Denial of Service Attack of QoS-Based Control of Multi-Agent Systems
Abstract
:1. Introduction
- A robust navigation framework for multiple UAVs’ secure formation control has been designed.
- A robust control security level is built to handle the effect of cyberattacks.
- Reliable QoS middleware for extra cyber security and sharing information has been built.
2. Preliminaries
2.1. Quadrotor’s Dynamics
2.2. Denial of Service (DoS) Attacks
2.3. Algebraic Graph Theory
2.4. Data Distribution Service Middleware
- Durability: Indicates whether or not the publisher formerly transferred information to a new subscriber.
- Reliability: Can decide whether the DDS should retransmit information that has been lost over the middleware. Reliability can be configured in two ways: RELIABLE (retransmit missing information) or BEST EFFORT (do not retransmit missing information). With this QoS, the DDS middleware can prevent the formation system from losing the information caused by the DoS attacks.
- History: Indicates whether or not data receipted or transmitted by a publisher would be kept for a subscriber. History can be configured in two ways: KEEP ALL and KEEP LAST. The first option does not store an infinite amount of data.
- Deadline: Sets the maximum period for specimens to arrive for subscribers.
- Ownership: Can decide whether or not a subscriber would receive new samples that were collected from different publishers at the same time. There are two types of ownership: EXCLUSIVE and SHARED.
- Presentation: Manages how the middleware presents the information received by the subscriber.
- Time-based Filter: Confirms the minimum time duration between the current information and the future information received by the subscriber.
- Latency budget: Indicates the time allowed by the middleware to deliver the information.
- Lifespan: Determines for how long the middleware will accept the validity of the information sent by the publisher.
