Abstract
Accurate prediction of blasting vibration associated with tunnel engineering is essential to ensure the safety and stability of tunnel excavation and to prevent any damage or distress to adjacent existing tunnels. Based on the dimensional analysis principle, this paper deduces the classical Sadovsky formula, analyzes its limitations from a mathematical point of view, and proves the feasibility of using this principle to derive a prediction model of blasting vibration. On this basis, considering the influence factors of blasting vibration such as the rock density, delay initiation time, and number of free surfaces, a new prediction model that can simultaneously consider the influence of the vibration in near-field and far-field blasting is proposed, and its rationality is explained. Combined with a case study, comparative analysis, variance analysis, and Akaike information criterion, the results show that the new prediction model can effectively solve the difference in blasting vibration in different types of blast holes and different areas, and the calculated results are in better agreement with the monitoring data than is the Sadovsky formula. Overall, this study provides a new solution and reference for more accurate prediction of blasting vibration.
1. Introduction
In tunnel construction, the use of explosives for rock mass excavation offers several technical and economic advantages when compared with other excavation methods. However, given the several safety issues and, particularly, environmental impacts associated with blasts, for example, when dealing with an urban environment, ground-borne vibrations play a significant role in the application of blasts for rock excavation, as they can lead to lower severity consequences, such as the discomfort of nearby populations or malfunctions in sensitive equipment, and high-severity consequences such as structural building damage [1,2]. Given this, ground-borne vibrations have been a target for higher environmental restrictions, with the publication of new standards all over the world. These restrictions may be critical for the productivity and feasibility of geotechnical projects, and prediction models have become increasingly important.
To control ground vibration production due to a blast, there is the need to impose certain maximum allowable vibration amplitudes that affect infrastructures. In 1962, the U. S. Bureau of Mines published a review for estimating damage to structures due to vibrations produced by blasts [3]. In this review, field data and associated structural damage observations were subjected to a thorough statistical analysis to determine if one of the variables, ground displacement, velocity, or acceleration, is more reliable than the others for damage estimates of structures. It was concluded that particle velocity was the most closely related to the degree of structural damage. Therefore, peak particle velocity (hereafter abbreviated as V) has been used as the controlling parameter in many countries and regions [4,5], such as China’s safety code for blasting [6].
Then, to correctly answer these damage criteria, the next step was to determine the means of predicting ground vibration levels for a given blast operation. The U. S. Bureau of Mines published the first results of statistical studies [7] based on ground vibration monitoring data from quarries and construction sites, which resulted in a well-known ground vibration prediction model that relates particle velocity as a function of the distance and explosive charge weight per delay. Since then, many studies have presented different relations between these three parameters. The studies of Kumar et al. [8] and Görgülü et al. [9] made a summary of the several mathematical models presented over the decades by different authors that related ground vibration amplitudes to the so-called scaled distance. In fact, these kinds of formulas are actually derived from regression statistics and have good guiding significance for vibration control in the far field of blasting.
However, the tests and studies on the near-field vibration of tunnel blasting indicate that they are not suitable for the calculation and control of the near-field vibration of blasting and cannot guide the drilling and blasting construction of an adjacent tunnel [10,11]. Because the rock response near explosives is a highly nonlinear problem [12], and these formulas are mostly expressed as linear relations, the effects of millisecond blasting delay time, charge length, and explosive detonation velocity on blasting vibration velocity are not considered [13]. Therefore, it is obviously inappropriate to use these formulas to solve all the prediction problems of blasting vibration velocity.
In China’s blasting engineering, when evaluating the vibration impact of blasting on different types of ground buildings, equipment in the central control room of power stations, tunnels and roadways, high rock slopes, and newly poured mass concrete, the Sadovsky formula is usually used to calculate the peak particle vibration velocity of the foundation where the protection object is located. In addition, with the support of a large number of test data, the reference values of and under different lithology conditions in the blasting area are put forward [6]. The prediction effect of this formula in the near field of blasting is also unsatisfactory, but due to its simple calculation, it is still widely used as a trend analysis rather than for accurate prediction in many engineering practices.
Following the above-mentioned work, this paper first discusses the shortcomings of the Sadovsky formula at the mathematical level, then considers the influence of various factors on blasting vibration with their mutual influence and deduces a prediction model of peak particle velocity through dimensional analysis. Then, this model and the Sadovsky formula [14] are utilized to predict the vibration velocity as a comparative analysis based on the vibration data of near-field blasting collected from a small-spacing tunnel at Badaling station of Beijing Zhangjiakou high-speed railway. On this basis, variance analysis and Akaike information criterion are used to evaluate the advantages of the new model compared with the traditional model in terms of prediction accuracy and application scope, as well as its uniqueness in dealing with the impact of changes in geological conditions, cavity effects, and the number of free surfaces.
