Modeling and Characteristic Analysis of Combined Beam Tri-Stable Piezoelectric Energy Harvesting System Considering Gravity
Abstract
1. Introduction
2. Structure and Mathematical Model of CTEHS
2.1. Structure of CTEHS
2.2. Mathematical Model of CTEHS
2.2.1. Magnetism Model
2.2.2. Resilience Model
2.2.3. Motion Equation of CTEHS
3. Simulation Analysis of CTEHS
3.1. Analysis of Bifurcation Characteristics of System Static Solution
3.1.1. Influence of End Magnet Mass on the (,) Bifurcation Diagram
3.1.2. Influence of End Magnet Mass on the (,) Bifurcation Diagram
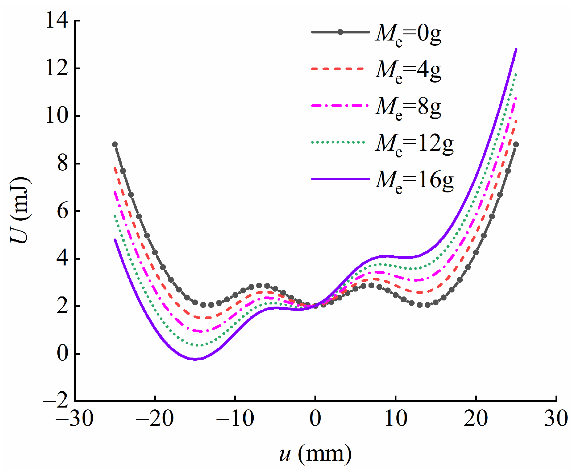
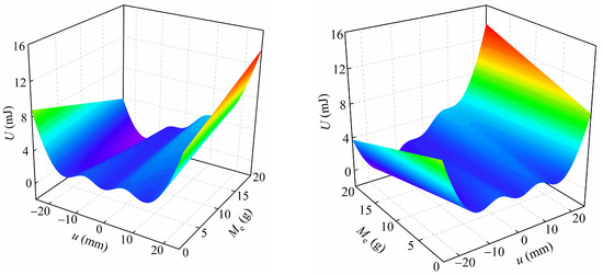
3.2. Analysis of Potential Energy
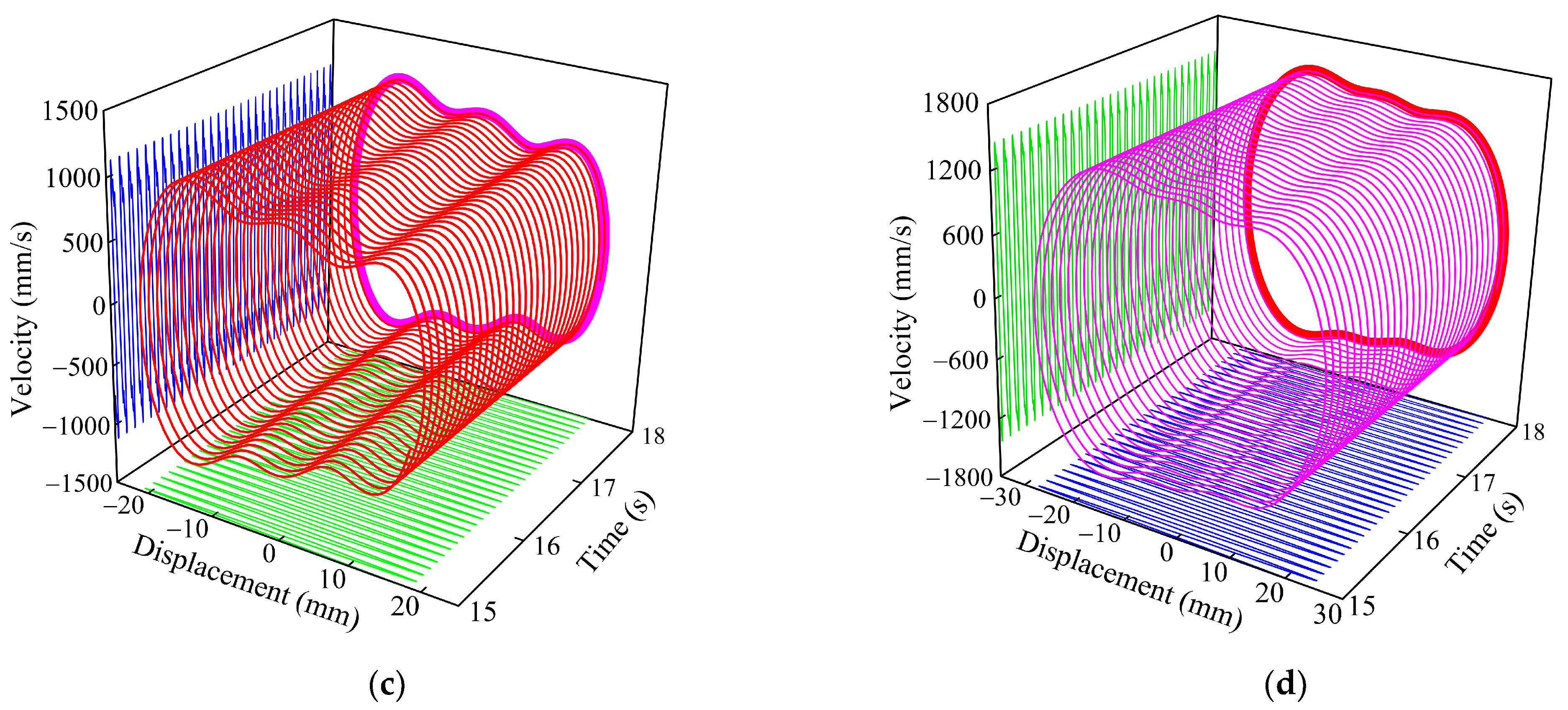
3.3. Analysis of System Response Characteristics
3.3.1. Influence of End Magnet Mass on System Response Characteristics
3.3.2. Influence of Initial Vibration Point on System Response Characteristics
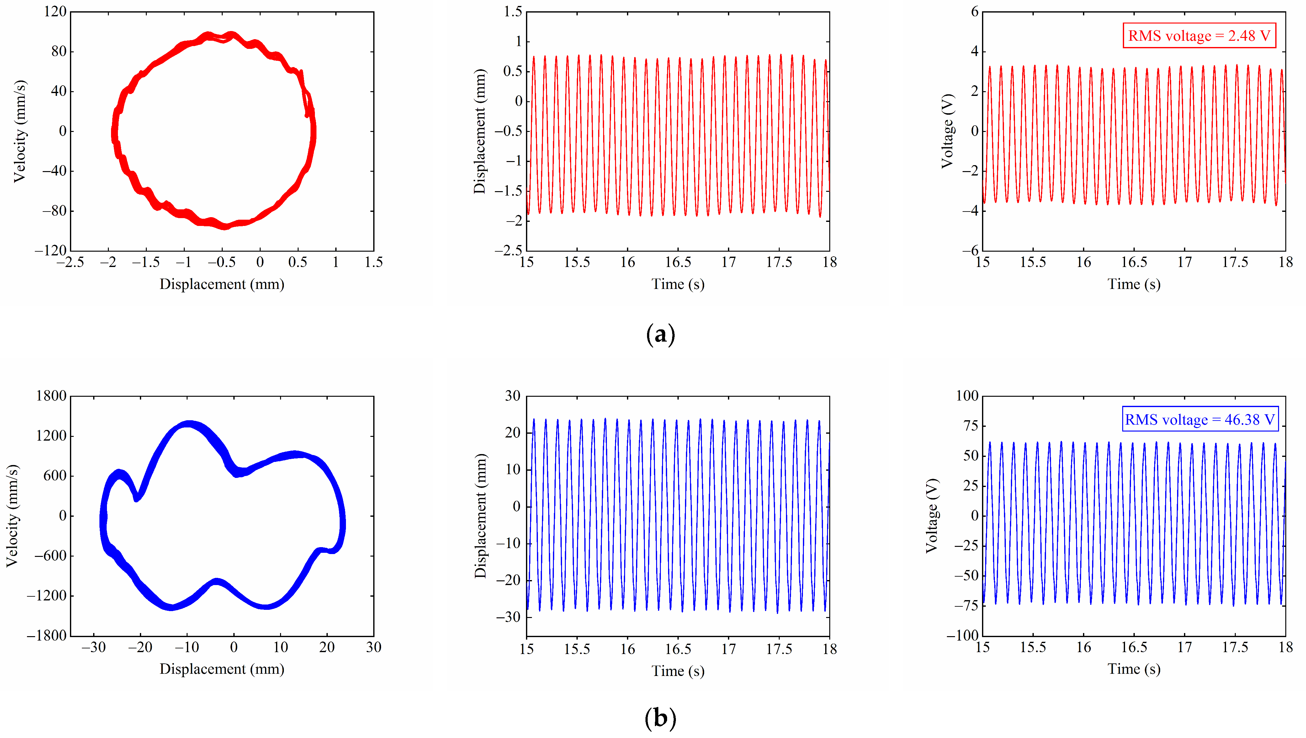
4. Experimental Validation
5. Conclusions
Author Contributions
Funding
Institutional Review Board Statement
Informed Consent Statement
Data Availability Statement
Acknowledgments
Conflicts of Interest
References
- Muduli, L.; Mishra, D.P.; Jana, P.K. Application of wireless sensor network for environmental monitoring in underground coal mines: A systematic review. J. Netw. Comput. Appl. 2018, 106, 48–67. [Google Scholar] [CrossRef]
- Lei, X.; Wu, Y. Research on mechanical vibration monitoring based on wireless sensor network and sparse Bayes. EURASIP J. Wirel. Commun. 2020, 2020, 225. [Google Scholar] [CrossRef]
- Kafi, M.A.; Challal, Y.; Djenouri, D.; Doudou, M.; Bouabdallah, A.; Badache, N. A Study of Wireless Sensor Networks for Urban Traffic Monitoring: Applications and Architectures. Procedia Comput. Sci. 2013, 19, 617–626. [Google Scholar] [CrossRef]
- Tang, X.; Wang, X.; Cattley, R.; Gu, F.; Ball, A.D. Energy Harvesting Technologies for Achieving Self-Powered Wireless Sensor Networks in Machine Condition Monitoring: A Review. Sensors 2018, 18, 4113. [Google Scholar] [CrossRef]
- Wei, C.; Jing, X. A comprehensive review on vibration energy harvesting: Modelling and realization. Renew. Sustain. Energy Rev. 2017, 74, 1–18. [Google Scholar] [CrossRef]