- Resource Limits: Sets the memory space that a publisher or subscriber could assign for storing information in cache memory.
3. Multiple UAVs Control Design
3.1. L1 Adaptive Control
3.2. Formation Control
3.2.1. Formation Objective
3.2.2. Formation Design
4. Simulation Results
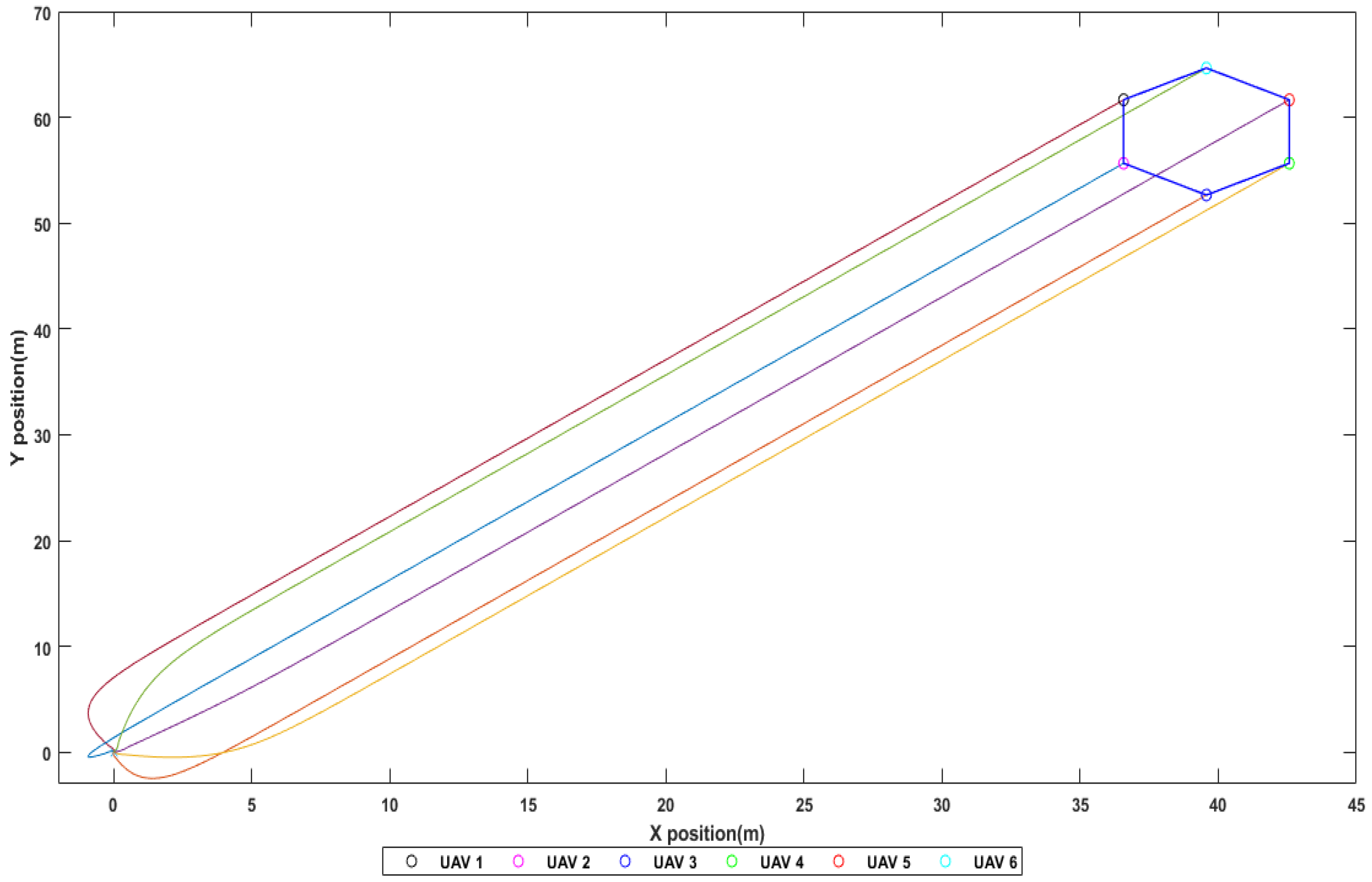
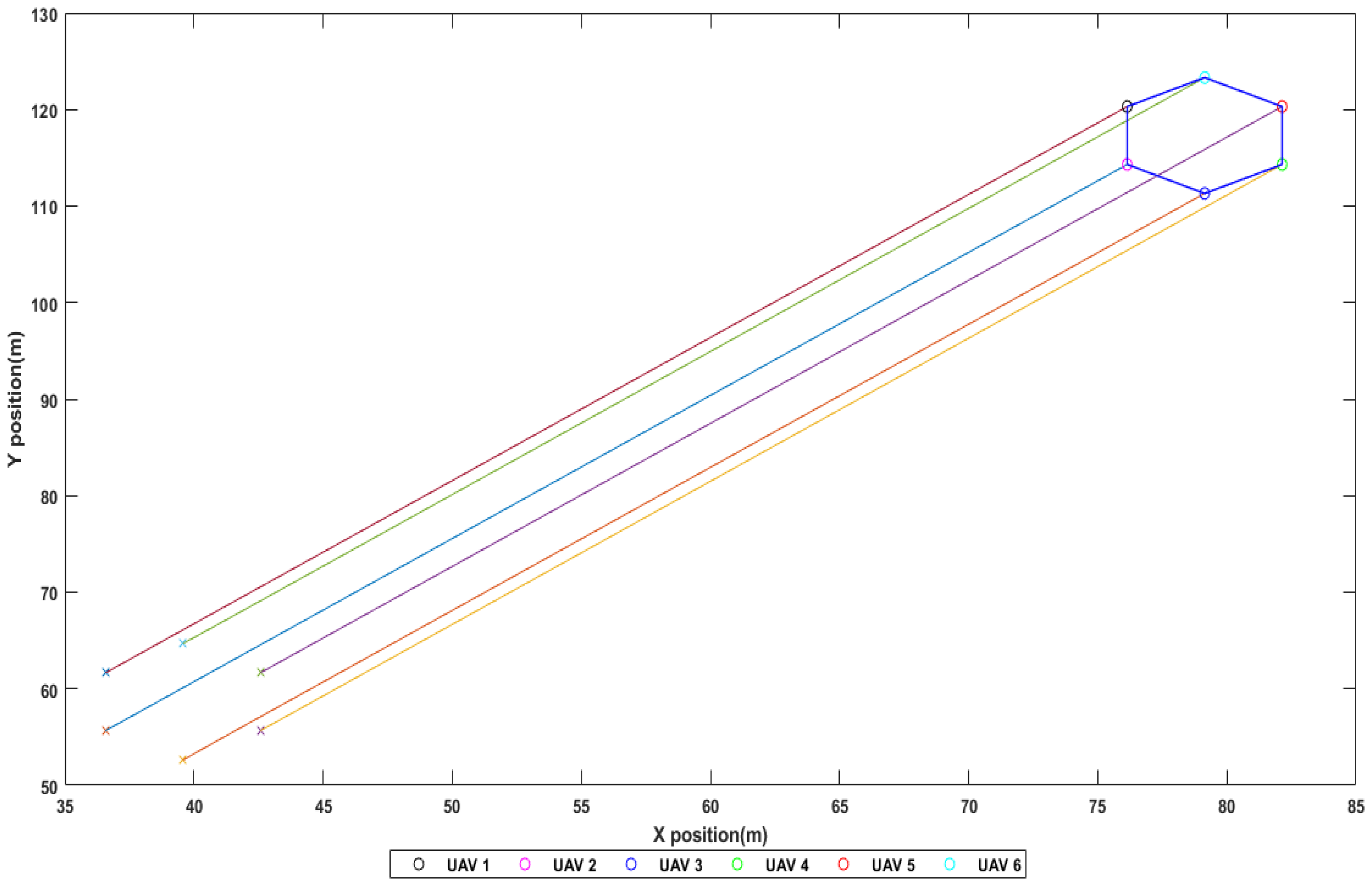
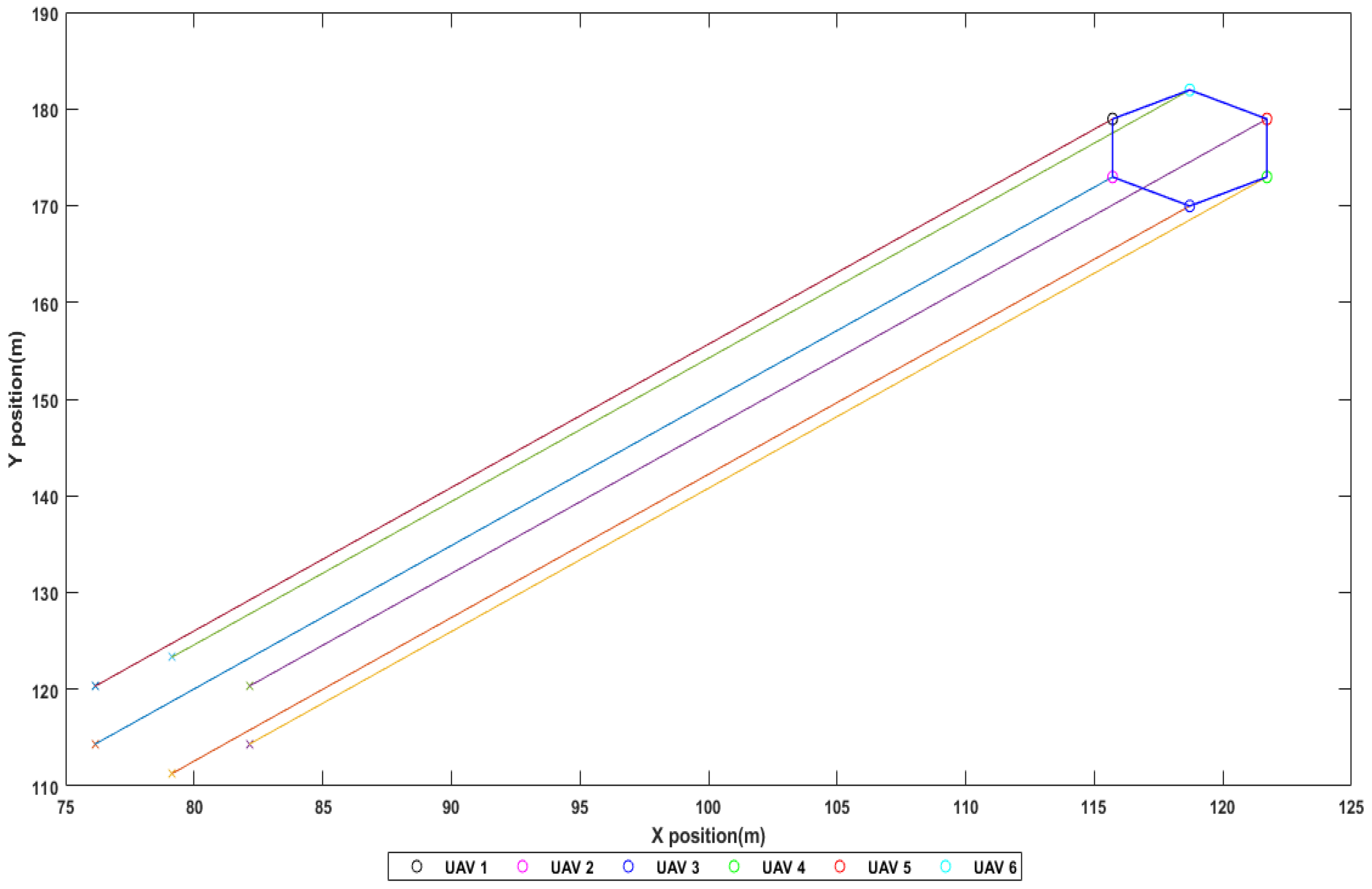
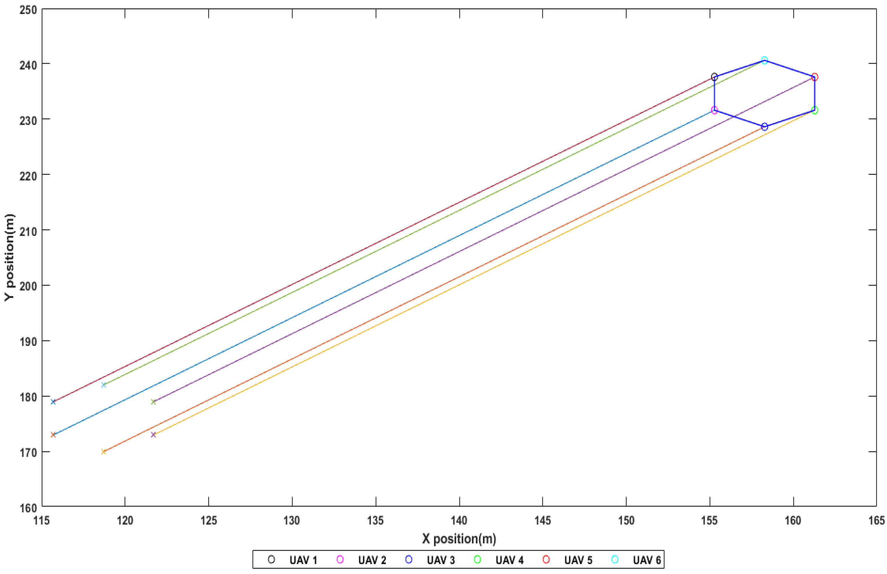
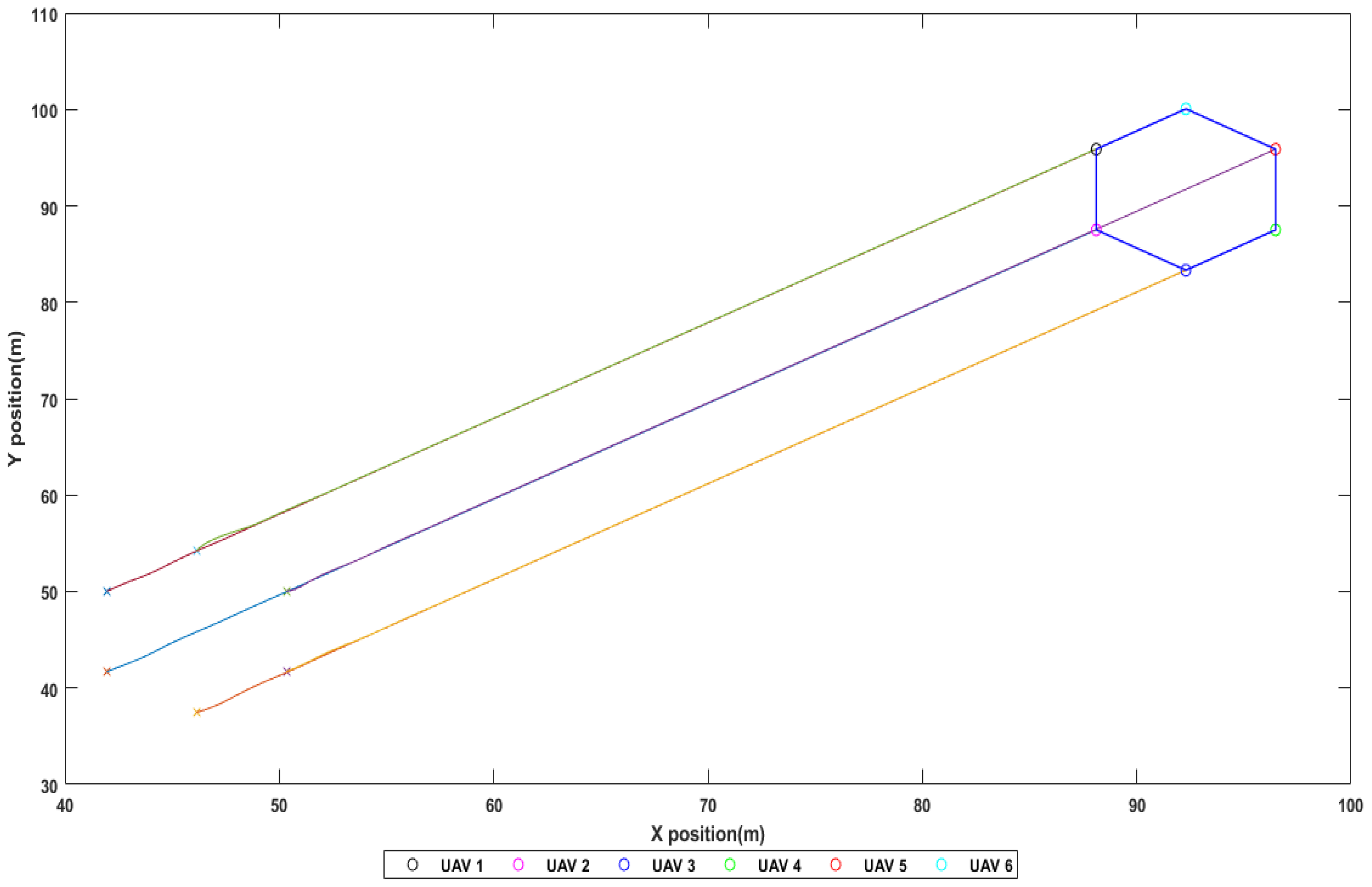
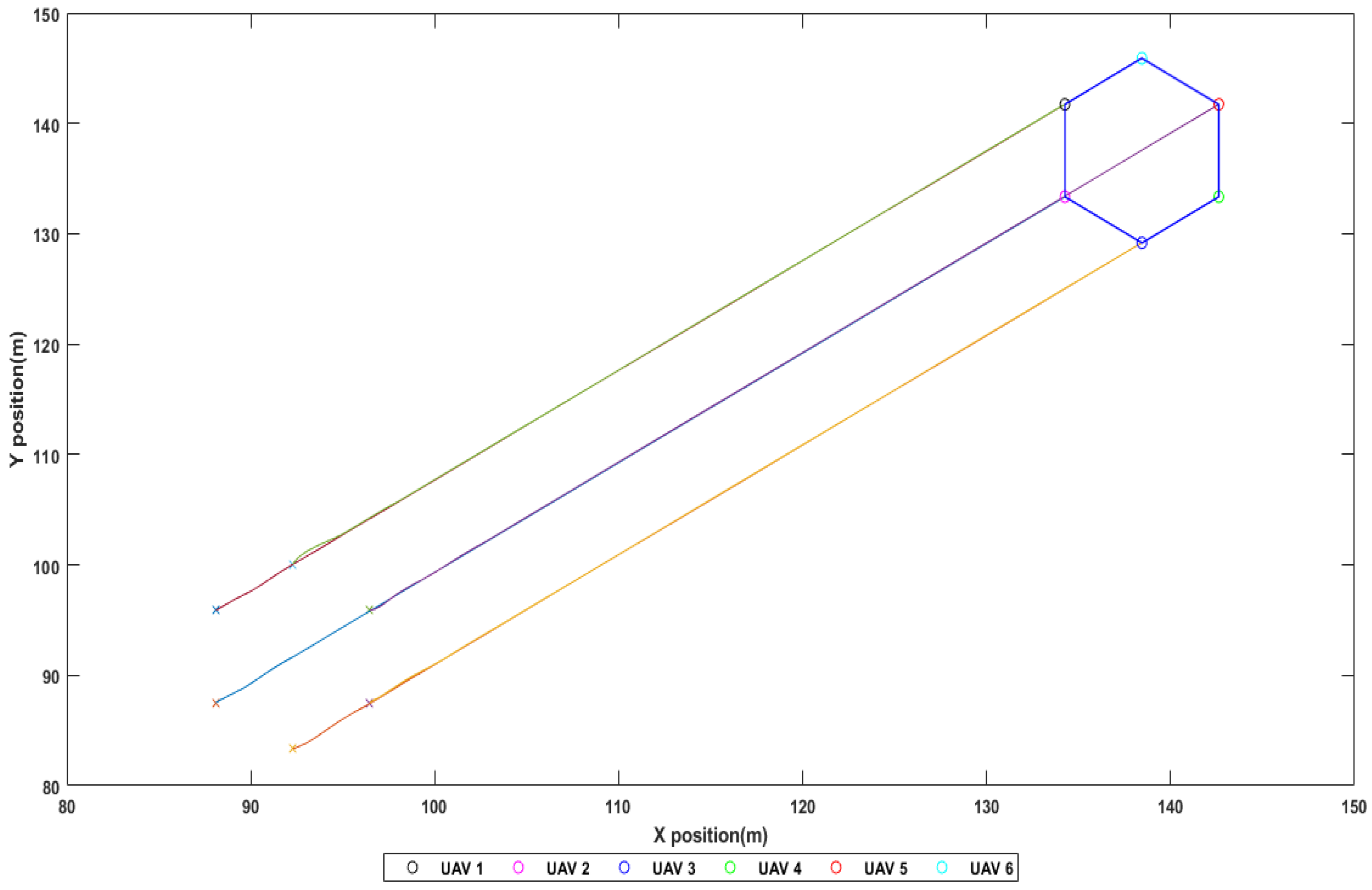
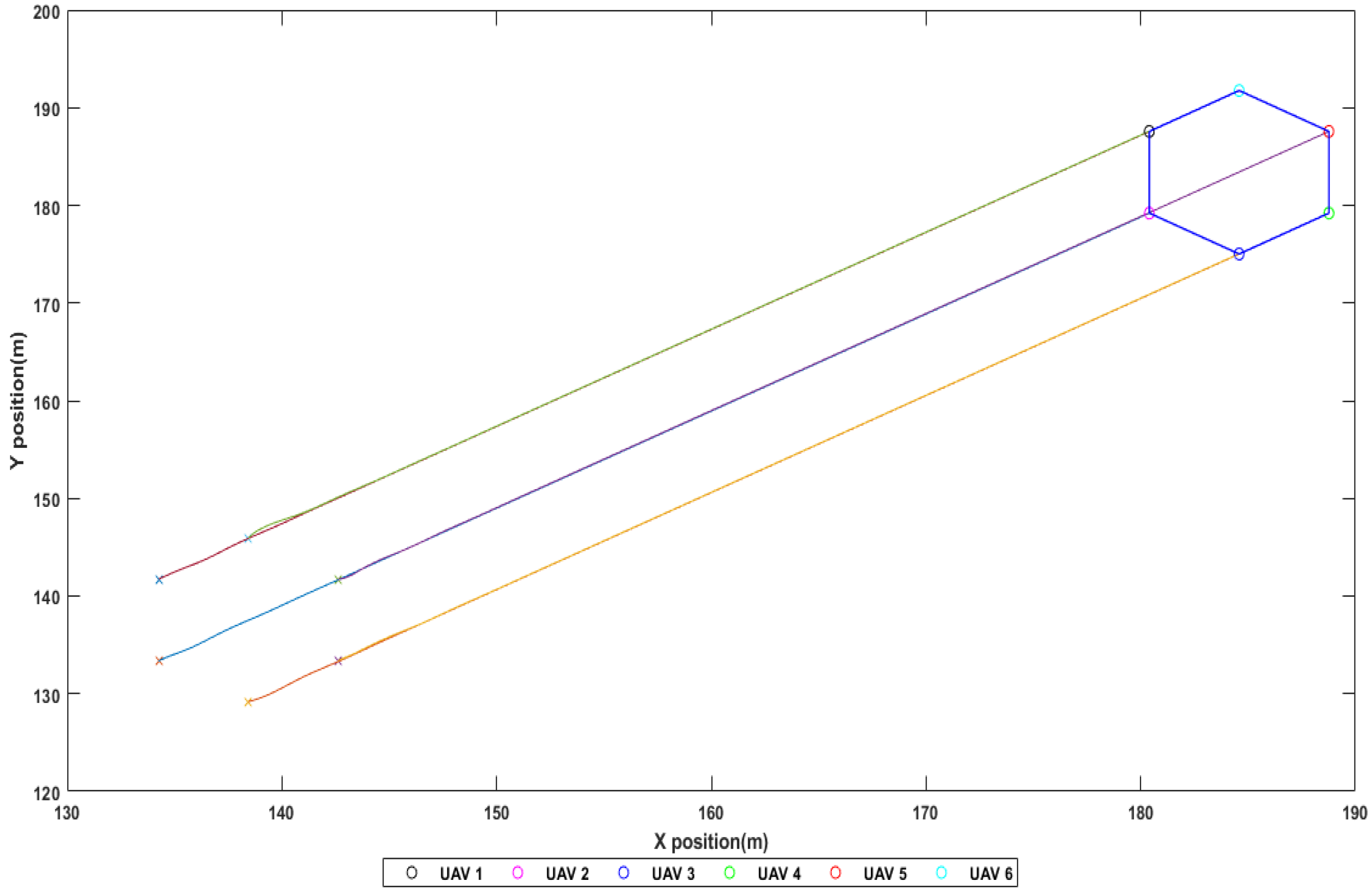
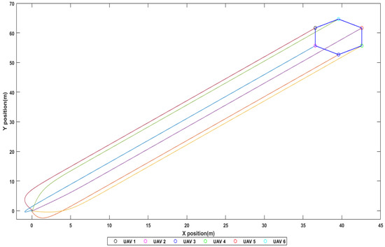
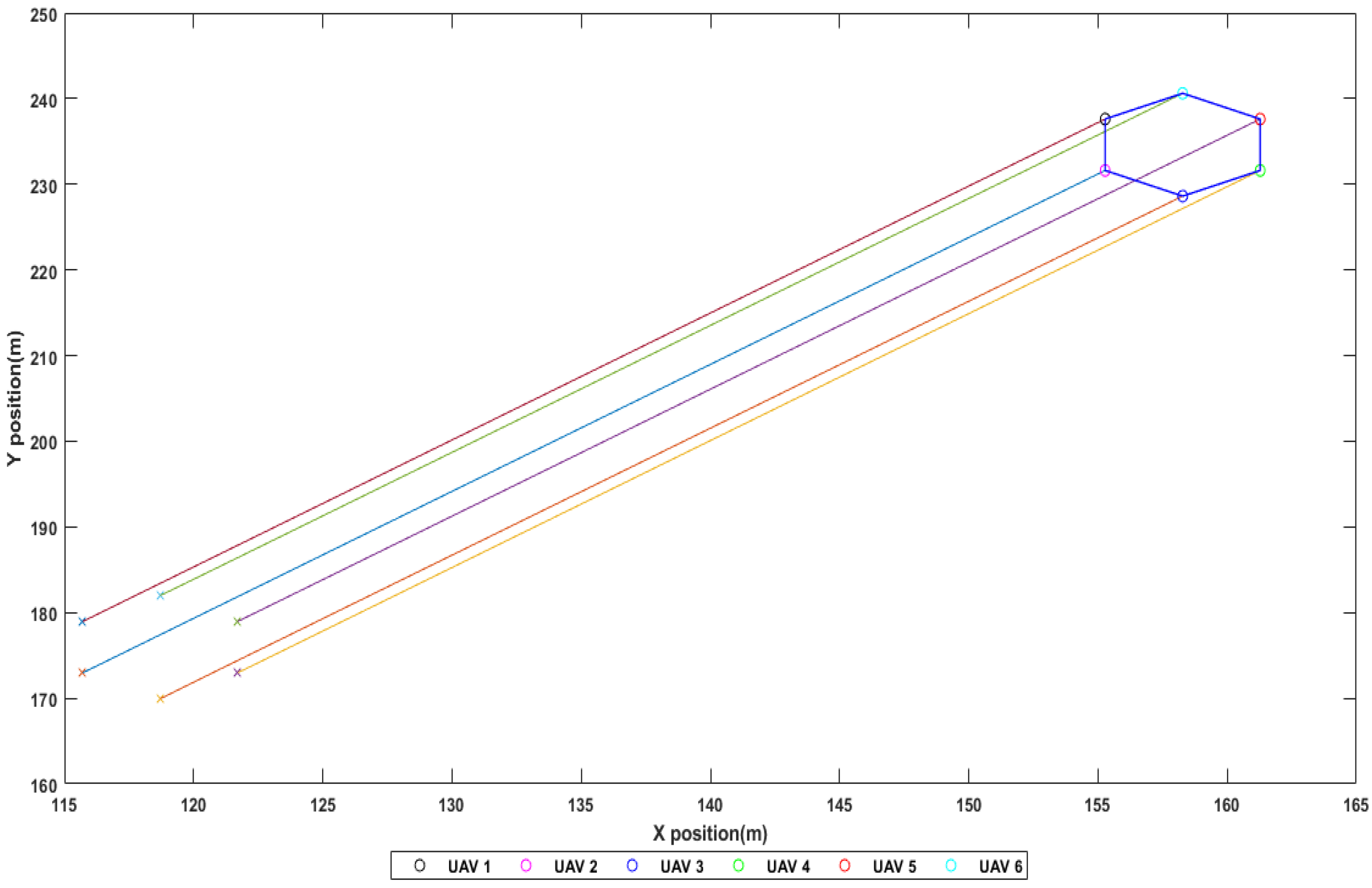
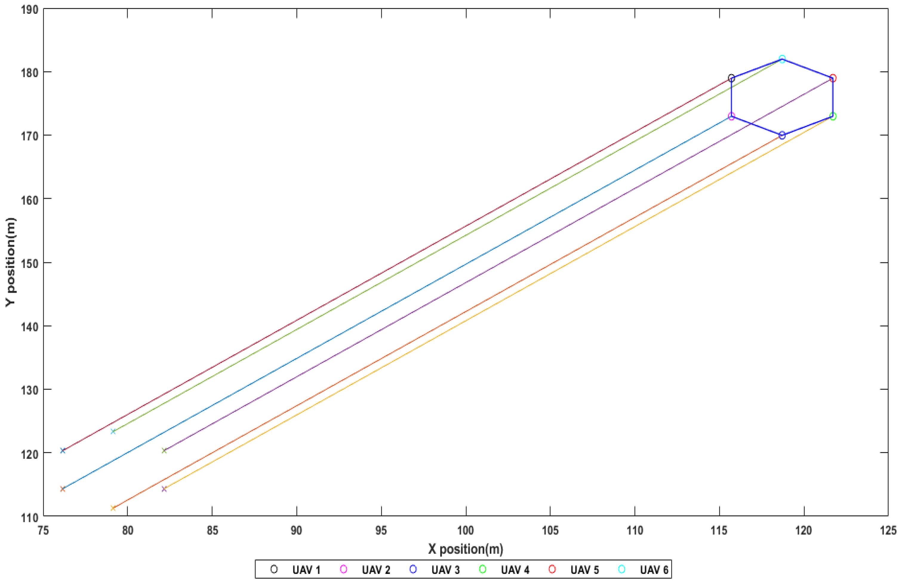
