Abstract
Mercury is a highly toxic element subject to bioaccumulation, increasing its harmful effects on living organisms over time. In the present study, total mercury contents were determined in the liver, kidneys and hair of cats from Warsaw and its suburban areas. The study took into account the influence of the age, sex and living conditions of the animals. Samples were obtained between 2014 and 2016, and mercury contents were determined by atomic absorption spectrometry (AAS). The average mercury concentrations in the tissues studied were 0.025, 0.026 and 0.030 mg∙kg−1 in the hair, kidneys and livers of the individuals tested, respectively. Higher values were recorded in animals from the city area, and an increase in this metal with the age of the cats was also found. The average contents of mercury in the tissues studied were within the range of the recommended reference values, which in this case indicates low environmental exposure of animals to mercury.
1. Introduction
Mercury is a toxic element and is classified among the transition metals. It penetrates the environment from natural sources, such as volcanic activity and natural rock weathering processes, as well as through human activity, mainly related to the production of energy, metallurgy, waste incineration and craft gold mining [1,2,3]. It has been estimated that over the last century human activity resulted in a five-fold increase in mercury content in the atmosphere and a three-fold increase in its levels in surface oceanic waters [3]. Many actions have been carried out over the past several decades aiming at the reduction of mercury emissions from human-related sources in relation to its toxic activity and capability for bioaccumulation in animal and human tissues [4,5,6].
Mercury forms a group of organometallic compounds. It has the capacity to transform into different forms and thus it moves in the trophic chain exceedingly easily, particularly in the form of methyl compounds. For this reason, organometallic mercury compounds are of interest to toxicologists. In the environment, mercury can occur both in elemental metallic Hg0 and inorganic Hg22+ and Hg2+ forms. The highest toxicities characterize methyl organic compounds, such as methylmercury, dimethylmercury and ethyl mercury, which easily move from one form to another [7,8]. This process takes place mainly in aquatic environments, in which relatively lowly toxic Hg22+ and Hg+ are subject to methylation. Until recently, methylation was thought to occur due to bacteria reducing sulfates and iron. Recently, however, it has been shown that methanogens are important contributors to methylmercury production in anoxic, mineral-deficient environments [9,10,11,12,13].
Absorption of mercury by terrestrial vertebrates takes place via three major routes: the respiratory and digestive systems and via the transdermal route [14,15,16]. After reaching the organism through the alimentary route, in the inorganic form, its absorption rate is low (less than 20% of the ingested dose), whereas methyl derivatives are absorbed at a rate of approximately 90% [4,5].
The problem of environmental monitoring in the context of mercury pollution is still current because incidents related to its uncontrolled release from industrial sources continue to happen, and the element remains a threat, not only to aquatic systems. The rapid emission of mercury into the environment took place in the 1920s and was linked to its broader scope of industrial use and release, particularly during the combustion of energy raw materials. In the industrialized countries, the peak of mercury emission was between the 1960s and 1970s. Emissions of this metal started to fall rapidly in the 1980s only thanks to efficient corrective and preventive actions [17]. However, quantities circulating in the environment were released many years ago, and currently it is highly difficult to assess how much mercury comes from re-emission [2,3,18,19]. For decades, many actions were undertaken that aimed at reducing the release of mercury compounds of anthropogenic origin into the environment. The Minamata Convention definitely had a most important role, as it set out the legal framework for the protection of the health of people and the environment against the toxic effect of mercury [3,20]. It has been estimated that Poland is one of the major emitters of mercury in Europe. Data from 2016 indicate that the country is responsible for approximately 18% of the total emissions of this metal into the atmosphere on the European continent [21]. Despite the many actions aiming at the reduction of pollution emissions, it is estimated that the biosphere in Central Europe is more exposed to mercury than the other regions of the continent [2,19,22,23].
Thus far, research on tissue contents of mercury has been conducted mainly in humans and free-living animals, whereas data concerning its levels in domestic animals are scarce. The domestic cat is a species that remains in a close relationship with humans, and its longevity enables the observation of long-term effects of certain environmental factors, including the bioaccumulation of toxic elements in tissues. For this reason, it has been assumed that it is a good indicator species which should be used in analyses of the quality of the environments of people living in urban agglomerations [24,25,26,27,28]. Initially, the research concerning contents of mercury in animal and human organisms was conducted mainly on the basis of liver and kidney sample analyses. In recent decades, analysis of contents in common integument derivatives, such as hair, was also introduced. Toxic elements undergo accumulation in different organs and structures of organisms, as well as biotransformation, including methylation and demethylation, and processes of excretion, and occur in all excretions and secretions. The primary role in processes of inorganic mercury excretion from organisms is played by excretory systems, enabling its elimination in urine. Thus, the measurement of total mercury content in urine is used to investigate exposure to inorganic compounds [29]. The fate of methylmercury is different, as it is transferred from the gastrointestinal tract almost entirely to the blood circulation, where 90% of it binds with erythrocytes. The main routes of methylmercury elimination are bile and hair coats; thus, the total mercury content in hair is treated as an indicator of exposure to methylmercury [30]. It should be added that the organs which display the symptoms of metal or metalloid toxicity are not necessarily those in which bioaccumulation of the element in question takes place, as this depends on the element’s toxicokinetics. Although the data of US EPA [31] indicate that the organs susceptible to the toxic effect of a given element may differ between species, for mercury in warm-blooded terrestrial vertebrates it is clearly indicated that the kidneys are the organs particularly susceptible to its toxic effect (in the case of inorganic compounds), along with central nervous system tissue in terms of organic compounds of mercury. The organs in which bioaccumulation of this element takes place are the aforementioned kidneys and liver [32,33,34,35,36]. In the context of analyses of metal and metalloid contents, scientists began to search the material enabling intravital sampling in a less invasive way, and in the last three decades attention has been paid to skin derivatives, among which the hair coat seems to be the most suitable investigational material [37,38]. This material appears to correctly reflect the level of mercury in the organism, enabling observation of long-term exposure to the metal [4,14,29,30,31,32,33,34,35,36,37,38,39,40,41]. The advantage of hair over other biological samples is due to the ease of its collection in a non-invasive manner, and it does not require refrigeration conditions during storage. Mercury content in hair is higher than in blood or urine samples. What is more, retrospective analyses can be performed as a result of testing the hair of individuals maintained in museums [42,43,44].