2. Dimensional Analysis
A comprehensive analysis of the factors affecting the blasting vibration velocity is carried out, and the most important influencing factors are determined [15]; then, the relationship model between the blasting vibration velocity and the main influencing factors is obtained using the principle of dimensional analysis.
2.1. Propagation Mechanism and Influencing Factors of Ground Vibration
Explosive detonation will have an intense impact on the geotechnical medium around the blast hole, which is essentially a dynamic process of the propagation and disturbance of the impact stress wave in the geotechnical medium. This phenomenon can be described as a very rapid release of energy in a very short time and the produced high stresses are attenuated with increasing distance and time. According to the energy attenuation rate and consumption, the amplitude, properties, waveform, and action time of the stress wave are constantly changing in this process, and the rock crushing, cracking, vibration, and other damages to varying degrees are caused from the center of the explosive to the outside.
The magnitude of these damages, especially the amplitude of ground vibration, will show different changes with time, geological conditions, initiation mode, distance from the detonation center, and charging structure. The factors affecting vibration propagation can be roughly divided into three categories. These parameters and their dimensions in each category are as follows [16]:
In terms of explosives: maximum charge per delay , explosive density , charge density , expansion coefficient of detonation , energy released by unit explosive , initiation time per delay , detonation velocity , detonation time , propagation velocity of shock wave in rock , initial pressure of detonation gas , shock wave pressure , etc.
Rock: system stiffness (force required to compress rock unit displacement) k , initial density , elastic modulus , Poisson’s ratio , yield limit , minimum resistance line , longitudinal wave velocity , rock wave impedance , etc.
Charge structure (geometric parameters): distance from the detonation center , radius of blast hole , radius of charge loaded into the blast hole , decoupling coefficient , elevation difference , explosive spacing , density coefficient of blast hole , etc.
2.2. Derivation of Sadovsky Formula Based on Dimensional Analysis Principle
The Sadovsky formula is derived from the principle of dimensional analysis under the condition of concentrated charge blasting. In the process of deriving the Sadovsky formula, the main factors affecting the blasting vibration velocity are considered as follows: maximum charge per delay , distance from the detonation center , rock density , and rock longitudinal wave velocity .
The function expression of the ground-borne vibration is:
Since the rank of the matrix obtained from all quantities according to the basic dimensions is 3, the , , and can be taken as the basic dimensions, and the dimensions are , , and , respectively. Then, the number of zero-dimensional quantities is , which can be represented as:
According to the principle of dimensional consistency, the solutions are , , ; , , , i.e., , .
Then, in terms of the π theorem , thus , as required. Furthermore, the can be replaced by .
The rock density and rock longitudinal wave velocity are constants in a certain blasting engineering, so the commonly used form of the Sadovsky formula can be obtained,
where is characteristic constant of the blasting site, and is the attenuation coefficient.
2.3. Limitations of Classical Blasting Vibration Sadovsky Formula
In the classic Sadovsky formula , only the and among the above factors are considered in the study of blasting vibration velocity. The influence of other factors (including and ) on the variation in the blasting vibration velocity is all reflected in the coefficients and , and these two coefficients are mainly obtained by regression fitting according to the field monitoring data. Therefore, when using this formula to predict blasting vibration, the construction must be carried out first to obtain clear monitoring data, rather than the prediction of blasting vibration before construction. This will inevitably lead to the weak timeliness of vibration prediction and cannot give timely and accurate guidance to construction.
Meanwhile, since and comprehensively reflect the impact of many factors on blasting vibration, including the geological conditions of the blasting site, blasting attenuation conditions, and blasting mode, the specific performance of these factors cannot be defined. They will change under the influence of different blasting designs and geological conditions, so the values of and will also change accordingly and unpredictably. This is the reason why the Sadovsky formula is not universal in general [17].
On the other hand, even if the specific values of each influencing factor are determined, the specific and values cannot be determined through theoretical analysis but can only be obtained by fitting the vibration monitoring data of the project. Therefore, the Sadovsky formula based on the regression fitting of the field monitoring data can only be effectively applied to the project in which the monitoring data is obtained but has little guiding significance for other projects. This is reflected in many engineering practices [18,19,20,21], and the reason is closely related to the factors considered in the formula and its derivation method.
2.4. Method
In order to more accurately and effectively predict the blasting vibration velocity and guide the actual engineering construction, it is necessary to comprehensively consider the factors affecting the blasting vibration, separate these factors from and , and specify the specific form of each factor in the formula, so as to determine the specific contribution value of these factors to the blasting vibration velocity. In theory, the most accurate prediction formula takes all the influencing factors into account, and the blasting vibration velocity can be obtained only by bringing the independent variables into the calculation.
