Evaluation of Integrated CNN, Transfer Learning, and BN with Thermography for Breast Cancer Detection
Abstract
1. Introduction
2. Materials and Methods
2.1. Classification of Images Using Transfer Learning
2.1.1. Very Deep Convolutional Networks (VGG16)
2.1.2. Xception
2.1.3. ResNet50
2.1.4. MobileNet
2.2. Statistical Methods and Construction of BN + CNN Expert Model from Data
- Feature extraction from the thermal images. This step is described in more detail in another subsection. The extracted factors from the image are:
- Maximum temperature;
- Minimum temperature;
- Max temperature minus min temperature;
- Mean temperature;
- Median temperature;
- Standard deviation;
- Variance;
- Max temperature minus mean temperature;
- Max temperature minus max temperature of the healthy breast;
- Max temperature minus min temperature of the healthy breast;
- Max temperature minus mean of the healthy breast;
- Mean temperature minus mean temperature of the healthy breast;
- Distance (max to min in pixels);
- A = number of all pixels around the point of the maximum temperature that have temperature > [ mean + 0.5 (maximum-mean)];
- B = number of pixels/cells of the temperature matrix of the image of the breast with tumor;
- C = number of all pixels that have temperature > [ mean + 0.5 (maximum-mean)];
- A/B;
- C/B.
- First, a descriptive analysis must be performed to check the distributions and the probability density functions. Then, appropriate algorithms will be used for the imputation of missing values. In our case, the structural expectation maximization algorithm as it is implemented in BayesiaLab 10.2 software was used;
- BNs require the discretization of scale variables. A supervised multivariate discretization method optimized for the target variable tumor (positive = 1 or negative = 0 states) has been used;
- Unsupervised learning has been performed to discover associations and possible causal structures. This step is independent of the supervised learning that finally will be used to build the final expert model. However, it is a consistency check and can also provide the influential nodes for the target variable, which is the tumor. Arrow-type connections and strengths of informational nodes are evaluated with the information-theoretic mathematical quantities of Mutual Information, Minimum Description Length (MDL) score, and the Kullback-Leibler Divergence or KL Divergence;
- Supervised learning was performed using the Augmented Naïve Bayes learning scheme. Next, validation of the results was checked using K-fold analysis;
- Run the supervised learning for structuring a BN using the extracted features plus the following historical medical data for each patient: marital status, race, age, first menstruation, last menstrual period, eating fat, mammography, radiotherapy, plastic surgery, prosthesis, biopsy, hormone replacement, wart on breast and temperature;
- Run the same supervised learning for creating BN with the same data plus CNN prediction factor;
- Compare. If the accuracy is similar, then accept the integrated CNN + BN expert model that achieves both explainability/interpretability and high accuracy. It is important for BN to have similar performance with the CNN methods because this means that the influential factors that can be discovered only with the BN method (and are significant for a physician) are enough for a good diagnosis.
3. Experimental Setup and Results
3.1. Dataset Description
3.1.1. The Database for Mastology Research
- Images are fuzzy, with the contour of the breasts and even the entire body barely apparent. As can be seen in Figure 2, the distinction is quite noticeable.
- Images that did not adhere to the approved protocol, for instance, nineteen patients had their arms down or were photographed in an odd position.
3.1.2. The Multifunctional Medical Center of Astana
3.2. Data Augmentation and Implementation Details
- Rotation: rotating the image with an angle between zero and ten in the clockwise or counterclockwise direction;
- Scaling: sampling the scale of the frame size of the image randomly between 80% and 110%;
- Translation: translating the image horizontally and vertically between −10% and 10%;
- Horizontal flip: horizontally flipping the image with a probability of 0.5.
