Application of the WKB Theory to Investigate Electron Tunneling in Kek-Y Graphene
Abstract
1. Introduction
2. Energy Band Structure and Electronic States in Kek-Y Graphene
3. Wentzel–Kramers–Brillouin Approximation
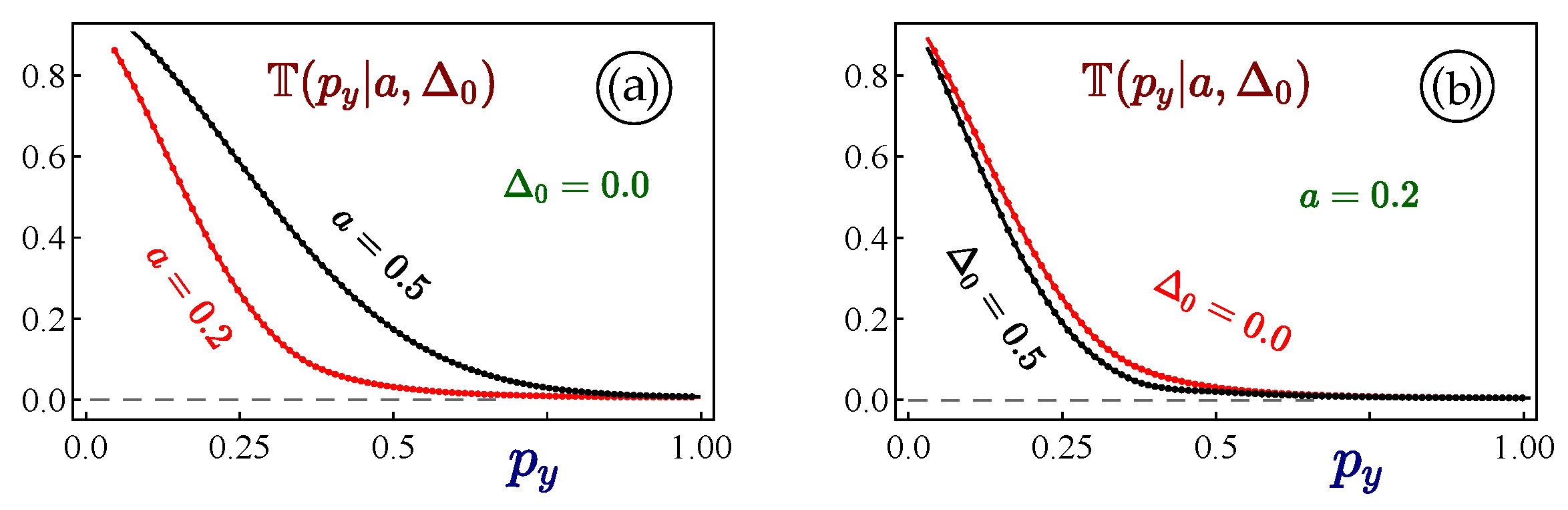
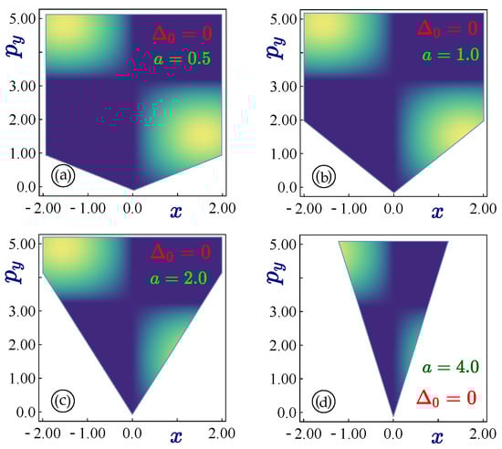
4. Electron Tunneling in Kekulé-Patterned Graphene
5. Concluding Remarks
Author Contributions
Funding
Institutional Review Board Statement
Informed Consent Statement
Conflicts of Interest
References
- Gamayun, O.; Ostroukh, V.; Gnezdilov, N.; Adagideli, İ.; Beenakker, C. Valley-momentum locking in a graphene superlattice with Y-shaped Kekulé bond texture. New J. Phys. 2018, 20, 023016. [Google Scholar] [CrossRef]
- Mohammadi, Y. Electronic spectrum and optical properties of Y-shaped Kekulé-patterned graphene: Band nesting resonance as an optical signature. ECS J. Solid State Sci. Technol. 2022, 11, 121004. [Google Scholar] [CrossRef]
- Herrera, S.A.; Naumis, G.G. Electronic and optical conductivity of Kekulé-patterned graphene: Intravalley and intervalley transport. Phys. Rev. B 2020, 101, 205413. [Google Scholar] [CrossRef]
- Gutiérrez, C.; Kim, C.J.; Brown, L.; Schiros, T.; Nordlund, D.; Lochocki, E.B.; Shen, K.M.; Park, J.; Pasupathy, A.N. Imaging chiral symmetry breaking from Kekulé bond order in graphene. Nat. Phys. 2016, 12, 950–958. [Google Scholar] [CrossRef]
- Coissard, A.; Wander, D.; Vignaud, H.; Grushin, A.G.; Repellin, C.; Watanabe, K.; Taniguchi, T.; Gay, F.; Winkelmann, C.B.; Courtois, H.; et al. Imaging tunable quantum Hall broken-symmetry orders in graphene. Nature 2022, 605, 51–56. [Google Scholar] [CrossRef] [PubMed]
- Xu, X.Y.; Law, K.T.; Lee, P.A. Kekulé valence bond order in an extended Hubbard model on the honeycomb lattice with possible applications to twisted bilayer graphene. Phys. Rev. B 2018, 98, 121406. [Google Scholar] [CrossRef]
- Andrade, E.; Carrillo-Bastos, R.; Naumis, G.G. Valley engineering by strain in Kekulé-distorted graphene. Phys. Rev. B 2019, 99, 035411. [Google Scholar] [CrossRef]
- Andrade, E.; Carrillo-Bastos, R.; Asmar, M.M.; Naumis, G.G. Kekulé-induced valley birefringence and skew scattering in graphene. Phys. Rev. B 2022, 106, 195413. [Google Scholar] [CrossRef]
- Andrade, E.; Naumis, G.G.; Carrillo-Bastos, R. Electronic spectrum of Kekulé patterned graphene considering second neighbor-interactions. J. Phys. Condens. Matter 2021, 33, 225301. [Google Scholar] [CrossRef]
- Mojarro, M.; Ibarra-Sierra, V.; Sandoval-Santana, J.; Carrillo-Bastos, R.; Naumis, G.G. Dynamical Floquet spectrum of Kekulé-distorted graphene under normal incidence of electromagnetic radiation. Phys. Rev. B 2020, 102, 165301. [Google Scholar] [CrossRef]
