Objective Prediction of Human Visual Acuity Using Image Quality Metrics
Abstract
Featured Application
Abstract
1. Introduction
2. Materials and Methods
2.1. Image Database
2.2. Subjects
2.3. The Point Spread Function and the Image of the Eye
2.4. The Point Spread Function and the Image of the Eye
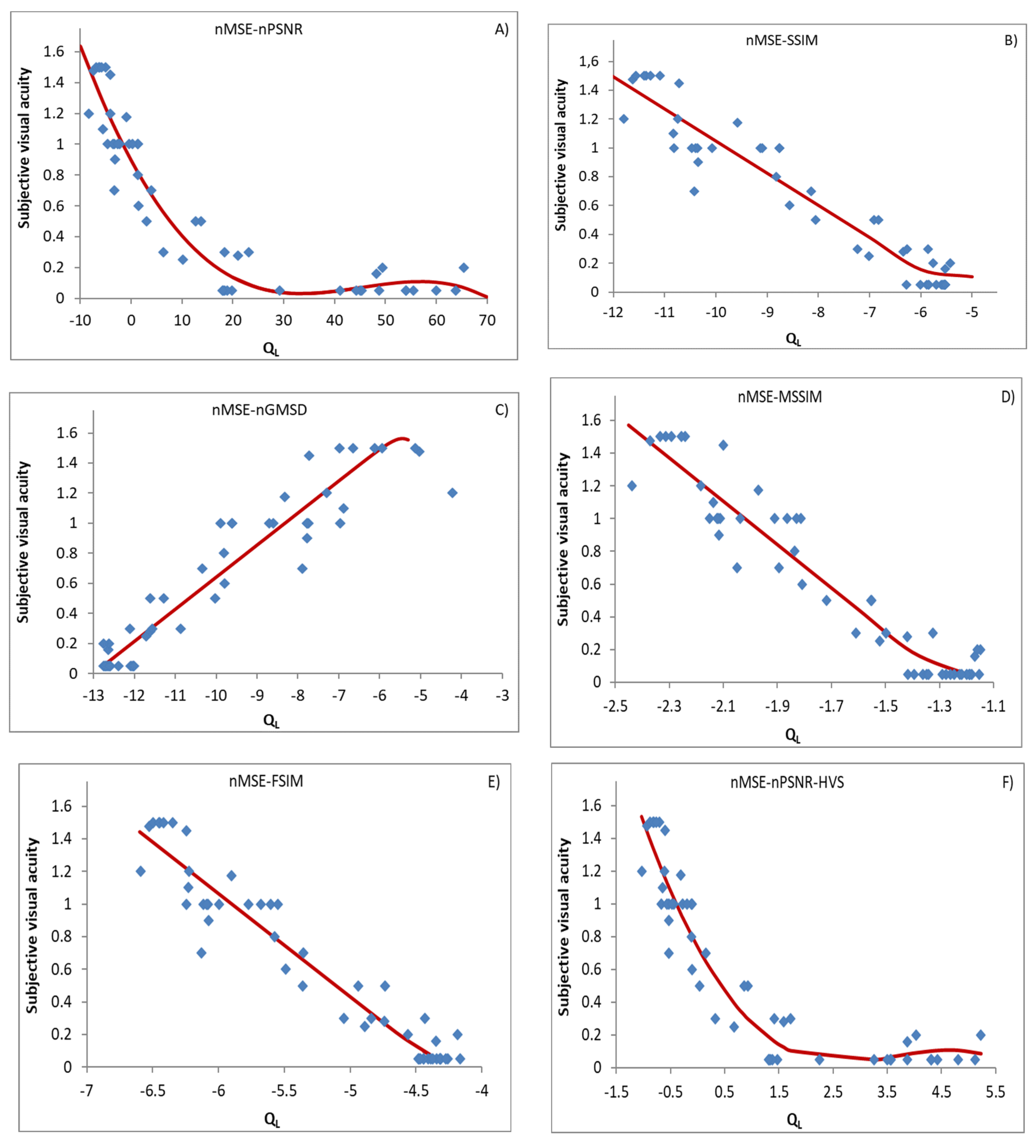
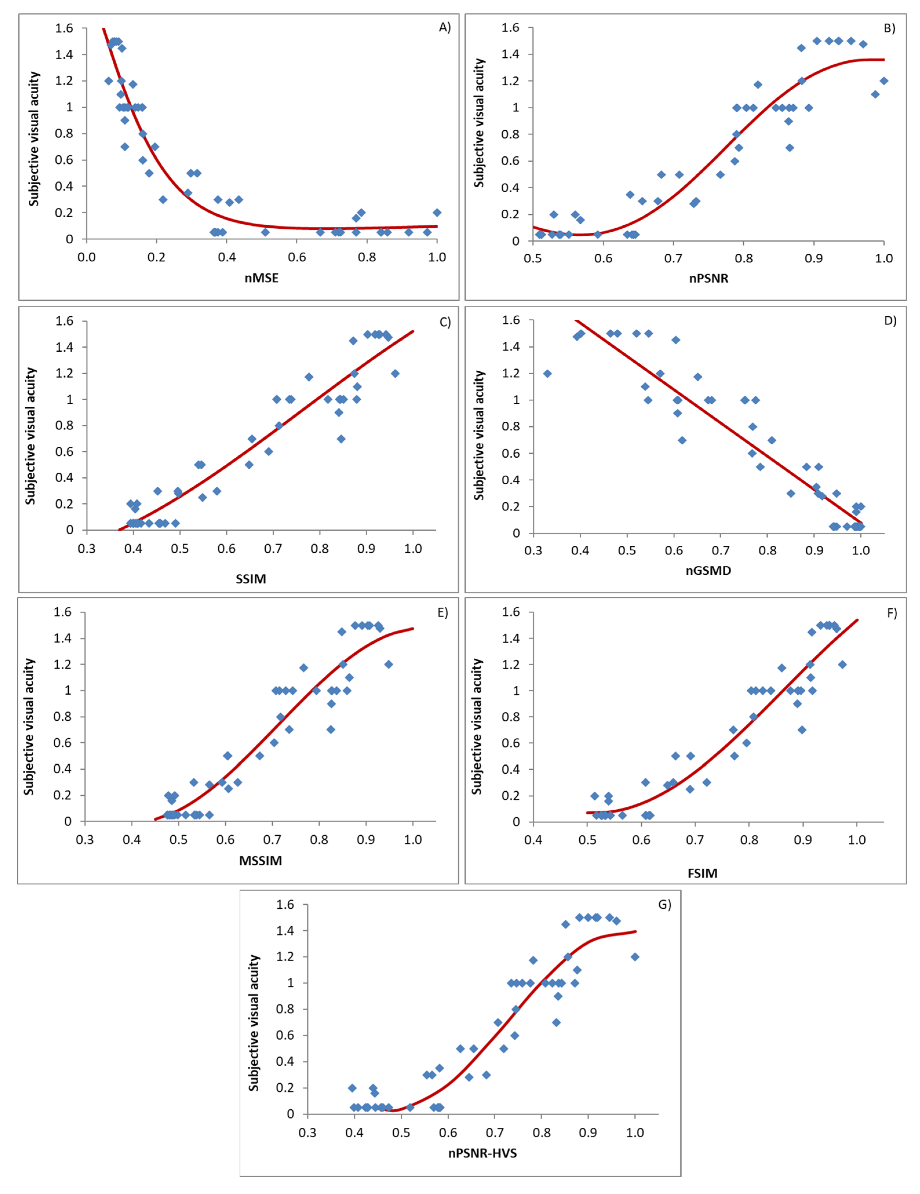
3. Results and Discussion
4. Conclusions
Author Contributions
Funding
Institutional Review Board Statement
Informed Consent Statement
Data Availability Statement
Acknowledgments
Conflicts of Interest
Appendix A
Appendix A.1. The Structural Similarity Index (SSIM)
Appendix A.2. The Multi-Scale Structural Similarity Index (MSSSIM)
Appendix A.3. The Gradient Magnitude Similarity Deviation (GMSD)
Appendix A.4. The Peak Signal to Noise Ratio Based Human Visual System (PSNR-HVS)
Appendix A.5. The Feature Similarity Index (FSIM)
References
- Guirao, A.; Williams, D.R. A method to predict refractive errors from wave aberration data. Optom. Vis. Sci. 2003, 80, 36–42. [Google Scholar] [CrossRef] [PubMed]
 - Cheng, X.; Bradley, A.; Thibos, L.N. Predicting subjective judgment of best focus with objective image quality metrics. J. Vis. 2004, 4, 310–321. [Google Scholar] [CrossRef] [PubMed]
 - Marsack, J.D.; Thibos, L.N.; Applegate, R.A. Metrics of optical quality derived from wave aberrations predict visual performance. J. Vis. 2004, 4, 322–328. [Google Scholar]
 - Watson, A.B.; Ahumada, A.J. Predicting visual acuity front wavefront aberrations. J. Vis. 2008, 8, 17. [Google Scholar] [CrossRef] [PubMed]
 - ITU-T, Recommendation P.800.1; Mean Opinion Score (MOS) Terminology. International Telecommunication Union—Telecommunication Standardization Sector: Geneva, Switzerland, 2016.
 - Wang, Z.; Bovik, A.C. Mean squared error: Love it or leave it? A new look at signal fidelity measures. IEEE Signal Process. Mag. 2009, 26, 98–117. [Google Scholar] [CrossRef]
 - Ivkovic, G.; Sankar, R. An algorithm for image quality assessment. In Proceedings of the IEEE International Conference on Acoustics, Speech, and Signal Processing, ICASSP ’04, Florence, Italy, 4–9 May 2004. [Google Scholar]
