Featured Application
These mathematical models can be used to build decision-support software for agricultural enterprises. This helps you decide on minimal and normal repairs during urgent field work.
Abstract
In this paper, a semi-Markov model for determining the optimal time for preventive replacements according to the age of technical objects is presented. In the analyzed system of transportation, due to its specific characteristics, the basic type of renewal process carried out is minimal repair. Minimal repairs of technical objects in semi-Markov models have been analyzed in the literature to date. In the system studied, the technical objects (sets of agricultural tractors with trailers), due to the continuous operation of combine harvesters, should carry out the assigned tasks of transporting agricultural crops without interruption. The damage to agricultural tractors that arises during the implementation of transport tasks should be repaired in the shortest possible time. The repairs to damaged tractors are carried out primarily by the Technical Emergency Service and, due to their purpose and scope, may be considered minimal repairs. The effectiveness of the function of the tested technical objects is analyzed by two criteria functions, which are very important for the system managers. These are profit per unit of time and availability. In the analyzed case, it is the availability to carry out the assigned transport tasks. The conditions for the existence of a maximum of criterion functions have been written for the assumptions. The analyzes carried out, which are presented in the work, are illustrated with sample calculations. It has been proven that, under general assumptions, the criterion functions considered in the paper have exactly one maximum. On the basis of the conducted analysis, sufficient conditions for the existence of a maximum of these functions were formulated. In the analyzed transport system, it is possible to increase the efficiency of the function of the technical facilities in use as a result of planning additional preventive replacements (increasing the frequency of these replacements). This is especially important for a system where transport units must have high availability.
1. Introduction
Production of energy from biomass is justified when it makes it possible to achieve a positive environmental effect (reduction of greenhouse gas emissions) while striving to achieve the highest possible production and economic efficiency compared to the use of conventional fuels. Many literature sources mention the appropriate location of biofuel production, taking into account, among other things, the abundance of biomass in the area, as well as the rational organization of production in terms of transport and storage of raw material, as factors affecting the efficiency of biofuel production. From the point of view of the appropriate location of biofuel production, it is important to identify the raw material resources properly, as well as the areas of use, in accordance with the principles of sustainable development.
The adoption of an appropriate logistical strategy for the supply of raw material—biomass—is a very important aspect when planning biofuel production. Logistics is the planning of demand, capacity in time and space, and the control and use of the planned flow, mass and energy, taking into account the optimum cost. Depending on the demand, there are combinations of the processes, listed below:
- Acquisition of raw material,
- Preparation (processing) of raw material into its usable form (commercial),
- Storage, as an indirect operation,
- Transportation (near and far), which includes loading and unloading works.
With the increasing use of biomass for purposes relating to energy generation, the optimization of the logistics of supply requires proper planning, organization and management of the raw material base and the means of transport. During the harvesting of agricultural crops, there exists a need to use a set of machinery and equipment which we refer to as a technical system. The process of harvesting maize for silage is carried out by a harvesting and transport system consisting of a harvesting unit and a transport unit [1]. The reliability of such a system makes it possible to do the harvesting at the right time and with a specified efficiency. However, its use is associated with the occurrence of a degradation process. The resulting damage has a negative impact on the safety and revenue of the system’s operation. The damage may result in other damage to the same machines but also to the cooperating machines. This causes damage to the operation of the entire system. In order to prevent such situations and to reduce the amount of damage to the technical objects, various preventive strategies are added to the management policy. However, such activities are burdened with the increased costs of the systems’ maintenance. In order to reduce these costs, an effective repair and replacement strategy needs to be developed. Managing replacements and repairs in technical systems, especially in industry, requires the implementation of various activities within the system. They allow for maintaining an appropriate level of reliability and availability of the system. They can be implemented through appropriate preventive maintenance (PM) and, in the event of a technical object’s failure, corrective maintenance (CM). Due to the characteristics of machinery operation in agriculture, corrective maintenance is widely used in field conditions.
The transportation of raw materials to the agricultural biogas plant is based on seasonal work of high intensity. For this reason, corrective maintenance operations are usually conducted as: after repair, the system is “good as new” (perfect repair) or “bad as old” (minimal repair).
Therefore, minimal repairs that restore the system to its reliable state before it fails are carried out. However, these activities allow the system to be restored to the intermediate state between the state of unserviceability and the state of “good as new” serviceability. Such a state is called imperfect maintenance. Various models of imperfect maintenance have been described in reviews [2,3]. The implementation of appropriate preventive and repair strategies allows the reduction of system maintenance costs. Such strategies include the replacement of important system components and setting the frequency of inspections to determine the technical condition. The schedule on which we base our activities is often set by the designer or manufacturer of the system. Under operating conditions after the end of the warranty, this schedule is usually upgraded by users. They are often the ones who decide about the replacement of worn elements.
CM actions always require a prior identification and diagnosis of the damage, so they are expensive and require high personnel skills. The costs of preventive maintenance, PM, are lower than the costs of CM repairs. A similar relationship is also found for average repair times and preventive maintenance. For some systems, it is possible to repair a failed component without replacing it. This action can be called minimal repair (MR). Minimal repair consists of restoring the current state of the object to its state before the damage occurred. Looking at it in this way can be considered minimal repair. This logic allows the construction of new practical models of replacements with minimal repair. The indicated reasons confirm that this is an important research topic in reliability engineering. Strategies for preventive actions that propose optimal decision-making models will reduce the cost of system maintenance and the risk of adverse events.