The main factors affecting blasting vibration shall be comprehensively considered: maximum charge per delay , delayed initiation time of each stage , initial density , longitudinal wave velocity , decoupling coefficient , distance from the detonation center , length of blast hole l, radius of blast hole b, number of free surfaces n (value of 1 or 2: number of free surfaces corresponding to cut hole blasting is 1; number of free surfaces corresponding to other hole blasting is 2), free surface area , etc.
The symbols, units, and dimensions of influencing factors are shown in Table 1.
Table 1.
Influencing factors of blasting vibration velocity.
The variables Q, R, T, V, , C, l, b, b/a, A, and n can be written into a matrix in the form of mass (M), length (L), and time (T):
By solving the homogeneous equations , eight independent zero-dimensional quantities can be obtained:
According to the Buckingham π theorem, the function can be obtained as:
The relationship equation is:
According to the actual engineering experience, the complexity of practical problems, statistical influencing factors, the difficulty of monitoring data, the cost of obtaining data, the feasibility of the final scheme, and the collinearity caused by too many influencing factors are comprehensively considered to simplify the problem. Some secondary factors and effect repeatability factors are deleted, and only the following main factors that have a direct impact on the vibration in the near field of blasting are considered: maximum charge per delay , initiation time per delay , initial density , distance from the detonation center , and the number of free surfaces n.
Then, the above solution changes into the following process:
Three independent zero-dimensional quantities are obtained:
According to the Buckingham π theorem, the function can be obtained as:
The new relationship equation is:
A reasonable explanation of the blasting vibration prediction Formula (15): The blasting vibration velocity is inversely proportional to the blasting delay time. The longer the blasting delay time, the smaller the superposition energy at a certain point, and the smaller the rock vibration caused. This is consistent with the facts. Since the blasting vibration velocity is directly proportional to the maximum charge per detonating period, it can be concluded that is negative, so that the blasting vibration velocity is inversely proportional to the third power of the distance, which is also in line with reality.
When other conditions remain unchanged and only the rock density is different, if the maximum charge per detonating period is the same, the force acting on the rock is the same, so the displacement caused by the force acting on the rock with low density will be relatively large. Under the condition of the same action time, since the velocity is the ratio of displacement to time, the vibration velocity caused by blasting will be relatively high in the rock with low density. Therefore, the blasting vibration velocity is inversely proportional to the density of the rock.
Three factors not considered in the Sadovsky formula are added to Formula (15), which will further improve the accuracy of blasting vibration prediction.
3. Case Study
In order to ensure the stable operation of the sensor and obtain more accurate vibration data near the blasting source, the blasting monitoring area was selected in the section with three parallel tunnels. The tunnels on both sides were constructed first, and the progress of the middle tunnel was slightly slow, with a difference of 50~80 m. Considering the site geology and construction conditions, the velocity sensors were assembled at the bottom of five parallel measuring holes in the rock wall with a thickness of 6 m between the right-line and the middle-line tunnel. One end of the sensing line was connected to the sensor connector, and the other end extended out of the hole through the hollow steel pipe. The depths of these holes were 5 m, 4 m, 3 m, 2 m, and 1 m and filled with a mixture of cement and coal ash. The interval between the holes was 1 m. The TC-4850 blasting vibration meter and TCB-B3 large-range triaxial vibration velocity sensor were used in this test. The layout of sensors and measuring points is shown in Figure 1.
Figure 1.
Layout of testing sensors and measuring points: (a) speed sensors; (b) placement of measuring points; (c) distribution of measuring points.
The rock conditions of each construction cycle are different, so the parameters such as the total charge used in the actual blasting or the total charge of the blast holes in each detonating period are different. Hundreds of groups of data were measured under the conditions of different charge quantities and different distances from the explosion center. Due to space limitations, some vibration monitoring data are listed in Table 2.
Table 2.
Blasting vibration monitoring data.
Figure 2 is a box chart showing the logarithm of vibration velocity in three directions. It can be found that the overall distribution of data is reasonable except for individual maxima.
Figure 2.
Box chart of three-direction vibration velocity.
