Thermographic Investigation on Fluid Oscillations and Transverse Interactions in a Fully Metallic Flat-Plate Pulsating Heat Pipe
Abstract
1. Introduction
2. Experimental Apparatus
3. Methods
3.1. Wall-to-Fluid Heat Flux Estimation
- The three-dimensional, raw space-time temperature map is converted to the frequency domain by the discrete fast Fourier transform (DFFT);
 - The transfer function for the Gaussian filter is applied to the frequency image of the input temperature map. A first attempt cut-off frequency is initially guessed;
 - The temperature map is converted back to the space-time domain by applying the inverse DFFT;
 - The residual between the raw input temperature map and the filtered temperature is computed;
 - Steps 2–4 are iteratively replicated by varying the cut-off frequency until the evaluated residual equals the standard deviation of the raw temperature data, σ = 0.04 K (i.e., fulfilment of the Morozov’s discrepancy principle [31]).
 
- The direct problem is implemented in a COMSOL Multiphysics® environment. The solid domain of the device within the adiabatic section is simulated by using, as a boundary condition at the inner wall–fluid interface, a given space-time heat flux distribution that reflects the one exchanged in the real device. Equations for three-dimensional transient conduction are solved by the in-built solver;
 - The synthetic temperature distribution resulting from the simulation is then spoiled with a noise level equal to the standard deviation of the raw data, and processed by means of the filtering technique;
 - The wall-to-fluid heat flux is estimated back by means of Equation (1), i.e., leading to the inverse problem solution. The estimated wall-to-fluid heat flux is therefore compared with the one given as a boundary condition in Step 1, allowing the evaluation of the estimation error for the procedure (quantified in [29], equal to about 15% of the heat flux given in Step 1).
 
3.2. Oscillation Frequency Estimation
4. Validation of the Dominant Frequency Estimation Procedure
5. Results and Discussion
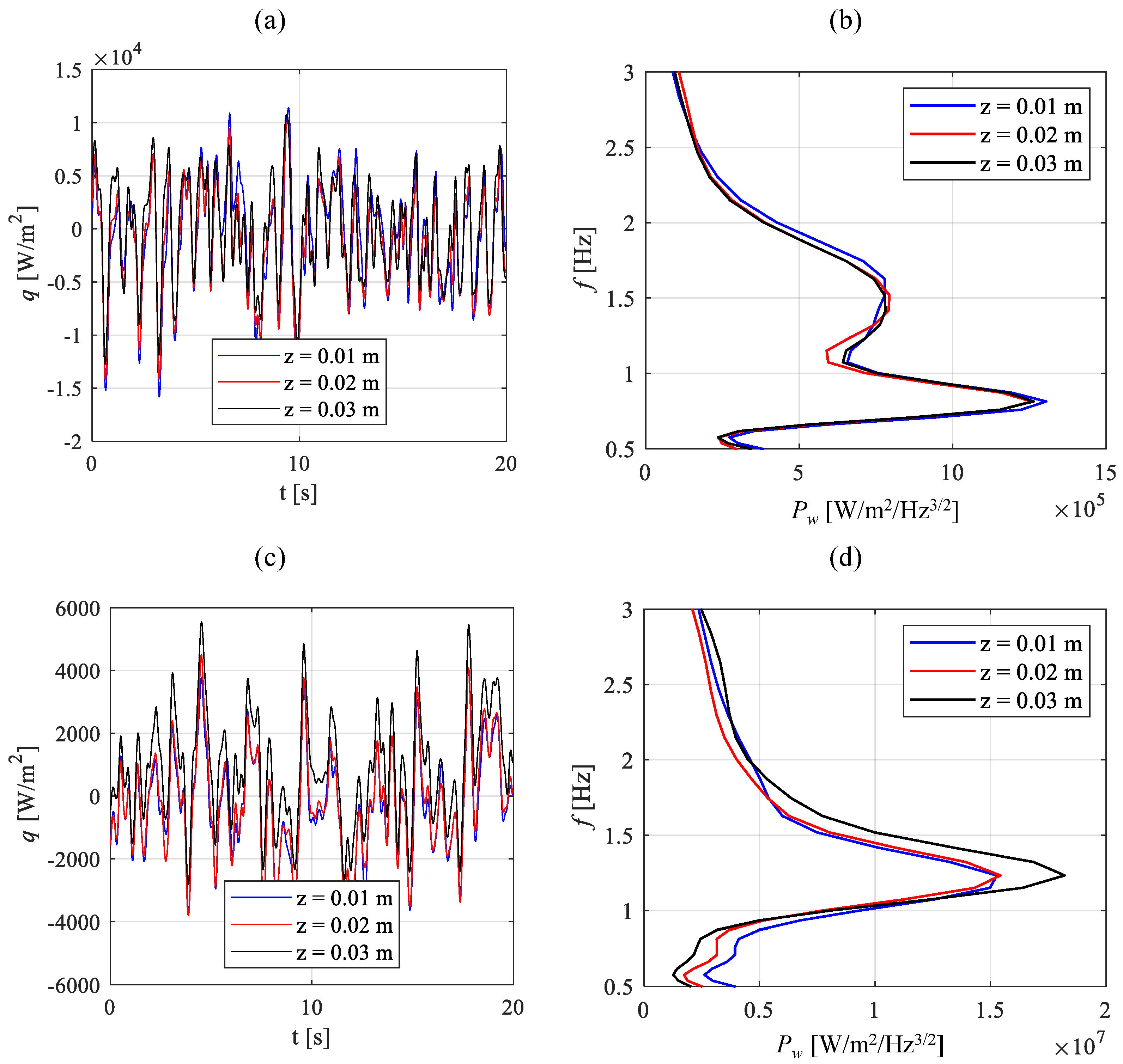
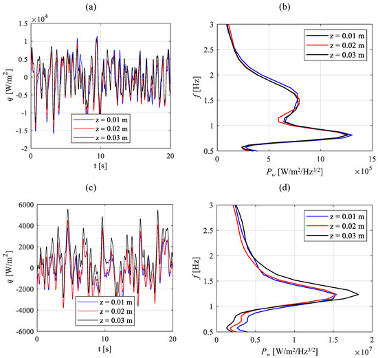
5.1. Fluid Oscillatory Behavior
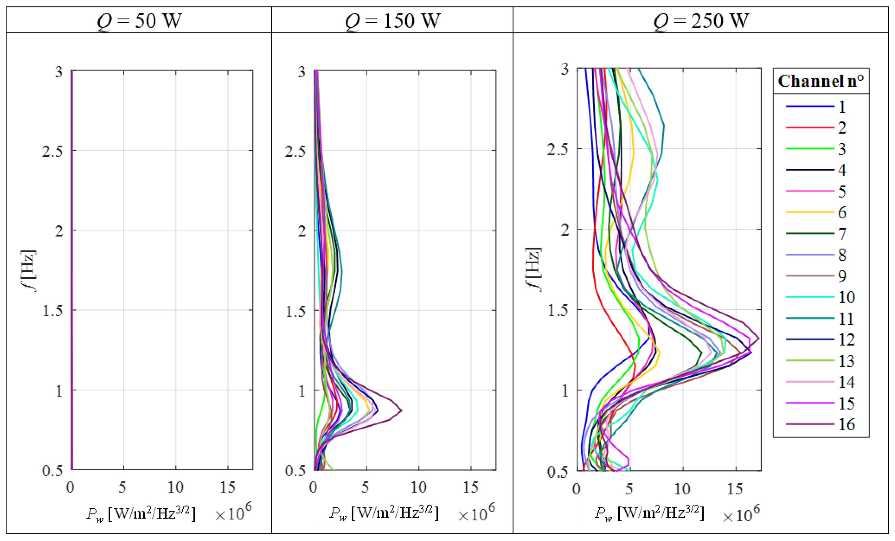
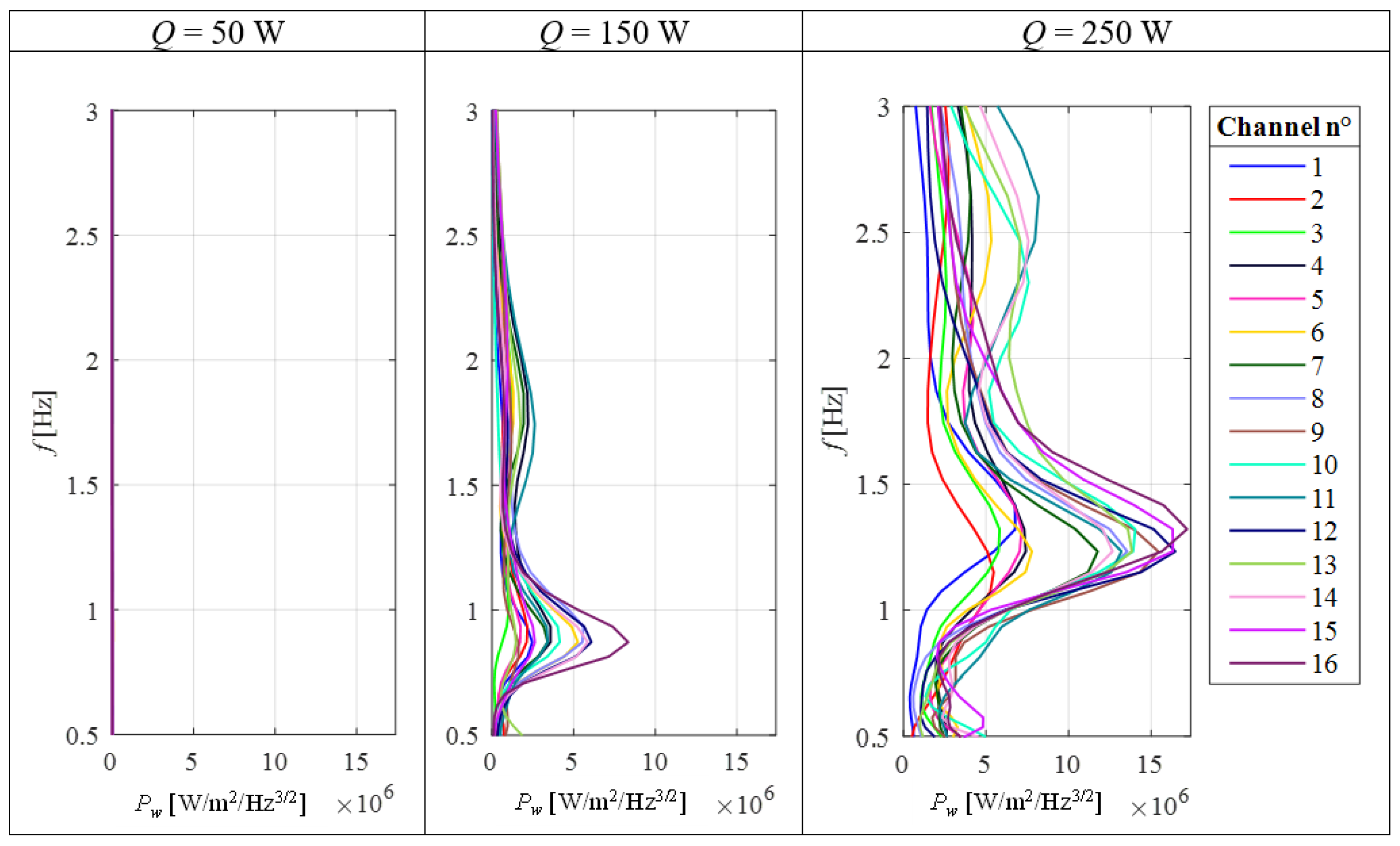
5.2. Channel-Wise Frequency Analysis
5.3. Time Evolution of Fluid Oscillations
5.4. Statistical Description of the Oscillatory Behavior
5.5. Link between Fluid Oscillations and Transverse Interactions
6. Conclusions
- The higher average activity of channels found in the vertical bottom heated mode confirms its better heat transfer capability with respect to the horizontal orientation, even though values of tc,av equal to 23 and 27% of the total observation window at average and high heat loads, respectively, highlight a lower continuity of fluid oscillations in the vertical operation;
