Experimental Study on the Effect of Hydrogen Addition on the Laminar Burning Velocity of Methane/Ammonia–Air Flames
Abstract
1. Introduction
Ammonia Flame Enhancement by Fuel Blending
2. Experimental Setup and Methodology
3. Kinetic Modeling Details
4. Results and Discussions
4.1. Laminar Burning Velocity of Single Fuel
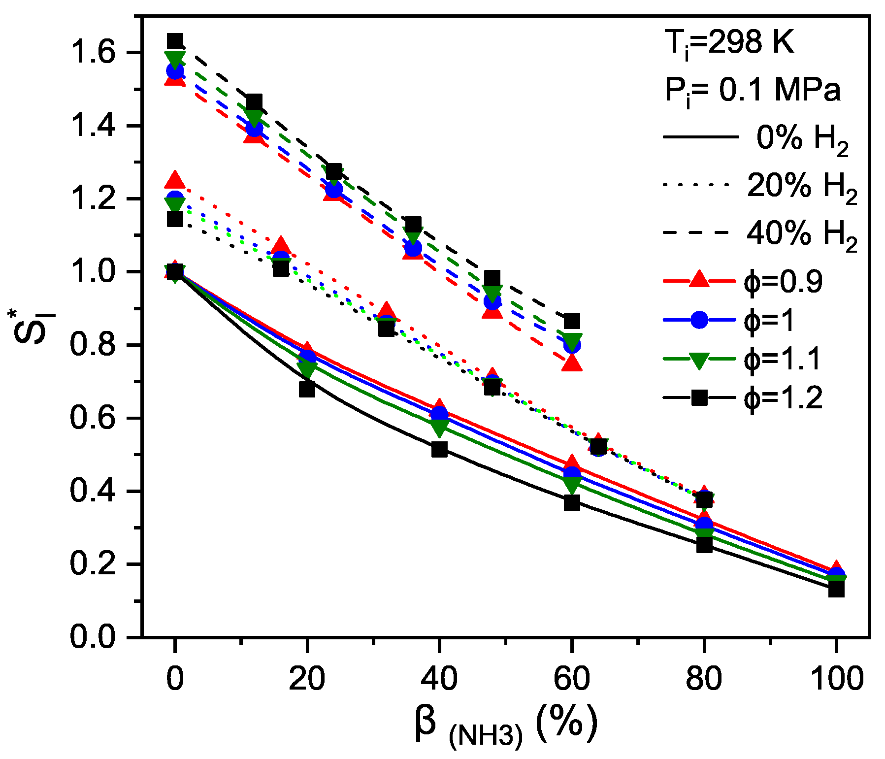
4.2. Laminar Burning Velocity of Binary Fuel Blending
4.3. Laminar Burning Velocity of Ternary Fuel Blending
5. Conclusions
- The LBV decreases non-linearly as the ammonia blending increases for both hydrogen and methane.
- When the hydrogen blend exceeds 20%, there is a noticeable increase in LBV for pure and dual fuel mixtures under all conditions.
- For methane flames with less than 50% ammonia fractions, the maximum LBV is on the slightly rich side of the equivalence ratio. Whenever the amount of methane or hydrogen in a mixture increases, the maximum LBV tends to move toward the rich side.
- The laminar burning velocities of ternary mixtures were estimated by comparing three models under constant temperature and pressure conditions. The Li model shows good agreement with experimental trends at lean and stoichiometric conditions, where ammonia is the dominant fuel in the mixture.
- The accuracy of the Li model appears to improve with an increase in ammonia concentration. Moreover, the Shrestha and Okafor models do not accurately predict the LBV of ternary mixtures. The validation of neat ammonia and methane demonstrates good agreement with prior findings in the literature, and the model predictions align well with experimental measurements.
