Review of Magnetic Properties and Texture Evolution in Non-Oriented Electrical Steels
Abstract
1. Introduction
2. Magnetic Properties
2.1. Magnetic Properties under AC Conditions
2.2. Magnetic Properties under DC Conditions
3. Effects of Si Content on NGO Electrical Steels
High Silicon Electrical Steel Ordering
4. Effects of Thermomechanical Processing
5. Effect of Other Elements
5.1. Influence of Mn and S Content
5.2. Influence of Al Content
5.3. Influence of B Content
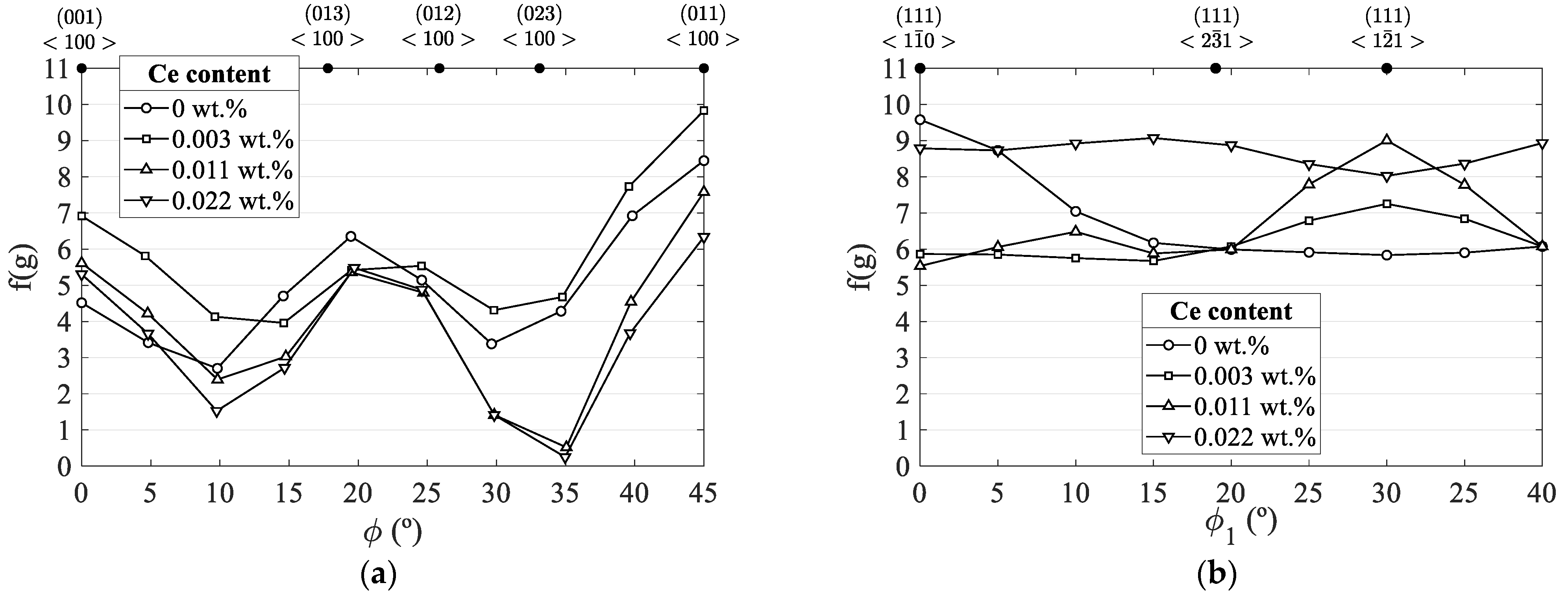
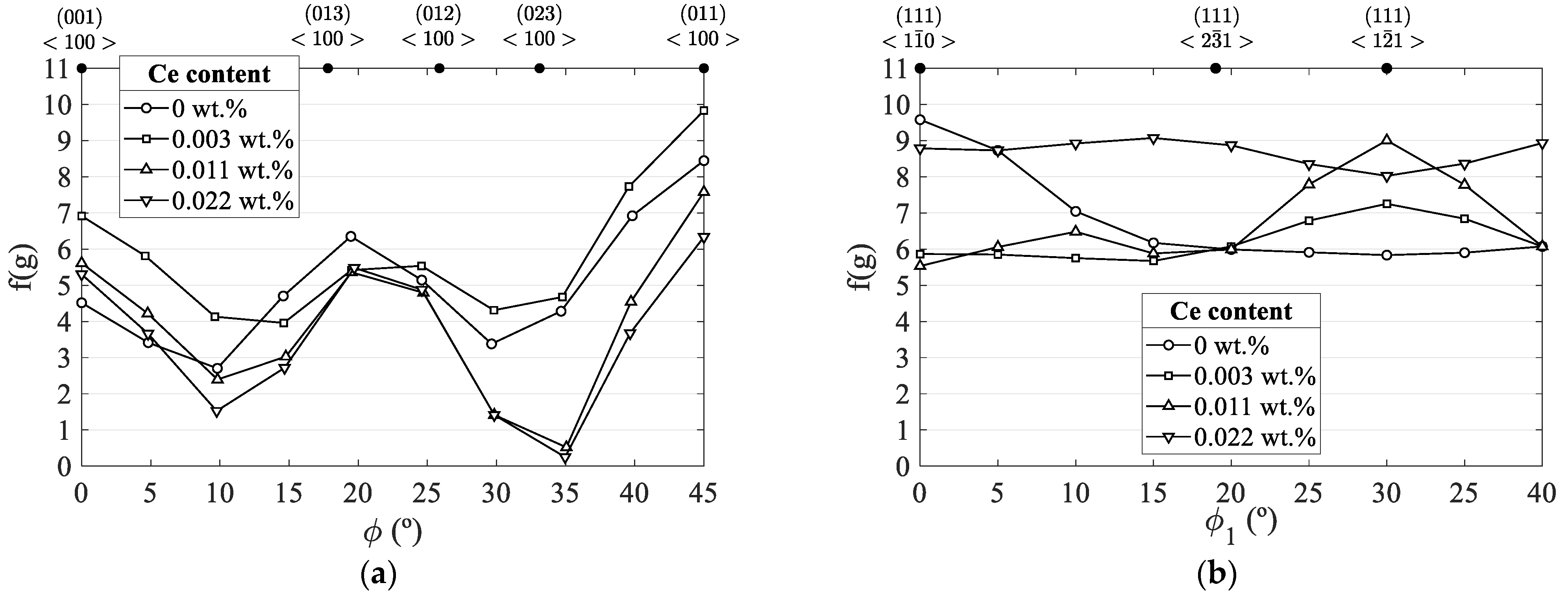
5.4. Influence of Ce and Nb Content
5.5. Influence of Sb, Sn, and P Content
6. Typical Chemistries and Processing Paths
7. Conclusions
Author Contributions
Funding
Acknowledgments
Conflicts of Interest
Nomenclature
| core loss | |
| anomalous loss | |
| eddy current loss | |
| hysteresis loss | |
| c | experimentally determined constant |
| d | grain size |
| peak magnetic induction | |
| t | sample thickness |
| D | material density |
| f | working frequency |
| ρ | material resistivity |
| parameters of eddy current loss | |
| parameters of anomalous loss | |
| parameters of hysteresis loss | |
| B or | magnetic induction |
| H | magnetic field strength |
References
- Ouyang, G.; Chen, X.; Liang, Y.; Macziewski, C.; Cui, J. Review of Fe-6.5 wt.% Si high silicon steel—A promising soft magnetic material for sub-kHz application. J. Magn. Magn. Mater. 2019, 481, 234–250. [Google Scholar] [CrossRef]
- Oda, Y.; Okubo, T.; Takata, M. Recent development of non-oriented electrical steel in JFE steel. JFE Tech. Rep. 2016, 21, 7–13. [Google Scholar]
- Cullity, B.D.; Graham, C.D. Introduction to Magnetic Materials; John Wiley & Sons: Hoboken, NJ, USA, 2011. [Google Scholar]
- Graham, C.D., Jr. Physical origin of losses in conducting ferromagnetic materials. J. Appl. Phys. 1982, 53, 8276–8280. [Google Scholar] [CrossRef]
- Hong, J.; Choi, H.; Lee, S.; Kim, J.K.; Mo Koo, Y. Effect of Al content on magnetic properties of Fe-Al Non-oriented electrical steel. J. Magn. Magn. Mater. 2017, 439, 343–348. [Google Scholar] [CrossRef]
- Bertotti, G.; Canova, A.; Chiampi, M.; Chiarabaglio, D.; Fiorillo, F.; Rietto, A.M. Core loss prediction combining physical models with numerical field analysis. J. Magn. Magn. Mater. 1994, 133, 647–650. [Google Scholar] [CrossRef]
- Moses, A.J. Prediction of core losses of three phase transformers from estimation of the components contributing to the building factor. J. Magn. Magn. Mater. 2003, 254–255, 615–617. [Google Scholar] [CrossRef]
- Podoltsev, A.D.; Kucheryavaya, I.N.; Lebedev, B.B. Analysis of effective resistance and eddy-current losses in multiturn winding of high-frequency magnetic components. IEEE Trans. Magn. 2003, 39, 539–548. [Google Scholar] [CrossRef]