4. Vibration near Blasting Area
4.1. Vibration Model Based on Sadovsky Formula
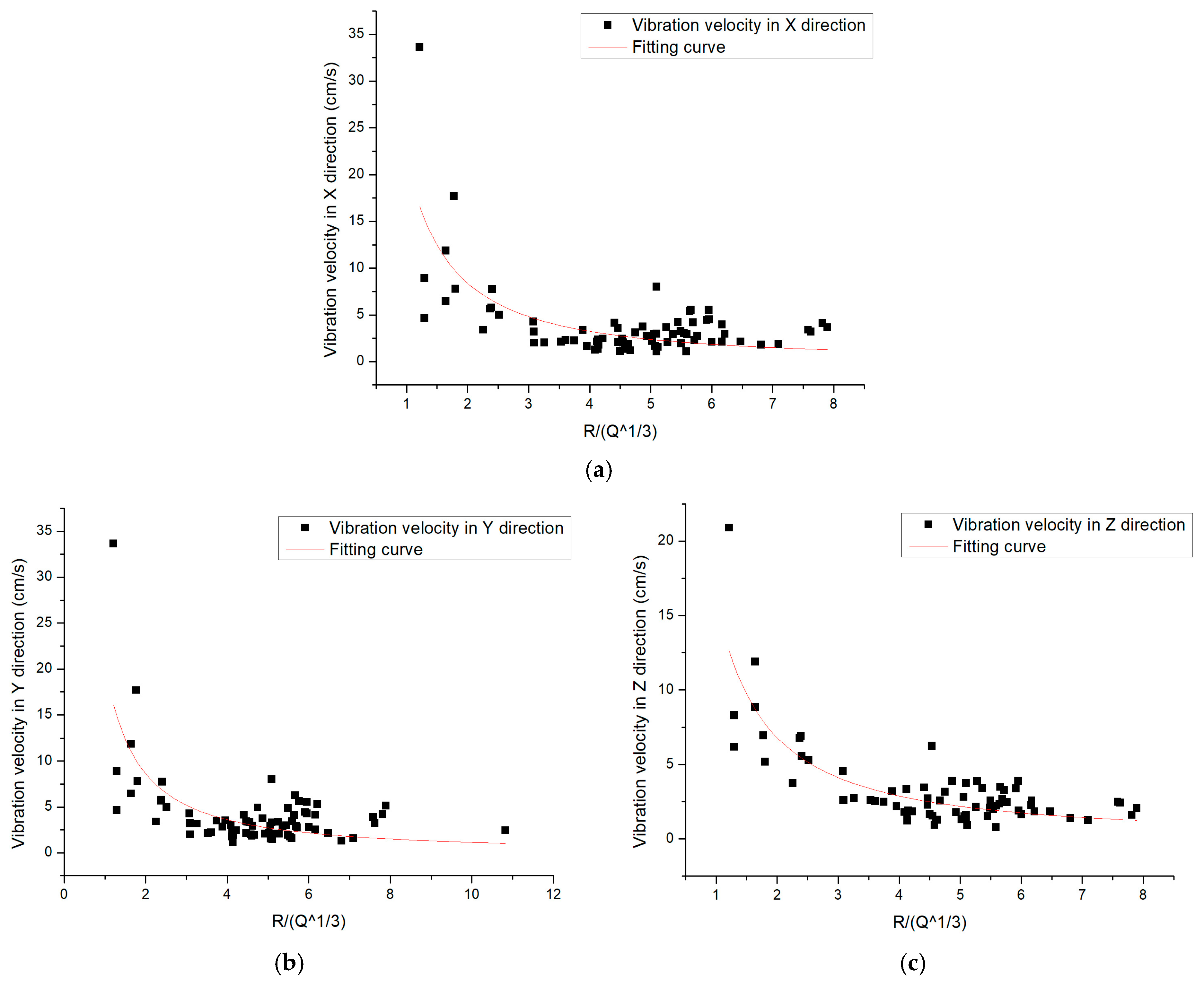
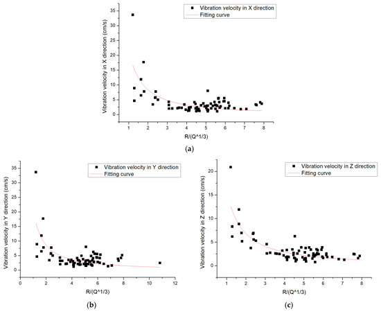
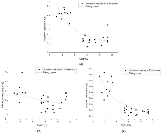
Through the comprehensive analysis of the monitoring data, the proportional distance and vibration velocity are taken as independent variables and dependent variables, respectively. The obtained cut hole data are regressed and fitted by using the Sadovsky formula with the Origin mathematical software. The variation in ground vibration in the near field of small-spacing tunnel blasting is shown in Figure 3, Figure 4, Figure 5 and Figure 6.
Figure 3.
Vibration velocity in three directions of cutting hole blasting in front of the working face: (a) X direction; (b) Y direction; (c) Z direction.
Figure 4.
Vibration velocity in three directions of cutting hole blasting behind the working face: (a) X direction; (b) Y direction; (c) Z direction.

Figure 5.
Vibration velocity in three directions of other blast holes in front of the working face: (a) X direction; (b) Y direction; (c) Z direction.
