KCL | Pooling Type | R2 | RMSE | ||
|---|---|---|---|---|---|---|
| NcH | NcM | NcH | NcM | |||
| 2 | 2 × 2 | Maximum | 0.9048 | 0.8996 | 0.2768 | 0.2210 |
| 2 | 2 × 2 | Average | 0.9420 | 0.9417 | 0.2501 | 0.1938 |
| 2 | 3 × 3 | Maximum | 0.8986 | 0.8938 | 0.2911 | 0.2271 |
| 2 | 3 × 3 | Average | 0.9189 | 0.9132 | 0.2617 | 0.2051 |
| 2 | 4 × 4 | Maximum | 0.8968 | 0.8896 | 0.3036 | 0.2459 |
| 2 | 4 × 4 | Average | 0.9116 | 0.9077 | 0.2690 | 0.2166 |
| 3 | 2 × 2 | Maximum | 0.9202 | 0.9166 | 0.2696 | 0.2136 |
| 3 | 2 × 2 | Average | 0.9570 | 0.9569 | 0.2433 | 0.1865 |
| 3 | 3 × 3 | Maximum | 0.9113 | 0.9088 | 0.2836 | 0.2203 |
| 3 | 3 × 3 | Average | 0.9345 | 0.9299 | 0.2546 | 0.1987 |
| 3 | 4 × 4 | Maximum | 0.9078 | 0.9022 | 0.2964 | 0.2384 |
| 3 | 4 × 4 | Average | 0.9261 | 0.9212 | 0.2621 | 0.2088 |
| 4 | 2 × 2 | Maximum | 0.9093 | 0.9066 | 0.2732 | 0.2173 |
| 4 | 2 × 2 | Average | 0.9459 | 0.9451 | 0.2476 | 0.1908 |
| 4 | 3 × 3 | Maximum | 0.9001 | 0.8916 | 0.2877 | 0.2241 |
| 4 | 3 × 3 | Average | 0.9215 | 0.9198 | 0.2581 | 0.2029 |
| 4 | 4 × 4 | Maximum | 0.8988 | 0.8916 | 0.3002 | 0.2429 |
| 4 | 4 × 4 | Average | 0.9140 | 0.9112 | 0.2659 | 0.2132 |
Disclaimer/Publisher’s Note: The statements, opinions and data contained in all publications are solely those of the individual author(s) and contributor(s) and not of MDPI and/or the editor(s). MDPI and/or the editor(s) disclaim responsibility for any injury to people or property resulting from any ideas, methods, instructions or products referred to in the content. |
© 2023 by the authors. Licensee MDPI, Basel, Switzerland. This article is an open access article distributed under the terms and conditions of the Creative Commons Attribution (CC BY) license (https://creativecommons.org/licenses/by/4.0/).
Share and Cite
Cheng, H.; Zhang, H.; Liu, Z.; Wu, Y. Prediction of Undrained Bearing Capacity of Skirted Foundation in Spatially Variable Soils Based on Convolutional Neural Network. Appl. Sci. 2023, 13, 6624. https://doi.org/10.3390/app13116624
Cheng H, Zhang H, Liu Z, Wu Y. Prediction of Undrained Bearing Capacity of Skirted Foundation in Spatially Variable Soils Based on Convolutional Neural Network. Applied Sciences. 2023; 13(11):6624. https://doi.org/10.3390/app13116624
Chicago/Turabian StyleCheng, Haifeng, Houle Zhang, Zihan Liu, and Yongxin Wu. 2023. "Prediction of Undrained Bearing Capacity of Skirted Foundation in Spatially Variable Soils Based on Convolutional Neural Network" Applied Sciences 13, no. 11: 6624. https://doi.org/10.3390/app13116624
APA StyleCheng, H., Zhang, H., Liu, Z., & Wu, Y. (2023). Prediction of Undrained Bearing Capacity of Skirted Foundation in Spatially Variable Soils Based on Convolutional Neural Network. Applied Sciences, 13(11), 6624. https://doi.org/10.3390/app13116624