- Gomes, E.; Schneider, J.; Verbeken, K.; Barros, J.; Houbaert, Y. Correlation Between Microstructure, Texture, and Magnetic Induction in Nonoriented Electrical Steels. IEEE Trans. Magn. 2010, 46, 310–313. [Google Scholar] [CrossRef]
- Hou, C.-K. Effect of silicon on the loss separation and permeability of laminated steels. J. Magn. Magn. Mater. 1996, 162, 280–290. [Google Scholar] [CrossRef]
- An, L.-Z.; Wang, Y.; Song, H.-Y.; Wang, G.-D.; Liu, H.-T. Improving magnetic properties of non-oriented electrical steels by controlling grain size prior to cold rolling. J. Magn. Magn. Mater. 2019, 491, 165636. [Google Scholar] [CrossRef]
- Herzer, G. Grain size dependence of coercivity and permeability in nanocrystalline ferromagnets. IEEE Trans. Magn. 1990, 26, 1397–1402. [Google Scholar] [CrossRef]
- Boehm, L.; Hartmann, C.; Gilch, I.; Stoecker, A.; Kawalla, R.; Wei, X.; Hirt, G.; Heller, M.; Korte-Kerzel, S.; Leuning, N. Grain Size Influence on the Magnetic Property Deterioration of Blanked Non-Oriented Electrical Steels. Materials 2021, 14, 7055. [Google Scholar] [CrossRef]
- Füzer, J.; Birčáková, Z.; Zelenáková, A.; Hrubovčák, P.; Kollár, P.; Predmerský, M.; Hunady, J. Investigation of total losses of non-oriented electrical steels. Acta Phys. Pol.-Ser. A Gen. Phys. 2010, 118, 1018. [Google Scholar] [CrossRef]
- De Campos, M.F.; Teixeira, J.C.; Landgraf, F.J.G. The optimum grain size for minimizing energy losses in iron. J. Magn. Magn. Mater. 2006, 301, 94–99. [Google Scholar] [CrossRef]
- Steinmetz, C.P. On the law of hysteresis. Trans. Am. Inst. Electr. Eng. 1892, 9, 1–64. [Google Scholar] [CrossRef]
- Petrovic, D.S. Non-oriented electrical steel sheets. Mater. Tehnol. 2010, 44, 317–325. [Google Scholar]
- Littmann, M. Iron and silicon-iron alloys. IEEE Trans. Magn. 1971, 7, 48–60. [Google Scholar] [CrossRef]
- Hawezy, D. The influence of silicon content on physical properties of non-oriented silicon steel. Mater. Sci. Technol. 2017, 33, 1560–1569. [Google Scholar] [CrossRef]
- Shin, J.S.; Bae, J.S.; Kim, H.J.; Lee, H.M.; Lee, T.D.; Lavernia, E.J.; Lee, Z.H. Ordering–disordering phenomena and micro-hardness characteristics of B2 phase in Fe–(5–6.5%)Si alloys. Mater. Sci. Eng. A 2005, 407, 282–290. [Google Scholar] [CrossRef]
- Swann, P.R.; Grånäs, L.; Lehtinen, B. The B2 and DO3 Ordering Reactions in Iron–Silicon Alloys in the Vicinity of the Curie Temperature. Met. Sci. 1975, 9, 90–96. [Google Scholar] [CrossRef]
- Shimanaka, H.; Ito, Y.; Irie, T.; Matsumura, K.; Nakamura, H.; Shono, Y. Energy efficient electrical steels. In Proceedings of the TMS-AIME Ferrous Metallurgy Committee at the Fall Meeting of the Metallurgical Society of AIME, Pittsburgh, PE, USA, 5–9 October 1980; Volume 193. [Google Scholar]
