Ultrasensitive Phototransistor Based on Laser-Induced P-Type Doped WSe2/MoS2 Van der Waals Heterojunction
Abstract
1. Introduction
2. Materials and Methods
2.1. Multilayer WSe2/MoS2 Preparation
2.2. Laser-Scanned Process
2.3. Polydimethylsiloxane (PDMS)-Assisted Transfer
2.4. Device Fabrication
2.5. Optical Characterization
2.6. Electrical Characterization
3. Results and Discussion
3.1. Optical Characterization
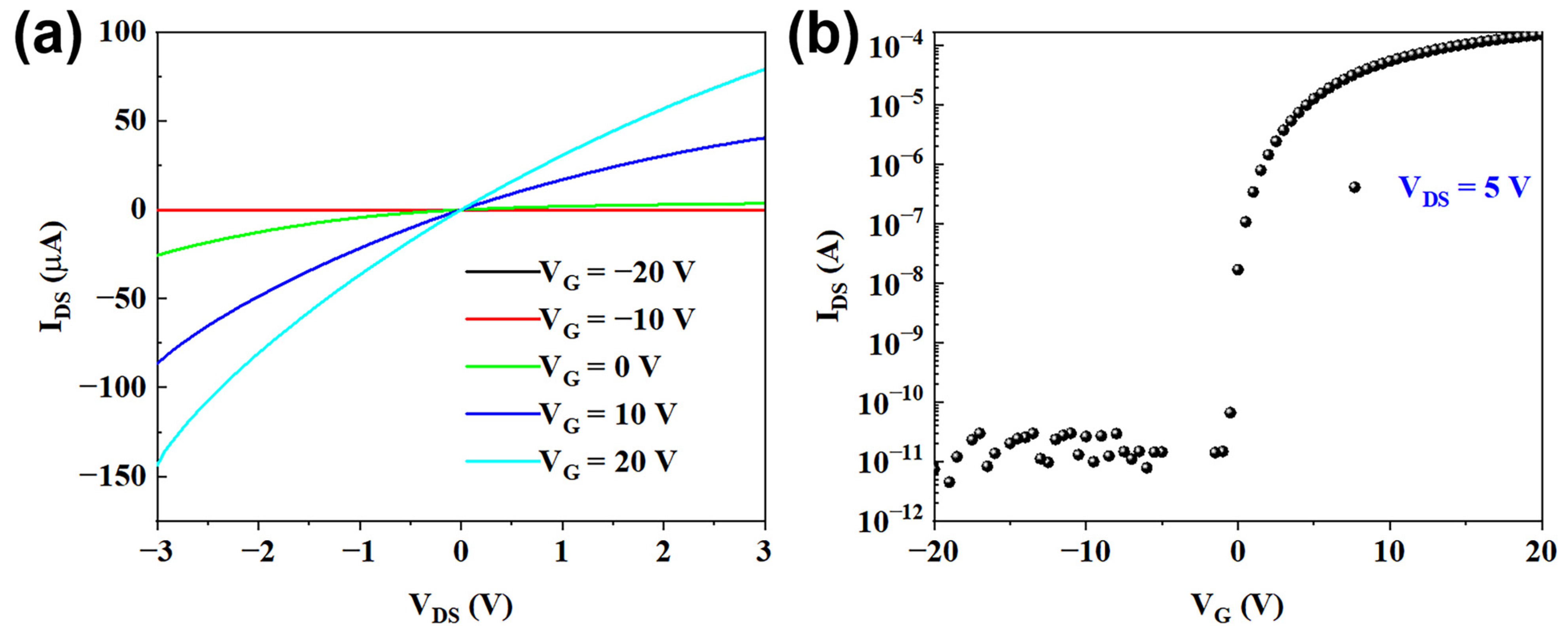
3.2. Electrical Characterization
3.3. Photoresponse
3.4. Time Dependence of Photoresponse
3.5. Floating Gate and Photogating of Photoresponse
4. Conclusions
Supplementary Materials
Author Contributions
Funding
Institutional Review Board Statement
Informed Consent Statement
Data Availability Statement
Conflicts of Interest
References
- Chen, Y.; Wang, Y.; Wang, Z.; Gu, Y.; Ye, Y.; Chai, X.; Ye, J.; Chen, Y.; Xie, R.; Zhou, Y.; et al. Unipolar barrier photodetectors based on van der Waals heterostructures. Nat. Electron. 2021, 4, 357–363. [Google Scholar] [CrossRef]
- Huo, N.; Konstantatos, G. Ultrasensitive all-2D MoS2 phototransistors enabled by an out-of-plane MoS2 PN homojunction. Nat. Commun. 2017, 8, 572. [Google Scholar] [CrossRef] [PubMed]
- Bansal, S.; Sharma, K.; Jain, P.; Sardana, N.; Kumar, S.; Gupta, N.; Singh, A.K. Bilayer graphene/HgCdTe based very long infrared photodetector with superior external quantum efficiency, responsivity, and detectivity. RSC Adv. 2018, 8, 39579–39592. [Google Scholar] [CrossRef] [PubMed]
- Bansal, S.; Singh, A.K.; Das, A.; Jain, P.; Prakash, K.; Sharma, K.; Kumar, N.; Sardana, N.; Gupta, N.; Kumar, S. Enhanced optoelectronic properties of bilayer graphene/HgCdTe-based single- and dual-junction photodetectors in long infrared regime. IEEE Trans. Nanotechnol. 2019, 18, 781–789. [Google Scholar] [CrossRef]
- Chen, J.; Wang, Q.; Sheng, Y.; Cao, G.; Yang, P.; Shan, Y.; Liao, F.; Muhammad, Z.; Bao, W.; Hu, L.; et al. High-performance WSe2 photodetector based on a laser-induced p-n junction. ACS Appl. Mater. Interf. 2019, 11, 43330–43336. [Google Scholar] [CrossRef]
- Shin, G.H.; Park, C.; Lee, K.J.; Jin, H.J.; Choi, S.Y. Ultrasensitive phototransistor based on WSe2-MoS2 van der Waals heterojunction. Nano Lett. 2020, 20, 5741–5748. [Google Scholar] [CrossRef]
- Fang, H.; Chuang, S.; Chang, T.C.; Takei, K.; Takahashi, T.; Javey, A. High-performance single layered WSe2 p-FETs with chemically doped contacts. Nano Lett. 2012, 12, 3788–3792. [Google Scholar] [CrossRef]