 - Wang, Z.; Bovik, A.C.; Sheikh, H.R.; Simoncelli, E.P. Image quality assessment: From error visibility to structural similarity. IEEE Trans. Image Process. 2004, 13, 600–612. [Google Scholar] [CrossRef]
 - Wang, Z.; Simoncelli, E.P.; Bovik, A.C. Multi-scale structural similarity for image quality assessment. In Proceedings of the IEEE Conference on Signals, Systems and Computers, Pacific Grove, CA, USA, 9–12 November 2003; pp. 1398–1402. [Google Scholar]
 - Egiazarian, K.; Astola, J.; Ponomarenko, N.; Lukin, V.; Battisti, F.; Carli, M. New full-reference quality metrics based on HVS. In Proceedings of the Second International Workshop on Video Processing and Quality Metrics, Scottsdale, AZ, USA, 22–24 January 2006; Volume 4, p. 4. [Google Scholar]
 - Xue, W.; Zhang, L.; Mou, X.; Bovik, A.C. Gradient magnitude similarity deviation: A highly efficient perceptual image quality index. IEEE Trans. Image Process. 2014, 23, 684–695. [Google Scholar] [CrossRef]
 - Zhang, L.; Zhang, L.; Mou, X.; Zhang, D. FSIM: A feature similarity index for image quality assessment. IEEE Trans. Image Process. 2011, 20, 2378–2386. [Google Scholar] [CrossRef]
 - Iskander, D.R. A subjective refraction-based assessment of image quality metric. Photonics Lett. Pol. 2011, 3, 150–152. [Google Scholar] [CrossRef]
 - Pérez, J.; Espinosa, J.; Vázquez, C.; Mas, D. Retinal image quality assessment through a visual similarity index. J. Mod. Opt. 2013, 60, 544–550. [Google Scholar] [CrossRef]
 - Oszust, M. Full-reference image quality assessment with linear combination of genetically selected quality measures. PLoS ONE. 2016, 11, e0158333. [Google Scholar] [CrossRef] [PubMed]
 - Okarma, K. Combined Full-Reference Image Quality Metric Linearly Correlated with Subjective Assessment. In Artificial Intelligence and Soft Computing, Proceedings of the 10th International Conference, ICAISC 2010, Zakopane, Poland, 13–17 June 2010; Rutkowski, L., Scherer, R., Tadeusiewicz, R., Zadeh, L.A., Zurada, J.M., Eds.; Lecture Notes in Computer Science; Springer: Berlin/Heidelberg, Germany, 2010; Volume 6113, pp. 539–546. [Google Scholar]