The problem is the high maintenance costs of agricultural machinery. For this reason, the PM strategy was established. The PM issues are described in [4]. The article evaluates the impact of the PM strategy on the reliability indicators (failure rate, mean time between failures (MTBF), mean time to repair (MTTR) and mechanical availability) of a rice harvester.
These reliability rates have been calculated for each month of the harvesting season over 3 years. The unfavorable results prompted the authors to propose a new PM strategy, condition-based maintenance (CBM). The results of this proposed strategy showed improvements in various reliability metrics.
The models for preventive maintenance, due to their economic importance, have aroused growing interest in the studies of systems reliability.
Morse, in [5], introduced the concept of minimal repair. It deals with a repair model with a monthly income generated for the tested technical object as a criterion function. For this purpose, he used queuing theory, not reliability. In the field of reliability theory, the concept of minimal repair was used by Barlow and Hunter [6]. They presented a model for periodic replacements and minimal repair. This model assumes that, after each minimal repair, the damaged technical system is restored only to the same state as before the damage.
The first formal definition appears in a scientific article by Nakagawa and Kowada [7]. In their article, Brown and Proschan [8] also raise the issue of minimal repair in the event of damage to a technical object. Assuming the probability is p for a perfect repair, for a minimal repair, the probability is q = 1 − p.
Further work by their team led Fontenot and Proschan [9] to propose a new version. In this assumption, the object is replaced with a new one after time T, and a perfect repair or minimal repair is carried out with probabilities p and q, respectively, for intermittent failures.
The approach to the problem in [8] assumes that the probability of a thorough repair depends on the age of the technical object at the time of failure. The minimum repair model in the available literature is built using various mathematical methods. In articles [10,11], we will find an overview of the methods used to build the criterion functions for minimal repair models with preventive maintenance by age. A more comprehensive and up-to-date overview of minimal repair work is available in [12]. New scientific articles on minimal repair are published all the time, which confirms the importance of the problem [13,14,15,16]. The problem is also applicable to economic analysis [17]. This work is particularly valuable because it provides an up-to-date and extensive review of the literature on this topic.
In this paper, a system maintenance strategy is considered using the (p, q) rule of replacement by age. We analyze the possibility of using semi-Markov processes to build the model. This model will allow a determination of the timing of preventive replacement in systems with minimal repair. The criterion function for semi-Markov processes is built on the basis of theorem [8,12]. The authors of the papers [18,19] did the same. The paper [14] presents the results, which are a special case for the three-state model in paper [18] and also for this paper.
Compared to most scientific papers on system maintenance, the repair times in our article are not negligible. The defined criterion functions determine the profit on time and availability. In order to know the maxima of these functions, we have described sufficient conditions for them for the existence of an unambiguous maximum. The four-state model of replacements with minimal repairs is described in Section 2.1. It describes the criterion function as profit per unit of time. Section 3.1 describes what conditions are sufficient for the existence of a maximum of the criterion function. This is described for cost and availability. In Section 3.3, we analyze two numerical examples in order to show the results obtained in the paper. For the first example, the goal is to maximize the profit per unit of time; the second example is based on obtaining the best availability factor. For both, it was assumed that the time to failure is based on the Weibull distribution.
The aim of the work is to develop a mathematical model for a preventive repair system. The model will be applied to the agricultural unit transport system. This developed model is necessary to develop a comprehensive method of fleet management. It will be needed when a high level of availability is required and will be the basis of the fleet management program we will build.
2. Materials and Methods
Availability is a key measure of performance. The components of the biomass transport system follow variables, i.e., decreasing or increasing failure and repair rates. This makes it difficult to assess their availability. Conventional methods that predict availability based on past experience are unsuitable for such systems. The existing analytical or simulation methods provide an inaccurate estimate of availability because they assume constant failure and repair rates that follow an exponential distribution. To solve this problem, this paper suggests the use of a semi-Markov model that considers variable failure or repair rates. This is done by identifying the states. On this basis, semi-Markov models are developed for each element of the system. The unique feature of this approach is that it assumes a Weibull distribution for variable failure times and a log-normal distribution for variable repair times. The developed models are solved by the analytical method of solutions in order to obtain fixed probabilities of their states and thus the availability of the system in a steady state. The methodology is illustrated with a case study on the transport system of an agricultural biogas plant.