 - The generally greater continuity of oscillations in the horizontal orientation is also established by the fd,std values, which suggest more similar dominant fluid oscillation frequencies among the device branches especially at high heat loads, where fd,std is set below 0.05 Hz;
 - For the vertical BHM orientation, fd,av ranges from 0.78 Hz up to 1 Hz during the device’s full activation, while the horizontal orientation exhibits values of fd,av that increase from a minimum of about 0.84 Hz to a maximum of 1.25 Hz;
 - The heat transferred by conduction between adjacent channels is higher in the horizontal orientation, where Qratio ranges from about 60% at low heat loads to 15% at high heat loads;
 - Similar oscillatory behaviors in adjacent channels increase the magnitude of transverse thermal interactions.
 
Author Contributions
Funding
Institutional Review Board Statement
Informed Consent Statement
Data Availability Statement
Acknowledgments
Conflicts of Interest
Nomenclature
| Symbol | Quantity | SI Unit | 
| Wavelet transform | - | |
| Wavelet angular frequency | rad/s | |
| Standard deviation | K | |
| a | Wavelet scale | Hz−1 | 
| Amp | Amplitude of analytical heat flux | W/m2K | 
| f | Frequency | Hz | 
| fmax | Wavelet maximum frequency | Hz | 
| fmin | Wavelet minimum frequency | Hz | 
| g | General time-dependent signal | - | 
| i | Imaginary part | - | 
| k | Coefficient of conduction | W/mK | 
| Ladiab | Length of the adiabatic section (within the observation window) | m | 
| n | Channel number | - | 
| N | Total number of time samples of the heat flux distributions | - | 
| num | Total number of channels | - | 
| Pw | Power spectrum magnitude | - | 
| q | Wall-to-fluid heat flux per unit surface | W/m2K | 
| Q | Heat load to the evaporator | W | 
| qexact | Synthetic heat flux | W/m2K | 
| qFou | Heat exchanged between adjacent channels | W/m2K | 
| Qratio | Power transferred by transverse conduction by a single channel, divided by power transferrable from evaporator to condenser | % | 
| qrestored | Restored synthetic heat flux | W/m2K | 
| QTRcond | Transverse conduction between channels pairs | W/m2K | 
| t | Time | s | 
| ta | Activity time | % | 
| tc | Continuity time | % | 
| TFPPHP | Device thickness | m | 
| z | Axial coordinate | m | 
| η | Dimensionless time | - | 
| τ | Wavelet time shift | s | 
| Wavelet | - | |
| Subscripts, superscripts | ||
| av | Average | |
| d | Dominant | |
| std | Standard deviation | |
References
- Spinato, G.; Borhani, N.; Thome, J.R. Understanding the self-sustained oscillating two-phase flow motion in a closed loop pulsating heat pipe. Energy 2015, 90, 889–899. [Google Scholar] [CrossRef]
 - Marengo, M.; Nikolayev, V.S. Pulsating Heat Pipes: Experimental Analysis. Des. Appl. 2018, 1–62. [Google Scholar] [CrossRef]