3.3. Evaluation Metrics
3.4. Results for Image Classification
3.4.1. Transfer Learning Models’ Results
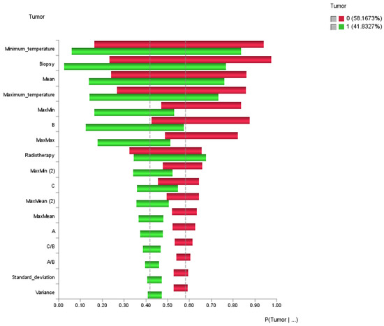
3.4.2. Bayesian Network Results
4. Conclusions and Discussion
Author Contributions
Funding
Institutional Review Board Statement
Informed Consent Statement
Data Availability Statement
Conflicts of Interest
References
- Francis, S.V.; Sasikala, M.; Jaipurkar, S.D. Detection of Breast Abnormality Using Rotational Thermography; Springer: Singapore, 2017; pp. 133–158. [Google Scholar]
- Singh, D.; Singh, A.K. Role of image thermography in early breast cancer detection—Past, present and future. Comput. Methods Programs Biomed. 2020, 183, 105074. [Google Scholar] [CrossRef]
- Sung, H.; Ferlay, J.; Siegel, R.L.; Laversanne, M.; Soerjomataram, I.; Jemal, A.; Bray, F. Global cancer statistics 2020: Globocan estimates of incidence and mortality worldwide for 36 cancers in 185 countries. CA Cancer J. Clin. 2021, 71, 209–249. [Google Scholar] [CrossRef] [PubMed]
- World Health Organization (WHO). WHO—Breast Cancer: Prevention and Control. 2020. Available online: http://www.who.int/cancer/detection/breastcancer/en/index1.html (accessed on 5 March 2022).
- Mashekova, A.; Zhao, Y.; Ng, E.Y.; Zarikas, V.; Fok, S.C.; Mukhmetov, O. Early detection of the breast cancer using infrared technology—A Comprehensive Review. Therm. Sci. Eng. Prog. 2022, 27, 101142. [Google Scholar] [CrossRef]
- Kandlikar, S.G.; Perez-Raya, I.; Raghupathi, P.A.; Gonzalez-Hernandez, J.L.; Dabydeen, D.; Medeiros, L.; Phatak, P. Infrared imaging technology for breast cancer detection—Current status, protocols and new directions. Int. J. Heat Mass Transf. 2017, 108, 2303–2320. [Google Scholar] [CrossRef]
- Kamal, R.; Mansour, S.; Farouk, A.; Hanafy, M.; Elhatw, A.; Goma, M.M. Contrast-enhanced mammography in comparison with dynamic contrast-enhanced MRI: Which modality is appropriate for whom? Egypt. J. Radiol. Nucl. Med. 2021, 52, 216. [Google Scholar] [CrossRef]
- Khan, S.; Rahmani, H.; Shah, S.A.A.; Bennamoun, M. A Guide to Convolutional Neural Networks for Computer Vision; Morgan Claypool Publishers: San Rafael, CA, USA, 2018. [Google Scholar]
- Sarigoz, T.; Ertan, T. Role of dynamic thermography in diagnosis of nodal involvement in patients with breast cancer: A pilot study. Infrared Phys. Technol. 2020, 108, 103336. [Google Scholar] [CrossRef]
- Saniei, E.; Setayeshi, S.; Akbari, M.E.; Navid, M. Parameter estimation of breast tumor using dynamic neural network from thermal pattern. J. Adv. Res. 2016, 7, 1045–1055. [Google Scholar] [CrossRef] [PubMed]
- Torres-Galván, J.C.; Guevara, E.; González, F.J. Comparison of deep learning architectures for pre-screening of breast cancer thermograms. In Proceedings of the 2019 Photonics North (PN), Quebec City, QC, Canada, 21–23 May 2019; pp. 1–2. [Google Scholar]
- Zuluaga-Gomez, J.; Al Masry, Z.; Benaggoune, K.; Meraghni, S.; Zerhouni, N. A CNN-based methodology for breast cancer diagnosis using thermal images. Comput. Methods Biomech. Biomed. Eng. Imaging Vis. 2021, 9, 131–145. [Google Scholar] [CrossRef]
- Bapin, Y.; Zarikas, V. Smart Building’s Elevator with Intelligent Control Algorithm based on Bayesian Networks. Int. J. Adv. Comput. Sci. Appl. 2019, 10, 16–24. [Google Scholar] [CrossRef]