6. Future Work
Author Contributions
Funding
Institutional Review Board Statement
Data Availability Statement
Conflicts of Interest
References
- Kobayashi, H.; Hayakawa, A.; Somarathne, K.K.A.; Okafor, E.C. Science and technology of ammonia combustion. Proc. Combust. Inst. 2019, 37, 109–133. [Google Scholar] [CrossRef]
- Law, C.K. Combustion Physics; Cambridge University Press: Cambridge, UK, 2010. [Google Scholar]
- Hayakawa, A.; Goto, T.; Mimoto, R.; Kudo, T.; Kobayashi, H. NO formation/reduction mechanisms of ammonia/air premixed flames at various equivalence ratios and pressures. Mech. Eng. J. 2015, 2, 14-00402. [Google Scholar] [CrossRef]
- Lewis, B.; Von Elbe, G. Combustion, Flames and Explosions of Gases; Elsevier: Amsterdam, The Netherlands, 2012. [Google Scholar]
- Vandooren, J.; Bian, J.; Van Tiggelen, P. Comparison of experimental and calculated structures of an ammonia nitric oxide flame. Importance of the NH2 + NO reaction. Combust. Flame 1994, 98, 402–410. [Google Scholar] [CrossRef]
- Michalsky, R.; Parman, B.J.; Amanor-Boadu, V.; Pfromm, P.H. Solar thermochemical production of ammonia from water, air and sunlight: Thermodynamic and economic analyses. Energy 2012, 42, 251–260. [Google Scholar] [CrossRef]
- Ritter, J.A.; Ebner, A.D.; Wang, J.; Zidan, R. Implementing a hydrogen economy. Mater. Today 2003, 6, 18–23. [Google Scholar] [CrossRef]
- Okanishi, T.; Okura, K.; Srifa, A.; Muroyama, H.; Matsui, T.; Kishimoto, M.; Saito, M.; Iwai, H.; Yoshida, H.; Saito, M.; et al. Comparative Study of Ammonia-fueled Solid Oxide Fuel Cell Systems. Fuel Cells 2017, 17, 383–390. [Google Scholar] [CrossRef]
- Miyazaki, K.; Okanishi, T.; Muroyama, H.; Matsui, T.; Eguchi, K. Development of Ni–Ba (Zr, Y) O3 cermet anodes for direct ammonia-fueled solid oxide fuel cells. J. Power Sources 2017, 365, 148–154. [Google Scholar] [CrossRef]
- Chiong, M.C.; Chong, C.T.; Ng, J.H.; Mashruk, S.; Chong, W.W.F.; Samiran, N.A.; Mong, G.R.; Valera-Medina, A. Advancements of combustion technologies in the ammonia-fuelled engines. Energy Convers. Manag. 2021, 244, 114460. [Google Scholar] [CrossRef]
- Rocha, R.C.; Costa, M.; Bai, X.S. Combustion and emission characteristics of ammonia under conditions relevant to modern gas turbines. Combust. Sci. Technol. 2021, 193, 2514–2533. [Google Scholar] [CrossRef]
- Kurien, C.; Mittal, M. Review on the production and utilization of green ammonia as an alternate fuel in dual-fuel compression ignition engines. Energy Convers. Manag. 2022, 251, 114990. [Google Scholar] [CrossRef]
- Boretti, A. Novel dual fuel diesel-ammonia combustion system in advanced TDI engines. Int. J. Hydrogen Energy 2017, 42, 7071–7076. [Google Scholar] [CrossRef]
- Yasiry, A.S.; Shahad, H.A. An experimental study of the effect of hydrogen blending on burning velocity of LPG at elevated pressure. Int. J. Hydrogen Energy 2016, 41, 19269–19277. [Google Scholar] [CrossRef]
- Cai, X.; Wang, J.; Zhang, W.; Xie, Y.; Zhang, M.; Huang, Z. Effects of oxygen enrichment on laminar burning velocities and Markstein lengths of CH4/O2/N2 flames at elevated pressures. Fuel 2016, 184, 466–473. [Google Scholar] [CrossRef]
- Han, J.W.; Lee, C.E.; Kum, S.M.; Hwang, Y.S. Study on the Improvement of Chemical Reaction Mechanism of Methane Based on the Laminar Burning Velocities in OEC. Energy Fuels 2007, 21, 3202–3207. [Google Scholar] [CrossRef]
- Hu, E.; Li, X.; Meng, X.; Chen, Y.; Cheng, Y.; Xie, Y.; Huang, Z. Laminar flame speeds and ignition delay times of methane–air mixtures at elevated temperatures and pressures. Fuel 2015, 158, 1–10. [Google Scholar] [CrossRef]