The objective of this study is the analysis of total mercury contents in the liver, kidneys and hair of domestic cats originating from two different habitats within the Warsaw metropolitan area, as well as determination of the correlation between the contents of mercury in the liver and kidneys and the hair of the examined individuals. Another significant issue is the assessment of the effects of habitat, sex and age on the examined animals with respect to tissue contents of mercury, which should provide an answer to the question of which group of animals is more exposed.
2. Materials and Methods
The study included 85 cats. The comparative material consisted of samples of kidneys, livers and hair coats, which were collected in the period 2014–2016 at veterinary clinics located in Warsaw and its suburban areas. Organ samples originated from cats of known origin whose death occurred as a result of extensive multiple-organ injuries or disease not linked directly to hepatic or renal failure. The examined individuals were divided into three age categories: young adults (1–5 years), older adults (6–10 years) and geriatric animals (11–15 years). The tissue samples were collected from 39 males and 46 females. Apart from the division in terms of sex, the grouping factor was the habitat of the cats, based on which two groups were distinguished. The first one comprised animals from the area of the city of Warsaw (including the strict city center), whereas the second included animals originating from suburban areas of Warsaw. Cats from the city area were mainly housed individuals, while most of the animals from suburban regions were allowed to leave their owners’ homes. Information regarding the examined animals was obtained from the patient files of veterinary clinics.
Approximately 5 g of kidneys and liver and 2 g of hair were collected for the study samples. Kidney samples were collected so that they included both the cortical part and medulla of the organ. In the case of liver, the samples included cuttings of the right lateral lobe. The hair was collected from the withers region.
Based on the information obtained from the Third Local Ethics Committee in Warsaw, in light of the applicable legal regulations, tests using animal tissues collected post mortem do not require the obtainment of appropriate approval.
Until the day of the determinations, samples of parenchymatous organs were stored in polyethylene containers in a deep-freeze state at a temperature of −20 °C, apart from the hair samples, which were stored in gray paper bags. Prior to the performance of the determinations, samples of kidneys and liver were defrosted. Preparation of hair samples was conducted in accordance with the methods described by Kośla and Skibniewska [45]. Samples of hair were washed in distilled water, followed by washing three times in re-distilled water, and degreased on a Soxhlet apparatus using 70% ethyl alcohol. Total mercury content in the examined samples was determined using atomic absorption spectrometry (AAS) utilizing an AMA 254 automatic mercury analyzer type produced by ALTEC (Czech Republic).
Tissue samples prepared for analysis were placed directly in the nickel nacelle of the analyzer and automatically introduced into the furnace chamber, as this device does not require prior digestion of samples. The procedure is based on a pyrolysis process. An initial drying process was carried out in the chamber, followed by combustion in an oxygen stream at a temperature of 850–900 °C. The combustion products with the flowing oxygen were transferred to the exhaust part of the furnace chamber, which included the catalyst. Subsequently, the combustion and halide, nitrogen and sulfur oxide capture processes were completed.
The free mercury vapour was moved to the amalgamator, where capture through the layer of pulverized gold was carried out. As a result of amalgamator heating to a temperature of approximately 1000 °C, the amalgamate was subjected to decomposition and thus released mercury was moved into measurement cuvettes. Then, the absorption of radiation was measured with a wavelength of 253.7 nm by free element atoms.
The samples were analyzed at specified cycle parameters regarding the time of drying, combustion and awaiting results of 60, 120 and 60 s, respectively. In order to assess the correctness and accuracy of measurements, certified reference materials were used.
Three replications of analyses were performed, and the obtained results were used to calculate arithmetic means. The analytical procedures were checked by determining Hg concentrations in samples of two reference materials—CRM No.13 Human Hair (National Institute for Environmental Studies) and bovine liver (Reference Material 1577c Bovine Liver National Institute of Standards and Technology NIST). Concentrations of mercury in the tested tissues (livers and kidneys) were provided in mg⋅kg−1 of wet weight and for the air-dried hair.
The statistical analysis of the results obtained, including the relationships within the individual groups, was developed using Statistica 13.3 software (TIBCO Inc.™, Palo Alto, CA, USA). The data distribution was analyzed using the Shapiro–Wilk W test, followed by non-parametric data analysis. In order to compare the differences between groups, the Mann-Whitney U test or the Kruskal–Wallis test was used at the significance levels of p ≤ 0.05 and p ≤ 0.01. The differences between the groups were analyzed using Spearman’s correlation coefficient at the significance levels of p ≤ 0.05 and p ≤ 0.01.
3. Results
Based on the obtained results, it was determined that the contents of mercury in the tested tissues ranged between 0 and 0.2 mg⋅kg−1 of wet tissue weight (Table 1).
Table 1.
Mercury contents in selected cat tissues in milligrams per kilogram.
The highest mercury value of 0.2 mg⋅kg−1 of wet weight was determined in the liver. Samples of liver from older individuals were also characterized by higher mean contents of this metal as compared with other analyzed tissues. In the case of kidneys and hair, contents were similar and amounted to approx. 0.025 mg⋅kg−1 of wet weight. A significant positive correlation (p ≤ 0.01) was recorded between the contents of mercury in the tissues of the livers and kidneys as well as hair in all tested cats (Table 2).
Table 2.
Correlation coefficients between Hg concentrations in the tissues analyzed.
Analysis of the influence of sex on the contents of mercury in the organs of the tested cats (Table 3) demonstrated that males had higher contents in all of the analyzed tissues. In the group of males, the lowest mercury contents were determined in the kidneys of the examined specimens. In the case of females, the contents of the metal in all tested tissues were similar and amounted to approx. 0.02 mg⋅kg−1 of wet weight. What is more, highly significant differences were found between the contents of this metal in the livers and hair of individuals of both sexes. In the case of the kidneys, no differences between groups were noted.