 - Murshed, S.M.S.; de Castro, C.A.N. A critical review of traditional and emerging techniques and fluids for electronics cooling. Renew. Sustain. Energy Rev. 2017, 78, 821–833. [Google Scholar] [CrossRef]
 - Nazari, M.A.; Ahmadi, M.H.; Ghasempour, R.; Shafii, M.B.; Mahian, O.; Kalogirou, S.; Wongwises, S. A review on pulsating heat pipes: From solar to cryogenic applications. Appl. Energy 2018, 222, 475–484. [Google Scholar] [CrossRef]
 - Ishii, K.; Fumoto, K. Temperature visualization and investigation inside evaporator of pulsating heat pipe using temperature-sensitive paint. Appl. Therm. Eng. 2019, 155, 575–583. [Google Scholar] [CrossRef]
 - Perna, R.; Abela, M.; Mameli, M.; Mariotti, A.; Pietrasanta, L.; Marengo, M.; Filippeschi, S. Flow characterization of a pulsating heat pipe through the wavelet analysis of pressure signals. Appl. Therm. Eng. 2020, 171, 115128. [Google Scholar] [CrossRef]
 - Xu, J.L.; Zhang, X.M. Start-up and steady thermal oscillation of a pulsating heat pipe. Heat Mass Transf. 2005, 41, 685–694. [Google Scholar] [CrossRef]
 - Karthikeyan, V.K.; Ramachandran, K.; Pillai, B.C.; Solomon, A.B. Understanding thermo-fluidic characteristics of a glass tube closed loop pulsating heat pipe: Flow patterns and fluid oscillations. Heat Mass Transf. 2015, 51, 1669–1680. [Google Scholar] [CrossRef]
 - Takawale, A.; Abraham, S.; Sielaff, A.; Mahapatra, P.S.; Pattamatta, A.; Stephan, P. A comparative study of flow regimes and thermal performance between flat plate pulsating heat pipe and capillary tube pulsating heat pipe. Appl. Therm. Eng. 2019, 149, 613–624. [Google Scholar] [CrossRef]
 - Mameli, M.; Marengo, M.; Khandekar, S. Local heat transfer measurement and thermo-fluid characterization of a pulsating heat pipe. Int. J. Therm. Sci. 2014, 75, 140–152. [Google Scholar] [CrossRef]
 - Monroe, J.G.; Aspin, Z.S.; Fairley, J.D.; Thompson, S.M. Analysis and comparison of internal and external temperature measurements of a tubular oscillating heat pipe. Exp. Therm. Fluid Sci. 2017, 84, 165–178. [Google Scholar] [CrossRef]
 - Fairley, J.D.; Thompson, S.M.; Anderson, D. Time–frequency analysis of flat-plate oscillating heat pipes. Int. J. Therm. Sci. 2015, 91, 113–124. [Google Scholar] [CrossRef]
 - Pagliarini, L.; Cattani, L.; Bozzoli, F.; Mameli, M.; Filippeschi, S.; Rainieri, S.; Marengo, M. Thermal characterization of a multi-turn pulsating heat pipe in microgravity conditions: Statistical approach to the local wall-to-fluid heat flux. Int. J. Heat Mass Transf. 2021, 169, 120930. [Google Scholar] [CrossRef]
 - Iwata, N.; Bozzoli, F.; Pagliarini, L.; Cattani, L.; Vocale, P.; Malavasi, M.; Rainieri, S. Characterization of thermal behavior of a micro pulsating heat pipe by local heat transfer investigation. Int. J. Heat Mass Transf. 2022, 196, 123203. [Google Scholar] [CrossRef]
 - Ayel, V.; Slobodeniuk, M.; Bertossi, R.; Romestant, C.; Bertin, Y. Flat plate pulsating heat pipes: A review on the thermohydraulic principles, thermal performances and open issues. Appl. Therm. Eng. 2021, 197, 117200. [Google Scholar] [CrossRef]