Figure 6.
Vibration velocity in three directions of other blast holes behind the working face: (a) X direction; (b) Y direction; (c) Z direction.
It is found that when the Sadovsky formula is used, the data of the cutting holes and other holes are obviously different, and the data when the measuring points are in front of and behind the face are obviously different [22]. By comparing the parameters in the above 12 expressions, it can be seen that the values of and when the measuring points are in front of the tunnel face are significantly higher than those when the measuring points are behind the tunnel face. This shows that the vibration velocity of the measuring points in front of the tunnel face will attenuate relatively quickly due to the influence of the cavity effect, and the stratum will be greatly affected. The same difference also exists in the data of the cut hole and other holes. Therefore, it is necessary to distinguish the data when using the Sadovsky formula.
4.2. Vibration Model Based on New Approach
Through the prediction formula of blasting vibration (15) obtained from dimensional analysis, the functional relationship between the blasting vibration velocity and delayed initiation time of each detonating period , the variable with three parameters , and the number of free surfaces of the blast holes can be obtained, where , , and are unknown parameters. The monitoring data in Table 2 were used and combined with the specific conditions of each group of monitoring data; all vibration data are brought in with the help of the Origin software, and the blasting vibration prediction formula was obtained.
Since the number of fitting variables has changed from one to three, the fitting dimension has changed from two-dimensional to four-dimensional. Therefore, this problem has been considered more comprehensively by considering the impact of factors on blasting vibration, which will obviously improve the prediction accuracy of the obtained formula. Table 3 lists the parameters obtained by the software regression.
The propagation model of blasting vibration velocity , , and in three directions of X, Y, and Z can be expressed as:
When other factors remain unchanged, the change in vibration data in front of and behind the tunnel face is mainly affected by the density. The problem of density change was considered in Formula (15), so the laws in front of and behind the tunnel face do not need to be distinguished, and they will be displayed together in the calculation results of the formula. At the same time, the number of free surfaces of the blast holes was also introduced into the formula, and it is one of the main conditions to distinguish between cut hole blasting and other hole blasting. This implies that the prediction results of Formula (15) will not be deviated by the difference in the vibration law caused by the two types of blast holes initiated.
These two variables are important factors affecting the vibration near the blasting area, and their introduction will greatly improve the prediction accuracy of the formula. The R2 values of the new method in the X, Y, and Z directions are 0.79, 0.75, and 0.83, respectively, which are greatly improved compared with the maximum R2 values of 0.77, 0.60, and 0.66 in the three directions of the Sadovsky formula. At the same time, the calculation complexity is greatly simplified because the new method only requires three formulas instead of twelve.
In addition, the reason the R2 value is relatively low is that many blasting vibration data come from nearby blasting areas. When the measuring point is very close to the blasting source, the data will fluctuate greatly. In order to intuitively reflect the real situation of the nearby blasting area, the data were not processed in the above fitting process. If the data are denoised and fitted using 95% confidence interval data, the R2 value of Equations (28)–(30) can be increased to 0.86, 0.84, and 0.91.
4.3. Analysis of Prediction Results of New Approach
The following conclusions can be drawn from the monitoring data of blasting vibration and the vibration law obtained by fitting:
(1) The blasting vibration law predicted by the new approach has the characteristics of less classification and strong integrity. The obtained model is simple and clear, with stronger practicability.
(2) The value of in the formula is obviously higher than that of , indeed even one order of magnitude higher than that of . This shows that the influence of the free surface on the vibration velocity in the near field of small-spacing tunnel blasting is much greater than that of the distance to the blasting center and the charge quantity. It also indicates that rock clamping has a great impact on blasting vibration, which is why the peak behind the wave peak of the monitoring waveform is greater than that in front.
(3) The correlation coefficient obtained by the vibration data fitting of the new approach is generally high, which shows that the obtained blasting vibration law is more consistent with the actual situation in the near field of blasting, it can more accurately reflect the real blasting situation, and its prediction result is more convincing.
(4) Compared with the traditional Sadovsky formula, the new approach takes into account more influencing factors, the calculation process is still simple and clear, the amount of calculation to obtain the required result is less, and the correlation of the formula is high. Therefore, the obtained vibration law will be more consistent with reality, more objective, and can accurately predict the vibration speed before blasting and guide blasting construction.
4.4. Comparison of Prediction Results between Sadovsky Formula and New Approach
Under the same conditions, the near-field vibration velocity of blasting was predicted by using the fitted Sadovsky formula and the new approach and compared with the actual monitoring results.