- Hou, C.-K.; Liao, C.-C. Effect of cerium content on the magnetic properties of non-oriented electrical steels. ISIJ Int. 2008, 48, 531–539. [Google Scholar] [CrossRef]
- Viala, B.; Degauque, J.; Fagot, M.; Baricco, M.; Ferrara, E.; Fiorillo, F. Study of the brittle behaviour of annealed Fe-6.5 wt.%Si ribbons produced by planar flow casting. Mater. Sci. Eng. A 1996, 212, 62–68. [Google Scholar] [CrossRef]
- Narita, K.; Enokizono, M. Effect of nickel and manganese addition on ductility and magnetic properties of 6.5% silicon-iron alloy. IEEE Trans. Magn. 1978, 14, 258–262. [Google Scholar] [CrossRef]
- Haiji, H.; Okada, K.; Hiratani, T.; Abe, M.; Ninomiya, M. Magnetic properties and workability of 6.5% Si steel sheet. J. Magn. Magn. Mater. 1996, 160, 109–114. [Google Scholar] [CrossRef]
- Matsumura, S.; Tanaka, Y.; Koga, Y.; Oki, K. Concurrent ordering and phase separation in the vicinity of the metastable critical point of order–disorder transition in Fe–Si alloys. Mater. Sci. Eng. A 2001, 312, 284–292. [Google Scholar] [CrossRef]
- Ruiz, D.; Yañez, T.R.; Cuello, G.J.; Vandenberghe, R.E.; Houbaert, Y. Order in Fe–Si alloys: A neutron diffraction study. Phys. B Condens. Matter. 2006, 385, 578–580. [Google Scholar] [CrossRef]
- Dieter, G. Mechanical Metallurgy; McGraw-Hill: New York, NY, USA, 1986. [Google Scholar]
- Fu, H.; Yang, Q.; Zhang, Z.; Xie, J. Effects of precipitated phase and order degree on bending properties of an Fe-6.5 wt.% Si alloy with columnar grains. J. Mater. Res. 2011, 26, 1711. [Google Scholar] [CrossRef]
- Narita, K.; Enokizono, M. Effect of ordering on magnetic properties of 6.5-percent silicon-iron alloy. IEEE Trans. Magn. 1979, 15, 911–915. [Google Scholar] [CrossRef]
- Cui, S.; Ouyang, G.; Ma, T.; Macziewski, C.R.; Levitas, V.I.; Zhou, L.; Kramer, M.J.; Cui, J. Thermodynamic and kinetic analysis of the melt spinning process of Fe-6.5 wt.% Si alloy. J. Alloys Compd. 2019, 771, 643–648. [Google Scholar] [CrossRef]
- Zhang, Z.; Wang, W.; Fu, H.; Xie, J. Effect of quench cooling rate on residual stress, microstructure and mechanical property of an Fe–6.5 Si alloy. Mater. Sci. Eng. A 2011, 530, 519–524. [Google Scholar] [CrossRef]
- Fu, H.; Zhang, Z.; Yang, Q.; Xie, J. Strain-softening behavior of an Fe–6.5 wt.% Si alloy during warm deformation and its applications. Mater. Sci. Eng. A 2011, 528, 1391–1395. [Google Scholar] [CrossRef]
- Kestens, L.; Jacobs, S. Texture control during the manufacturing of nonoriented electrical steels. Texture Stress Microstruct. 2008, 2008, 173083. [Google Scholar] [CrossRef]
- Gomes, E.; Schneider, J.; Verbeken, K.; Hermann, H.; Houbaert, Y. Effect of hot and cold rolling on grain size and texture in Fe-Si strips with Si-content larger than 2 wt.%. Mater. Sci. Forum 2010, 638, 3561–3566. [Google Scholar] [CrossRef]