Table 3.
Contents of mercury in cat organs depending on sex in milligrams per kilogram. Letters signify highly significant differences at p ≤ 0.01.
Analysis of correlations within groups in the examined animals showed a strong positive correlation between the contents of mercury in the liver, kidneys and hair of the examined individuals (Table 4).
Table 4.
Correlations between the contents of mercury in tissues of individuals representing both sexes at p ≤ 0.01.
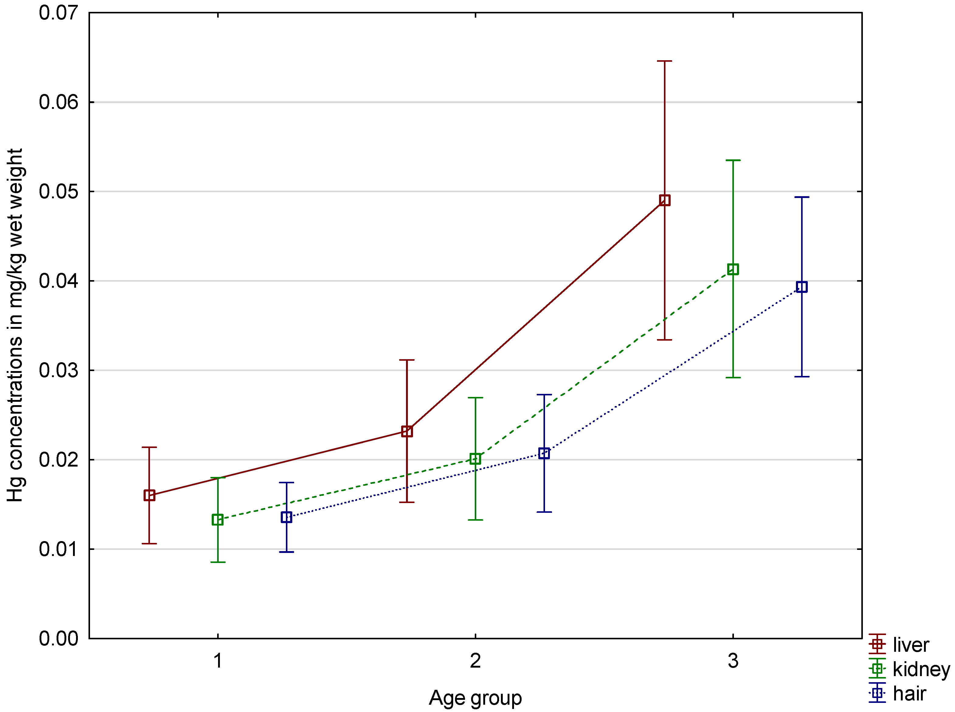
Through the analysis of the influence of age on the contents of mercury in tissues of the examined animals, it was determined that with the progress of the ageing process cats accumulate increasing quantities of this metal. Mean values of mercury in the livers of young adult individuals amounted to 0.016 mg⋅kg−1 of fresh weight of the organ. In the individuals in the 6–10 years age group, around 1.5-fold higher mean values were recorded, whereas in the geriatric group the levels of mercury in liver tissues were three-fold higher than in the young adults.
Similar relationships—of increase in mercury contents with age in the animals—were also recorded for the remaining tissues. In the case of kidneys, mean mercury contents in the geriatric group were four-fold, whereas for hair the values were three-fold higher than those observed in young adult animals (Table 5, Figure 1).
Table 5.
Mercury contents depending on cat age in milligrams per kilogram.
Figure 1.
Mercury contents depending on age group: 1—cats (1–5 years); 2—cats (6–10 years); 3—cats (11–15 years).
Analysis of the influence of the living conditions of the animals on the liver, kidney and hair mercury contents (Table 6) showed that cats living in urban conditions had higher contents of this metal in all of the Sinvestigated tissues. In the individuals from suburban areas vs. individuals kept in the metropolitan environment, mercury contents in the studied tissues were three times lower in the case of kidneys and nearly two times lower for hair. The discussed differences were statistically highly significant.
Table 6.
Mercury contents depending on living conditions in milligrams per kilogram.
4. Discussion
The obtained results indicate that all of the examined individuals were subject to low, long-term exposure to mercury, which was corroborated by the moderate levels detected in all investigated tissues of older cats. Exposure can be determined based on mercury contents in hair of 0.025 mg⋅kg−1, because hair is a biological material which is not affected by temporary fluctuations of mercury levels in the organism. The liver and kidneys are typically used as indicator tissues, in which essential and toxic trace minerals are deposited. However, their observed concentrations do not always reflect the load of the given element on the entire organism [32]. Hair, while being a stable and easy-to-store material, also has the capability to concentrate metals to a lesser degree than other tissues [42,46]. Indeed, the capability to accumulate metals is affected by the morphology of hair, which varies between species; however, it has been experimentally demonstrated that mercury has a high capability to bind with hair structures, which is why it has become one of the most important analytical materials used in the determination of contents of this metal [47,48].
Sensitivity to the toxic effect of mercury is a species trait. In light of previous research, it was determined that, among terrestrial mammals, large animal species are more resistant to the toxic effect of mercury [49,50]. The mechanisms of this phenomenon are not fully understood, yet it appears to be linked to the rate of metabolic change, the capability for organism detoxification, as well as the position of the given species in the trophic chain, because the capability of mercury migration and biomagnification in the food chain of mammals has been thoroughly documented [49,50,51,52]. Predators found at the top of the food pyramid are naturally more exposed to mercury bioaccumulation [4].