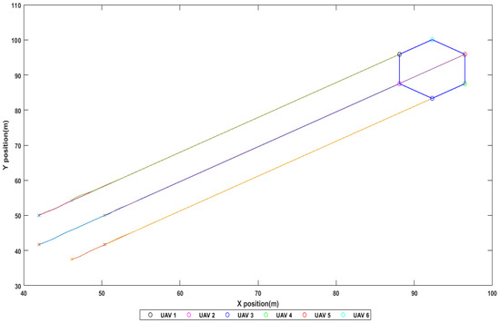
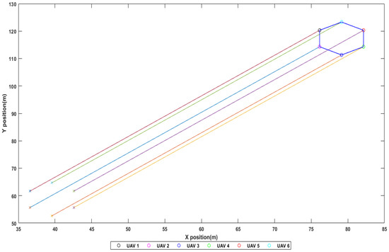
- UAVs formation without DoS attacks: In the first case, we considered six UAV models with communication delay only. The proposed LMI condition was used to find the formation feedback gain, which means without dropout packet produced by DoS attacks or = 0, = 0.01, = 0.014, = 100, and = 10 in the delay, as shown in Figure 3, with = 0 and h = 1, and the same initial values of the UAVs, shown in Figure 4, Figure 5, Figure 6, Figure 7 and Figure 8. This demonstrates how a swarm of six unmanned aerial vehicles (UAVs) may establish a certain topology in 2D space without the effect of the DoS attacks.