- Zarikas, V. Modeling decisions under uncertainty in adaptive user interfaces. Univers. Access Inf. Soc. 2007, 6, 87–101. [Google Scholar] [CrossRef]
- Zarikas, V.; Papageorgiou, E.; Regner, P. Bayesian network construction using a fuzzy rule based approach for medical decision support. Expert Syst. 2015, 32, 344–369. [Google Scholar] [CrossRef]
- Amrin, A.; Zarikas, V.; Spitas, C. Reliability analysis and functional design using Bayesian networks generated automatically by an “Idea algebra” framework. Reliab. Eng. Syst. Saf. 2018, 180, 211–225. [Google Scholar] [CrossRef]
- Amrin, A.; Zarikas, V.; Spitas, C. Reliability analysis of an automobile system using idea algebra method equipped with dynamic Bayesian network. Int. J. Reliab. Qual. Saf. Eng. 2022, 29, 2150045. [Google Scholar] [CrossRef]
- Darmeshov, B.; Zarikas, V. Efficient Bayesian expert models for fever in neutropenia and fever in neutropenia with bacteremia. In Proceedings of the Future Technologies Conference; Springer: Cham, Switzerland, 2019; pp. 124–143. [Google Scholar] [CrossRef]
- Hamilton, P.W.; Montironi, R.; Abmayr, W.; Bibbo, M.; Anderson, N.; Thompson, D.; Bartels, P.H. Clinical applications of Bayesian belief networks in pathology. Pathologica 1995, 87, 237–245. [Google Scholar] [PubMed]
- Liu, S.; Deng, W. Very deep convolutional neural network based image classification using small training sample size. In Proceedings of the 2015 3rd IAPR Asian Conference on Pattern Recognition (ACPR), Kuala Lumpur, Malaysia, 3–6 November 2015; pp. 730–734. [Google Scholar] [CrossRef]
- Benbrahim, H.; Behloul, A. Fine-tuned Xception for Image Classification on Tiny ImageNet. In Proceedings of the 2021 International Conference on Artificial Intelligence for Cyber Security Systems and Privacy (AI-CSP), El Oued, Algeria, 20–21 November 2021; pp. 1–4. [Google Scholar] [CrossRef]
- Aidossov, N.; Mashekova, A.; Zhao, Y.; Zarikas, V.; Eddie-Yin-Kwee Ng Mukhmetov, O. Intelligent Diagnosis of Breast Cancer with Thermograms using Convolutional Neural Networks. In Proceedings of the 14th International Conference on Agents and Artificial Intelligence (ICAART 2022), Virtual, 3–5 February 2022; Volume 2, pp. 598–604. [Google Scholar] [CrossRef]
- Elkan, C. The foundations of cost-sensitive learning. In Proceedings of the 17th international Joint Conference on Artificial Intelligence—Volume 2 (IJCAI’01); Morgan Kaufmann Publishers Inc.: San Francisco, CA, USA, 2001; pp. 973–978. [Google Scholar]
- Udas, N.; Beuth, F.; Kowerko, D. Concept Detection in Medical Images using Xception Models—TUC_MC at ImageCLEFmed. In Proceedings of the CLEF 2020, (Working Notes), Thessaloniki, Greece, 22–25 September 2020. [Google Scholar]
- Howard, A.G.; Zhu, M.; Chen, B.; Kalenichenko, D.; Wang, W.; Weyand, T.; Andreetto, M.; Adam, H. Mobilenets: Efficient convolutional neural networks for mobile vision applications. arXiv 2017, arXiv:1704.04861. [Google Scholar]
- Silva, L.F.; Saade, D.C.M.; Sequeiros, G.O.; Silva, A.C.; Paiva, A.C.; Bravo, R.S.; Conci, A. A new database for breast research with infrared images. J. Med. Imaging Health Inform. 2014, 4, 92–100. [Google Scholar] [CrossRef]
- Visual Lab DMR Database. Available online: http://visual.ic.uff.br/dmi/ (accessed on 26 November 2022).