Thus far, no reference values for mercury contents in individual tissues of the domestic cat have been determined. Its concentrations registered in mammals subject to fatal poisoning, expressed in mg⋅kg−1 of organ wet weight, are as follows: 6.0 in the brain, 10.0–55.6 in the liver and 37.7 in the kidneys [52,53]. It has been experimentally demonstrated that LD50 for the domestic cat is 0.25 mg of mercury per one kilogram of body weight with long-term administration. On day 68, animals started to demonstrate neurological symptoms which continued until the end of the study, i.e., by day 90 of the experiment. In the surviving individuals, the levels of mercury in the liver were 40.2 and 18.1 mg⋅kg−1 of organ wet weight, respectively, for the total mercury content [50]. These are the results of an experimental study aiming at the determination of LD50 for individuals of the species; thus, the obtained values are extremely high. In light of the research conducted so far, it was determined that, similar to other mammal species, for the domestic cat, greater significance attaches to the form of mercury introduced into the organism, rather than its total content in food. Cats fed for 90 days with seal liver with a total content of mercury of 26,000 µg⋅kg−1 wet weight did not exhibit symptoms of the neurotoxic effect of this element, and no histopathological changes were observed. It was determined that toxicity is determined primarily by organic fractions and not the total content of the element [50,51]. This stems from the fact that the distribution of organic forms of mercury takes place at a much higher rate than their elimination; thus, almost immediately after absorption, the state of dynamic equilibrium is maintained between the blood and strongly vascularized tissues with high perfusion. It was determined that the exchange of organic mercury forms between the main parenchymatous organs, such as the liver and kidneys, as well as tissues without secretory functions, is a highly dynamic phenomenon [53,54]. However, a certain number of organic mercury forms are subject to demethylation in the liver, to which it is transported via hematogenous routes, from which part of it is eliminated through the gastrointestinal tract with bile and part of it is redistributed to tissues with blood [55,56]. It was determined that the hair coats of mammals play a significant role in mercury circulation, because both its organic and inorganic forms are reintroduced into the gastrointestinal tract via hair swallowed by animals during hair care. However, the differences in kinetics between both forms are notable, because the inorganic fraction is not subject to absorption into the blood due to its low bioavailability and is excreted in feces, whereas the fraction remaining in the hair is absorbed into the blood [55]. The phenomenon described above appears to be of significance in the case of mercury circulation in the domestic cat, for which intensive hair care involving swallowing substantial amounts of hair constitutes a significant element of natural behavior.
Based on research results, reference values for mercury contents in mammal tissues were assumed, according to which values for the kidneys should fall below 1.1 mg ⋅ kg−1 wet weight and for the central nervous system tissue below 1.5, whereas for the hair they should fall below 2 mg⋅kg−1 wet weight [51]. Sheffy and Amant [57] suggested that contents within the range from 1 to 5 mg⋅kg−1 are normal values for hair coats in terrestrial mammals, whereas a level of 30 mg⋅kg−1 was identified as LOAEL. The above ranges refer mainly to free-living animals. The results obtained in this study appear to be low against this background, because the mean for all 85 individuals is 40-fold lower than the lower range of reference values proposed by Sheffy and Amant [57]. These values are also markedly lower than those recorded in other felids. Behrooz and Poma [4], who analyzed mercury contents in the hair coats of eight free-living cat species, obtained values within a range from 0.062 to 3.67 mg⋅kg−1, with a median value of 0.488 mg⋅kg−1 dry weight. Due to the lack of other data on mercury contents in the hair of Felidae representatives, the authors referred the obtained results to other representatives of the order Carnivora, such as the brown bear and the jackal, distributed in the same zoogeographic region, as well as representatives of predators from other regions of the world, such as the raccoon from the USA, the red fox from Alaska and the Arctic fox from Russia and Iceland [40,41,58,59]. However, the differences in the ecotoxicological background result in a limited possibility of referring the results obtained in this study to those presented in the studies cited above, even more so given that most of the material analyzed in them originated from animals inhabiting areas where craft gold mining was taking place. It has been estimated that over 35% of the total mercury polluting different ecosystems penetrates them as a result of the craft gold mining process [6,60,61]. A similarly limited value is found by the comparison of the obtained results with the contents of mercury in the hair covers of cats from the Minamata District, for which the level of 46 mg⋅kg−1 resulted from the extreme environmental pollution with mercury, resulting in acute neurological symptoms in the poisoned animals, known as dancing cat disease [62]. However, little is known about the values found in clinically healthy animals living in areas not affected by the results of ecological disasters, which could be used to determine reference values for this species.