 - Khandekar, S. Thermofluid dynamic study of flat-plate closed-loop pulsating heat pipes. Microscale Thermophys. Eng. 2003, 6, 303–317. [Google Scholar] [CrossRef]
 - Slobodeniuk, M.; Bertossi, R.; Ayel, V.; Ravichandran, R.; Thyagarajan, K.; Romestant, C.; Bertin, Y. Experimental study of the flat plate pulsating heat pipe operation during dry-out and flow re-activation periods under microgravity conditions. Int. J. Multiph. Flow 2022, 147, 103888. [Google Scholar] [CrossRef]
 - Pietrasanta, L.; Mameli, M.; Mangini, D.; Georgoulas, A.; Michè, N.; Filippeschi, S.; Marengo, M. Developing flow pattern maps for accelerated two-phase capillary flows. Exp. Therm. Fluid Sci. 2020, 112, 109981. [Google Scholar] [CrossRef]
 - Miyazaki, Y. Oscillatory flow in oscillating heat pipe. In Proceedings of the 11th International Heat Pipe Conference, Tokyo, Japan, 12–16 September 1999; pp. 367–372. [Google Scholar]
 - Borgmeyer, B.; Ma, H.B. Experimental Investigation of Oscillating Motions in a Flat Plate Pulsating Heat Pipe. J. Thermophys. Heat Transf. 2007, 21, 405–409. [Google Scholar] [CrossRef]
 - Pagnoni, F.; Ayel, V.; Scoletta, E.; Bertin, Y. Experimental and numerical analysis of a closed-loop flat-plate pulsating heat pipe: Effects of orientation with respect to gravity on the thermohydraulic behavior. In Proceedings of the International Heat Transfer Conference Digital Library, Beijing, China, 10–15 August 2018. [Google Scholar]
 - Jun, S.; Kim, S.J. Experimental study on a criterion for normal operation of pulsating heat pipes in a horizontal orientation. Int. J. Heat Mass Transf. 2019, 137, 1064–1075. [Google Scholar] [CrossRef]
 - Yoon, A.; Kim, S.J. Experimental and theoretical studies on oscillation frequencies of liquid slugs in micro pulsating heat pipes. Energy Convers. Manag. 2019, 181, 48–58. [Google Scholar] [CrossRef]
 - Dreiling, R.; Zimmermann, S.; Nguyen-Xuan, T.; Schreivogel, P.; di Mare, F. Thermal resistance modeling of flat plate pulsating heat pipes. Int. J. Heat Mass Transf. 2022, 189, 122668. [Google Scholar] [CrossRef]
 - Odagiri, K.; Wolk, K.; Cappucci, S.; Morellina, S.; Roberts, S.; Pate, A.; Furst, B.; Sunada, E.; Daimaru, T. Three-dimensional heat transfer analysis of flat-plate oscillating heat pipes. Appl. Therm. Eng. 2021, 195, 117189. [Google Scholar] [CrossRef]
 - Thompson, S.M.; Ma, H.B.; Wilson, C. Investigation of a flat-plate oscillating heat pipe with Tesla-type check valves. Exp. Therm. Fluid Sci. 2011, 35, 1265–1273. [Google Scholar] [CrossRef]
 - Yasuda, Y.; Nabeshima, F.; Horiuchi, K.; Nagai, H. Visualization of the working fluid in a flat-plate pulsating heat pipe by neutron radiography. Int. J. Heat Mass Transf. 2022, 185, 122336. [Google Scholar] [CrossRef]