- Saadon, S.; Sidek, O. A review of vibration-based MEMS piezoelectric energy harvesters. Energy Convers. Manag. 2011, 52, 500–504. [Google Scholar] [CrossRef]
- Safaei, M.; Sodano, H.A.; Anton, S.R. A review of energy harvesting using piezoelectric materials: State-of-the-art a decade later (2008–2018). Smart Mater. Struct. 2019, 28, 113001. [Google Scholar] [CrossRef]
- Yang, Z.; Zhou, S.; Zu, J.; Inman, D. High-Performance Piezoelectric Energy Harvesters and Their Applications. Joule 2018, 2, 642–697. [Google Scholar] [CrossRef]
- Lumentut, M.F.; Howard, I.M. Analytical and experimental comparisons of electromechanical vibration response of a piezoelectric bimorph beam for power harvesting. Mech. Syst. Signal Process. 2013, 36, 66–86. [Google Scholar] [CrossRef]
- Upadrashta, D.; Yang, Y. Finite element modeling of nonlinear piezoelectric energy harvesters with magnetic interaction. Smart Mater. Struct. 2015, 24, 45013–45042. [Google Scholar] [CrossRef]
- Zhang, Y.; Tang, L.; Liu, K. Piezoelectric energy harvesting with a nonlinear energy sink. J. Intell. Mater. Syst. Struct. 2017, 28, 307–322. [Google Scholar] [CrossRef]
- Zhang, H.; Sui, W.; Yang, C.; Zhang, L.; Song, R.; Wang, J. An asymmetric magnetic-coupled bending-torsion piezoelectric energy harvester: Modeling and experimental investigation. Smart Mater. Struct. 2021, 31, 15037. [Google Scholar] [CrossRef]
- Wang, S.; Chen, Z.; Wang, Z.; Xie, Z.; Gong, Y.; Gao, Y.; Huang, W. A magnetically coupled two-degrees-of-freedom piezoelectric energy harvester using torsional spring. J. Intell. Mater. Syst. Struct. 2022, 33, 2346–2356. [Google Scholar] [CrossRef]
- Hu, G.; Tang, L.; Das, R.; Marzocca, P. A two-degree-of-freedom piezoelectric energy harvester with stoppers for achieving enhanced performance. Int. J. Mech. Sci. 2018, 149, 500–507. [Google Scholar] [CrossRef]
- Liu, S.; Cheng, Q.; Zhao, D.; Feng, L. Theoretical modeling and analysis of two-degree-of-freedom piezoelectric energy harvester with stopper. Sens. Actuators A Phys. 2016, 245, 97–105. [Google Scholar] [CrossRef]
- Chen, Y.; Yan, Z. Nonlinear analysis of axially loaded piezoelectric energy harvesters with flexoelectricity. Int. J. Mech. Sci. 2020, 173, 105473. [Google Scholar] [CrossRef]