Mercury contents observed in the parenchymatous organs remained in the range of permissible reference values for mammals. It may come as a surprise that the animals from the urban area, which spend part of or the entirety of their lives in closed rooms, had higher mercury concentrations as compared with individuals from suburban areas, particularly given that the suburban areas from which the examined material was collected are characterized by significant numbers of buildings heated with coal, classified as so-called low emissions, resulting in elevated emissions of dust and toxic materials (such as mercury) into the atmosphere in the winter season. Data from the Chief Inspectorate for Environmental Protection record air pollution by mercury at the regional background traffic points in Poland; the emissions recorded by the traffic points located in the Mazowieckie Voivodeship were as follows: in 2014, 1.311 and 1.085 ng⋅m−3; in 2015, 1.412 and 1.232; and in 2016, 1.343 and 1.189, for the winter and summer seasons, respectively. Thus, an attempt was made to determine the degree to which the described phenomenon affected the total contents of mercury in the tissues of the examined animals. Based on the conducted study, it can be assumed that atmospheric mercury does not constitute a significant proportion of the total load of the element absorbed by animals. In view of the obtained results, it can be determined that the predominant form is the mercury taken in through the alimentary route. Mean values of 0.03 mg⋅kg−1 in the liver and 0.02 mg⋅kg−1 in the kidneys point to a relatively low exposure. Serpe et al. [24], who analyzed the tissues of dogs originating from an urban environment of Naples, obtained a mean value of 0.054 mg⋅kg−1 wet weight in livers and 0.04 mg⋅kg−1 in kidneys. The obtained results are similar to the data published by Dunlap et al. [63] and Lopez-Alonso et al. [64,65]. The pronounced correlation between the contents of mercury in the tested tissues is a proof that diet is the main factor affecting tissue contents in cats, because it is the main source of methylmercury, characterized by high bioavailability and rapid tissue distribution. The nutritional background may constitute an explanation of the differences observed between the groups of animals from suburban areas and the animals maintained in the city, because urban animals are mainly fed with commercial diets, which often contain fish or offal. The currently applicable regulations for dogs and cats permit a level of 0.5 mg⋅kg−1 mercury in products made from the processing of fish or other marine animals, 1 mg⋅kg−1 in tuna and products derived therefrom intended for the production of compound feed for pets, and 0.3 mg⋅kg−1 in supplementary food [66]. Altinok-Yipel et al. [67], who analyzed 50 commercially available cat diets produced by 15 manufacturers distributing their products on a global scale, determined that the mean mercury content in cat food based on salmon is 0.03 mg⋅kg−1; in food based on tuna, 0.04 mg⋅kg−1; and in products containing liver, 0.03 mg⋅kg−1. These values are similar to those observed in the tissues of animals from the urban area. Animals from suburban areas are, in the vast majority, let outdoors, and diversify their diet by realizing their natural need for hunting. The phenomenon of mercury return circulation described by Farris and Derick [55] may provide an additional explanation for the higher tissue concentrations of mercury in urban cats. Animals kept in flats, without the possibility of exploring the environment, spend more time performing hair care, which in many cases is a compulsive behavior resulting from limited interaction with the external environment. The swallowing of hair increases the load of bioavailable methylmercury. Individuals of both sexes differed significantly in terms of the mercury contents in all tested tissues, with higher values recorded for males. When the effect of age was taken into consideration, it was determined that in both females and males the level of mercury increases with the progress of the aging process. Mercury concentrations in the liver, kidneys and hair of males in the geriatric group were, respectively, 0.0485, 0.0392 and 0.0428 mg⋅kg−1; for females, the corresponding concentrations were 0.0493, 0.431 and 0.0362. In the group of young adult individuals, the observed values in males and females were similar in the liver, kidneys and hair: in males, these were 0.018, 0.0151 and 0,0150, respectively, whereas in females, they were 0.0108, 0.0087 and 0.0100, respectively. The greatest differences were observed in the second age group, in which the values recorded for males were 0.0347, 0.0307 and 0.0306, while in females they were 0.0147, 0.0121 and 0.0126. The presented data clearly indicate that the levels recorded in young adult individuals have similar values, whereas in male cats aged 6–10 years, mercury concentration in the liver, kidneys and hair is, respectively, 2.36-, 2,53- and 2,42-fold higher than in females. The differences between representatives of both sexes are reduced in geriatric animals. The observed differences may stem from the behavioral differences of males and females. Castrated individuals are predominant among male cats maintained under urban conditions, which increasingly frequently develop obesity. Elevated food intake may be the explanation of higher mercury contents in the tissues of males. However, despite the increased mercury contents in tissues of both sexes observed in the study, it should be stated that the recorded values do not pose a real health hazard for these animals.
5. Conclusions
In conclusion, it can be stated that the observed mercury levels in the liver, kidneys and hair of the examined individuals lie within the range of values which, according to data in the literature, should not cause symptoms of acute or chronic mercury poisoning, which indicates low environmental exposure. The higher values recorded in urban animals also lie within the reference mercury levels for mammals. Differences in mercury contents exist between individuals of both sexes. Males reach values observed in geriatric individuals at a much earlier age than females. The strong correlation of mercury content in hair with its levels in the liver and kidneys indicates the applicability of hair as an indicator material, with concentrations corresponding to the mercury load in the key organs.
Author Contributions
E.M.S., conceptualization, methodology, validation, formal analysis, investigation, writing—original draft preparation, supervision; M.S., data curation, software, resources, writing—review and editing, visualization. All authors have read and agreed to the published version of the manuscript.
Funding
This research received no external funding.
Institutional Review Board Statement