- Verbeken, K.; Schneider, J.; Verstraete, J.; Hermann, H.; Houbaert, Y. Effect of hot and cold rolling on grain size and texture in Fe-2.4 wt.% Si strips. IEEE Trans. Magn. 2008, 44, 3820–3823. [Google Scholar] [CrossRef]
- Jeong, W.C. Effect of hot-rolling temperature on microstructure and texture of an ultra-low carbon Ti-interstitial-free steel. Mater. Lett. 2008, 62, 91–94. [Google Scholar] [CrossRef]
- Du, Y.; O’Malley, R.J.; Buchely, M.F.; Kelly, P. Effect of rolling process on magnetic properties of Fe-3.3 wt.% Si non-oriented electrical steel. Appl. Phys. A Vol. 2022, 129, 1–9. [Google Scholar] [CrossRef]
- Petryshynets, I.; Kováč, F.; Petrov, B.; Falat, L.; Puchý, V. Improving the Magnetic Properties of Non-Oriented Electrical Steels by Secondary Recrystallization Using Dynamic Heating Conditions. Materials 2019, 12, 1914. [Google Scholar] [CrossRef]
- Leuning, N.; Steentjes, S.; Heller, M.; Korte-Kerzel, S.; Hameyer, K. On the correlation of crystallographic macro-texture and magnetic magnetization anisotropy in non-oriented electrical steel. J. Magn. Magn. Mater. 2019, 490, 165485. [Google Scholar] [CrossRef]
- Füzer, J.; Dobák, S.; Petryshynets, I.; Kollár, P.; Kováč, F.; Slota, J. Correlation between Cutting Clearance, Deformation Texture, and Magnetic Loss Prediction in Non-Oriented Electrical Steels. Materials 2021, 14, 6893. [Google Scholar] [CrossRef]
- Hayakawa, Y.; Szpunar, J.A. A new model of Goss texture development during secondary recrystallization of electrical steel. Acta Mater. 1997, 45, 4713–4720. [Google Scholar] [CrossRef]
- Ray, R.K.; Jonas, J.J. Transformation textures in steels. Int. Mater. Rev. 1990, 35, 1–36. [Google Scholar] [CrossRef]
- Humphreys, F.J.; Hatherly, M. Recrystallization and Related Annealing Phenomena; Elsevier: Amsterdam, The Netherlands, 2012. [Google Scholar]
- Sidor, J.J.; Verbeken, K.; Gomes, E.; Schneider, J.; Calvillo, P.R.; Kestens, L.A.I. Through process texture evolution and magnetic properties of high Si non-oriented electrical steels. Mater. Charact. 2012, 71, 49–57. [Google Scholar] [CrossRef]
- Park, J.-T.; Szpunar, J.A. Evolution of recrystallization texture in nonoriented electrical steels. Acta Mater. 2003, 51, 3037–3051. [Google Scholar] [CrossRef]
- Jiao, H.; Xu, Y.; Zhao, L.; Misra, R.D.K.; Tang, Y.; Liu, D.; Hu, Y.; Zhao, M.; Shen, M. Texture evolution in twin-roll strip cast non-oriented electrical steel with strong Cube and Goss texture. Acta Mater. 2020, 199, 311–325. [Google Scholar] [CrossRef]
- Stojakovic, D.; Doherty, R.D.; Kalidindi, S.R.; Landgraf, F.J.G. Thermomechanical Processing for Recovery of Desired <001> Fiber Texture in Electric Motor Steels. Metall. Mater. Trans. A 2008, 39, 1738. [Google Scholar]