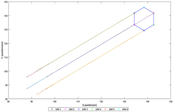
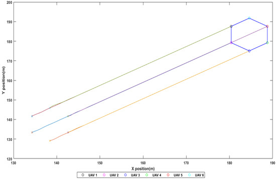
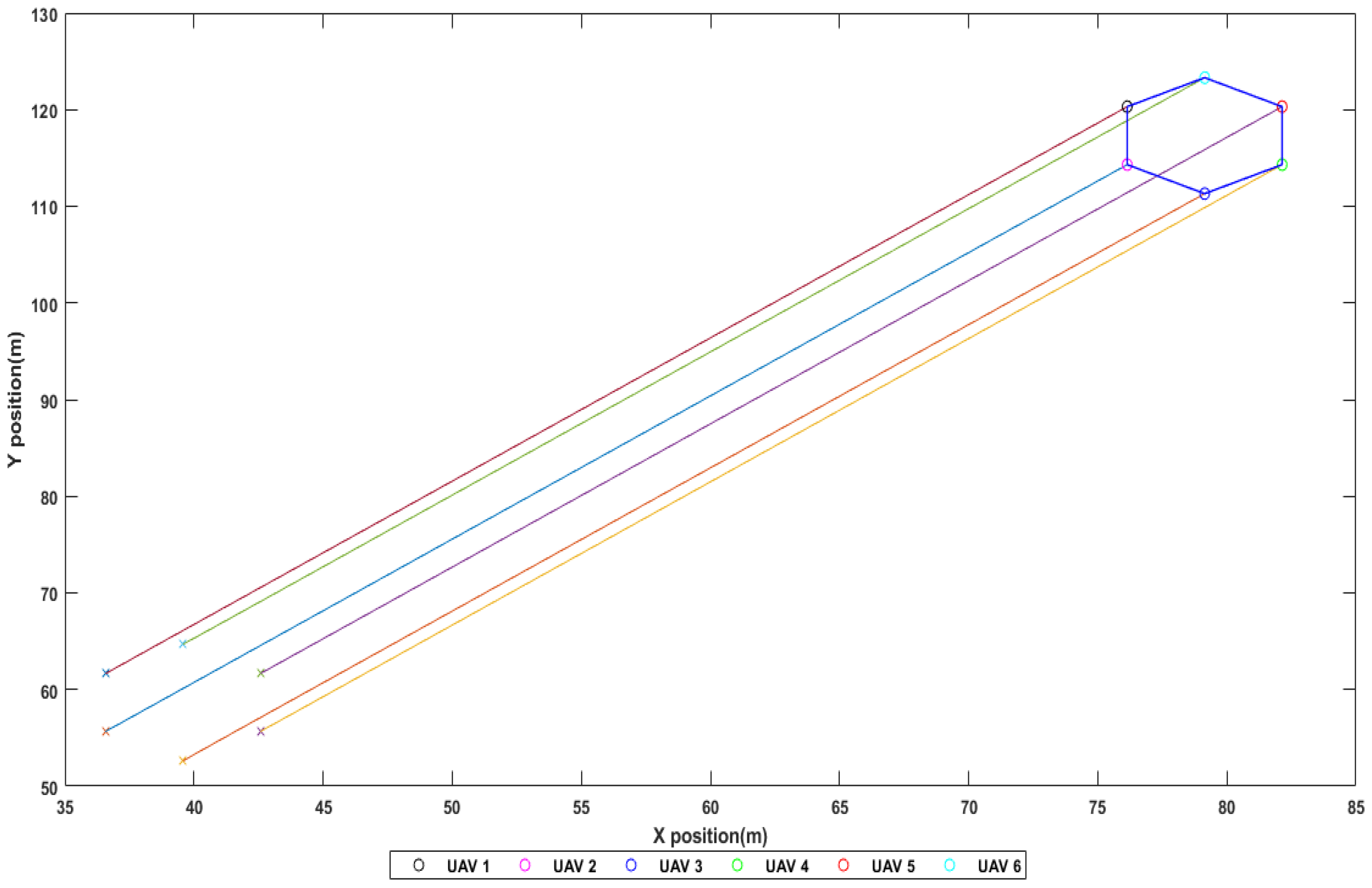
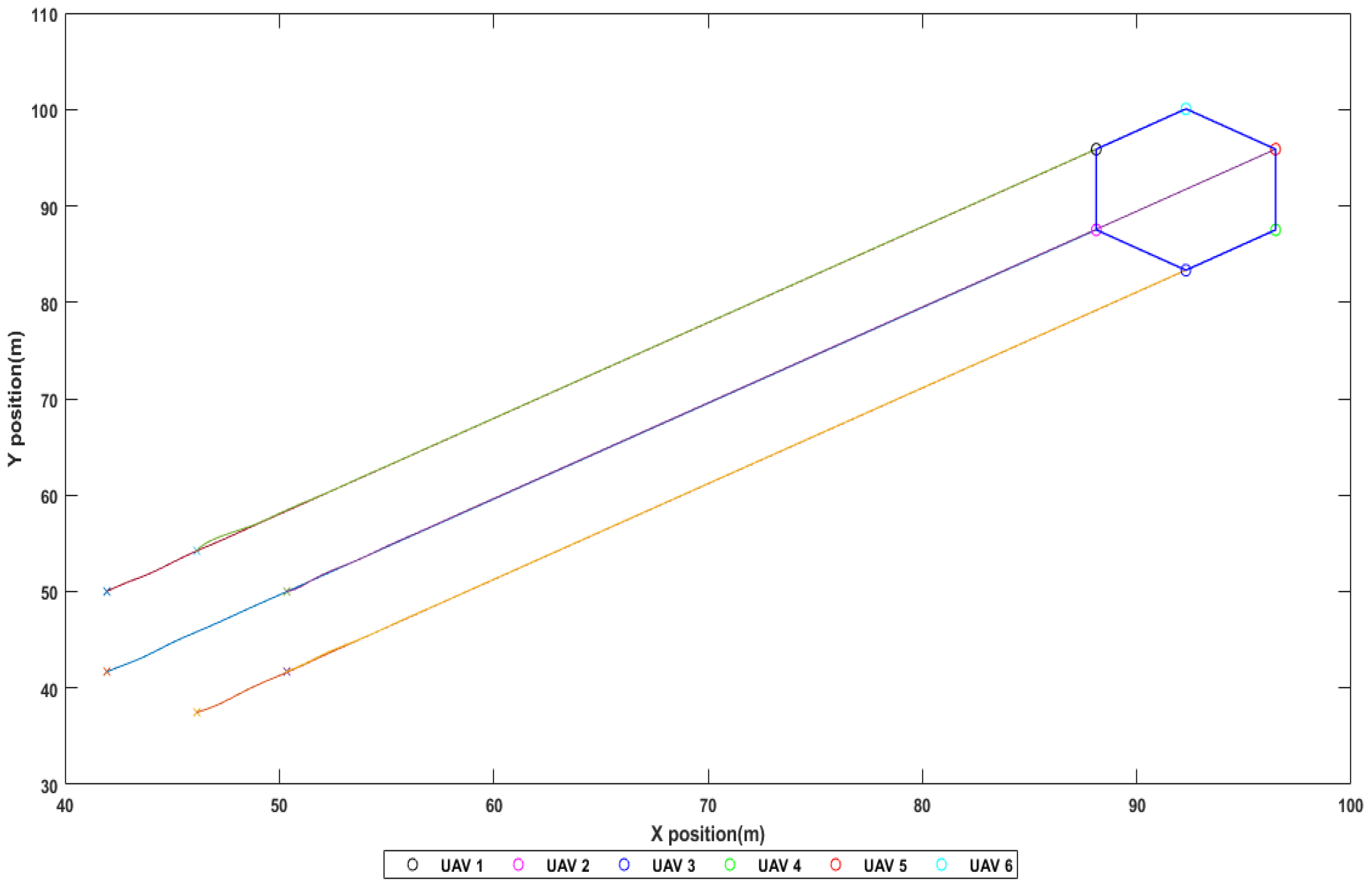
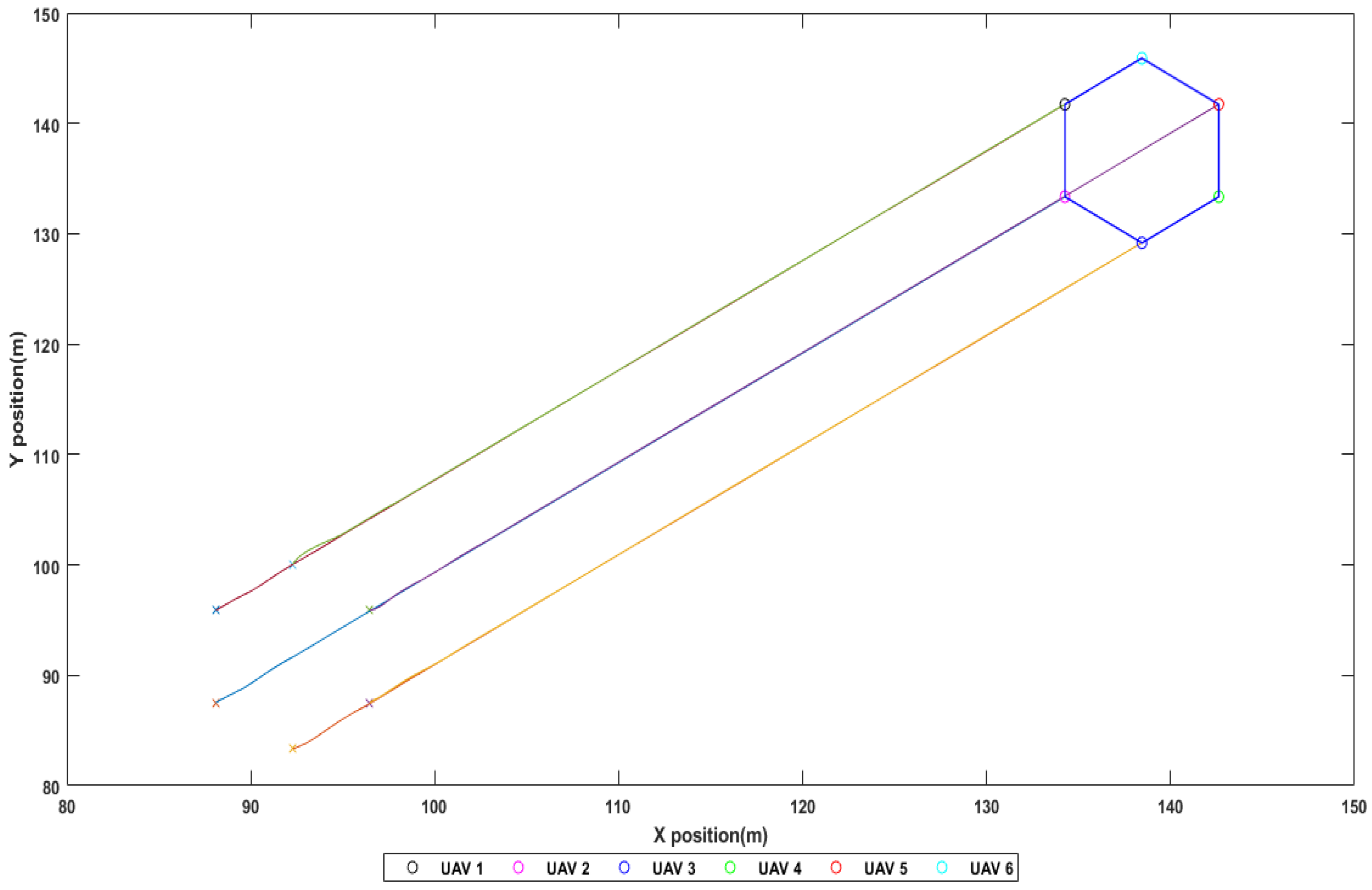
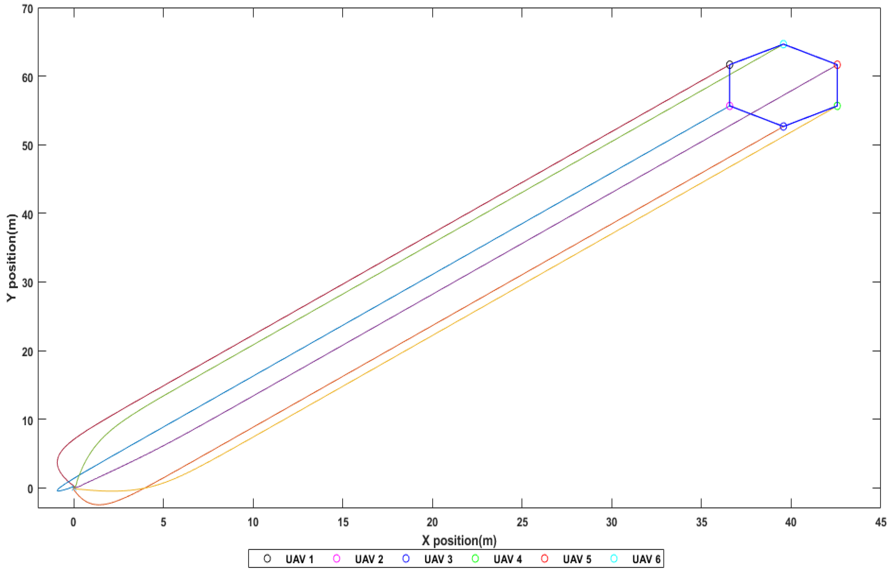
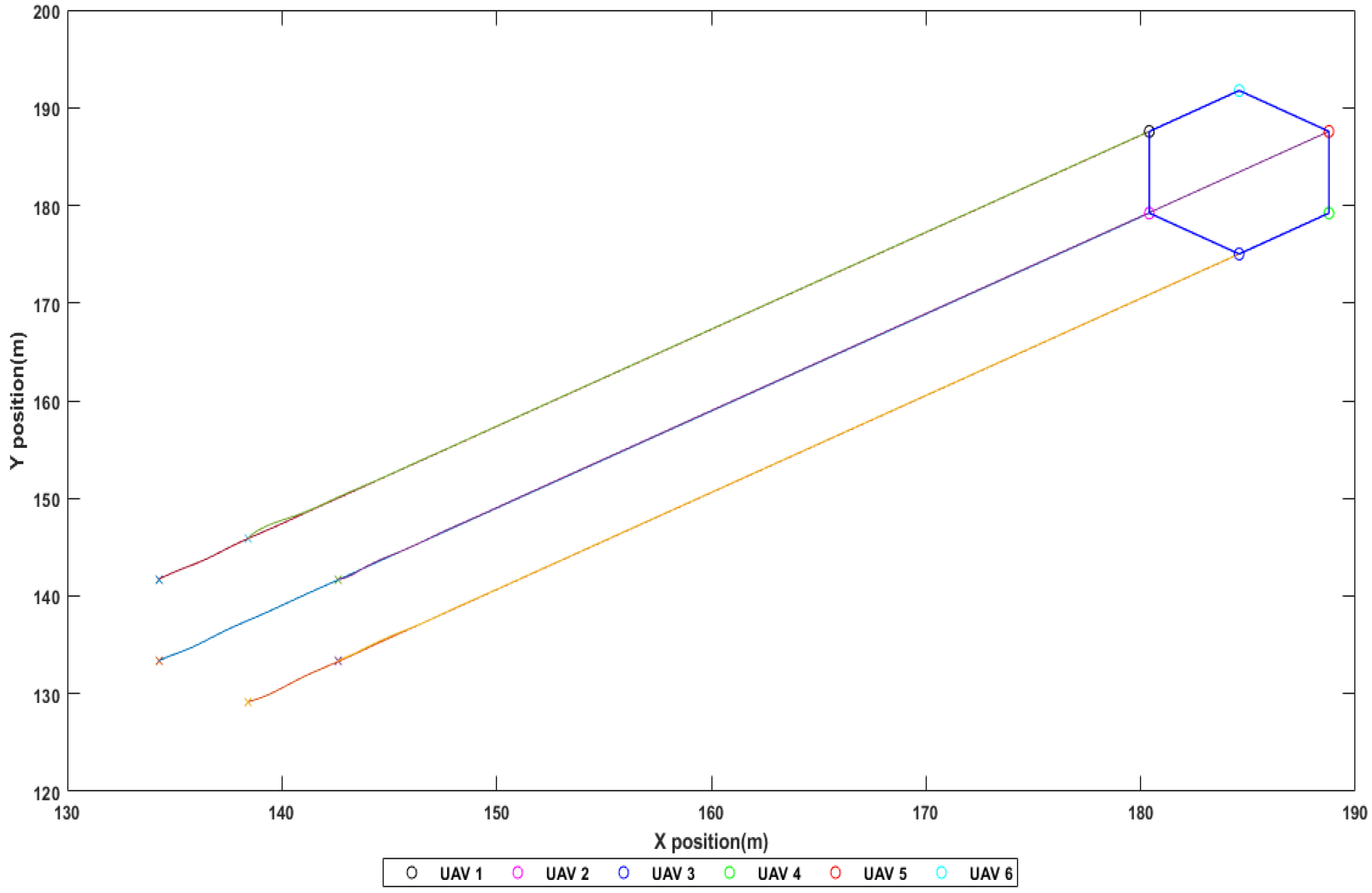
- UAVs formation under DoS attacks: In the second case, we considered six UAVs model with communication delay and dropout packet produced by DoS attacks for when we applied the effect of the DoS attacks, as in Figure 9 on the system, with the same parameters and same controller as in the first case and the same initial values of the UAVs. This is shown in Figure 10, Figure 11, Figure 12, Figure 13 and Figure 14. The figures illustrate how a swarm of six unmanned aerial vehicles (UAVs) may establish a certain topology in 2D space under the effect of the DoS attacks.
5. Discussion Summary