 - Ieremeiev, O.; Lukin, V.; Ponomarenko, N.; Egiazarian, K.; Astola, J. Combined full-reference image visual quality metrics. Electron. Imaging 2016, 14, 1–10. [Google Scholar] [CrossRef]
 - Thibos, L.N.; Hong, X.; Bradley, A.; Cheng, X. Statistical variation of aberration structure and image quality in a normal population of healthy eyes. J. Opt. Soc. Am. A 2002, 19, 2329–2348. [Google Scholar] [CrossRef] [PubMed]
 - Duane, A. Studies in monocular and binocular accommodation, with their clinical application. Trans. Am. Ophthalmol. Soc. 1922, 20, 132–157. [Google Scholar] [CrossRef] [PubMed]
 - Sheikh, H.R.; Wang, Z.; Cormack, L.K.; Bovik, A.C. LIVE Image Quality Assessment Database Release 2. Available online: http://live.ece.utexas.edu/research/quality/subjective.htm (accessed on 7 March 2023).
 - Le Callet, P.; Autrusseau, F. Subjective Quality Assessment IVC Database. Available online: http://ivc.univ-nantes.fr/en/databases/Subjective_Database/ (accessed on 15 October 2022).
 - Horita, Y.; Shibata, K.; Kawayoke, Y. Toyama-MICT Database. Available online: http://mict.eng.u-toyama.ac.jp/mict/index2.html (accessed on 15 October 2022).
 - Spector, R.H. The Pupils. In Clinical Methods: The History, Physical, and Laboratory Examinations, 3rd ed.; Walker, H.K., Hall, W.D., Hurst, J.W., Eds.; Butterworths: Boston, MA, USA, 1990; Chapter 58. [Google Scholar]
 - Goodman, J.W. Introduction to Fourier Optics, 3rd ed; W.H. Freeman & Co., Ltd.: New York, NY, USA, 2005. [Google Scholar]
 - Applegate, R.A.; Lakshminarayanan, V. Parametric representation of Stiles-Crawford functions: Normal variation of peak location and directionality. J. Opt. Soc. Am. A 1993, 10, 1611–1623. [Google Scholar] [CrossRef]
 - Roorda, A. Human visual system-image formation. In Encyclopedia of Imaging Science and Technology; Hornak, J.P., Ed.; John Wiley & Sons: New York, NY, USA, 2002; Volume 1, pp. 539–557. [Google Scholar]