- Pedrosa, J.S.M.; da Costa Paolinelli, S.; Cota, A.B. Influence of initial annealing on structure evolution and magnetic properties of 3.4% Si non-oriented steel during final annealing. J. Magn. Magn. Mater. 2015, 393, 146–150. [Google Scholar] [CrossRef]
- Wang, J.; Zhou, B.; Yao, M.; Qiang, L.I.; Chen, W. Formation and control of sharp {100}<021> texture in electrical steel. J. Iron Steel Res. Int. 2006, 13, 54–58. [Google Scholar]
- Takashima, M.; Komatsubara, M.; Morito, N. {001}<210> Texture Development by Two-stage Cold RollingMethod in Non-oriented Electrical Steel. ISIJ Int. 1997, 37, 1263–1268. [Google Scholar]
- Lu, Y.; Zu, G.; Luo, L.; Wang, Y.; Gao, L.; Yuan, L.; Ran, X.; Zhang, X. Investigation of microstructure and properties of strip-cast 4.5 wt.% Si non-oriented electrical steel by different rolling processes. J. Magn. Magn. Mater. 2020, 497, 165975. [Google Scholar] [CrossRef]
- Shan, N.; Liu, J.; Sha, Y.; Zhang, F.; Zuo, L. Development of through-thickness cube recrystallization texture in non-oriented electrical steels by optimizing nucleation environment. Metall. Mater. Trans. A 2019, 50, 2486–2494. [Google Scholar] [CrossRef]
- Inagaki, H. Nucleation of a {111} recrystallized grain at the grain boundary of cold rolled polycrystalline iron. Trans. Jpn. Inst. Met. 1987, 28, 251–263. [Google Scholar] [CrossRef]
- Park, J.-T.; Szpunar, J.A. Effect of initial grain size on texture evolution and magnetic properties in nonoriented electrical steels. J. Magn. Magn. Mater. 2009, 321, 1928–1932. [Google Scholar] [CrossRef]
- Da Cunha, M.A.; da Costa Paolinelli, S. Low core loss non-oriented silicon steels. J. Magn. Magn. Mater. 2008, 320, 2485–2489. [Google Scholar] [CrossRef]
- Grégori, F.; Murakami, K.; Bacroix, B. The influence of microstructural features of individual grains on texture formation by strain-induced boundary migration in non-oriented electrical steels. J. Mater. Sci. 2014, 49, 1764–1775. [Google Scholar] [CrossRef]
- Lee, S.; De Cooman, B.C. Effect of warm rolling on the rolling and recrystallization textures of non-oriented 3% Si steel. ISIJ Int. 2011, 51, 1545–1552. [Google Scholar] [CrossRef]
- De Dafe, S.S.F.; da Costa Paolinelli, S.; Cota, A.B. Influence of thermomechanical processing on shear bands formation and magnetic properties of a 3% Si non-oriented electrical steel. J. Magn. Magn. Mater. 2011, 323, 3234–3238. [Google Scholar] [CrossRef]
- Bacroix, B.; Schneider, J.; Franke, A. Evolution of recrystallization texture in non-oriented electrical steels during final annealing–influence of shear stress after cold rolling. J. Phys. Conf. Ser. 2019, 1270, 12007. [Google Scholar] [CrossRef]