- Choi, W.; Cho, M.Y.; Konar, A.; Lee, J.H.; Cha, G.B.; Hong, S.C.; Kim, S.; Kim, J.; Jena, D.; Joo, J. High-detectivity multilayer MoS2 phototransistors with spectral response from ultraviolet to infrared. Adv. Mater. 2012, 24, 5832–5836. [Google Scholar] [CrossRef]
- Xiao, Y.; Qu, J.; Luo, Z.; Chen, Y.; Yang, X.; Zhang, D.; Li, H.; Zheng, B.; Yi, J.; Wu, R. Van der Waals epitaxial growth and optoelectronics of a vertical MoS2/WSe2 p–n junction. Front. Optoelectron. 2022, 15, 41. [Google Scholar] [CrossRef]
- Jeong, M.H.; Ra, H.S.; Lee, S.H.; Kwak, D.H.; Ahn, J.; Yun, W.S.; Lee, J.; Chae, W.S.; Hwang, D.K.; Lee, J.S. Multilayer WSe2/MoS2 heterojunction phototransistors through periodically arrayed nanopore structures for bandgap engineering. Adv. Mater. 2022, 34, 2108412. [Google Scholar] [CrossRef]
- Oh, G.H.; Kim, S.-i.; Kim, T. High-performance Te-doped p-type MoS2 transistor with high-K insulators. J. Alloys Compound. 2021, 860, 157901. [Google Scholar] [CrossRef]
- Zhang, R.; Drysdale, D.; Koutsos, V.; Cheung, R. Controlled layer thinning and p-type doping of WSe2 by vapor XeF2. Adv. Funct. Mater. 2017, 27, 1702455. [Google Scholar] [CrossRef]
- Ma, X.; Zhang, R.; An, C.; Wu, S.; Hu, X.; Liu, J. Efficient doping modulation of monolayer WS2 for optoelectronic applications. Chin. Phys. B 2019, 28, 037803. [Google Scholar] [CrossRef]
- Bie, Y.-Q.; Grosso, G.; Heuck, M.; Furchi, M.M.; Cao, Y.; Zheng, J.; Bunandar, D.; Navarro-Moratalla, E.; Zhou, L.; Efetov, D.K. A MoTe2-based light-emitting diode and photodetector for silicon photonic integrated circuits. Nat. Nanotechnol. 2017, 12, 1124–1129. [Google Scholar] [CrossRef] [PubMed]
- Wang, Q.; Chen, J.; Zhang, Y.; Hu, L.; Liu, R.; Cong, C.; Qiu, Z.-J. Precise layer control of MoTe2 by ozone treatment. Nanomaterials 2019, 9, 756. [Google Scholar] [CrossRef]
- Yang, S.; Lee, G.; Kim, J. Selective p-doping of 2D WSe2 via UV/ozone treatments and its application in field-effect transistors. ACS Appl. Mater. Interf. 2020, 13, 955–961. [Google Scholar] [CrossRef] [PubMed]
- Nipane, A.; Karmakar, D.; Kaushik, N.; Karande, S.; Lodha, S. Few-layer MoS2 p-type devices enabled by selective doping using low energy phosphorus implantation. ACS Nano 2016, 10, 2128–2137. [Google Scholar] [CrossRef] [PubMed]
- Kang, D.-H.; Hong, S.-T.; Oh, A.; Kim, S.-H.; Yu, H.-Y.; Park, J.-H. Nondegenerate n-type doping phenomenon on molybdenum disulfide (MoS2) by zinc oxide (ZnO). Mater. Res. Bullet. 2016, 82, 26–30. [Google Scholar] [CrossRef]
- Luo, T.; Pan, B.; Zhang, K.; Dong, Y.; Zou, C.; Gu, Z.; Zhang, L. Electron beam lithography induced doping in multilayer MoTe2. Appl. Surf. Sci. 2021, 540, 148276. [Google Scholar] [CrossRef]