- Geim, A.K. Graphene: Status and prospects. Science 2009, 324, 1530–1534. [Google Scholar] [CrossRef] [PubMed]
- Neto, A.C.; Guinea, F.; Peres, N.M.; Novoselov, K.S.; Geim, A.K. The electronic properties of graphene. Rev. Mod. Phys. 2009, 81, 109. [Google Scholar] [CrossRef]
- Houssa, M.; Dimoulas, A.; Molle, A. Silicene: A review of recent experimental and theoretical investigations. J. Phys. Condens. Matter 2015, 27, 253002. [Google Scholar] [CrossRef] [PubMed]
- Kara, A.; Enriquez, H.; Seitsonen, A.P.; Voon, L.L.Y.; Vizzini, S.; Aufray, B.; Oughaddou, H. A review on silicene—New candidate for electronics. Surf. Sci. Rep. 2012, 67, 1–18. [Google Scholar] [CrossRef]
- Ezawa, M. A topological insulator and helical zero mode in silicene under an inhomogeneous electric field. New J. Phys. 2012, 14, 033003. [Google Scholar] [CrossRef]
- Choi, W.; Choudhary, N.; Han, G.H.; Park, J.; Akinwande, D.; Lee, Y.H. Recent development of two-dimensional transition metal dichalcogenides and their applications. Mater. Today 2017, 20, 116–130. [Google Scholar] [CrossRef]
- Manzeli, S.; Ovchinnikov, D.; Pasquier, D.; Yazyev, O.V.; Kis, A. 2D transition metal dichalcogenides. Nat. Rev. Mater. 2017, 2, 17033. [Google Scholar] [CrossRef]
- Tabert, C. Electronic Phenomena in 2D Dirac-like Systems: Silicene and Topological Insulator Surface States. Ph.D. Thesis, University of Guelph, Guelph, ON, Canada, 2015. [Google Scholar]
- Illes, E. Properties of the α-T3 Model. Ph.D. Thesis, University of Guelph, Guelph, ON, Canada, 2017. [Google Scholar]
- Bercioux, D.; Urban, D.; Grabert, H.; Häusler, W. Massless Dirac-Weyl fermions in a T 3 optical lattice. Phys. Rev. A 2009, 80, 063603. [Google Scholar] [CrossRef]
- Iurov, A.; Gumbs, G.; Huang, D. Many-body effects and optical properties of single and double layer α-lattices. J. Phys. Condens. Matter 2020, 32, 415303. [Google Scholar] [CrossRef]
- Malcolm, J.; Nicol, E. Frequency-dependent polarizability, plasmons, and screening in the two-dimensional pseudospin-1 dice lattice. Phys. Rev. B 2016, 93, 165433. [Google Scholar] [CrossRef]
- Iurov, A.; Zhemchuzhna, L.; Dahal, D.; Gumbs, G.; Huang, D. Quantum-statistical theory for laser-tuned transport and optical conductivities of dressed electrons in α-T3 materials. Phys. Rev. B 2020, 101, 035129. [Google Scholar] [CrossRef]
- Filusch, A.; Fehske, H. Tunable valley filtering in dynamically strained α-T3 lattices. Phys. Rev. B 2022, 106, 245106. [Google Scholar] [CrossRef]
- Zeng, W.; Shen, R. Pure crossed Andreev reflection assisted transverse valley currents in α-T3 lattices. arXiv 2022, arXiv:2205.14930. [Google Scholar] [CrossRef]
- Li, F.; Zhang, Q.; Chan, K.S. Novel Transport Properties of the α-T3 Lattice with Uniform Electric and Magnetic Fields: The Effects of Flat Bands. Sci. Rep. 2022, 12, 12987. [Google Scholar] [CrossRef] [PubMed]