 - Zhang, F.Z.; Winholtz, R.A.; Black, W.J.; Wilson, M.R.; Taub, H.; Ma, H.B. Effect of Hydrophilic Nanostructured Cupric Oxide Surfaces on the Heat Transport Capability of a Flat-Plate Oscillating Heat Pipe. J. Heat Transf. 2016, 138, 062901. [Google Scholar] [CrossRef]
 - Pagliarini, L.; Cattani, L.; Slobodeniuk, M.; Ayel, V.; Romestant, C.; Bozzoli, F.; Rainieri, S. Novel Infrared Approach for the Evaluation of Thermofluidic Interactions in a Metallic Flat-Plate Pulsating Heat Pipe. Appl. Sci. 2022, 12, 11682. [Google Scholar] [CrossRef]
 - Ayel, V.; Slobodeniuk, M.; Bertossi, R.; Karmakar, A.; Martineau, F.; Romestant, C.; Bertin, Y.; Khandekar, S. Thermal performances of a flat-plate pulsating heat pipe tested with water, aqueous mixtures and surfactants. Int. J. Therm. Sci. 2022, 178, 107599. [Google Scholar] [CrossRef]
 - Morozov, V.A. Methods for Solving Incorrectly Posed Problems; Springer: Berlin/Heidelberg, Germany, 1984. [Google Scholar]
 - Cattani, L.; Mangini, D.; Bozzoli, F.; Pietrasanta, L.; Miche’, N.; Mameli, M.; Filippeschi, S.; Rainieri, S.; Marengo, M. An original look into pulsating heat pipes: Inverse heat conduction approach for assessing the thermal behaviour. Therm. Sci. Eng. Prog. 2019, 10, 317–326. [Google Scholar] [CrossRef]
 - Lilly, J.M. Element analysis: A wavelet-based method for analysing time-localized events in noisy time series. Proc. R. Soc. A Math. Phys. Eng. Sci. 2017, 473, 20160776. [Google Scholar]
 - Nobach, H.; Tropea, C.; Cordier, L.; Bonnet, J.P.; Delville, J.; Lewalle, J.; Farge, M.; Schneider, K.; Adrian, R. Review of some fundamentals of data processing. In Springer Handbooks; Springer: Berlin/Heidelberg, Germany, 2007; pp. 1337–1398. [Google Scholar]
 - Cui, X.; Zhu, Y.; Li, Z.; Shun, S. Combination study of operation characteristics and heat transfer mechanism for pulsating heat pipe. Appl. Therm. Eng. 2014, 65, 394–402. [Google Scholar] [CrossRef]
 - Karthikeyan, V.K.; Khandekar, S.; Pillai, B.C.; Sharma, P.K. Infrared thermography of a pulsating heat pipe: Flow regimes and multiple steady states. Appl. Therm. Eng. 2014, 62, 470–480. [Google Scholar] [CrossRef]
 - Mameli, M.; Manno, V.; Filippeschi, S.; Marengo, M. Thermal instability of a Closed Loop Pulsating Heat Pipe: Combined effect of orientation and filling ratio. Exp. Therm. Fluid Sci. 2014, 59, 222–229. [Google Scholar] [CrossRef]
 - Betancur-Arboleda, L.A.; Mera, J.P.F.; Mantelli, M. Experimental study of channel roughness effect in diffusion bonded pulsating heat pipes. Appl. Therm. Eng. 2020, 166, 114734. [Google Scholar] [CrossRef]
 - Jun, S.; Kim, S.J. Comparison of the thermal performances and flow characteristics between closed-loop and closed-end micro pulsating heat pipes. Int. J. Heat Mass Transf. 2016, 95, 890–901. [Google Scholar] [CrossRef]
 - Kearney, D.J.; Suleman, O.; Griffin, J.; Mavrakis, G. Thermal performance of a PCB embedded pulsating heat pipe for power electronics applications. Appl. Eng. 2016, 98, 798–809. [Google Scholar] [CrossRef]