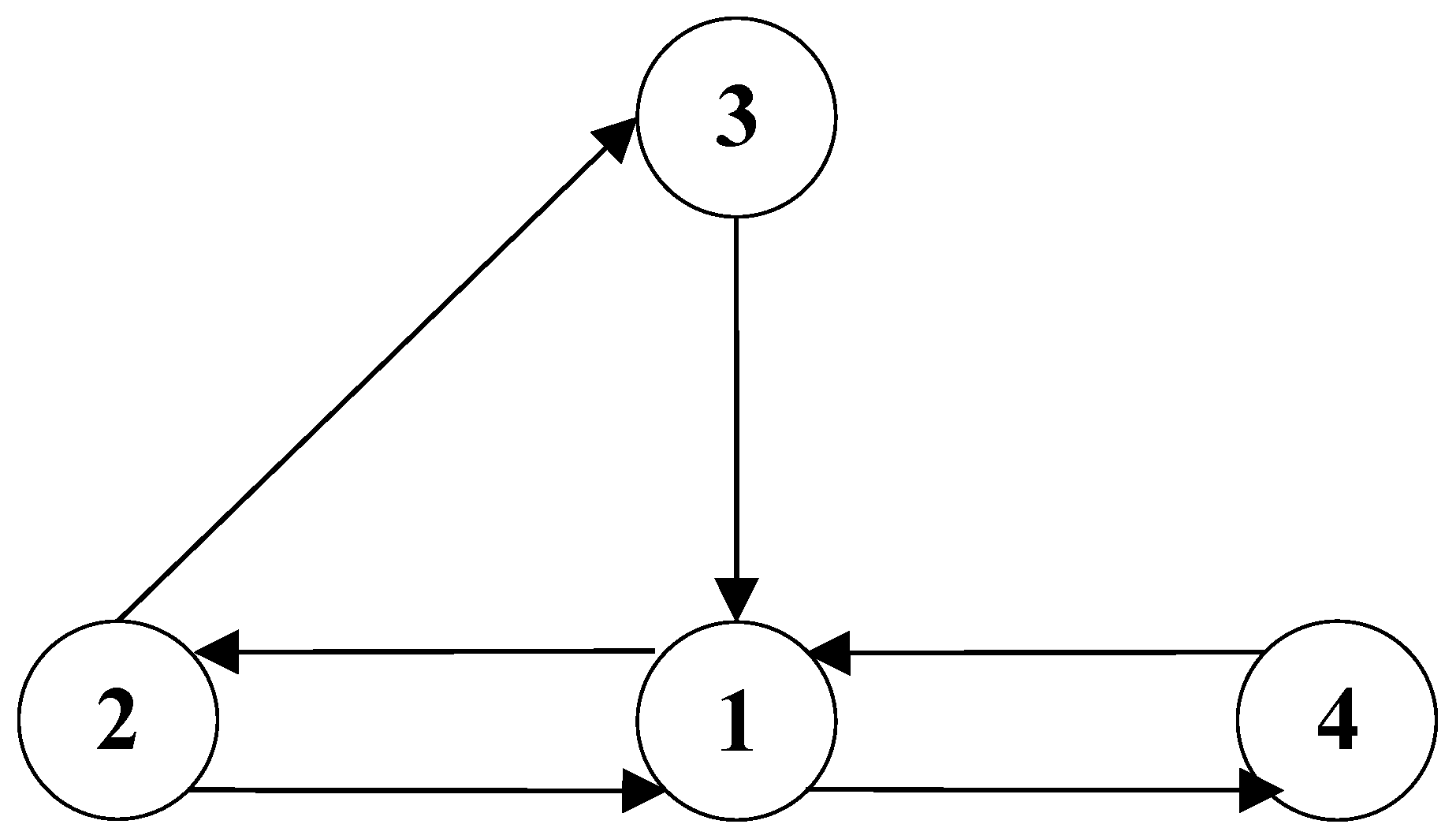
2.1. A Directed Graph of the Mapping of the Operating States of Agricultural Transport Units
In the study, an agricultural machinery operation system is the object of research, in which the technical objects (agricultural tractor-trailer combinations) can remain in one of the four states of the considered renewal system model (corrective repairs and preventive replacement):
State 1—the state of the task fitness of the technical object—the technical object is fully operational and equipped and can carry out the assigned transport task. In the article, this state is a state of failure-free operation of a technical object. This state is a state of availability of the technical object to carry out transport tasks.
State 2—repair status by the Technical Emergency Service—a technical object damaged during the transport task (on the field, the route or in the storage yard) is subject to repair, which is carried out by the Technical Emergency Service. In the article, the state is identified as the state of minimal repair of a technical object. For the purposes of the analysis, it is assumed that the repairs are made in a limited way (time, scope, type). The purpose of the repairs is only to restore the operability of the technical object so that it is possible to complete the assigned transport task. This involves restoring the technical object to the state of reliability it had immediately before the damage. In the absence of repair by the Technical Emergency Service, damaged technical objects are sent to the service station for perfect repair. This state is a state of unavailability of the technical object to carry out transport tasks.
State 3—status of repair at the service station, which means that the damaged technical object is subject to repair at specialized stations of the service station intended for this purpose. This state is treated as a perfect repair state of a technical object. The purpose of the repair is to restore the full fitness of the technical object for the implementation of the assigned transport tasks (restoring the technical object to a reliable state with the characteristics of a new object). This state is a state of unavailability of the technical object to carry out transport tasks.
State 4—preventive replacement by age—a fit technical object is subject to preventive measures. This means that parts are replaced in the facility after a specified period of time, in accordance with the adopted plan and schedule of preventive replacements and the applied exploitation strategy (according to the surface). This is a state of unavailability of the technical object to carry out transport tasks.
For the transport system under consideration, a directed graph represents changes in the states of the renewal system model (corrective repairs and preventive replacements). It is shown in Figure 1.
Figure 1.
Directed graph mapping the changes in states of the renewal system model S = {1, 2, 3, 4}.