- Wang, P.; Qu, J.; Wei, Y.; Shi, H.; Wang, J.; Sun, X.; Li, W.; Liu, W.; Gao, B. Spontaneous n-Doping in growing monolayer MoS2 by Alkali metal compound-promoted CVD. ACS Appl. Mater. Interf. 2021, 13, 58144–58151. [Google Scholar] [CrossRef]
- Khalil, H.M.; Khan, M.F.; Eom, J.; Noh, H. Highly stable and yunable chemical doping of multilayer WS2 field effect transistor: Reduction in contact resistance. ACS Appl. Mater. Interf. 2015, 7, 23589–23596. [Google Scholar] [CrossRef] [PubMed]
- Heo, K.; Jo, S.H.; Shim, J.; Kang, D.H.; Kim, J.H.; Park, J.H. Stable and reversible Triphenylphosphine-based n-type doping technique for molybdenum disulfide (MoS2). ACS Appl. Mater. Interf. 2018, 10, 32765–32772. [Google Scholar] [CrossRef] [PubMed]
- Kang, D.-H.; Kim, M.-S.; Shim, J.; Jeon, J.; Park, H.-Y.; Jung, W.-S.; Yu, H.-Y.; Pang, C.-H.; Lee, S.; Park, J.-H. High-performance transition metal dichalcogenide photodetectors enhanced by self-assembled monolayer doping. Adv. Funct. Mater. 2015, 25, 4219–4227. [Google Scholar] [CrossRef]
- Jo, S.H.; Kang, D.H.; Shim, J.; Jeon, J.; Jeon, M.H.; Yoo, G.; Kim, J.; Lee, J.; Yeom, G.Y.; Lee, S.; et al. A high-performance WSe2 /h-BN photodetector using a Triphenylphosphine (PPh3)-based n-doping technique. Adv. Mater. 2016, 28, 4824–4831. [Google Scholar] [CrossRef] [PubMed]
- Zhang, Q.; Ren, Z.; Wu, N.; Wang, W.; Gao, Y.; Zhang, Q.; Shi, J.; Zhuang, L.; Sun, X.; Fu, L. Nitrogen-doping induces tunable magnetism in ReS2. NPJ 2D Mater. Appl. 2018, 2, 22. [Google Scholar] [CrossRef]
- Chen, J.; Zhu, J.; Wang, Q.; Wan, J.; Liu, R. Homogeneous 2D MoTe2 CMOS inverters and p-n junctions formed by laser-irradiation-induced p-type doping. Small 2020, 16, e2001428. [Google Scholar] [CrossRef]
- Chen, J.; Shan, Y.; Wang, Q.; Zhu, J.; Liu, R. P-type laser-doped WSe2/MoTe2 van der Waals heterostructure photodetector. Nanotechnology 2020, 31, 295201. [Google Scholar] [CrossRef]
- Yin, Z.; Li, H.; Li, H.; Jiang, L.; Shi, Y.; Sun, Y.; Lu, G.; Zhang, Q.; Chen, X.; Zhang, H. Single-layer MoS2 phototransistors. ACS Nano 2012, 6, 74–80. [Google Scholar] [CrossRef]
- Mattmann, M.; Roman, C.; Helbling, T.; Bechstein, D.; Durrer, L.; Pohle, R.; Fleischer, M.; Hierold, C. Pulsed gate sweep strategies for hysteresis reduction in carbon nanotube transistors for low concentration NO2 gas detection. Nanotechnology 2010, 21, 185501. [Google Scholar] [CrossRef]
- Carrion, E.; Malik, A.; Behnam, A.; Islam, S.; Feng, X.; Pop, E. Pulsed nanosecond characterization of graphene transistors. In Proceedings of the 70th Device Research Conference, University Park, PA, USA, 18–20 June 2012; pp. 183–184. [Google Scholar] [CrossRef]