- Qian, F.; Zhou, S.; Zuo, L. Approximate solutions and their stability of a broadband piezoelectric energy harvester with a tunable potential function. Commun. Nonlinear Sci. 2020, 80, 104984. [Google Scholar] [CrossRef]
- Jiang, J.; Liu, S.; Feng, L.; Zhao, D. A Review of Piezoelectric Vibration Energy Harvesting with Magnetic Coupling Based on Different Structural Characteristics. Micromachines 2021, 12, 436. [Google Scholar] [CrossRef]
- Hou, C.; Shan, X.; Zhang, L.; Song, R.; Yang, Z. Design and Modeling of a Magnetic-Coupling Monostable Piezoelectric Energy Harvester Under Vortex-Induced Vibration. IEEE Access 2020, 8, 108913–108927. [Google Scholar] [CrossRef]
- Fan, K.; Tan, Q.; Liu, H.; Zhang, Y.; Cai, M. Improved energy harvesting from low-frequency small vibrations through a monostable piezoelectric energy harvester. Mech. Syst. Signal Process. 2019, 117, 594–608. [Google Scholar] [CrossRef]
- Harne, R.L.; Wang, K.W. A review of the recent research on vibration energy harvesting via bistable systems. Smart Mater. Struct. 2013, 22, 23001. [Google Scholar] [CrossRef]
- Wang, H.; Tang, L. Modeling and experiment of bistable two-degree-of-freedom energy harvester with magnetic coupling. Mech. Syst. Signal Process. 2017, 86, 29–39. [Google Scholar] [CrossRef]
- Zhou, S.; Lallart, M.; Erturk, A. Multistable vibration energy harvesters: Principle, progress, and perspectives. J. Sound Vib. 2022, 528, 116886. [Google Scholar] [CrossRef]
- Yang, T.; Cao, Q. Dynamics and high-efficiency of a novel multi-stable energy harvesting system. Chaos Soliton. Fract. 2020, 131, 109516. [Google Scholar] [CrossRef]
- Xie, Z.; Huang, B.; Fan, K.; Zhou, S.; Huang, W. A magnetically coupled nonlinear T-shaped piezoelectric energy harvester with internal resonance. Smart Mater. Struct. 2019, 28, 11LT01. [Google Scholar] [CrossRef]
- Wang, C.; Zhang, Q.; Wang, W. Low-frequency wideband vibration energy harvesting by using frequency up-conversion and quin-stable nonlinearity. J. Sound Vib. 2017, 399, 169–181. [Google Scholar] [CrossRef]