 - Charman, W.N. Wavefront aberration of the eye: A review. Optom. Vis. Sci. 1991, 68, 574–583. [Google Scholar] [CrossRef]
 - Prakash, G.; Srivastava, D.; Suhail, M.; Bacero, R. Assessment of bilateral pupillary centroid characteristics at varying illuminations and post-photopic flash response using an automated pupillometer. Clin. Exp. Optom. 2016, 99, 535–543. [Google Scholar] [CrossRef]
 - Schwiegerling, J. Scaling Zernike expansion coefficients to different pupil sizes. J. Opt. Soc. Am. A 2002, 19, 1937–1945. [Google Scholar] [CrossRef]
 - Dai, G. Scaling Zernike expansion coefficients to smaller pupil sizes: A simpler formula. J. Opt. Soc. Am. A 2006, 23, 539–543. [Google Scholar] [CrossRef]
 - Neter, J.; Wasserman, W.; Kutner, M.H. Applied Linear Statistical Models; Irwin: Burr Ridge, IL, USA, 1990. [Google Scholar]
 - Durbin, J.; Watson, G.S. Testing for serial correlation in least squares regression: I. Biometrika 1950, 37, 409–428. [Google Scholar]
 - Durbin, J.; Watson, G.S. Testing for serial correlation in least squares regression. II. Biometrika 1951, 38, 159–178. [Google Scholar] [CrossRef] [PubMed]
 - Wei, J.; Chen, T.; Liu, G.; Yang, J. Higher-order Multivariable Polynomial Regression to Estimate Human Affective States. Sci. Rep. 2016, 6, 23384. [Google Scholar] [CrossRef] [PubMed]
 - Bonett, D.G. Confidence interval for a coefficient of quartile variation. Comput. Stat. Data Anal. 2006, 50, 2953–2957. [Google Scholar] [CrossRef]
 - Ponomarenko, N.; Silvestri, F.; Egiazarian, K.; Carli, M.; Astola, J.; Lukin, V. On between-coefficient contrast masking of DCT basis functions. In Proceedings of the Third International Workshop on Video Processing and Quality Metrics, Scottsdale, AZ, USA, 25–26 January 2007; p. 4. [Google Scholar]
 - Wallace, G.K. The JPEG still picture compression standard. IEEE Trans. Consum. Electron. 1992, 34, xviii–xxxiv. [Google Scholar] [CrossRef]
 - Kovesi, P. Image features from phase congruency. J. Comp. Vis. Res. 1999, 1, 1–26. [Google Scholar]
 - Morrone, M.C.; Burr, D.C. Feature detection in human vision: A phase-dependent energy model. Proc. R. Soc. Lond. B Biol. Sci. 1988, 235, 221–245. [Google Scholar]