 - Qu, J.; Wu, H. Flow visualization of silicon-based micro pulsating heat pipes. Sci. China Technol. Sci. 2010, 53, 984–990. [Google Scholar] [CrossRef]
 - Ayel, V.; Araneo, L.; Marzorati, P.; Romestant, C.; Bertin, Y.; Marengo, M. Visualization of Flow Patterns in Closed Loop Flat Plate Pulsating Heat Pipe Acting as Hybrid Thermosyphons under Various Gravity Levels. Heat Transf. Eng. 2019, 40, 227–237. [Google Scholar] [CrossRef]
 - Mameli, M.; Araneo, L.; Filippeschi, S.; Marelli, L.; Testa, R.; Marengo, M. Thermal response of a closed loop pulsating heat pipe under a varying gravity force. Int. J. Therm. Sci. 2014, 80, 11–22. [Google Scholar] [CrossRef]
 - Kim, J.-S.; Bui, N.H.; Jung, H.-S.; Lee, W.-H. The study on pressure oscillation and heat transfer characteristics of oscillating capillary tube heat pipe. KSME Int. J. 2003, 17, 1533–1542. [Google Scholar] [CrossRef]
 - Khandekar, S.; Gautam, A.P.; Sharma, P.K. Multiple quasi-steady states in a closed loop pulsating heat pipe. Int. J. Therm. Sci. 2009, 48, 535–546. [Google Scholar] [CrossRef]
 - Frank, I.E.; Todeschini, R. The Data Analysis Handbook; Elsevier: Amsterdam, The Netherlands, 1994. [Google Scholar]
 - Caliński, T.; Harabasz, J. A dendrite method for cluster analysis. Commun. Stat. 1974, 3, 1–27. [Google Scholar] [CrossRef]
 - Zhang, Y.; Faghri, A. Advances and unsolved issues in pulsating heat pipes. Heat Transf. Eng. 2008, 29, 20–44. [Google Scholar] [CrossRef]
 - Kim, J.-S.; Bui, N.H.; Kim, J.-W.; Kim, J.-H.; Jung, H.S. Flow visualization of oscillation characteristics of liquid and vapor flow in the oscillating capillary tube heat pipe. KSME Int. J. 2003, 17, 1507–1519. [Google Scholar] [CrossRef]
 - Noh, H.Y.; Yoon, A.; Kim, S.J. Investigation into the effect of transverse condudction on the thermal performance of a flat-plate pulsating heat pipe. Int. J. Heat Mass Transf. 2021, 181, 121842. [Google Scholar] [CrossRef]
 - Yang, H.; Khandekar, S.; Groll, M. Performance characteristics of pulsating heat pipes as integral thermal spreaders. Int. J. Therm. Sci. 2009, 48, 815–824. [Google Scholar] [CrossRef]
 



















| Experimental Equipment | Uncertainty | Operating Range | 
|---|---|---|
| Power supply | ±2 W | 50–250 W | 
| Cryostat | ±1 °C | 20 °C | 
| MWIR camera | Absolute: ±1 °C | 3–5 μm | 
| Sensitivity: <25 mK | 5 °C–300 °C | 
| A [1/Hz] | 71 | 
| [rad/s] | 2π | 
| fmin [Hz] | 0.1 | 
| fmax [Hz] | 18 | 
| fd [Hz] | Q [W] | ||||||
|---|---|---|---|---|---|---|---|
| Channel | 50 | 70 | 90 | 120 | 150 | 200 | 250 | 
| 1 | - | - | 0.81 | 1.15 | 1.07 | 1.32 | 1 | 
| 2 | 1.15 | - | 0.81 | 0.58 | 1.23 | 1.07 | 0.66 | 
| 3 | 1.63 | 0.66 | 0.66 | 0.71 | 1.23 | 0.71 | 0.93 | 
| 4 | 1.23 | 1.23 | 0.66 | 1.42 | 0.87 | 1.42 | 1.15 | 
| 5 | 1.63 | 0.58 | 1.15 | 0.93 | 1.15 | 0.71 | 1.15 | 