- Andersson, E.; Berglund, R. Evaluation of Data Augmentation of MR Images for Deep Learning; Lund University: Lund, Sweden, 2018. [Google Scholar]
- Dong, Q.; Gong, S.; Zhu, X. Imbalanced Deep Learning by Minority Class Incremental Rectification. IEEE Trans. Pattern Anal. Mach. Intell. 2019, 41, 1367–1381. [Google Scholar] [CrossRef] [PubMed]














| Healthy | Sick | Total | |
|---|---|---|---|
| Database for Mastology Research (DMR) | 166 | 100 | 266 |
| Multifunctional Medical Center Astana | 12 | 28 | 40 |
| Total | 178 | 128 | 306 |
| Label | Training | Cross-Validation | Testing | Total |
|---|---|---|---|---|
| Healthy | 122 | 18 | 38 | 178 |
| Sick | 90 | 12 | 26 | 128 |
| Total | 212 | 30 | 64 | 306 |
| Component | Value |
|---|---|
| CPU | Intel ® Xeon ® Silver 4210 Processor |
| Total Cores | 10 |
| Total Threads | 20 |
| Max Turbo Frequency3 | 3.20 GHz |
| Processor Base Frequency2 | 2.20 GHz |
| Cache | 13.75 MB |
| RAM size | 64 GB |
| Maximum Memory Speed | 2400 MHz |
| CNN Model | Accuracy | Precision | Sensitivity/Recall | Specificity | F1-Score | AUC Score |
|---|---|---|---|---|---|---|
| Xception | 85.9 | 85.4 | 92.1 | 76.9 | 88.6 | 0.92 |
| MobileNet | 93.8 | 92.5 | 97.4 | 88.5 | 94.9 | 0.974 |
| ResNet50 | 79.7 | 83.8 | 81.6 | 76.9 | 82.7 | 0.967 |
| VGG16 | 87.5 | 85.7 | 94.7 | 76.9 | 90.0 | 0.969 |
| Target: Tumor | |
| Value | 0 |
| Gini Index | 38.2956% |
| Relative Gini Index | 91.1375% |
| Lift Index | 1.5119 |
| Relative Lift Index | 97.9255% |
| ROC Index | 95.5709% |
| Calibration Index | 80.8814% |
| Binary Log-Loss | 0.4745 |
| Occurrences | |||
| Value | 0 (178) | 1 (128) | Missing Value (1) |
| 0 (179) | 164 | 14 | 1 |
| 1 (128) | 14 | 114 | 0 |
| Reliability | |||
| Value | 0 (178) | 1 (128) | Missing Value (1) |
| 0 (179) | 91.6201% | 7.8212% | 0.5587% |
| 1 (128) | 10.9375% | 89.0625% | 0.0000% |
| Precision | |||
| Value | 0 (178) | 1 (128) | Missing Value (1) |
| 0 (179) | 92.1348% | 10.9375% | 100.0000% |
| 1 (128) | 7.8652% | 89.0625% | 0.0000% |
Disclaimer/Publisher’s Note: The statements, opinions and data contained in all publications are solely those of the individual author(s) and contributor(s) and not of MDPI and/or the editor(s). MDPI and/or the editor(s) disclaim responsibility for any injury to people or property resulting from any ideas, methods, instructions or products referred to in the content. |
© 2023 by the authors. Licensee MDPI, Basel, Switzerland. This article is an open access article distributed under the terms and conditions of the Creative Commons Attribution (CC BY) license (https://creativecommons.org/licenses/by/4.0/).
Share and Cite
Aidossov, N.; Zarikas, V.; Mashekova, A.; Zhao, Y.; Ng, E.Y.K.; Midlenko, A.; Mukhmetov, O. Evaluation of Integrated CNN, Transfer Learning, and BN with Thermography for Breast Cancer Detection. Appl. Sci. 2023, 13, 600. https://doi.org/10.3390/app13010600
Aidossov N, Zarikas V, Mashekova A, Zhao Y, Ng EYK, Midlenko A, Mukhmetov O. Evaluation of Integrated CNN, Transfer Learning, and BN with Thermography for Breast Cancer Detection. Applied Sciences. 2023; 13(1):600. https://doi.org/10.3390/app13010600
Chicago/Turabian StyleAidossov, N., Vasilios Zarikas, Aigerim Mashekova, Yong Zhao, Eddie Yin Kwee Ng, Anna Midlenko, and Olzhas Mukhmetov. 2023. "Evaluation of Integrated CNN, Transfer Learning, and BN with Thermography for Breast Cancer Detection" Applied Sciences 13, no. 1: 600. https://doi.org/10.3390/app13010600
APA StyleAidossov, N., Zarikas, V., Mashekova, A., Zhao, Y., Ng, E. Y. K., Midlenko, A., & Mukhmetov, O. (2023). Evaluation of Integrated CNN, Transfer Learning, and BN with Thermography for Breast Cancer Detection. Applied Sciences, 13(1), 600. https://doi.org/10.3390/app13010600