 - Henriksson, L.; Hyvrinen, A.; Vanni, S. Representation of cross-frequency spatial phase relationships in human visual cortex. J. Neurosci. 2009, 29, 14342–14351. [Google Scholar] [CrossRef]
 




| nMSE | nPSNR | SSIM | nGMSD | MSSSIM | FSIM | |
|---|---|---|---|---|---|---|
| nPSNR | 7.64 | |||||
| SSIM | 4.15 | 21.7 | ||||
| nGMSD | 3.05 | 12.3 | 27.8 | |||
| MSSIM | 4.23 | 24.8 | 150 | 30.8 | ||
| FSIM | 5.93 | 35.8 | 76.7 | 15.2 | 57.4 | |
| nPSNR-HVS | 7.78 | 63.8 | 27.9 | 14.6 | 31.7 | 57.2 | 
| a | b | c | d | e | β1 | β2 | |
| nMSE | −4.000 | 8.992 | 0.000 | 0.078 | 2.016 | ||
| nPSNR | −4.364 | −8.983 | 0.775 | −4.522 | 4.211 | ||
| SSIM | 10.29 | 2.228 | 0.746 | −3.054 | 3.255 | ||
| nGMSD | 0.002 | 0.000 | −0.352 | −2.501 | 2.580 | ||
| MSSSIM | 24.57 | 3.075 | 0.712 | −15.19 | 11.55 | ||
| FSIM | 21.24 | 3.134 | 0.864 | −12.47 | 11.78 | ||
| nPSNR-HVS | −23.08 | −3.773 | 0.729 | −17.55 | 13.51 | ||
| nMSE-nPSNR | 64.78 | 0.021 | 45.16 | −0.335 | 15.18 | 72.10 | −12.75 | 
| nMSE-SSIM | 0.173 | 155,1 | −5.512 | −0.223 | −1.093 | −0.772 | −12.21 | 
| nMSE-nGMSD | −0,708 | 4.516 | −4,870 | 0.213 | 2,418 | −0.026 | −12.78 | 
| nMSE-MSSSIM | 37.89 | 17.24 | −0,873 | −1.326 | 17.27 | 0.111 | −2.583 | 
| nMSE-FSIM | 7.478 | 8.858 | −3.770 | −0.632 | 1.011 | −0.944 | −6.714 | 
| nMSE-nPSNR-HVS | 41.54 | 0.282 | 3.670 | −2.878 | 10.63 | 5.839 | −1.391 | 
| R2 | σest | F-Number | t Statistic | |
|---|---|---|---|---|
| nMSE | 0.9141 | 0.1563 | 532 | 23.1 | 
| nPSNR | 0.9114 | 0.1588 | 514 | 22.7 | 
| SSIM | 0.9218 | 0.1495 | 590 | 24.3 | 
| nGMSD | 0.8891 | 0.1777 | 401 | 20.0 | 
| MSSSIM | 0.9170 | 0.1540 | 553 | 23.5 | 
| FSIM | 0.9266 | 0.1448 | 631 | 25.1 | 
| nPSNR-HVS | 0.9152 | 0.1554 | 539 | 23.2 | 
| nMSE-nPSNR | 0.9105 | 0.1600 | 509 | 22.6 | 
| nMSE-SSIM | 0.9261 | 0.1454 | 626 | 25.0 | 
| nMSE-nGMSD | 0.9178 | 0.1533 | 558 | 23.6 | 
| nMSE-MSSSIM | 0.9228 | 0.1486 | 597 | 24.4 | 
| nMSE-FSIM | 0.9309 | 0.1406 | 673 | 25.9 | 