| 6 | 1.52 | 1.63 | 0.87 | 0.93 | 0.87 | 1 | 0.81 | 
| 7 | - | 1.42 | 1 | 0.81 | 0.87 | 1.23 | 1.63 | 
| 8 | - | 1.07 | 0.93 | 0.81 | 0.93 | 0.87 | 1.52 | 
| 9 | - | 1 | 1.42 | 0.58 | 0.71 | 0.54 | 0.81 | 
| 10 | - | 1.74 | 0.62 | 0.54 | 1.07 | 0.54 | 1.23 | 
| 11 | - | 1.16 | 1.42 | 0.66 | 0.61 | 1.15 | 0.76 | 
| 12 | - | 1.23 | 1.42 | 0.62 | 0.87 | 1.32 | 0.62 | 
| 13 | - | - | 0.71 | 0.66 | 0.66 | 0.76 | 1.15 | 
| 14 | - | - | 0.93 | 0.71 | 0.66 | 0.93 | 0.62 | 
| 15 | 0.87 | - | 1.15 | 0.81 | 0.87 | 1.23 | 0.87 | 
| 16 | 0.93 | 0.66 | 1.15 | 0.62 | 0.54 | 1.07 | 1.23 | 
| fd [Hz] | Q [W] | ||||
|---|---|---|---|---|---|
| Channel | 50 | 100 | 150 | 200 | 250 | 
| 1 | - | 0.66 | 0.87 | 1.07 | 1.32 | 
| 2 | - | 0.66 | 0.93 | 1.07 | 1.15 | 
| 3 | - | 0.62 | 1.87 | 1.07 | 1.32 | 
| 4 | - | 0.71 | 0.93 | 1 | 1.23 | 
| 5 | - | 0.71 | 0.93 | 1.07 | 1.32 | 
| 6 | - | 1.42 | 0.87 | 1 | 1.23 | 
| 7 | - | 1.42 | 0.87 | 1.07 | 1.23 | 
| 8 | - | 1.42 | 0.93 | 1 | 1.23 | 
| 9 | - | 0.87 | 0.81 | 1.07 | 1.23 | 
| 10 | - | 0.76 | 0.87 | 1.07 | 1.32 | 
| 11 | - | 0.66 | 0.87 | 1.07 | 1.23 | 
| 12 | - | 0.76 | 0.87 | 1 | 1.23 | 
| 13 | - | 0.71 | 1.74 | 1.07 | 1.23 | 
| 14 | - | 0.71 | 0.87 | 1.07 | 1.23 | 
| 15 | - | 0.66 | 0.87 | 1.07 | 1.32 | 
| 16 | - | 0.66 | 0.93 | 1.07 | 1.15 | 
| Orientation | Q [W] | ||||||
|---|---|---|---|---|---|---|---|
| Vertical BHM | 50 | 70 | 90 | 120 | 150 | 200 | 250 | 
| I | I | F | F | F | F | F | |
| Horizontal | 50 | 100 | 150 | 200 | 250 | ||
| I | F | F | F | F | |||
| Channel | Q [W] | |||
|---|---|---|---|---|
| 150 | 250 | |||
| tc [%] | ta [%] | tc [%] | ta [%] | |
| 1 | 17.7 | 52.1 | 28.6 | 89.9 | 
| 2 | 14 | 88.9 | 30.5 | 91.65 | 
| 3 | 27.1 | 88.1 | 35.6 | 73.7 | 
| 4 | 24.2 | 80.1 | 43.4 | 89.9 | 
| 5 | 5.7 | 47.1 | 31.9 | 79.9 | 
| 6 | 34.3 | 73.9 | 13.3 | 90.1 | 
| 7 | 9.6 | 65.1 | 52.9 | 85.7 | 
| 8 | 11.6 | 87.2 | 25.1 | 93.8 | 
| 9 | 13.5 | 74.4 | 28.8 | 92.7 | 
| 10 | 5 | 49.7 | 32.4 | 99.7 | 
| 11 | 69.5 | 100 | 15.5 | 94.8 | 
| 12 | 30.2 | 81.8 | 10.7 | 86.6 | 
| 13 | 36 | 58.4 | 8.7 | 80.5 | 
| 14 | 46.1 | 80.3 | 21 | 99 | 
| 15 | 12.5 | 54 | 31.4 | 94.1 | 
| 16 | 13.2 | 46.8 | 27.8 | 84.7 | 
| Channel | Q [W] | |||
|---|---|---|---|---|
| 150 | 250 | |||
| tc [%] | ta [%] | tc [%] | ta [%] | |
| 1 | 46 | 46 | 24.2 | 38.3 | 
| 2 | 16.9 | 63.1 | 32.4 | 45.8 | 
| 3 | 15.9 | 56 | 23.2 | 77.5 | 
| 4 | 18.1 | 83.2 | 26.1 | 72.9 | 
| 5 | 44.7 | 74.3 | 24.7 | 62.9 | 
| 6 | 48.8 | 72.8 | 30.1 | 81.6 | 
| 7 | 34.4 | 65.2 | 36.8 | 85.3 | 
| 8 | 51.6 | 78.3 | 42.3 | 75.5 | 
| 9 | 12.6 | 64.8 | 52.5 | 86.2 | 
| 10 | 52.1 | 81.7 | 23.2 | 75.9 | 
| 11 | 38.7 | 61 | 27.9 | 73.8 | 
| 12 | 55.3 | 71.5 | 41.1 | 63.8 | 
| 13 | 8.7 | 51.3 | 32.6 | 72.2 | 
| 14 | 47.6 | 71.4 | 30.1 | 86.8 | 
| 15 | 54.1 | 79.9 | 52.9 | 71.4 | 
| 16 | 46.6 | 73.4 | 37.6 | 63.8 | 
| Q [W] | ||||||||
|---|---|---|---|---|---|---|---|---|