- Chen, J.; Zhu, J.; Li, P.; Wu, X.-M.; Liu, R.; Wan, J.; Ren, T.-L. Fabricating in-plane MoTe2 pn homojunction photodetector using laser-induced P-type doping. IEEE Trans. Electron Devices 2021, 68, 4485–4490. [Google Scholar] [CrossRef]
- Doan, M.-H.; Jin, Y.; Adhikari, S.; Lee, S.; Zhao, J.; Lim, S.C.; Lee, Y.H. Charge transport in MoS2/WSe2 van der Waals heterostructure with tunable inversion layer. ACS Nano 2017, 11, 3832–3840. [Google Scholar] [CrossRef] [PubMed]
- Fang, H.; Battaglia, C.; Carraro, C.; Nemsak, S.; Ozdol, B.; Kang, J.S.; Bechtel, H.A.; Desai, S.B.; Kronast, F.; Unal, A.A. Strong interlayer coupling in van der Waals heterostructures built from single-layer chalcogenides. Proc. Nat. Acad. Sci. USA 2014, 111, 6198–6202. [Google Scholar] [CrossRef] [PubMed]
- Cho, S.-Y.; Kim, S.J.; Lee, Y.; Kim, J.-S.; Jung, W.-B.; Yoo, H.-W.; Kim, J.; Jung, H.-T. Highly enhanced gas adsorption properties in vertically aligned MoS2 layers. ACS Nano 2015, 9, 9314–9321. [Google Scholar] [CrossRef] [PubMed]
- Deng, W.; You, C.; Chen, X.; Wang, Y.; Li, Y.; Feng, B.; Shi, K.; Chen, Y.; Sun, L.; Zhang, Y. High-performance photodiode based on atomically thin WSe2/MoS2 nanoscroll integration. Small 2019, 15, 1901544. [Google Scholar] [CrossRef]
- Park, Y.; Baac, H.W.; Heo, J.; Yoo, G. Thermally activated trap charges responsible for hysteresis in multilayer MoS2 field-effect transistors. Appl. Phys. Lett. 2016, 108, 83102. [Google Scholar] [CrossRef]
- Cai, Y.; Zhou, H.; Zhang, G.; Zhang, Y.-W. Modulating carrier density and transport properties of MoS2 by organic molecular doping and defect engineering. Chem. Mater. 2016, 28, 8611–8621. [Google Scholar] [CrossRef]
- Steinhoff, A.; Rosner, M.; Jahnke, F.; Wehling, T.O.; Gies, C. Influence of excited carriers on the optical and electronic properties of MoS2. Nano Lett. 2014, 14, 3743–3748. [Google Scholar] [CrossRef]
- Jiang, J.; Zou, X.; Lv, Y.; Liu, Y.; Xu, W.; Tao, Q.; Chai, Y.; Liao, L. Rational design of Al2O3/2D perovskite heterostructure dielectric for high performance MoS2 phototransistors. Nat. Commun. 2020, 11, 4266. [Google Scholar] [CrossRef]
- Kaushik, N.; Mackenzie, D.M.A.; Thakar, K.; Goyal, N.; Mukherjee, B.; Boggild, P.; Petersen, D.H.; Lodha, S. Reversible hysteresis inversion in MoS2 field effect transistors. NPJ 2D Mater. Appl. 2017, 1, 34. [Google Scholar] [CrossRef]
- Nur, R.; Tsuchiya, T.; Toprasertpong, K.; Terabe, K.; Takagi, S.; Takenaka, M. High responsivity in MoS2 phototransistors based on charge trapping HfO2 dielectrics. Commun. Mater. 2020, 1, 103. [Google Scholar] [CrossRef]