- Atake, M.; Barnett, M.; Hutchinson, B.; Ushioda, K. Warm deformation and annealing behaviour of iron–silicon–(carbon) steel sheets. Acta Mater. 2015, 96, 410–419. [Google Scholar] [CrossRef]
- Yong, Q.L. Secondary Phases in Steels; Metallurgical Industry Press: Beijing, China, 2006; p. 83. [Google Scholar]
- Hasegawa, H.; Nakajima, K.; Mizoguchi, S. The effects of inclusions in steel on MnS precipitation in Fe-Si alloys. Tetsu-to-Hagané 2001, 87, 700–706. [Google Scholar] [CrossRef]
- Hasegawa, H.; Nakajima, K.; Mizoguchi, S. The growth of MnS precipitates in Fe-Si alloys. Tetsu-to-Hagané 2002, 88, 493–499. [Google Scholar] [CrossRef]
- Takamiya, T.; Obara, T.; Muraki, M.; Komatsubara, M. Influence of sulfur content and deformation temperature on precipitation behavior of MnS in 3% Si steel. Tetsu-to-Hagané 2003, 89, 518–523. [Google Scholar] [CrossRef] [PubMed]
- Sun, W.P.; Militzer, M.; Jonas, J.J. Strain-induced nucleation of MnS in electrical steels. Metall. Trans. A 1992, 23, 821–830. [Google Scholar] [CrossRef]
- Du, Y. Effect on cooling rate on magnetic properties of Fe-3.4 wt.% Si Non-oriented electrical steel. 2021; submitted for publication. [Google Scholar]
- De Campos, M.F.; Emura, M.; Landgraf, F.J.G. Consequences of magnetic aging for iron losses in electrical steels. J. Magn. Magn. Mater. 2006, 304, e593–e595. [Google Scholar] [CrossRef]
- Negri, G.M.R.; Sadowski, N.; Batistela, N.J.; Leite, J.V.; Bastos, J.P.A. Magnetic aging effect losses on electrical steels. IEEE Trans. Magn. 2016, 52, 1–4. [Google Scholar] [CrossRef]
- Marra, K.M.; Alvarenga, E.A.; Buono, V.T.L. Magnetic aging anisotropy of a semi-processed non-oriented electrical steel. Mater. Sci. Eng. A 2005, 390, 423–426. [Google Scholar] [CrossRef]
- Rastogi, P. Effect of manganese and sulfur on the texture and magnetic properties of non-oriented steel. IEEE Trans. Magn. 1977, 13, 1448–1450. [Google Scholar] [CrossRef]
- Nakayama, T.; Honjou, N.; Minaga, T.; Yashiki, H. Effects of manganese and sulfur contents and slab reheating temperatures on the magnetic properties of non-oriented semi-processed electrical steel sheet. J. Magn. Magn. Mater. 2001, 234, 55–61. [Google Scholar] [CrossRef]
- Ren, Q.; Hu, Z.; Cheng, L.; Zhang, L. Effect of rare earth elements on magnetic properties of non-oriented electrical steels. J. Magn. Magn. Mater. 2022, 560, 169624. [Google Scholar] [CrossRef]
- Ren, Q.; Yang, W.; Cheng, L.; Hu, Z.; Zhang, L. Effect of calcium treatment on magnetic properties of non-oriented electrical steels. J. Magn. Magn. Mater. 2020, 494, 165803. [Google Scholar] [CrossRef]
- Lyudkovsky, G.; Rastogi, P. Effects of Boron and Zirconium on microstructure and magnetic properties of batch annealed Al-Killed low carbon steels. IEEE Trans. Magn. 1985, 21, 1912–1914. [Google Scholar] [CrossRef]