- Chai, W.S.; Bao, Y.; Jin, P.; Tang, G.; Zhou, L. A review on ammonia, ammonia–hydrogen and ammonia–methane fuels. Renew. Sustain. Energy Rev. 2021, 147, 111254. [Google Scholar] [CrossRef]
- Zhou, S.; Cui, B.; Yang, W.; Tan, H.; Wang, J.; Dai, H.; Li, L.; ur Rahman, Z.; Wang, X.; Deng, S.; et al. An experimental and kinetic modeling study on NH3/air, NH3/H2/air, NH3/CO/air, and NH3/CH4/air premixed laminar flames at elevated temperature. Combust. Flame 2023, 248, 112536. [Google Scholar] [CrossRef]
- Okafor, E.C.; Naito, Y.; Colson, S.; Ichikawa, A.; Kudo, T.; Hayakawa, A.; Kobayashi, H. Experimental and numerical study of the laminar burning velocity of CH4–NH3–air premixed flames. Combust. Flame 2018, 187, 185–198. [Google Scholar] [CrossRef]
- Okafor, E.C.; Naito, Y.; Colson, S.; Ichikawa, A.; Kudo, T.; Hayakawa, A.; Kobayashi, H. Measurement and modeling of the laminar burning velocity of methane–ammonia-air flames at high pressures using a reduced reaction mechanism. Combust. Flame 2019, 204, 162–175. [Google Scholar] [CrossRef]
- Tian, Z.; Li, Y.; Zhang, L.; Glarborg, P.; Qi, F. An experimental and kinetic modeling study of premixed NH3/CH4/O2/Ar flames at low pressure. Combust. Flame 2009, 156, 1413–1426. [Google Scholar] [CrossRef]
- Henshaw, P.F.; D’Andrea, T.; Mann, K.R.; Ting, D.S.K. Premixed ammonia–methane–air combustion. Combust. Sci. Technol. 2005, 177, 2151–2170. [Google Scholar] [CrossRef]
- Arunthanayothin, S.; Stagni, A.; Song, Y.; Herbinet, O.; Faravelli, T.; Battin-Leclerc, F. Ammonia–methane interaction in jet-stirred and flow reactors: An experimental and kinetic modeling study. Proc. Combust. Inst. 2021, 38, 345–353. [Google Scholar] [CrossRef]
- Shu, T.; Xue, Y.; Zhou, Z.; Ren, Z. An experimental study of laminar ammonia/methane/air premixed flames using expanding spherical flames. Fuel 2021, 290, 120003. [Google Scholar] [CrossRef]
- Han, X.; Wang, Z.; Costa, M.; Sun, Z.; He, Y.; Cen, K. Experimental and kinetic modeling study of laminar burning velocities of NH3/air, NH3/H2/air, NH3/CO/air and NH3/CH4/air premixed flames. Combust. Flame 2019, 206, 214–226. [Google Scholar] [CrossRef]
- Wang, S.; Wang, Z.; Elbaz, A.M.; Han, X.; He, Y.; Costa, M.; Konnov, A.A.; Roberts, W.L. Experimental study and kinetic analysis of the laminar burning velocity of NH3/syngas/air, NH3/CO/air and NH3/H2/air premixed flames at elevated pressures. Combust. Flame 2020, 221. [Google Scholar] [CrossRef]
- Ichikawa, A.; Hayakawa, A.; Kitagawa, Y.; Somarathne, K.K.A.; Kudo, T.; Kobayashi, H. Laminar burning velocity and Markstein length of ammonia/hydrogen/air premixed flames at elevated pressures. Int. J. Hydrogen Energy 2015, 40, 9570–9578. [Google Scholar] [CrossRef]
- Wang, N.; Huang, S.; Zhang, Z.; Li, T.; Yi, P.; Wu, D.; Chen, G. Laminar burning characteristics of ammonia/hydrogen/air mixtures with laser ignition. Int. J. Hydrogen Energy 2021, 46, 31879–31893. [Google Scholar] [CrossRef]
- Lhuillier, C.; Brequigny, P.; Lamoureux, N.; Contino, F.; Mounaïm-Rousselle, C. Experimental investigation on laminar burning velocities of ammonia/hydrogen/air mixtures at elevated temperatures. Fuel 2020, 263, 116653. [Google Scholar] [CrossRef]
- Shrestha, K.P.; Lhuillier, C.; Barbosa, A.A.; Brequigny, P.; Contino, F.; Mounaïm-Rousselle, C.; Seidel, L.; Mauss, F. An experimental and modeling study of ammonia with enriched oxygen content and ammonia/hydrogen laminar flame speed at elevated pressure and temperature. Proc. Combust. Inst. 2021, 38, 2163–2174. [Google Scholar] [CrossRef]