- Iurov, A.; Gumbs, G.; Huang, D. Temperature-and frequency-dependent optical and transport conductivities in doped buckled honeycomb lattices. Phys. Rev. B 2018, 98, 075414. [Google Scholar] [CrossRef]
- Tamang, L.; Biswas, T. Probing topological signatures in an optically driven α-T3 lattice. Phys. Rev. B 2023, 107, 085408. [Google Scholar] [CrossRef]
- Iurov, A.; Zhemchuzhna, L.; Gumbs, G.; Huang, D.; Dahal, D.; Abranyos, Y. Finite-temperature plasmons, damping, and collective behavior in the α-T3 model. Phys. Rev. B 2022, 105, 245414. [Google Scholar] [CrossRef]
- Biswas, T.; Ghosh, T.K. Dynamics of a quasiparticle in the α-T3 model: Role of pseudospin polarization and transverse magnetic field on zitterbewegung. J. Phys. Condens. Matter 2018, 30, 075301. [Google Scholar] [CrossRef]
- Gorbar, E.; Gusynin, V.; Oriekhov, D. Electron states for gapped pseudospin-1 fermions in the field of a charged impurity. Phys. Rev. B 2019, 99, 155124. [Google Scholar] [CrossRef]
- Oriekhov, D.; Gusynin, V. Optical conductivity of semi-Dirac and pseudospin-1 models: Zitterbewegung approach. Phys. Rev. B 2022, 106, 115143. [Google Scholar] [CrossRef]
- Sukhachov, P.; Oriekhov, D.; Gorbar, E. Optical conductivity of bilayer dice lattices. arXiv 2023, arXiv:2303.08258. [Google Scholar]
- Oriekhov, D.; Gusynin, V. RKKY interaction in a doped pseudospin-1 fermion system at finite temperature. Phys. Rev. B 2020, 101, 235162. [Google Scholar] [CrossRef]
- Balassis, A.; Dahal, D.; Gumbs, G.; Iurov, A.; Huang, D.; Roslyak, O. Magnetoplasmons for the α-T3 model with filled Landau levels. J. Phys. Condens. Matter 2020, 32, 485301. [Google Scholar] [CrossRef] [PubMed]
- Tabert, C.J.; Nicol, E.J. Valley-spin polarization in the magneto-optical response of silicene and other similar 2D crystals. Phys. Rev. Lett. 2013, 110, 197402. [Google Scholar] [CrossRef] [PubMed]
- Tabert, C.J.; Nicol, E.J. Magneto-optical conductivity of silicene and other buckled honeycomb lattices. Phys. Rev. B 2013, 88, 085434. [Google Scholar] [CrossRef]
- Gumbs, G.; Iurov, A.; Huang, D.; Zhemchuzhna, L. Revealing Hofstadter spectrum for graphene in a periodic potential. Phys. Rev. B 2014, 89, 241407. [Google Scholar] [CrossRef]
- Kovács, Á.D.; Dávid, G.; Dóra, B.; Cserti, J. Frequency-dependent magneto-optical conductivity in the generalized α-T3 model. Phys. Rev. B 2017, 95, 035414. [Google Scholar] [CrossRef]
- Raoux, A.; Morigi, M.; Fuchs, J.N.; Piéchon, F.; Montambaux, G. From dia-to paramagnetic orbital susceptibility of massless fermions. Phys. Rev. Lett. 2014, 112, 026402. [Google Scholar] [CrossRef]