| nMSE-nPSNR-HVS | 0.9116 | 0.1589 | 516 | 22.7 | 
| nMSE | nPSNR | SSIM | nGMSD | MSSSIM | FSIM | nPSNR-HVS | nMSE-nPSNR | nMSE-SSIM | nMSE-nGMSD | nMSE-MSSSIM | nMSE-FSIM | nMSE-nPSNR-HVS | |
|---|---|---|---|---|---|---|---|---|---|---|---|---|---|
| DW | 1.30 | 1.28 | 1.59 | 1.73 | 1.61 | 1.54 | 1.42 | 1.28 | 1.67 | 1.62 | 1.67 | 1.56 | 1.35 | 
| WI | 40.7 | 39.4 | 44.7 | 31.1 | 42.0 | 47.7 | 41.7 | 38.8 | 47.4 | 42.4 | 45.2 | 50.8 | 39.3 | 
| 0.46 | 0.12 | 0.15 | 0.15 | 0.13 | 0.06 | 0.15 | 0.46 | 0.14 | 0.15 | 0.25 | 0.07 | 0.46 | 
Disclaimer/Publisher’s Note: The statements, opinions and data contained in all publications are solely those of the individual author(s) and contributor(s) and not of MDPI and/or the editor(s). MDPI and/or the editor(s) disclaim responsibility for any injury to people or property resulting from any ideas, methods, instructions or products referred to in the content.  | 
© 2023 by the authors. Licensee MDPI, Basel, Switzerland. This article is an open access article distributed under the terms and conditions of the Creative Commons Attribution (CC BY) license (https://creativecommons.org/licenses/by/4.0/).
Share and Cite
Tomás, J.E.; Rodríguez, J.P.; Candela, D.M.; Ferri, C.V.; Perales, E. Objective Prediction of Human Visual Acuity Using Image Quality Metrics. Appl. Sci. 2023, 13, 6350. https://doi.org/10.3390/app13106350
Tomás JE, Rodríguez JP, Candela DM, Ferri CV, Perales E. Objective Prediction of Human Visual Acuity Using Image Quality Metrics. Applied Sciences. 2023; 13(10):6350. https://doi.org/10.3390/app13106350
Chicago/Turabian StyleTomás, Julián Espinosa, Jorge Pérez Rodríguez, David Más Candela, Carmen Vázquez Ferri, and Esther Perales. 2023. "Objective Prediction of Human Visual Acuity Using Image Quality Metrics" Applied Sciences 13, no. 10: 6350. https://doi.org/10.3390/app13106350
APA StyleTomás, J. E., Rodríguez, J. P., Candela, D. M., Ferri, C. V., & Perales, E. (2023). Objective Prediction of Human Visual Acuity Using Image Quality Metrics. Applied Sciences, 13(10), 6350. https://doi.org/10.3390/app13106350
        