- Goldmann, A.; Dinkelacker, F. Approximation of laminar flame characteristics on premixed ammonia/hydrogen/nitrogen/air mixtures at elevated temperatures and pressures. Fuel 2018, 224, 366–378. [Google Scholar] [CrossRef]
- Li, R.; Konnov, A.A.; He, G.; Qin, F.; Zhang, D. Chemical mechanism development and reduction for combustion of NH3/H2/CH4 mixtures. Fuel 2019, 257, 116059. [Google Scholar] [CrossRef]
- Kumar, P.; Meyer, T.R. Experimental and modeling study of chemical-kinetics mechanisms for H2–NH3–air mixtures in laminar premixed jet flames. Fuel 2013, 108, 166–176. [Google Scholar] [CrossRef]
- Mitu, M.; Razus, D.; Schroeder, V. Laminar Burning Velocities of Hydrogen-Blended Methane–Air and Natural Gas–Air Mixtures, Calculated from the Early Stage of p (t) Records in a Spherical Vessel. Energies 2021, 14, 7556. [Google Scholar] [CrossRef]
- Salzano, E.; Pio, G.; Ricca, A.; Palma, V. The effect of a hydrogen addition to the premixed flame structure of light alkanes. Fuel 2018, 234, 1064–1070. [Google Scholar] [CrossRef]
- Nilsson, E.J.; van Sprang, A.; Larfeldt, J.; Konnov, A.A. The comparative and combined effects of hydrogen addition on the laminar burning velocities of methane and its blends with ethane and propane. Fuel 2017, 189, 369–376. [Google Scholar] [CrossRef]
- Huang, Z.; Zhang, Y.; Zeng, K.; Liu, B.; Wang, Q.; Jiang, D. Measurements of laminar burning velocities for natural gas–hydrogen–air mixtures. Combust. Flame 2006, 146, 302–311. [Google Scholar] [CrossRef]
- Hermanns, R.; Konnov, A.; Bastiaans, R.; De Goey, L.; Lucka, K.; Köhne, H. Effects of temperature and composition on the laminar burning velocity of CH4 + H2 + O2 + N2 flames. Fuel 2010, 89, 114–121. [Google Scholar] [CrossRef]
- Coppens, F.; De Ruyck, J.; Konnov, A.A. Effects of hydrogen enrichment on adiabatic burning velocity and NO formation in methane+ air flames. Exp. Therm. Fluid Sci. 2007, 31, 437–444. [Google Scholar] [CrossRef]
- Hu, E.; Huang, Z.; He, J.; Jin, C.; Zheng, J. Experimental and numerical study on laminar burning characteristics of premixed methane–hydrogen–air flames. Int. J. Hydrogen Energy 2009, 34, 4876–4888. [Google Scholar] [CrossRef]
- TANOUE, K.; GOTO, S.; SHIMADA, F.; HAMATAKE, T. Effects of Hydrogen Addition on Stretched Premixed Laminar Methane Flames: 2nd Report, Effects on Flame Structure and Combustion Mechanisms. Trans. Jpn. Soc. Mech. Eng. Ser. B 2003, 69, 169–176. [Google Scholar] [CrossRef]
- Okafor, E.C.; Nagano, Y.; Kitagawa, T. Experimental and theoretical analysis of cellular instability in lean H2-CH4-air flames at elevated pressures. Int. J. Hydrogen Energy 2016, 41, 6581–6592. [Google Scholar] [CrossRef]
- Lee, J.; Kim, J.; Park, J.; Kwon, O. Studies on properties of laminar premixed hydrogen-added ammonia/air flames for hydrogen production. Int. J. Hydrogen Energy 2010, 35, 1054–1064. [Google Scholar] [CrossRef]
- Saleh, A.M.; Shahad, H.A.; Abdulraheem, A.A. Effect of Propane-Methanol Blending Ratio on the Stretched and Unstretched Flame Speeds at Elevated Initial Temperatures. FME Trans. 2022, 50, 121–130. [Google Scholar] [CrossRef]
- Chen, Z. On the accuracy of laminar flame speeds measured from outwardly propagating spherical flames: Methane/air at normal temperature and pressure. Combust. Flame 2015, 162, 2442–2453. [Google Scholar] [CrossRef]
- Dai, H.; Wang, J.; Cai, X.; Su, S.; Zhao, H.; Huang, Z. Measurement and scaling of turbulent burning velocity of ammonia/methane/air propagating spherical flames at elevated pressure. Combust. Flame 2022, 242, 112183. [Google Scholar] [CrossRef]
- Smith, G.P. GRI-Mech Homepage. 1999. Available online: http://www.me.berkeley.edu/gri-mech/ (accessed on 13 November 2022).