Not applicable.
Informed Consent Statement
Not applicable.
Data Availability Statement
Not applicable.
Conflicts of Interest
The authors declare no conflict of interest.
References
- Kalisińska, E.; Łanocha-Arendarczyk, N.; Podlasińska, J. Current and historical nephric and hepatic mercury concentrations in terrestrial mammals in Poland and other European countries. Sci. Total Environ. 2021, 775, 145808. [Google Scholar] [CrossRef] [PubMed]
- HELCOM. Inputs of Hazardous Substances to the Baltic Sea; Baltic Sea Environment: Helsinki, Finland, 2018. [Google Scholar]
- UNEP. Global Mercury Assessment 2018; Chemicals and Health Branch: Geneva, Switzerland, 2019. [Google Scholar]
- Behrooz, R.D.; Poma, G. Evaluation of mercury contamination in Iranian wild cats through hair analysis. Biol. Trace Elem. Res. 2021, 199, 166–172. [Google Scholar] [CrossRef] [PubMed]
- Pastorinho, M.R.; Sousa, A.C.A. Pets as Sentinels of Human Exposure to Neurotoxic Metals in: Pets as Sentinels, Forecasters and Promoters of Human Health; Springer International Publishing: Cham, Switzerland, 2020; pp. 83–106. [Google Scholar]
- Pacyna, E.G.; Pacyna, J.M.; Steenhuisen, F.; Wilson, S. Global anthropogenic mercury emission inventory for 2000. Atmos. Environ. 2006, 40, 4048–4063. [Google Scholar] [CrossRef]
- Morel, F.M.M. The chemical cycle and bioaccumulation of mercury. Ann. Rev. Ecol. Syst. 1998, 29, 543–566. [Google Scholar] [CrossRef]
- Mania, M.; Wojciechowska-Mazurek, M.; Starska, K. Ryby i owoce morza jako źródło narażenia człowieka na metylortęć. Rocz. Panstw. Zakl. Hig. 2012, 63, 257–264. [Google Scholar]
- Chan, H.M.; Scheuhammer, A.M.; Ferran, A.; Loupelle, C.; Holloway, J.; Weech, S. Impacts of mercury on freshwater fish-eating wildlife and humans. Hum. Ecol. Risk Assess. 2003, 9, 867–883. [Google Scholar] [CrossRef]
- Syaripuddin, K.; Kumar, A.; Sing, K.W.; Halim, M.R.A.; Nursyereen, M.N.; Wilson, J.J. Mercury accumulation in bats near hydroelectric reservoirs in Peninsular Malaysia. Ecotoxicology 2014, 23, 1164–1171. [Google Scholar] [CrossRef]
- Hamelin, S.; Amyot, M.; Barkay, T.; Wang, Y.; Planas, D. Methanogens: Principal methylators of mercury in lake periphyton. Environ. Sci. Technol. 2011, 45, 7693–7700. [Google Scholar] [CrossRef]
- Yu, R.Q.; Reinfelder, J.R.; Hines, M.E.; Barkay, T.; Ortega, S.H.; Schaefer, J.K.; Bouchet, S.; Tolu, J.; Björn, E.; Bertilsson, S. Mercury Methylation by the Methanogen Methanospirillum hungatei. Appl. Environ. Microbiol. 2013, 79, 6325–6330. [Google Scholar] [CrossRef]
- Bravo, A.G.; Peur, S.; Buck, M.; Ahmed, O.; Mateos-Riviera, A. Methanogens and Iron Reducing Bacteria: The Overlooked Members of Mercury-Methylating Microbial Communities in Boreal Lakes. Appl. Environ. Microbiol. 2018, 84, e01774-18. [Google Scholar] [CrossRef]
- Kosik-Bogacka, D.; Osten-Sacken, N.; Łanocha-Arendarczyk, N.; Kot, K.; Pilarczyk, B.; Tomza-Marciniak, A.; Podlasińska, J.; Chmielarz, M.; Heddergott, M.; Frantz, A.C.; et al. Selenium and mercury in the hair of raccoons (Procyon lotor) and European wildcats (Felis s. silvestris) from Germany and Luxembourg. Ecotoxicology 2020, 29, 1–12. [Google Scholar] [CrossRef] [PubMed]
- Żarski, J.F.; Skibniewski, M.; Skibniewska, E.; Żarski, T.O.; Majdecka, T. The Presence of Mercury in the Tissues of Mallards (Anas platyrhynchos L.) from Włocławek Reservoir in Poland. Biol. Trace Elem. Res. 2017, 176, 384–390. [Google Scholar] [CrossRef] [PubMed][Green Version]
- Castoldi, A.F.; Coccini, T.; Ceccatelli, S.; Manzo, L. Neurotoxicity and molecular effects of methylmercury. Brain Res. Bull. 2001, 55, 197–203. [Google Scholar] [CrossRef] [PubMed]
- Lindqvist, O.; Johansson, K.; Aastrup, M.; Andersson, A.; Bringmark, L.; Hovsenius, G.; Hakanson, L.; Iverfeldt, A.; Meili, M.; Timm, B. Mercury in the Swedish environment—Recent research on causes, consequences and corrective methods. Water Air Soil Pollut. 1991, 55, 1–261. [Google Scholar] [CrossRef]
- UNEP. 2015. Global Mercury Modelling: Update of Modelling Results in the Global Mercury Assessment 2013. Arctic Monitoring and Assessment Programme, Oslo, Norway UNEP Chemicals Branch, Geneva, Switzerland iv + 32 pp. Available online: https://www.amap.no/documents/doc/global-mercury-modelling-update-of-modelling-results-in-the-global-mercury-assessment-2013/1218 (accessed on 1 August 2019).
- Jędruch, A.; Falkowska, L.; Saniewska, D.; Durkalec, M.; Nawrocka, A.; Kalisińska, E.; Kowalski, A.; Pacyna, J.M. Status and trends of mercury pollution of the atmosphere and terrestrial ecosystems in Poland. Ambio 2021, 50, 1698–1717. [Google Scholar] [CrossRef] [PubMed]
- UNEP. 2013. Global Mercury Assessment 2013 Sources, Emissions, Releases and Environmental Transport. UNEP Chemicals Branch, Geneva, Switzerland iv + 33 pp. 2013. Available online: https://wedocs.unep.org/20.500.11822/7984 (accessed on 1 August 2019).
- EEA. European Waters. Assessment of Status and Pressures; EEA: Copenhagen, Denmark, 2018. [Google Scholar] [CrossRef]
- EMEP. Atmospheric Supply of Nitrogen, Cadmium, Mercury, Benzo(a)pyrene and PBDEs to the Baltic Sea in 2014; Technical Report MSC-W 1/2016; EMEP: Oslo, Norway, 2016. [Google Scholar]
- EMEP. Atmospheric Supply of Nitrogen, Cadmium, Mercury, Benzo(a)pyrene, and PCB-153 to the Baltic Sea in 2016; Technical Report MSC-W 1/2018; EMEP: Oslo, Norway, 2018. [Google Scholar]
- Serpe, F.P.; Russo, R.; De Simone, A.; Florio, S.; Esposito, M.; Severin, L. Levels of heavy metals in liver and kidney of dogs from urban environment. Open Vet. J. 2012, 2, 15–18. [Google Scholar] [CrossRef]
- Backer, L.C.; Grindem, C.B.; Corbett, W.T.; Cullins, L.; Hunter, J.L. Pet dogs as sentinels for environmental contamination. Sci. Total Environ. 2001, 274, 161–169. [Google Scholar] [CrossRef] [PubMed]
- Bischoff, K.; Priest, H.; Mount-Long, A. Animals as sentinels for human lead exposure: A case report. J. Med. Toxicol. 2010, 6, 185–189. [Google Scholar] [CrossRef] [PubMed][Green Version]
- Reif, J.S. Animal sentinels for environmental and public health. Public Health Rep. 2011, 126, 50–57. [Google Scholar] [CrossRef]
- Skibniewska, E.M.; Skibniewsi, M.; Kośla, T.; Urbańska–Słomka, G. Hair zinc levels in pet and feral cats (Felis catus). J. Elem. 2011, 16, 481–488. [Google Scholar] [CrossRef]
- Mason, H.J.; Hindell, P.; Williams, N.R. Biological monitoring and exposure to mercury. Occup. Med. 2001, 51, 2–11. [Google Scholar] [CrossRef] [PubMed]
- Clarkson, T.W.; Vyas, J.B.; Ballatori, N. Mechanisms of mercury disposition in the body. Am. J. Ind. Med. 2007, 50, 757–764. [Google Scholar] [CrossRef] [PubMed]
- US EPA. Framework for Metals Risk Assessment; EPA 120/R-07/001US; Environmental Protection Agency: Washington, DC, USA, 2007; p. 172. Available online: https://www.epa.gov/sites/production/files/2013-09/documents/metalsrisk-assessment-final.pdf (accessed on 12 November 2021).