- Kim, K.N.; Pan, L.M.; Lin, J.P.; Wang, Y.L.; Lin, Z.; Chen, G.L. The effect of boron content on the processing for Fe–6.5 wt.% Si electrical steel sheets. J. Magn. Magn. Mater. 2004, 277, 331–336. [Google Scholar] [CrossRef]
- Wan, Y.; Chen, W. Effect of boron content on the microstructure and magnetic properties of non-oriented electrical steels. J. Wuhan Univ. Technol. -Mater. Sci. Ed. 2015, 30, 574–579. [Google Scholar] [CrossRef]
- Ueno, M.; Inoue, T. Distribution of boron at austenite grain boundaries and bainitic transformation in low carbon steels. Trans. Iron Steel Inst. Jpn. 1973, 13, 210–217. [Google Scholar] [CrossRef]
- Grenoble, H. The role of solutes in the secondary recrystallization of silicon iron. IEEE Trans. Magn. 1977, 13, 1427–1432. [Google Scholar] [CrossRef]
- Takashima, M.; Morito, N.; Honda, A.; Maeda, C. Nonoriented electrical steel sheet with low iron loss for high-efficiency motor cores. IEEE Trans Magn 1999, 35, 557–561. [Google Scholar] [CrossRef]
- Lin, G.; Zhang, Z.; Zhao, F.; Xie, J. Microstructure and plasticity improvement of Nb-microalloyed high-silicon electrical steel. J. Mater. Sci. 2022, 57, 500–516. [Google Scholar] [CrossRef]
- Yu, L.; Luo, H. 2019 Effect of Partial Recrystallization Annealing on Magnetic Properties and Mechanical Properties of Non-Oriented Silicon Steel. Acta Metall. Sin. 2019, 56, 291–300. [Google Scholar]
- Vodopivec, F.; Marinšek, F.; Grešovnik, F.; Gnidovec, D.; Praček, M.; Jenko, M. Effect of antimony of energy losses in non-oriented 1.8 Si, 0.3 Al electrical sheets. J. Magn. Magn. Mater. 1991, 97, 281–285. [Google Scholar] [CrossRef]
- Shimanaka, H.; Irie, T.; Matsumura, K.; Nakamura, H. A new non-oriented Si-steel with texture of {100}. J. Magn. Magn. Mater. 1980, 19, 63–64. [Google Scholar] [CrossRef]
- Lyudkovsky, G.; Rastogi, P.K. Effect of Antimony on Recrystallization Behavior and Magnetic Properties of a Nonoriented Silicon Steel. Metall. Trans. A 1984, 15, 257–260. [Google Scholar] [CrossRef]
- Takashima, M.; Obara, T.; Kan, T. Texture improvement in high-permeability nonoriented electrical steel by antimony addition. J. Mater. Eng. Perform. 1993, 2, 249–254. [Google Scholar] [CrossRef]
- Kubota, T.; Nagai, T. Magnetic properties of high-efficiency core materials NC-M3 and NC-M4. J. Mater. Eng. Perform. 1992, 1, 219–225. [Google Scholar] [CrossRef]
- Kubota, T.; Kuroki, K.; Matsuo, Y.; Takahashi, N. Effect of Sn on Primary Recrystallization Texture of Fe-Si Alloy. Mater. Sci. Forum 1996, 204, 539–544. [Google Scholar] [CrossRef]
- Park, J.T.; Woo, J.S.; Chang, S.K. Effect of phosphorus on the magnetic properties of non-oriented electrical steel containing 0.8 wt.% silicon. J. Magn. Magn. Mater. 1998, 182, 381–388. [Google Scholar] [CrossRef]