2.2. Semi-Markov Model of Agricultural Transport Units Renewals
Figure 1 shows a directed graph. Next, a mathematical model was built for it, assuming that it is a stochastic process, X(t). Semi-Markov processes were used to build the mathematical model. For the transport problem, we determined a four-state semi-Markov model of renewals (corrective repairs and preventive replacements). It is described by the state space S = {1, 2, 3, 4}. If X(t) = i, then the analyzed technical object at time t is in state i. If the transition probabilities between the states of the process are known, we can determine the semi-Markovian Markov chain inserted into the process. Then we can write the Markov chain transition matrix as:
where:
pij, i, j = 1, 2, 3, 4—probability of transition from state i to state j.
In order to establish the boundary probabilities for the Markov chain, the following matrix system must be solved:
where:
πi, i = 1, 2, 3, 4—limiting probability of the Markov chain inserted in the semi-Markov process.
The matrix system shown above (2) is replaced by the system of linear Equation (4). However, in order to obtain an unambiguous solution, we introduce the normalization condition (3).
Then, the system of linear Equation (4) adopts the form:
As a result of solving the system of linear Equation (4), we obtained formulae representing the boundary probabilities for the analyzed Markov chain:
2.3. Criterion Function
This paper is based on the analysis of a semi-Markov model of renewals (repairs and preventive replacements by age). We describe here a 4-state semi-Markov process X(t) with a state space S = {1, 2, 3, 4}. We define zi, i = 1, 2, 3, 4 as the unit profit (cost) (per unit of time) for state i. It is assumed in the paper that z1 > 0 and zi < 0 for i = 2, 3, 4.
A profit is generated only for state 1, while for states i = 2, 3, 4, a cost (loss) is generated. Based on the work [18], we assume that the total profit (loss) per unit of time that is generated in the system is described as follows:
where:
ETi, i = 1, 2, 3, 4—the mean time spent in state i.
A technical object may be subject to renewal at age T or after damage, and this may happen sooner. T1(x) defines the time to replace or repair (after damage) a technical object. The variable T1(x) is defined as follows:
If the technical object has not failed after time x, it is assumed that it goes into the state of preventive replacement. The new semi-Markov process is formed, taking into account preventive replacement after time x (process of state changes i = 1, 2, 3, 4). It is characterized by the matrix P(x) of the transition probabilities of the Markov chain inserted into the semi-Markov process. Analyzing the matrix P(1) presented above, only the first row of the matrix P changes, so the matrix P(x) takes the form of:
The limiting probabilities determined for the Markov chain are determined analogously to formulae (5):
Based on the paper [18], the criterion function, (6), takes the form of:
where:
ET1(x)—the average value of time in state 1, calculated on the basis of the formula:
ET2, ET3 and ET4—average values of stay times in states 2, 3 and 4.
Based on the work [18], it can be written:
where:
p12(x) = p12 · F12(x)
p14(x) = p14 · F14(x) + R1(x)
p14(x) = p14 · F14(x) + R1(x)
F1i(x), i = 1, 2, 3, 4—conditional distributions of stay time in state i, on the condition that the next state will be state j, defined as follows:
R1(x) = 1—F1(x)—function of reliability of a random variable, T1.
Moreover, in order to simplify further considerations, the following equations are assumed to be true:
F12(x) = F14(x) = F1(x)
Considering the above, the criterion function (10) is expressed by the formula:
or, after regrouping, it can be represented using the form:
By representing the numerator and denominator of the criterion function as follows:
the criterion function (10) can be represented analogously as:
where:
3. Research Results and Discussion
3.1. Maximum of the Criterion Function—General Analysis
The parameters of the developed semi-Markov model of the renewal system (repairs and preventive replacements) are necessary to define the conditions of existence of the extremum (maximum) of the criterion function (10). These conditions consist of the elements of the matrix of probabilities of state changes of the model P = [pij], i, j = 1, 2, 3, 4, the average times spent in the states of the model ETi, i = 1, 2, 3, 4 and profits (costs) generated in the model states zi, i = 1, 2, 3, 4.
The input data for the model are considered parameters. Their values depend on the type of the analyzed technical objects, the adopted strategy of operation (exploitation) and the actual conditions in which the repair and preventive replacement processes are carried out.
The assumptions regarding the values of the parameters of the tested system are specified below. The adopted assumptions must take into account the real relationships between the parameters characterizing the processes of repairing damaged technical objects and preventive replacement:
- Z1: z1 > 0, z2 < 0, z3 < 0, z4 < 0; the technical object (transport set) in state 1 generates profit (+), but, in states 2, 3 and 4, it generates costs (-);
- Z2: ET3 > ET2; the value of the average repair time carried out at the service station (perfect repair) is greater than the value of the average repair time carried out by the Technical Emergency Service (minimal repair);
- Z3: z3 > z2; the unit cost generated in state 3 (state of repair carried out at the service station—perfect repair) is higher than the unit cost generated in state 2 (state of repair carried out by the Technical Emergency Service—minimal repair);
- Z4: ET3 > ET4; the average time of repair carried out at the service station (perfect repair) is longer than the average time of preventive replacement;
- Z5: z3 > z4; the unit cost generated in state 3 (state of repair at the service station—perfect repair) is higher than the unit cost generated in state 4 (state of preventive replacement).