- Design, R. CHEMKIN-PRO 15112. San Diego 2011, 6, 17–55. [Google Scholar]
- Wu, Y.; Modica, V.; Rossow, B.; Grisch, F. Effects of pressure and preheating temperature on the laminar flame speed of methane/air and acetone/air mixtures. Fuel 2016, 185, 577–588. [Google Scholar] [CrossRef]
- Hayakawa, A.; Goto, T.; Mimoto, R.; Arakawa, Y.; Kudo, T.; Kobayashi, H. Laminar burning velocity and Markstein length of ammonia/air premixed flames at various pressures. Fuel 2015, 159, 98–106. [Google Scholar] [CrossRef]
- Mei, B.; Zhang, X.; Ma, S.; Cui, M.; Guo, H.; Cao, Z.; Li, Y. Experimental and kinetic modeling investigation on the laminar flame propagation of ammonia under oxygen enrichment and elevated pressure conditions. Combust. Flame 2019, 210, 236–246. [Google Scholar] [CrossRef]
- Li, J.; Huang, H.; Kobayashi, N.; He, Z.; Nagai, Y. Study on using hydrogen and ammonia as fuels: Combustion characteristics and NOx formation. Int. J. Energy Res. 2014, 38, 1214–1223. [Google Scholar] [CrossRef]
- Li, J.; Huang, H.; Kobayashi, N.; Wang, C.; Yuan, H. Numerical study on laminar burning velocity and ignition delay time of ammonia flame with hydrogen addition. Energy 2017, 126, 796–809. [Google Scholar] [CrossRef]









| Property/Fuel | NH | H | CH |
|---|---|---|---|
| Boiling temperature at 0.1 MPa (°C) | −33.4 | −252.9 | −161 |
| Lower heating value (MJ/kg) | 18.6 | 120 | 50.0 |
| Flammability limit () | 0.63–1.40 | 0.10–7.1 | 0.50–1.7 |
| Adiabatic flame temperature (K) | 1800 | 2110 | 1950 |
| Laminar burning velocity (m/s) | 0.07 | 2.91 | 0.37 |
| Auto ignition temperature (°C) | 650 | 520 | 630 |
| Main Fuel % | H | NH | CH | × 10 | ×10 | × 10 | |||||
|---|---|---|---|---|---|---|---|---|---|---|---|
| H | NH | CH | W/(m·k) | J/kg/K | m/s | m/s | |||||
| 0 | 0 | 100 | 0 | 0 | 1 | 2224 | 7.518 | 2.41 | 1077.9 | 1.59 | 1.98 |
| 20 | 80 | 0 | 0.2 | 0.8 | 2210 | 7.507 | 2.41 | 1085.84 | 1.58 | 1.98 | |
| 40 | 60 | 0 | 0.4 | 0.6 | 2192 | 7.491 | 2.41 | 1096.21 | 1.58 | 1.97 | |
| 60 | 40 | 0 | 0.6 | 0.4 | 2167 | 7.467 | 2.41 | 1110.33 | 1.57 | 1.96 | |
| 80 | 20 | 0 | 0.8 | 0.2 | 2130 | 7.427 | 2.41 | 1130.72 | 1.57 | 1.95 | |
| 100 | 0 | 0 | 1 | 0 | 2072 | 7.350 | 2.41 | 1162.7 | 1.56 | 1.93 | |
| 20 | 0 | 100 | 0.2 | 0 | 0.8 | 2234 | 7.471 | 2.60 | 1095.8 | 1.62 | 2.13 |
| 20 | 80 | 0.2 | 0.16 | 0.64 | 2222 | 7.455 | 2.62 | 1105.46 | 1.621 | 2.15 | |
| 40 | 60 | 0.2 | 0.32 | 0.48 | 2208 | 7.435 | 2.64 | 1117.85 | 1.622 | 2.16 | |
| 60 | 40 | 0.2 | 0.48 | 0.32 | 2188 | 7.406 | 2.68 | 1134.35 | 1.625 | 2.18 | |
| 80 | 20 | 0.2 | 0.64 | 0.16 | 2160 | 7.363 | 2.72 | 1157.41 | 1.627 | 2.21 | |
| 100 | 0 | 0.2 | 0.8 | 0 | 2118 | 7.294 | 2.79 | 1191.91 | 1.63 | 2.25 | |