- Liao, F.; Zhou, Z.; Kim, B.J.; Chen, J.; Wang, J.; Wan, T.; Zhou, Y.; Hoang, A.T.; Wang, C.; Kang, J. Bioinspired in-sensor visual adaptation for accurate perception. Nat. Electron. 2022, 5, 84–91. [Google Scholar] [CrossRef]







| Device Structure | R (A·W−1) | D* (Jones) | Rise/Decay Time | Spot Size (Diameter) | Reference |
|---|---|---|---|---|---|
| Laser-induced p-type doped WSe2/MoS2 (5 nm) | 1.28 × 105 | 7.17 × 1013 | - | 1038 nm | This work |
| Out-of-plane WSe2/MoS2 (9 nm) | 2700 | 5 × 1011 | ~10 ms | 872 nm | [6] |
| Out-of-plane MoS2 p-n homojunction (7 nm) | 7 × 104 | 3.5 × 1014 | ~10 ms | 2 mm | [2] |
| Monolayer MoS2 (0.7 nm) | 0.0075 | - | 50/50 ms | 10 µm | [28] |
| Multilayer MoS2 (10 nm) | 0.18 | 3 × 1010 | - | - | [8] |
| Laser-induced p-type doped WSe2 | 0.8 | - | 139/39 ms | 1038 nm | [5] |
Disclaimer/Publisher’s Note: The statements, opinions and data contained in all publications are solely those of the individual author(s) and contributor(s) and not of MDPI and/or the editor(s). MDPI and/or the editor(s) disclaim responsibility for any injury to people or property resulting from any ideas, methods, instructions or products referred to in the content. |
© 2023 by the authors. Licensee MDPI, Basel, Switzerland. This article is an open access article distributed under the terms and conditions of the Creative Commons Attribution (CC BY) license (https://creativecommons.org/licenses/by/4.0/).
Share and Cite
Zhu, J.; Yue, X.; Chen, J.; Wang, J.; Wan, J.; Bao, W.; Hu, L.; Liu, R.; Cong, C.; Qiu, Z. Ultrasensitive Phototransistor Based on Laser-Induced P-Type Doped WSe2/MoS2 Van der Waals Heterojunction. Appl. Sci. 2023, 13, 6024. https://doi.org/10.3390/app13106024
Zhu J, Yue X, Chen J, Wang J, Wan J, Bao W, Hu L, Liu R, Cong C, Qiu Z. Ultrasensitive Phototransistor Based on Laser-Induced P-Type Doped WSe2/MoS2 Van der Waals Heterojunction. Applied Sciences. 2023; 13(10):6024. https://doi.org/10.3390/app13106024
Chicago/Turabian StyleZhu, Junqiang, Xiaofei Yue, Jiajun Chen, Jing Wang, Jing Wan, Wenzhong Bao, Laigui Hu, Ran Liu, Chunxiao Cong, and Zhijun Qiu. 2023. "Ultrasensitive Phototransistor Based on Laser-Induced P-Type Doped WSe2/MoS2 Van der Waals Heterojunction" Applied Sciences 13, no. 10: 6024. https://doi.org/10.3390/app13106024
APA StyleZhu, J., Yue, X., Chen, J., Wang, J., Wan, J., Bao, W., Hu, L., Liu, R., Cong, C., & Qiu, Z. (2023). Ultrasensitive Phototransistor Based on Laser-Induced P-Type Doped WSe2/MoS2 Van der Waals Heterojunction. Applied Sciences, 13(10), 6024. https://doi.org/10.3390/app13106024