For these assumptions, there were no links between the state of repair by the Technical Emergency Service (state of minimal repair) and the state of preventive replacement. In the presented example, it is difficult to clearly define the relationship between the average values of the times ET2 and ET4 and the unit costs z2 and z4. Despite this, based on the results of research on other operational systems of this class of technical objects (transport set), we find an additional assumption for the unit costs generated in states 2 and 4:
- Z6: the unit cost generated in state 2 (repair by the Technical Emergency Service—minimal repair) is higher than the unit cost generated in state 4 (state of preventive replacement).
Below, in order to simplify the formulae for the conditions of existence of the criterion function extremum (10), the coefficients were introduced (10):
where:
α = B1 − z1 B
β = z1 C − C1
γ = B1 C − B C1
B1 = p12 ET2 z2 + p12 p23 ET3 z3 − p12 ET4 z4
C1 = ET4 z4
B = p12 ET2 + p12 p23 ET3 − p12 ET4
C = ET4
The coefficients α, β and γ are essential for formulating sufficient conditions for the existence of extremes of the criterion function. In order for the inequalities α < 0, β > 0, γ < 0 to be true, the following conditions must be defined:
- The coefficient α is defined with the formula:
α = p12 ET2 (z2 − z1) + p12 p23 ET3 (z3 − z1) − p12 ET4 (z4 − z1)
The inequality α < 0 is equivalent to the inequality:
p23 ET3 > ET2 (z2 − z1)/(z1– z3) − ET4 (z4 − z1)/(z1 − z3)
- The coefficient β is defined with the formula:
β = ET4 (z1 − z4)
On the basis of the taken assumption Z1, it results that β > 0.
- The coefficient γ is defined with the formula:
γ = p12 ET2 (z2 − z4) ET4 + p12 p23 ET3 (z3 − z4) ET4
The inequality γ < 0 is equivalent to the inequality:
p23 ET3 > ET2 (z2 − z4)/(z4 − z3)
With reference to the coefficient γ, two cases can be considered. In the first case, based on the assumption Z5: z3 > z4 and considering the additional assumption Z6: z2 > z4, the inequality γ < 0 is true.
The relationship between the average values of the times ET2 and ET4 and between the unit costs z2 and z4 is unknown. This is because it is difficult to clearly describe the relationship between the status of minimal repair (repair by Technical Emergency Service) and the condition of preventive replacement.
In the second case, when assumption Z6 cannot be taken into account, then inequality in Equation (21) should be considered in the same way as inequality in Equation (18) which is related to the coefficient α. Then, we denote the right sides of inequalities (18) and (21) as δ1 and δ2. If δ = max{δ1, δ2}, then the condition p23 ET3 > δ and Formulae (15), (18), (20) and (21) cause inequalities α < 0, γ < 0. Therefore, we can write that:
Conclusion 1.
If p23 > δ/ET3, then the inequalities α < 0, γ < 0 are true.
3.2. The Maximum of the Criterion Function—Distributions of the Random Variable of IFR and MTFR Classes
In this part of the paper, we will describe the conditions sufficient for the existence of a maximum of the criterion function (10). The definition of sufficient conditions will be for two cases. The first concerns the class of distributions of a random variable, where the time to failure of a technical object, T1, is a random variable with an increasing function of damage intensity, λ1(t), i.e., T1 ∈ IFR (Increasing Failure Rate). The second concerns the class of distributions of a random variable with a unimodal failure intensity function, i.e., T1 ∈ MTFR (Mean Time to Failure or Repair). The random variable of the MTFR class and the results of research on the properties of variable distributions are presented in [20,21,22].
Conclusion 2.
If time function T1 ∈ IFR, λ1(t) is differentiable, α < 0, β > 0, γ < 0, β + γ f1(0+) > 0, λ1(∞) α ET1 + β − α < 0; then the criterion function g(x) reaches its maximum value.
Proof of Conclusion 2.
The derivative of the criterion function g(x) is of the form:
where M(x) is the denominator of the criterion function, g(x). □
g’(x) = {α [f1(x) ET1(x) − R1(x) F1(x)] + β R1(x) + γ f1(x)}/M2(x)
It is known that if the time to damage T1 belongs to the class of distributions of the MTFR random variable, then the equality H(x) = λ1(x) ET1(x) − F1(x) ≥ 0 for x ≥ 0 is true. The description of the classes of distributions of the MTHFR random variable can be found in the scientific papers [20,21]. According to [20,21], some distributions of lifetimes with a unimodal failure intensity function belong to the MTFR class. Based on H’(x) = λ1′(x) ET1(x), it can be said that, if the damage intensity function λ1(t) increases, the function H(x) also increases. The class of distributions of a random variable with a non-decreasing damage intensity function (IFR) is contained in the MTFR class. The function and its derivative have the same sign.
h(x) = α [λ1(x) ET1(x) − F1(x)] + β + γ λ1(x)
It is known that H(0+) = 0, hence h(0+) = β + γ f1(0+) > 0. From the fact that α < 0, β > 0, γ < 0 and the function H(x) increases, it follows that the function h(x) decreases from the value h(0+) = β + γ f1(0+) > 0 to the value h(∞) = λ1(∞) α ET1 + β − α < 0. It follows that the derivative of g’(x) changes sign exactly once from “+” to “−”. From this, it can be concluded that the criterion function, g(x), reaches exactly one maximum.