For different directions of the tunnel face and different types of blast holes, when the Sadovsky formula is used to predict blasting vibration, the data should be distinguished to improve the prediction accuracy, as shown in Equations (16)–(27) above. However, in order to use the same data set for comparison, the Sadovsky formula and the new approach were used to predict the vibration law in three different directions of X, Y, and Z, respectively. In addition, the data were not processed. Different densities were brought in when the tunnel face direction was different, and different numbers of free surfaces were brought in when the types of blast holes were different, so as to obtain the vibration law in three directions. The analysis of variance (ANOVA) and Akaike information criterion (AIC) results for the Sadovsky formula and new approach are presented in Table 3.
Table 3.
The ANOVA and AIC results for six models.
Table 3.
The ANOVA and AIC results for six models.
| Source | df | Sum of Squares (SS) | Mean Squares (MS) | F | Significance F | AIC |
|---|---|---|---|---|---|---|
| Model 1: Equation (28) | −863.187 | |||||
| Regression | 2 | 78.309 | 29.154 | 263.505 | 0 | |
| Residuals | 375 | 19.768 | 0.056 | |||
| Corrected total | 377 | 118.077 | ||||
| Model 2: Equation (29) | −1125.691 | |||||
| Regression | 2 | 105.052 | 42.526 | 464.299 | 0 | |
| Residuals | 467 | 23.955 | 0.044 | |||
| Corrected total | 469 | 149.007 | ||||
| Model 3: Equation (30) | −1077.078 | |||||
| Regression | 2 | 96.905 | 38.452 | 388.194 | 0 | |
| Residuals | 457 | 25.415 | 0.049 | |||
| Corrected total | 459 | 142.319 | ||||
| Model 4: Sadovsky formula in X direction | −822.323 | |||||
| Regression | 1 | 95.829 | 95.829 | 852.859 | 0 | |
| Residuals | 376 | 42.248 | 0.112 | |||
| Corrected total | 377 | 138.077 | ||||
| Model 5: Sadovsky formula in Y direction | −1062.844 | |||||
| Regression | 1 | 120.651 | 120.651 | 1167.679 | 0 | |
| Residuals | 468 | 48.356 | 0.103 | |||
| Corrected total | 469 | 169.007 | ||||
| Model 6: Sadovsky formula in Z direction | −1046.165 | |||||
| Regression | 1 | 115.612 | 115.612 | 1133.649 | 0 | |
| Residuals | 458 | 46.708 | 0.102 | |||
| Corrected total | 459 | 162.319 | ||||
Comparing models in the same direction, the sum of squares, mean squares, F values, and AIC values of models 1, 2, and 3 are relatively smaller. It is clear that models 1, 2, and 3 are the best-fit linear regression models for the available field data in three directions. In order to intuitively understand the prediction effect of the new approach, the synthetic PVS () in three directions was used to compare with the measured results. Figure 7 presents the predicted values versus observed values of PVS.
Figure 7.
Predicted versus observed values of PVS: (a) new approach; (b) Sadovsky formula.
As shown in the above comparison, when the vibration velocity value is small (<10 cm/s), the predicted results of the Sadovsky formula and the new method show good convergence. When the vibration velocity value gradually increases (>10 cm/s), the deviation of the Sadovsky formula prediction results increases rapidly, reaching a maximum of 6 times, while more than 90% of the prediction deviation of the new method remains within 1.3 times.
Figure 8 shows the variation in the average absolute error of the two prediction methods at different monitoring distances. It can be seen that although the prediction errors of the two methods are similar at a long distance, the prediction effect of the new method is significantly improved compared with that of the Sadovsky formula in the near field of blasting. Moreover, the regression error of the vibration velocity predicted by the new approach is 13.6%, 11.8%, and 16.9% lower than that predicted by the traditional Sadovsky formula in three directions. This proves that the vibration law in the near field of blasting predicted by the new approach is more consistent with reality than that predicted by the Sadovsky formula. This can be explained theoretically as various factors affecting blasting vibration are gradually independent from the monitoring data in the study of blasting vibration. The more factors considered that cannot be reflected by the monitoring data, the smaller the prediction error will be, but at the same time the complexity of the problem will also increase. Therefore, it is important to select the number of factors influencing blasting vibration reasonably and appropriately according to different needs in the application of practical engineering. In this way, the impact of blasting vibration on buildings and structures can be controlled within the safe range at a lower cost and can better guide the actual engineering construction.
Figure 8.
Relationship between mean absolute error and distance.