- Kalisińska, E. Endothermic animals as biomonitors of terrestrial environments. In Mammals and Birds as Bioindicators of Trace Element Contaminations in Terrestrial Environments. An Ecotoxicological Assessment of the Northern Hemisphere; Kalisińska, E., Ed.; Springer: Cham, Switzerland, 2019; pp. 21–53. [Google Scholar]
- Clarkson, T.W.; Magos, L. The toxicology of mercury and its chemical compounds. Crit. Rev. Toxicol. 2006, 36, 609–662. [Google Scholar] [CrossRef] [PubMed]
- Bridges, C.C.; Zalups, R. Transport of inorganic mercury and methylmercury in target tissues and organs. J. Toxicol. Environ. Health B Crit. Rev. 2010, 13, 385–410. [Google Scholar] [CrossRef] [PubMed]
- Sleeman, M.J.; Cristol, D.A.; White, A.E.; Evers, D.C.; Gerhold, R.W.; Keel, M.K. Mercury poisoning in a free-living northern river otter (Lontra canadensis). J. Wildlife Dis. 2010, 46, 1035–1039. [Google Scholar] [CrossRef]
- Azevedo, B.F.; Furieri, L.B.; Wiggers, G.A.; Vassallo, P.F.; Simões, M.R.; Fiorim, J.; de Batista, P.R.; Fioresi, M.; Rossoni, L.; Stefanon, I.; et al. Toxic Effects of Mercury on the Cardiovascular and Central Nervous Systems. J. Biomed. Biotechnol. 2012, 2012, 949048. [Google Scholar]
- Gall, J.E.; Boyd, R.S.; Rajakaruna, N. Transfer of heavy metals through terrestrial food webs: A review. Environ. Monit. Assess. 2015, 187, 201. [Google Scholar] [CrossRef]
- Flache, L.; Czarnecki, S.; Düring, R.A.; Kierdorf, U.; Encarnação, A. Trace metal concentrations in hairs of three bat species from an urbanized area in Germany. J. Environ. Sci. 2015, 31, 184–193. [Google Scholar] [CrossRef]
- Sakai, T.; Ito, M.; Aoki, H.; Aimi, K.; Nitaya, R. Hair mercury concentrations in cats and dogs in central Japan. Br. Vet. J. 1995, 151, 215. [Google Scholar] [CrossRef]
- Treu, G.; Krone, O.; Unnsteinsdóttir, E.R.; Greenwood, A.D.; Czirják, G.A. Correlations between hair and tissue mercury concentrations in Icelandic arctic foxes (Vulpes lagopus). Sci. Total Environ. 2018, 619–620, 1589–1598. [Google Scholar] [CrossRef]
- Dainowski, B.H.; Duffy, L.K.; McIntyre, J.; Jones, P. Hair and bone as predictors of tissular mercury concentration in the western Alaska red fox, Vulpes vulpes. Sci. Total. Environ. 2015, 518–519, 526–533. [Google Scholar] [CrossRef] [PubMed]
- Rashed, M.N.; Soltan, M.E. Animal Hair as Biological Indicator for Heavy Metal Pollution in Urban and Rural Areas. Environ. Monit. Assess. 2005, 110, 41–53. [Google Scholar] [CrossRef] [PubMed]
- Malvandi, H.; Ghasempouri, S.M.; Esmaili-Sari, A.; Bahramifar, N. Evaluation of the suitability of application of golden jackal (Canis aureus) hair as a noninvasive technique for determination of body burden mercury. Ecotoxicology 2010, 19, 997–1002. [Google Scholar] [CrossRef] [PubMed]
- Solgi, E.; Ghasempouri, S.M. Application of brown bear (Ursus arctos) records for retrospective assessment of mercury. J. Toxicol. Environ. Health A 2015, 78, 342–351. [Google Scholar] [CrossRef]
- Kośla, T.; Skibniewska, E. The content of aluminum in the hair of Yorkshire terrier dogs from the Warsaw area depending on sex, age and keeping conditions. Trace Elem. Electrol. 2010, 27, 209–213. [Google Scholar] [CrossRef]
- Squadrone, S.; Serena, R.; Orusa, R.; Griglione, A.; Falsetti, S.; Paola, B.; Abete, M.C. Wildlife hair as bioindicators of metal exposure. Biol. Trace Elem. Res. 2022, 200, 5073–5080. [Google Scholar] [CrossRef]
- Noguchi, T.; Itai, T.; Kawaguchi, M.; Takahashi, S.; Tanabe, S. Applicability of human hair as a bioindicator for trace elements exposure. In Interdisciplinary Studies on Environmental Chemistry-Environmental Pollution and Ecotoxicology; Kawaguchi, M., Misaki, K., Sato, H., Yokokawa, T., Itai, T., Nguyen, T.M., Onomand, J., Tanabe, S., Eds.; TERRAPUB: Tokyo, Japan, 2011; pp. 73–77. [Google Scholar]
- EPA. 2001. Biological Monitoring of Trace Metals, EPA-600/3–80–089, Environmental Protection Agency. Available online: www.cw.net.com (accessed on 1 August 2019).