If λ1(∞) = ∞, then the following conditions are sufficient for the criterion function g(x) to exist: T1 ∈ IFR, differentiability λ1(t), α < 0, β > 0, γ < 0, β + γ f1(0+) > 0.
The Weibull distribution, with an increasing damage intensity function, is a good example of this.
Based on conclusions 1 and 2, we can formulate another sufficient condition for the existence of a maximum of the criteria function:
Conclusion 3.
If time function T1 ∈ IFR, λ1(t) is differentiable, β + γ λ1(0+) > 0, p23 > δ/ET3, λ1(∞) α ET1 + β − α < 0, then the criterion function g(x) reaches its maximum value.
Proof of Conclusion 3.
The existence of a maximum asymptotic availability coefficient can be written based on assumptions. On the basis of the criterion function, g(x), the availability coefficient is obtained assuming: z1 = 1, z2 = z3 = z4 = 0. Having taken these conditions into account in formula (10), one gets B1 = 0, C1 = 0. Hence, on the basis of (6), (7) and (9) for α, β, γ, we can calculate:
α = −B = −p12 ET2 − p12 p23 ET3 + p12 ET4
β = C = ET4
γ = 0
The inequality α < 0 is equivalent to the inequality:
p23 > (ET4 − ET2)/ET3
Assuming that β > 0 and γ = 0, a sufficient condition for the existence of a maximum of the availability coefficient can be formulated. □
Conclusion 4.
If the time function T1 ∈ IFR, λ1(t) is differentiable, λ1(∞) α ET1 + β − α < 0, p23 > (ET4 − ET2)/ET3, then the analyzed criterion function g(x) reaches exactly one maximum value.
Proof of Conclusion 4.
In the case of the availability factor, the derivative of the criterion function is of the form:
where
g’(x) = {α [f1(x) ET1(x) − R1(x) F1(x)] + β R1(x)}/M2(x)
M(x) is the denominator of the criterion function, g(x). □
The function H(x) increases if the damage intensity function, λ1(t), increases. The derivative has the same sign as the base function:
h(x) = α [λ1(x) ET1(x) − F1(x)] + β
It is known that H(0+) = 0, hence h(0+) = β > 0.
From the fact that p23 > (ET4 − ET2)/ET3, it results that α < 0 and the function h(x) decreases from the value h(0+) = β > 0 to the value h(∞). If h(∞) = λ1(∞) α ET1 + β − α < 0, it means that the derivative of g’(x) changes sign exactly once from “+” to “−”. Thus, it is concluded that the availability factor g(x) reaches exactly one maximum.
If λ1(∞) = ∞, then the following conditions are sufficient for the existence of a maximum availability factor: T1 ∈ IFR, p23 > (ET4 − ET2)/ET3.
3.3. Exemplary Calculation Results
Example 1.
Figure 2 presents the graphs of the criterion function, g(x), in the case where g(x) means profit/loss per time (for one technical object [thousand PLN/day]), while, in Figure 3, where g(x) means availability to carry out transport tasks (for one technical object). The following data was used for the calculations:
Figure 2.
Graphs of the function g(x)—profit per time unit as a function of time to preventive replacement, x [h], determined for a Weibull distribution with parameter values scale = 6 and shape = 5 (curve a), shape = 7 (curve b), shape = 9 (curve c).
Figure 3.
Graphs of the function g(x)—availability to perform transport tasks as a function of time to preventive replacement x [h], determined for a Weibull distribution with parameter values scale = 6 and shape = 5 (curve a), shape = 7 (curve b), shape = 9 (curve c).
- (1)
- values that come from the matrix of the probabilities of changes in the states of the analyzed model P:
- (2)
- average values of times of the technical object staying in the states of the model in [day]:
ET2 = 0.21, ET3 = 0.56, ET4 = 0.17; for the service life (time to failure), ET1, the Weibull distribution was adopted, for which the value of the scale parameter scale = 6; three cases were analyzed when the value of the Weibull distribution shape parameter is respectively ∈ {5, 7, 9}.
- (3)
- average values of profits (costs) per unit of time in individual states of the model in [thousand PLN/day]: z1 = 0.8, z2 = −3.2, z3 = −4.0, z4 = −2.1.
In both cases, for the criterion function, g(x), denoting profit per unit of time (Figure 2) or availability to perform transport tasks as a function of time to preventive replacement (Figure 3), the value of this function is the maximum. For all three considered cases, for each of the examined values of the Weibull distribution shape parameter, the optimal value of time to preventive replacement x[h] can be calculated. If we examine the values of xmax, for which the criterion function g(x) gets the maximum value, we notice that by increasing the value of the shape parameter, the value of xmax increases, but also the maximum value of the criterion function, g(x). The determined values of the Weibull distribution parameters affect the maximum values of the criterion function g(x) and the optimal time of preventive replacement according to age xmax.
Example 2.
Figure 4 shows the graph of the criterion function where g(x) is the profit per unit of time. Figure 5 shows the graph of the criterion function where g(x) means availability to perform transport tasks. The data from example 1 were used for the calculations. The uptime (time to failure) of ET1 was assumed to have a Weibull distribution. The parameters for this distribution are: scale = 6 and shape = 9. These plots show four cases:
Figure 4.