- Vogl, M.; Pankratov, O.; Shallcross, S. Semiclassics for matrix hamiltonians: The gutzwiller trace formula with applications to graphene-type systems. Phys. Rev. B 2017, 96, 035442. [Google Scholar] [CrossRef]
- Zhang, Y.; Barlas, Y.; Yang, K. Coulomb impurity under magnetic field in graphene: A semiclassical approach. Phys. Rev. B 2012, 85, 165423. [Google Scholar] [CrossRef]
- Weekes, N.; Iurov, A.; Zhemchuzhna, L.; Gumbs, G.; Huang, D. Generalized WKB theory for electron tunneling in gapped α-T3 lattices. Phys. Rev. B 2021, 103, 165429. [Google Scholar] [CrossRef]
- Zalipaev, V.; Maksimov, D.; Linton, C.; Kusmartsev, F. Spectrum of localized states in graphene quantum dots and wires. Phys. Lett. A 2013, 377, 216–221. [Google Scholar] [CrossRef]
- Zalipaev, V.; Linton, C.; Croitoru, M.; Vagov, A. Resonant tunneling and localized states in a graphene monolayer with a mass gap. Phys. Rev. B 2015, 91, 085405. [Google Scholar] [CrossRef]
- Blaise, K.; Ejiogu, C.; Iurov, A.; Zhemchuzhna, L.; Gumbs, G.; Huang, D. Developing semiclassical Wentzel-Kramers-Brillouin theory for α-T3 model. Phys. Rev. B 2023, 107, 045128. [Google Scholar] [CrossRef]
- Zalipaev, V. Complex WKB approximations in graphene electron-hole waveguides in magnetic field. In Graphene–Synthesis, Characterization, Properties and Applications; BoD—Books on Demand: Norderstedt, Germany, 2011; p. 81. [Google Scholar]
- Wang, J.J.; Liu, S.; Wang, J.; Liu, J.F. Valley-coupled transport in graphene with Y-shaped Kekulé structure. Phys. Rev. B 2018, 98, 195436. [Google Scholar] [CrossRef]
- Andrade, E.; Carrillo-Bastos, R.; Pantaleon, P.A.; Mireles, F. Resonant transport in Kekule-distorted graphene nanoribbons. J. Appl. Phys. 2020, 127, 054304. [Google Scholar] [CrossRef]
- Katsnelson, M.; Novoselov, K.; Geim, A. Chiral tunnelling and the Klein paradox in graphene. Nat. Phys. 2006, 2, 620–625. [Google Scholar] [CrossRef]
- Allain, P.E.; Fuchs, J.N. Klein tunneling in graphene: Optics with massless electrons. Eur. Phys. J. B 2011, 83, 301–317. [Google Scholar] [CrossRef]
- Gumbs, G.; Balassis, A.; Iurov, A.; Fekete, P. Strongly localized image states of spherical graphitic particles. Sci. World J. 2014, 2014, 726303. [Google Scholar] [CrossRef]
- Roslyak, O.; Iurov, A.; Gumbs, G.; Huang, D. Unimpeded tunneling in graphene nanoribbons. J. Phys. Condens. Matter 2010, 22, 165301. [Google Scholar] [CrossRef]
- Iurov, A.; Zhemchuzhna, L.; Gumbs, G.; Huang, D.; Fekete, P.; Anwar, F.; Dahal, D.; Weekes, N. Tailoring plasmon excitations in α-T3 armchair nanoribbons. Sci. Rep. 2021, 11, 20577. [Google Scholar] [CrossRef] [PubMed]
- Illes, E.; Nicol, E. Klein tunneling in the α-T3 model. Phys. Rev. B 2017, 95, 235432. [Google Scholar] [CrossRef]
- Ye, X.; Ke, S.S.; Du, X.W.; Guo, Y.; Lü, H.F. Quantum tunneling in the α-T3 model with an effective mass term. J. Low Temp. Phys. 2020, 199, 1332–1343. [Google Scholar] [CrossRef]