- Jiang, J.; Liu, S.; Zhao, D.; Feng, L. Broadband power generation of piezoelectric vibration energy harvester with magnetic coupling. J. Intell. Mater. Syst. Struct. 2019, 30, 2272–2282. [Google Scholar] [CrossRef]
- Fan, K.; Tan, Q.; Zhang, Y.; Liu, S.; Cai, M.; Zhu, Y. A monostable piezoelectric energy harvester for broadband low-level excitations. Appl. Phys. Lett. 2018, 112, 123901. [Google Scholar] [CrossRef]
- Xie, Z.; Zhou, S.; Xiong, J.; Huang, W. The benefits of a magnetically coupled asymmetric monostable dual-cantilever energy harvester under random excitation. J. Intell. Mater. Syst. Struct. 2019, 30, 3136–3145. [Google Scholar] [CrossRef]
- Ferrari, M.; Ferrari, V.; Guizzetti, M.; Andò, B.; Baglio, S.; Trigona, C. Improved energy harvesting from wideband vibrations by nonlinear piezoelectric converters. Sens. Actuators A Phys. 2010, 162, 425–431. [Google Scholar] [CrossRef]
- Erturk, A.; Inman, D.J. Broadband piezoelectric power generation on high-energy orbits of the bistable Duffing oscillator with electromechanical coupling. J. Sound Vib. 2011, 330, 2339–2353. [Google Scholar] [CrossRef]
- Lan, C.; Qin, W. Enhancing ability of harvesting energy from random vibration by decreasing the potential barrier of bistable harvester. Mech. Syst. Signal Process. 2017, 85, 71–81. [Google Scholar] [CrossRef]
- Zhou, S.; Cao, J.; Inman, D.J.; Lin, J.; Liu, S.; Wang, Z. Broadband tristable energy harvester: Modeling and experiment verification. Appl. Energy 2014, 133, 33–39. [Google Scholar] [CrossRef]
- Jung, J.; Kim, P.; Lee, J.; Seok, J. Nonlinear dynamic and energetic characteristics of piezoelectric energy harvester with two rotatable external magnets. Int. J. Mech. Sci. 2015, 92, 206–222. [Google Scholar] [CrossRef]
- Sun, S.; Leng, Y.; Su, X.; Zhang, Y.; Chen, X.; Xu, J. Performance of a novel dual-magnet tri-stable piezoelectric energy harvester subjected to random excitation. Energy Convers. Manag. 2021, 239, 114246. [Google Scholar] [CrossRef]
- Zhou, Z.; Qin, W.; Zhu, P. Harvesting performance of quad-stable piezoelectric energy harvester: Modeling and experiment. Mech. Syst. Signal Process. 2018, 110, 260–272. [Google Scholar] [CrossRef]
















| Component | Parameter | Value | Unit |
|---|---|---|---|
| Length | 40 | mm | |
| Width | 8 | mm | |