- Wren, C.D. A review of metal accumulation and toxicity in wild mammals. I. Mercury. Environ. Res. 1986, 40, 210–244. [Google Scholar] [CrossRef]
- Eisler, R.D.P.; Secord, D.C.; Hewitt, P. An experimental assessment of the toxic potential of mercury in ringed-seal liver for adult laboratory cats. Toxicol. Appl. Pharmacol. 1980, 55, 514–521. [Google Scholar] [CrossRef]
- Eisler, R. Mercury. In Handbook of Chemical Risk Assessment: Health Hazards to Humans, Plants, and Animals; Lewis; CRC Press: Boca Raton, FL, USA, 2000; Volume 1, pp. 313–409. [Google Scholar]
- Eisler, E. Mercury Hazards from Gold Mining to Humans, Plants, and Animals. Rev. Environ. Contam. Toxicol. 2004, 181, 139–198. [Google Scholar]
- Carrier, G.; Brunet, R.C.; Caza, M.; Bouchard, M. A toxicokinetic model for predicting the tissue distribution and elimination of organic and inorganic mercury following exposure to methyl mercury in animals and humans. I. Development and validation of the model using experimental data in rats. Toxicol. Appl. Pharmacol. 2001, 171, 38–49. [Google Scholar] [CrossRef]
- Carrier, G.; Bouchard, M.; Brunet, R.C.; Caza, M. A toxicokinetic model for predicting the tissue distribution and elimination of organic and inorganic mercury following exposure to methyl mercury in animals and humans. II. Application and validation of the model in humans. Toxicol. Appl. Pharmacol. 2001, 171, 50–60. [Google Scholar] [CrossRef] [PubMed]
- Farris, F.F.; Dedrick, R.L.; Allen, P.V.; Smith, J.C. Physiological Model for the Pharmacokinetics of Methyl Mercury in the Growing Rat. Toxicol. Appl. Pharm. 1993, 119, 74–90. [Google Scholar] [CrossRef] [PubMed]
- Farris, F.F.; Derick, R.L. Absorption of methylmercury from hair ingested by rats. Life Sci. 1993, 53, 1023–1029. [Google Scholar] [CrossRef] [PubMed]
- Sheffy, T.B.; Amant, J.R. Mercury burdens in furbearers in Wisconsin. J. Wildl. Manag. 1982, 46, 1117–1120. [Google Scholar] [CrossRef]
- Souza, M.J.; Ramsay, E.C.; Donnell, R.L. Metal accumulation and health effects in raccoons (Procyon lotor) associated with coal fly ash exposure. Arch. Environ. Contam. Toxicol. 2013, 64, 529–536. [Google Scholar] [CrossRef]
- Bocharova, N.; Treu, G.; Czirják, G.Á.; Krone, O.; Stefanski, V.; Wibbelt, G.; Unnsteinsdóttir, E.R.; Hersteinsson, P.; Schares, G.; Doronina, L.; et al. Correlates between feeding ecology and mercury levels in historical and modern arctic foxes (Vulpes lagopus). PLoS ONE 2013, 8, e60879. [Google Scholar] [CrossRef]
- Bergan, T.; Gallardo, L.; Rodhe, H. Mercury in the global atmosphere; A three dimensional model study. Atmos. Environ. 1999, 33, 1575–1585. [Google Scholar] [CrossRef]
- Gbor, P.K.; Wen, D.; Meng, F.; Yang, F.; Sloan, J.J. Modeling of mercury emission, transport and deposition in North America. Atmos. Environ. 2007, 41, 1135–1149. [Google Scholar] [CrossRef]
- Kitamura, S. Determination of mercury content in bodies of inhabitants, cats, fishes and shells in Minamata District and in the mud of Minamata Bay. In Minamata Disease, Study Group of Minamata Disease; Katsuma, M., Ed.; Kumamoto University: Kumamoto, Japan, 1968; pp. 257–266. [Google Scholar]
- Dunlap, K.L.; Reynolds, A.J.; Bowers, P.M.; Duffy, L.K. Hair analysis in sled dogs (Canis lupus familiaris) illustrates a linkage of mercury exposure along the Yukon River with human subsistence food systems. Sci. Total. Environ. 2007, 385, 80–85. [Google Scholar] [CrossRef]
- Lopez-Alonso, M.; Miranda, A.M.; Garcia-Partida, P.; Cantero, F.; Hernandez, J.; Benedito, J.L. Use of dogs as indicators of metal exposure in rural and urban habitats in NW Spain. Sci. Total Environ. 2007, 372, 668–675. [Google Scholar] [CrossRef]
- Lopez-Alonso, M.; Miranda, A.M.; Garcia-Partida, P.; Mendez, A.; Castillo, C.; Benedito, J.L. Toxic and trace metal concentrations in liver and kidney of dogs influence of diet, sex, age, and pathological lesions. Biol. Trace Elem. Res. 2007, 116, 185–202. [Google Scholar] [CrossRef] [PubMed]
- Directive 2002/32/EC of the European Parliament and of the Council of 7 May 2002 on Undesirable Substances in Animal Feed-Council statement OJ L140, 30/05/2002, pp. 10–22. Available online: https://eur-lex.europa.eu/legal-content/EN/TXT/?uri=CELEX:32009L0141 (accessed on 18 August 2022).
- Altınok-Yipel, F.; Mustafa-Yipel, M.; Ozan-Tekeli, I. Health risk assessment of essential and toxic metals in canned/pouched food on kitten and adult cats: An animal health risk assessment adaptation assay. Biol. Trace Elem. Res. 2022, 200, 1937–1948. [Google Scholar] [CrossRef] [PubMed]
Disclaimer/Publisher’s Note: The statements, opinions and data contained in all publications are solely those of the individual author(s) and contributor(s) and not of MDPI and/or the editor(s). MDPI and/or the editor(s) disclaim responsibility for any injury to people or property resulting from any ideas, methods, instructions or products referred to in the content. |
© 2022 by the authors. Licensee MDPI, Basel, Switzerland. This article is an open access article distributed under the terms and conditions of the Creative Commons Attribution (CC BY) license (https://creativecommons.org/licenses/by/4.0/).