- Cunha, S.; da Costa, D.; Pereira, J.M., Jr.; Costa Filho, R.; Van Duppen, B.; Peeters, F. Tunneling properties in α-T3 lattices: Effects of symmetry-breaking terms. Phys. Rev. B 2022, 105, 165402. [Google Scholar] [CrossRef]
- Mandhour, L.; Bouhadida, F. Klein tunneling in deformed α-T3 lattice. arXiv 2020, arXiv:2004.10144. [Google Scholar]
- Iurov, A.; Zhemchuzhna, L.; Fekete, P.; Gumbs, G.; Huang, D. Klein tunneling of optically tunable Dirac particles with elliptical dispersions. Phys. Rev. Res. 2020, 2, 043245. [Google Scholar] [CrossRef]
- Li, Z.; Cao, T.; Wu, M.; Louie, S.G. Generation of anisotropic massless Dirac fermions and asymmetric Klein tunneling in few-layer black phosphorus superlattices. Nano Lett. 2017, 17, 2280–2286. [Google Scholar] [CrossRef]
- Iurov, A.; Zhemchuzhna, L.; Gumbs, G.; Huang, D.; Fekete, P. Optically modulated tunneling current of dressed electrons in graphene and a dice lattice. Phys. Rev. B 2022, 105, 115309. [Google Scholar] [CrossRef]
- Barbier, M.; Vasilopoulos, P.; Peeters, F. Extra Dirac points in the energy spectrum for superlattices on single-layer graphene. Phys. Rev. B 2010, 81, 075438. [Google Scholar] [CrossRef]
- Iurov, A.; Gumbs, G.; Huang, D. Peculiar electronic states, symmetries, and berry phases in irradiated α-T3 materials. Phys. Rev. B 2019, 99, 205135. [Google Scholar] [CrossRef]
- Kibis, O. Metal-insulator transition in graphene induced by circularly polarized photons. Phys. Rev. B 2010, 81, 165433. [Google Scholar] [CrossRef]
- Barbier, M.; Vasilopoulos, P.; Peeters, F.M. Single-layer and bilayer graphene superlattices: Collimation, additional Dirac points and Dirac lines. Philos. Trans. R. Soc. A Math. Phys. Eng. Sci. 2010, 368, 5499–5524. [Google Scholar] [CrossRef] [PubMed]
- Pereira, J.M.; Peeters, F.; Chaves, A.; Farias, G. Klein tunneling in single and multiple barriers in graphene. Semicond. Sci. Technol. 2010, 25, 033002. [Google Scholar] [CrossRef]
- Dey, B.; Ghosh, T.K. Floquet topological phase transition in the α-T3 lattice. Phys. Rev. B 2019, 99, 205429. [Google Scholar] [CrossRef]
- Iurov, A.; Gumbs, G.; Huang, D. Exchange and correlation energies in silicene illuminated by circularly polarized light. J. Mod. Opt. 2017, 64, 913–920. [Google Scholar] [CrossRef]
- Iurov, A.; Zhemchuzhna, L.; Gumbs, G.; Huang, D. Exploring interacting Floquet states in black phosphorus: Anisotropy and bandgap laser tuning. J. Appl. Phys. 2017, 122, 124301. [Google Scholar] [CrossRef]
- Iorsh, I.; Zezyulin, D.; Kolodny, S.; Sinitskiy, R.; Kibis, O. Floquet engineering of excitons in semiconductor quantum dots. Phys. Rev. B 2022, 105, 165414. [Google Scholar] [CrossRef]