| Combined Beam part | Thickness | 0.2 | mm |
| Density | 8300 | kg/m3 | |
| Young’s Modulus | 128 | GPa | |
| Length | 40 | mm | |
| Width | 8 | mm | |
| Thickness | 0.11 | mm | |
| PVDF part | Density | 1780 | kg/m3 |
| Young’s Modulus | 3 | GPa | |
| Piezoelectric Stress Constant | −11.5 | C/m2 | |
| Length | 10 | mm | |
| Width | 10 | mm | |
| Magnet part | Thickness | 5 | mm |
| Mass | 3.75 | g | |
| Magnetization Intensity | 4.5 × 105 | A/m |
Disclaimer/Publisher’s Note: The statements, opinions and data contained in all publications are solely those of the individual author(s) and contributor(s) and not of MDPI and/or the editor(s). MDPI and/or the editor(s) disclaim responsibility for any injury to people or property resulting from any ideas, methods, instructions or products referred to in the content. |
© 2022 by the authors. Licensee MDPI, Basel, Switzerland. This article is an open access article distributed under the terms and conditions of the Creative Commons Attribution (CC BY) license (https://creativecommons.org/licenses/by/4.0/).
Share and Cite
Zhang, X.; Xu, H.; Pan, J.; Chen, X.; Zhu, F.; Guo, Y.; Tian, H.; Cheng, Y. Modeling and Characteristic Analysis of Combined Beam Tri-Stable Piezoelectric Energy Harvesting System Considering Gravity. Appl. Sci. 2023, 13, 94. https://doi.org/10.3390/app13010094
Zhang X, Xu H, Pan J, Chen X, Zhu F, Guo Y, Tian H, Cheng Y. Modeling and Characteristic Analysis of Combined Beam Tri-Stable Piezoelectric Energy Harvesting System Considering Gravity. Applied Sciences. 2023; 13(1):94. https://doi.org/10.3390/app13010094
Chicago/Turabian StyleZhang, Xuhui, Hengtao Xu, Jianan Pan, Xiaoyu Chen, Fulin Zhu, Yan Guo, Hao Tian, and Yujun Cheng. 2023. "Modeling and Characteristic Analysis of Combined Beam Tri-Stable Piezoelectric Energy Harvesting System Considering Gravity" Applied Sciences 13, no. 1: 94. https://doi.org/10.3390/app13010094
APA StyleZhang, X., Xu, H., Pan, J., Chen, X., Zhu, F., Guo, Y., Tian, H., & Cheng, Y. (2023). Modeling and Characteristic Analysis of Combined Beam Tri-Stable Piezoelectric Energy Harvesting System Considering Gravity. Applied Sciences, 13(1), 94. https://doi.org/10.3390/app13010094