5. Discussion
Although the method of dimensional analysis is simple, it requires a very high level of skill in using it. A little negligence will lead to absurd results or no useful conclusions at all. Firstly, it requires the modeler to have a correct and sufficient understanding of the research problem and be able to correctly list the physical quantities and dimensions related to the problem. It is easy to see that the final conclusions are obtained through the dimensional research of these quantities. Secondly, when solving homogeneous linear equations for finding dimensionless quantities, there are infinite ways to choose the basis vector group, and how to choose it is also very important. At this time, we need to rely on experience, and not all groups can get useful results. In addition, modelers should not have unrealistically high requirements for the results when using the dimensional analysis method. The basis of the dimensional analysis method is the dimensional homogeneity of the formula, which alone cannot draw very profound results. Therefore, dimensional analysis combined with other soft computing methods, such as a neural network model [23], will be a better development direction.
On the other hand, geological conditions are also one of the important factors affecting the blasting effect. In this paper, the blasting vibration velocity in the near area of a weakly weathered granite stratum was mainly analyzed, and it is necessary to study other weak strata or special strata. The dimensional analysis method can also be used in the blasting research of other special strata, for example, the dimensional analysis method was used to establish the blasting vibration velocity prediction model of buried pipelines in coastal soft soil areas [24].
6. Conclusions
In this paper, a new method based on the principle of dimensional analysis is proposed to predict the ground-borne vibration caused by blasting. The Sadovsky formula is deduced by dimensional analysis, and the uncertainty of its parameters is pointed out. To solve this problem, and are separated by the dimensional analysis method, and a new prediction method is established which comprehensively considers the maximum charge per delay, initiation time per delay, initial rock density, distance from initiation center, number of free surfaces, and other parameters. The case study shows that for the prediction of vibration in the near blasting area, it is necessary to distinguish the vibration data according to the type of blasting holes and the position of the measuring points relative to the working face before using the Sadovsky formula to predict, so as to improve the prediction accuracy. However, its prediction results of the near blasting area are still not ideal. Compared with the best prediction results of the Sadovsky formula, the new method does not need to distinguish data, and its prediction R2 values in the X, Y, and Z directions have increased by 0.02, 0.15, and 0.17, respectively. The new method considers more influencing factors, so the prediction results obtained are less affected by the monitoring data error and have higher applicability to the prediction of the near blasting area. Therefore, within the allowable error range, it can better guide the actual construction. The engineering geological conditions studied in this case are mainly weakly weathered granite strata, and the prediction object is ground-borne vibration. The new method can be fully extended to engineering applications under most other geological conditions, and the prediction objects can also be transformed into buildings or underground pipelines.
Author Contributions
Conceptualization, X.R. and Y.G.; methodology, X.R.; validation, Y.G.; formal analysis, Y.G.; investigation, X.R.; resources, H.F.; data curation, Y.G. and X.R.; writing—original draft preparation, Y.G.; writing—review and editing, Y.G. and G.P.; supervision, H.F.; project administration, H.F.; funding acquisition, H.F. All authors have read and agreed to the published version of the manuscript.
Funding
This research was funded by the China Scholarship Council (202107090076) and the Rail Transit Safety Collaborative Innovation Center of China (2022JBXT007, Service safety and intelligent maintenance of rail transit operating tunnels).
Institutional Review Board Statement
Not applicable.
Informed Consent Statement
Not applicable.
Data Availability Statement
Not applicable.
Conflicts of Interest
The authors declare no conflict of interest.
References
- Dib, N.; Zéhil, G.-P.; Rigby, S. On the blast-wave shielding effect of porous buildings. J. Fluids Struct. 2022, 115, 103787. [Google Scholar] [CrossRef]
- Norén-Cosgriff, K.M.; Ramstad, N.; Neby, A.; Madshus, C. Building damage due to vibration from rock blasting. Soil Dyn. Earthq. Eng. 2020, 138, 106331. [Google Scholar] [CrossRef]
- Duvall, W.I.; Fogelson, D.E. Review of Criteria for Estimating Damage to Residences from Blasting Vibrations; Department of the Interior 5968, US Bureau of Mines: Washington, DC, USA, 1962. [Google Scholar]
- BS 7385; Evaluation and Measurement for Vibration in Buildings, Part 2: Guide to Damage Levels from Ground Borne Vibration. BSI: London, UK, 1993.
- AS 2187.2; Explosives—Storage, Transport and Use—Use of Explosives. Standards Australia: Sydney, Australia, 1993.
- GB 6722-2014; Safety Regulation for Blasting. China Standard Press: Beijing, China, 2015.