- Tanaka, I.; Yashiki, H. Magnetic properties and recrystallization texture evolutions of phosphorus-bearing non-oriented electrical steel sheets. ISIJ Int. 2007, 47, 1666–1671. [Google Scholar] [CrossRef]
- Tanaka, I.; Yashiki, H. Magnetic properties and recrystallization texture of phosphorus-added non-oriented electrical steel sheets. J. Magn. Magn. Mater. 2006, 304, e611–e613. [Google Scholar] [CrossRef]
- Lee, S.; De Cooman, B.C. Effect of phosphorus on the magnetic losses of non-oriented 2% Si steel. ISIJ Int. 2012, 52, 1162–1170. [Google Scholar] [CrossRef]
- Gui, M.; Jia, J.; Li, Q. Influences of trace additions of strontium and phosphorus on electrical resistivity and viscosity of liquid Al-Si alloys. Trans. Nonferrous Met. Soc. China 1997, 7, 67–71. [Google Scholar]
- Gervasyeva, I.V.; Milyutin, V.A.; Mineyev, F.V.; Babushko, Y.Y. Assessment of the textured state of the nonoriented electrical steel for electromobiles and the effect of the texture on the basic magnetic characteristics. Phys. Met. Metallogr. 2020, 121, 618–623. [Google Scholar] [CrossRef]
- Gao, L.; Zeng, L.; Yang, J.; Pei, R. Application of grain-oriented electrical steel used in super-high speed electric machines. AIP Adv. 2020, 10, 015127. [Google Scholar] [CrossRef]











Disclaimer/Publisher’s Note: The statements, opinions and data contained in all publications are solely those of the individual author(s) and contributor(s) and not of MDPI and/or the editor(s). MDPI and/or the editor(s) disclaim responsibility for any injury to people or property resulting from any ideas, methods, instructions or products referred to in the content. |
© 2023 by the authors. Licensee MDPI, Basel, Switzerland. This article is an open access article distributed under the terms and conditions of the Creative Commons Attribution (CC BY) license (https://creativecommons.org/licenses/by/4.0/).
Share and Cite
Du, Y.; O’Malley, R.; Buchely, M.F. Review of Magnetic Properties and Texture Evolution in Non-Oriented Electrical Steels. Appl. Sci. 2023, 13, 6097. https://doi.org/10.3390/app13106097
Du Y, O’Malley R, Buchely MF. Review of Magnetic Properties and Texture Evolution in Non-Oriented Electrical Steels. Applied Sciences. 2023; 13(10):6097. https://doi.org/10.3390/app13106097
Chicago/Turabian StyleDu, Yizhou, Ronald O’Malley, and Mario F. Buchely. 2023. "Review of Magnetic Properties and Texture Evolution in Non-Oriented Electrical Steels" Applied Sciences 13, no. 10: 6097. https://doi.org/10.3390/app13106097
APA StyleDu, Y., O’Malley, R., & Buchely, M. F. (2023). Review of Magnetic Properties and Texture Evolution in Non-Oriented Electrical Steels. Applied Sciences, 13(10), 6097. https://doi.org/10.3390/app13106097