Graphs of the function g(x)—profit per time unit as a function of time to preventive replacement x [h], determined when the number of preventive replacements is as in the Example 1 (curve a) and when the number of preventive replacements is increased by 15%, 30% and 45%, respectively (curves b, c and d).
Figure 5.
Graphs of the function g(x)—availability to carry out transport tasks in function of time to preventive replacement x [h], determined when the number of preventive replacements is as in the Example 1 (curve a) and when the number of preventive replacements is increased by 15%, 30% and 45%, respectively (curves b, c and d).
a—the number of preventive replacements is the same as in Example 1,
b—the number of preventive replacements is increased by 15%,
c—the number of preventive replacements is increased by 30%,
d—when the number of preventive replacements is increased by 45%,
(based on case a).
Along with the increase in the value of preventive replacements, the value of the criterion function g(x) increases. This is shown in Figure 4 and Figure 5. It happens for profit (loss) over time as well as for availability in the function of transport tasks. The function g(x) has a maximum value for the smaller values of xmax (optimal value of time to preventive replacement). It follows that, in the transport system under consideration (agricultural tractor operation system), it is possible to increase the efficiency of the technical objects in use as a result of planning additional preventive replacements (increasing the frequency of these replacements).
In the publication [21], the simplest semi-Markov model was developed for the stationary mode of system operation. A systematic probabilistic–statistical approach and a graph-analytical apparatus were used. The obtained semi-Markov model of operation was tested on a potato harvest. The obtained results indicate that the developed semi-Markov model can be used to find probability–time indicators of crop harvesting processes in agriculture. However, the article does not develop a model that has similar functions to ours. This article uses a different state graph. PM and MR were not addressed.
The article [22] presents a modeling of the process of exploitation of the means of transport in the army. There, it is necessary to maintain transport units at a high level of availability. As quantitative characteristics for assessing and optimizing the availability of military vehicles, three indicators were proposed: functional availability, technical efficiency and airworthiness. In order to determine their value, a stochastic exploitation model was developed, based on the application of the theory of Markov processes. Based on the collected empirical data, nine states of the system have been identified. Operational states related to the implementation of the transport task, refueling, parking in the garage and maintenance and repairs were distinguished. As part of the consideration on continuous time, the verification of the distribution of time characteristics led to the development of the semi-Markov model. The indicators of functional accessibility, efficiency and technical suitability were determined. This article uses a different state graph. PM and MR were not addressed.
The article [23] presents an analysis of the real system of operation of means of transport together with a mathematical model that allows for examining the degree of their readiness to perform transport tasks using the semi-Markov model.
The calculated characteristics made it possible to diagnose the analyzed system and assess the level of technical readiness.
As a result of the analysis of the transport system using the semi-Markov model, the values of the selected indicators were obtained, which were then used to determine the probability of the vehicles staying in the distinguished operating states. Such a model allows for a qualitative and quantitative assessment of credibility and the identification of weak links and areas requiring detailed control, which may result in an increase in the organization’s potential.
4. Conclusions
Repair systems, including those involving minimal repairs, preventive replacements and perfect repairs, have already been described by other authors. However, they do not often use semi-Markov processes to model them. Semi-Markov processes were used to develop the mathematical model in the paper. Its use allows the determination of the optimal strategies for preventive actions for minimal repairs based on the presented criteria functions. An infinite time horizon is used to study criterion functions. For the state of emergency repair (state 2—minimal repair) and preventive replacement (state 4), the relationships between stock times and costs (profits) should be defined. This will allow for defining stronger conditions. This analysis confirmed that, for the assumptions described in the paper, there is one maximum for the criterion functions. Sufficient conditions for the existence of the maximum were formulated on the basis of the analysis of these functions.
The article presents a fragment of our efforts to build a computer program to manage a fleet of transport units. We have built a model that will allow us to determine the maximum for which we will get the highest profit. This applies to finances and availability. Our model can be used in transport systems where preventive and minimal repairs are carried out. After adaptation, the method can be used to model repair systems for other technical objects. This is especially important in conditions where a high level of availability is required. However, these systems must use the same graph-mapping of the changes in the states of the renewal system model as ours.
Author Contributions
Conceptualization, S.B. and K.M.; methodology, S.B. and K.M.; software, A.N.; validation, A.N. and A.S.; formal analysis, S.B.; investigation, M.S.; writing—original draft preparation, S.B. and K.M.; writing—review and editing, S.B. and K.M.; visualization, L.H. and J.N. All authors have read and agreed to the published version of the manuscript.
Funding
This research received no external funding. The APC was funded by Faculty of Mechanical Engineering, Bydgoszcz University of Sciences and Technology BN-WIM-0/2022.
Institutional Review Board Statement
Not applicable.
Informed Consent Statement
Not applicable.
Data Availability Statement
The data presented in this study are available upon request from the first author S.B.
Conflicts of Interest
The authors declare no conflict of interest.