- Devine, J.F. Effect of Charge Weight on Vibration Levels from Quarry Blasting; Department of the Interior 6774, US Bureau of Mines: Washington, DC, USA, 1966. [Google Scholar]
- Kumar, R.; Choudhury, D.; Bhargava, K. Determination of blast-induced ground vibration equations for rocks using mechanical and geological properties. J. Rock Mech. Geotech. Eng. 2016, 8, 341–349. [Google Scholar] [CrossRef]
- Görgülü, K.; Arpaz, E.; Demirci, A.; Koçaslan, A.; Dilmaç, M.K.; Yüksek, A.G. Investigation of blast-induced ground vibrations in the Tülü boron open pit mine. Bull. Eng. Geol. Environ. 2013, 72, 555–564. [Google Scholar] [CrossRef]
- Fu, H.; Zhao, Y.; Xie, J.; Hou, Y. Study of Blasting Vibration Test of Area Near Tunnel Blasting Source. Chin. J. Rock Mech. Eng. 2011, 30, 335–340. [Google Scholar]
- Ahn, J.K.; Park, D. Prediction of near-field wave attenuation due to a spherical blast source. Rock Mech. Rock Eng. 2017, 50, 3085–3099. [Google Scholar] [CrossRef]
- Blair, D.P. Charge weight scaling laws and the superposition of blast vibration waves. Int. J. Blast. Fragm. 2004, 8, 221–239. [Google Scholar] [CrossRef]
- Chen, S.; Wu, J.; Zhang, Z. Influence of millisecond time, charge length and detonation velocity on blasting vibration. J. Cent. South Univ. 2015, 22, 4787–4796. [Google Scholar] [CrossRef]
- Sadovsky, M.A. Mechanical action of blast waves on data of experimental studies. In Physics of Explosion; USSR Academy of Sciences: Moscow, Russia, 1952; Volume 1, pp. 70–110. [Google Scholar]
- Nikkhah, A.; Vakylabad, A.B.; Hassanzadeh, A.; Niedoba, T.; Surowiak, A. An Evaluation on the Impact of Ore Fragmented by Blasting on Mining Performance. Minerals 2022, 12, 258. [Google Scholar] [CrossRef]
- Zhang, Z.; Yang, N.; Lu, W.; Zhao, G.; Shi, F. Progress of blasting vibration control technology in China. Blasting 2013, 30, 25–32. [Google Scholar]
- Zhou, W.; Liang, R.; Yu, J.; Du, C.; Wang, D.; Lou, X. Dimensionless analysis on peak particle vibration velocity induced by slope casting blast. Explos. Shock Waves 2019, 39, 76–83. [Google Scholar]
- Ongen, T.; Karakus, D.; Konak, G.; Onur, A.H. Assessment of blast-induced vibration using various estimation models. J. Afr. Earth Sci. 2018, 145, 267–273. [Google Scholar] [CrossRef]
- He, L.; Zhong, D.; Li, P.; Song, K.; Si, J. Vibration prediction and energy analysis of slope under blasting load in underpass tunnel. Explos. Shock Waves 2020, 40, 108–117. [Google Scholar]
- Cardu, M.; Coragliotto, D.; Oreste, P. Analysis of predictor equations for determining the blast-induced vibration in rock blasting. Int. J. Min. Sci. Technol. 2019, 29, 905–915. [Google Scholar] [CrossRef]
- Agrawal, H.; Mishra, A.K. Modified scaled distance regression analysis approach for prediction of blast-induced ground vibration in multi-hole blasting. J. Rock Mech. Geotech. Eng. 2019, 11, 202–207. [Google Scholar] [CrossRef]
- Gao, Y.; Fu, H.; Ji, X.; Rong, X.; Ye, Z.; Meng, Z. Research and application of interlaid rock vibration law in drilling and blasting construction of small clear distance tunnel. Chin. J. Rock Mech. Eng. 2020, 39, 3440–3449. [Google Scholar]
- Yu, Z.; Shi, X.; Miao, X.; Zhou, J.; Khandelwal, M.; Chen, X.; Qiu, Y. Intelligent modeling of blast-induced rock movement prediction using dimensional analysis and optimized artificial neural network technique. Int. J. Rock Mech. Min. Sci. 2021, 143, 104794. [Google Scholar] [CrossRef]
- Jiang, N.; Zhu, B.; Zhou, C.; Luo, X.; Li, H.; Wu, T.; Lyu, G. Safety criterion of gas pipeline buried in corrosive saturated soft soil subjected to blasting vibration in a coastal metro line. Thin-Walled Struct. 2022, 180, 109860. [Google Scholar] [CrossRef]
Disclaimer/Publisher’s Note: The statements, opinions and data contained in all publications are solely those of the individual author(s) and contributor(s) and not of MDPI and/or the editor(s). MDPI and/or the editor(s) disclaim responsibility for any injury to people or property resulting from any ideas, methods, instructions or products referred to in the content. |
© 2022 by the authors. Licensee MDPI, Basel, Switzerland. This article is an open access article distributed under the terms and conditions of the Creative Commons Attribution (CC BY) license (https://creativecommons.org/licenses/by/4.0/).