- Kristinsson, K.; Kibis, O.V.; Morina, S.; Shelykh, I.A. Control of electronic transport in graphene by electromagnetic dressing. Sci. Rep. 2016, 6, 20082. [Google Scholar] [CrossRef]
- Tamang, L.; Nag, T.; Biswas, T. Floquet engineering of low-energy dispersions and dynamical localization in a periodically kicked three-band system. Phys. Rev. B 2021, 104, 174308. [Google Scholar] [CrossRef]
- Iurov, A.; Zhemchuzhna, L.; Gumbs, G.; Huang, D.; Tse, W.K.; Blaise, K.; Ejiogu, C. Floquet engineering of tilted and gapped Dirac bandstructure in 1T′-MoS2. Sci. Rep. 2022, 12, 21348. [Google Scholar] [CrossRef]
- Anwar, F.; Iurov, A.; Huang, D.; Gumbs, G.; Sharma, A. Interplay between effects of barrier tilting and scatterers within a barrier on tunneling transport of Dirac electrons in graphene. Phys. Rev. B 2020, 101, 115424. [Google Scholar] [CrossRef]
- Shih, P.H.; Gumbs, G.; Huang, D.; Iurov, A.; Abranyos, Y. Blocked electron transmission/reflection by coupled Rashba–Zeeman effects for forward and backward spin filtering. J. Appl. Phys. 2022, 132, 154302. [Google Scholar] [CrossRef]
- Ang, Y.S.; Ma, Z.; Zhang, C. Chiral-like tunneling of electrons in two-dimensional semiconductors with Rashba spin–orbit coupling. Sci. Rep. 2014, 4, 3780. [Google Scholar] [CrossRef] [PubMed]





Disclaimer/Publisher’s Note: The statements, opinions and data contained in all publications are solely those of the individual author(s) and contributor(s) and not of MDPI and/or the editor(s). MDPI and/or the editor(s) disclaim responsibility for any injury to people or property resulting from any ideas, methods, instructions or products referred to in the content. |
© 2023 by the authors. Licensee MDPI, Basel, Switzerland. This article is an open access article distributed under the terms and conditions of the Creative Commons Attribution (CC BY) license (https://creativecommons.org/licenses/by/4.0/).
Share and Cite
Iurov, A.; Zhemchuzhna, L.; Gumbs, G.; Huang, D. Application of the WKB Theory to Investigate Electron Tunneling in Kek-Y Graphene. Appl. Sci. 2023, 13, 6095. https://doi.org/10.3390/app13106095
Iurov A, Zhemchuzhna L, Gumbs G, Huang D. Application of the WKB Theory to Investigate Electron Tunneling in Kek-Y Graphene. Applied Sciences. 2023; 13(10):6095. https://doi.org/10.3390/app13106095
Chicago/Turabian StyleIurov, Andrii, Liubov Zhemchuzhna, Godfrey Gumbs, and Danhong Huang. 2023. "Application of the WKB Theory to Investigate Electron Tunneling in Kek-Y Graphene" Applied Sciences 13, no. 10: 6095. https://doi.org/10.3390/app13106095
APA StyleIurov, A., Zhemchuzhna, L., Gumbs, G., & Huang, D. (2023). Application of the WKB Theory to Investigate Electron Tunneling in Kek-Y Graphene. Applied Sciences, 13(10), 6095. https://doi.org/10.3390/app13106095