References
- Ovchinnikova, N.I.; Kosareva, A.V. Compositional method for estimating the time between failures of an agricultural harvesting system. Bull. Irkutsk. State Tech. Univ. 2018, 22, 46–55. [Google Scholar] [CrossRef]
- Chan, P.K.W.; Downs, T. Two criteria for preventive maintenance. IEEE Trans. Reliab. 1978, 27, 272–273. [Google Scholar] [CrossRef]
- Asha, G.; Unnikrishanan, N.N. Reliability properties of means time to failure in age replacement models. Int. J. Reliab. Qual. Saf. Eng. 2010, 17, 15–26. [Google Scholar] [CrossRef]
- Minteh, M.; Tchotang, T.; Meva’a, L.; Kenmeugne, B. Assessment of the impact of preventive maintenance strategy on reliability indicators of a rice combine harvester in the Gambia. Agric. Eng. Int. CIGR J. 2019, 21, 1. [Google Scholar]
- Morse, P.C. Queues, Inventories, and Maintenance; Wiley: Hoboken, NJ, USA, 1958. [Google Scholar]
- Barlow, R.; Hunter, L. Optimum Preventive Maintenance Policies. Oper. Res. 1960, 8, 90–100. [Google Scholar] [CrossRef]
- Nakagawa, T.; Kowada, M. Analysis of a system with minimal repair and its application to replecement policy. Eur. J. Oper. Res. 1983, 12, 176–182. [Google Scholar] [CrossRef]
- Brown, M.; Prochan, F. Imperfect Repair. J. Appl. Probab. 1983, 20, 851–859. [Google Scholar] [CrossRef]
- Fontenot, R.A.; Proschan, F. Some imperfect maintenance models. In Reliability Theory and Models; Abdel-Hameed, M., Ed.; Academic Press: Orlando, FL, USA, 1984. [Google Scholar]
- Knopik, L.; Migawa, K. Optimal age-replacement policy for non-repairable technical objects with warranty. Eksploat. Niezawodn. Maint. Reliab. 2017, 19, 172–178. [Google Scholar] [CrossRef]
- Pham, H.; Wang, H. Imperfect maintenance. Eur. J. Oper. Res. 1996, 94, 425–438. [Google Scholar] [CrossRef]
- Tadj, L.; Ouali, M.S.; Yacount, S.; Ait-Kadi, D. Replacement Models with minimal Repair. In Chapter: A Survey of Replacement Models with Minimal Repair; Springer: London, UK, 2011. [Google Scholar]
- Chang, C.C.; Sheu, S.H.; Chen, Y.L.; Zhang, Z.G. A multi-criteria optimal replacement policy for a system subject to shocks. Comput. Ind. Eng. 2011, 61, 1035–1043. [Google Scholar] [CrossRef]
- Chang, C.C.; Sheu, S.H.; Chen, Y.L. A bivariate optimal replacement policy for system with age-dependent minimal repair and cumulative repair-cost limit. Commun. Stat. Theory 2013, 42, 4108–4126. [Google Scholar] [CrossRef]
- Xia, T.; Xi, L.; Zhou, X.; Du, S. Modeling and optimizing maintenance schedule for energy systems subject to degradation. Comput. Ind. Eng. 2012, 63, 607–614. [Google Scholar] [CrossRef]
- Xu, M.; Chen, T.; Yang, X. Optimal replacement policy for safety-related multi-component multi-state systems. Reliab. Eng. Syst. Saf. 2012, 99, 87–95. [Google Scholar] [CrossRef]
- Chang, C.-C. Optimum preventive maintenance policies for system subject to random working time, replacement, and minimal repair. Comput. Ind. Eng. 2014, 67, 185–194. [Google Scholar] [CrossRef]
- Knopik, L.; Migawa, K. Multi-state model of maintenance policy. Eksploat. Niezawodn. Maint. Reliab. 2017, 20, 125–130. [Google Scholar] [CrossRef]
- Knopik, L. Some results on ageing class. Control. Cybern 2005, 34, 1175–1180. [Google Scholar]
- Knopik, L. Characterization of a class of lifetime distributions. Control. Cybern 2006, 35, 1175–1180. [Google Scholar]
- Ovchinnikova, N.I.; Kosareva, A.V.; Bonnet, V.V.; Eltochkina, E.V. A simple semi-Markov model of functioning of agricultural cleaning and transport system. J. Physics Conf. Ser. 2019, 1333, 032061. [Google Scholar] [CrossRef]
- Oszczypała, M.; Ziółkowski, J.; Małachowski, J. Analysis of Light Utility Vehicle Readiness in Military Transportation Systems Using Markov and Semi-Markov Processes. Energies 2022, 15, 5062. [Google Scholar] [CrossRef]
- Borucka, A. Method of testing the readiness of means of transport with the use of semi-markov processes. Transport 2021, 36, 75–83. [Google Scholar] [CrossRef]
Disclaimer/Publisher’s Note: The statements, opinions and data contained in all publications are solely those of the individual author(s) and contributor(s) and not of MDPI and/or the editor(s). MDPI and/or the editor(s) disclaim responsibility for any injury to people or property resulting from any ideas, methods, instructions or products referred to in the content. |
© 2023 by the authors. Licensee MDPI, Basel, Switzerland. This article is an open access article distributed under the terms and conditions of the Creative Commons Attribution (CC BY) license (https://creativecommons.org/licenses/by/4.0/).