| Units | 50 | 70 | 90 | 120 | 150 | 200 | 250 | |
| Req | [K/W] | 0.3 | 0.2 | 0.12 | 0.11 | 0.09 | 0.08 | 0.07 | 
| cvtav | [%] | 49.0 | 60.5 | 74.7 | 72.0 | 72.2 | 72 | 70.07 | 
| cvtstd | [%] | 17.0 | 14.6 | 11.3 | 13.7 | 13.3 | 5.6 | 7.5 | 
| cvsav | [%] | 57.0 | 47.7 | 44.7 | 44.9 | 43.6 | 43.2 | 44.6 | 
| cvsstd | [%] | 19.5 | 17.8 | 10.7 | 13.2 | 10.6 | 9.9 | 8.6 | 
| q80 | [W/m2] | 1068 | 1117 | 945.9 | 1306 | 1364 | 1435 | 2314 | 
| fd,av | [Hz] | - | - | 0.98 | 0.78 | 0.89 | 0.99 | 1.01 | 
| fd,std | [Hz] | - | - | 0.28 | 0.24 | 0.22 | 0.28 | 0.3 | 
| Q [W] | ||||||
|---|---|---|---|---|---|---|
| Units | 50 | 100 | 150 | 200 | 250 | |
| Req | [K/W] | 0.48 | 0.19 | 0.14 | 0.11 | 0.09 | 
| cvtav | [%] | 70.7 | 74.4 | 69.7 | 68.4 | 68.0 | 
| cvtstd | [%] | 25.9 | 11.0 | 6.4 | 5.2 | 4.0 | 
| cvsav | [%] | 70.03 | 53.2 | 48.5 | 48.4 | 50.4 | 
| cvsstd | [%] | 18.23 | 10.5 | 9.1 | 7.0 | 5.8 | 
| q80 | [W/m2] | 1086 | 1995 | 3594 | 5321 | 7149 | 
| fd,av | [Hz] | - | 0.84 | 1 | 1.06 | 1.26 | 
| fd,std | [Hz] | - | 0.29 | 0.31 | 0.03 | 0.05 | 
Disclaimer/Publisher’s Note: The statements, opinions and data contained in all publications are solely those of the individual author(s) and contributor(s) and not of MDPI and/or the editor(s). MDPI and/or the editor(s) disclaim responsibility for any injury to people or property resulting from any ideas, methods, instructions or products referred to in the content.  | 
© 2023 by the authors. Licensee MDPI, Basel, Switzerland. This article is an open access article distributed under the terms and conditions of the Creative Commons Attribution (CC BY) license (https://creativecommons.org/licenses/by/4.0/).
Share and Cite
Pagliarini, L.; Cattani, L.; Ayel, V.; Slobodeniuk, M.; Romestant, C.; Bozzoli, F. Thermographic Investigation on Fluid Oscillations and Transverse Interactions in a Fully Metallic Flat-Plate Pulsating Heat Pipe. Appl. Sci. 2023, 13, 6351. https://doi.org/10.3390/app13106351
Pagliarini L, Cattani L, Ayel V, Slobodeniuk M, Romestant C, Bozzoli F. Thermographic Investigation on Fluid Oscillations and Transverse Interactions in a Fully Metallic Flat-Plate Pulsating Heat Pipe. Applied Sciences. 2023; 13(10):6351. https://doi.org/10.3390/app13106351
Chicago/Turabian StylePagliarini, Luca, Luca Cattani, Vincent Ayel, Maksym Slobodeniuk, Cyril Romestant, and Fabio Bozzoli. 2023. "Thermographic Investigation on Fluid Oscillations and Transverse Interactions in a Fully Metallic Flat-Plate Pulsating Heat Pipe" Applied Sciences 13, no. 10: 6351. https://doi.org/10.3390/app13106351
APA StylePagliarini, L., Cattani, L., Ayel, V., Slobodeniuk, M., Romestant, C., & Bozzoli, F. (2023). Thermographic Investigation on Fluid Oscillations and Transverse Interactions in a Fully Metallic Flat-Plate Pulsating Heat Pipe. Applied Sciences, 13(10), 6351. https://doi.org/10.3390/app13106351
        