| 40 | 0 | 100 | 0.4 | 0 | 0.6 | 2247 | 7.404 | 2.85 | 1121.48 | 1.66 | 2.35 |
| 20 | 80 | 0.4 | 0.12 | 0.48 | 2239 | 7.384 | 2.89 | 1133.08 | 1.67 | 2.38 | |
| 40 | 60 | 0.4 | 0.24 | 0.36 | 2228 | 7.360 | 2.95 | 1147.62 | 1.68 | 2.42 | |
| 60 | 40 | 0.4 | 0.36 | 0.24 | 2214 | 7.328 | 3.01 | 1166.37 | 1.68 | 2.47 | |
| 80 | 20 | 0.4 | 0.48 | 0.12 | 2196 | 7.285 | 3.10 | 1191.49 | 1.70 | 2.53 | |
| 100 | 0 | 0.4 | 0.6 | 0 | 2170 | 7.223 | 3.22 | 1226.86 | 1.71 | 2.62 | |
| 100 | 0 | 0 | 1 | 0 | 0 | 2378 | 6.875 | 4.95 | 1390.31 | 2.13 | 4.16 |
| Model | Species | Reactions | Fuels | Method | T (K) | P (MPa) | |
|---|---|---|---|---|---|---|---|
| Li [33] | 51 | 420 | H/NH/CH | Shock tube ignition delay modeling | 1000–2000 | 0.1–5 | 0.5/1/1.2 |
| Okafor [21] | 59 | 356 | NH/CH | Cylindrical constant volume chamber | 298 | 0.1 | 0.8–1.3 |
| Shrestha [31] | 125 | 1099 | H/NH | Spherical combustion chamber | 298–473 | 0.1–1 | 0.7–1.7 |
Disclaimer/Publisher’s Note: The statements, opinions and data contained in all publications are solely those of the individual author(s) and contributor(s) and not of MDPI and/or the editor(s). MDPI and/or the editor(s) disclaim responsibility for any injury to people or property resulting from any ideas, methods, instructions or products referred to in the content. |
© 2023 by the authors. Licensee MDPI, Basel, Switzerland. This article is an open access article distributed under the terms and conditions of the Creative Commons Attribution (CC BY) license (https://creativecommons.org/licenses/by/4.0/).
Share and Cite
Yasiry, A.; Wang, J.; Zhang, L.; Dai, H.; Abdulraheem, A.A.A.; Shahad, H.A.K.; Huang, Z. Experimental Study on the Effect of Hydrogen Addition on the Laminar Burning Velocity of Methane/Ammonia–Air Flames. Appl. Sci. 2023, 13, 5853. https://doi.org/10.3390/app13105853
Yasiry A, Wang J, Zhang L, Dai H, Abdulraheem AAA, Shahad HAK, Huang Z. Experimental Study on the Effect of Hydrogen Addition on the Laminar Burning Velocity of Methane/Ammonia–Air Flames. Applied Sciences. 2023; 13(10):5853. https://doi.org/10.3390/app13105853
Chicago/Turabian StyleYasiry, Ahmed, Jinhua Wang, Longkai Zhang, Hongchao Dai, Ahmed A. A. Abdulraheem, Haroun A. K. Shahad, and Zuohua Huang. 2023. "Experimental Study on the Effect of Hydrogen Addition on the Laminar Burning Velocity of Methane/Ammonia–Air Flames" Applied Sciences 13, no. 10: 5853. https://doi.org/10.3390/app13105853
APA StyleYasiry, A., Wang, J., Zhang, L., Dai, H., Abdulraheem, A. A. A., Shahad, H. A. K., & Huang, Z. (2023). Experimental Study on the Effect of Hydrogen Addition on the Laminar Burning Velocity of Methane/Ammonia–Air Flames. Applied Sciences, 13(10), 5853. https://doi.org/10.3390/app13105853