6. Conclusions
Author Contributions
Funding
Institutional Review Board Statement
Informed Consent Statement
Data Availability Statement
Acknowledgments
Conflicts of Interest
Appendix A. Stability Analysis of Discrete-Time Multi-Agent Systems
References
- Oh, K.K.; Park, M.C.; Ahn, H.S. A Survey of Multi-Agent Formation Control. Automatica 2015, 53, 424–440. [Google Scholar] [CrossRef]
- Lee, Y.J.; Trevathan, J.; Atkinson, I.; Read, W. An Intelligent Agent System for Managing Heterogeneous Sensors in Dispersed and Disparate Wireless Sensor Network. Int. J. Sens. Netw. 2018, 27, 149–162. [Google Scholar] [CrossRef]
- Chen, L.; Mei, J.; Li, C.; Ma, G. Distributed leader–follower affine formation maneuver control for high-order multiagent systems. IEEE Trans. Autom. Control 2020, 65, 4941–4948. [Google Scholar] [CrossRef]
- Tang, Z.; Cunha, R.; Hamel, T.; Silvestre, C. Formation control of a leader–follower structure in three dimensional space using bearing measurements. Automatica 2021, 128, 109567. [Google Scholar] [CrossRef]
- Nasir, M.T.; El-Ferik, S. Adaptive sliding-mode cluster space control of a non-holonomic multi-robot system with applications. IET Control Theory Appl. 2017, 11, 1264–1273. [Google Scholar] [CrossRef]
- Beard, R.W.; Lawton, J.; Hadaegh, F.Y. A coordination architecture for spacecraft formation control. IEEE Trans. Control Syst. Technol. 2001, 9, 777–790. [Google Scholar] [CrossRef] [Green Version]
- Ghasemi, K.; Ghaisari, J.; Abdollahi, F. Robust formation control of multiagent systems on the Lie group SE(3). Int. J. Robust Nonlinear Control 2020, 30, 966–998. [Google Scholar] [CrossRef]
- Xu, D.; Zhang, X.; Zhu, Z.; Chen, C.; Yang, P. Behavior-based formation control of swarm robots. Math. Probl. Eng. 2014, 2014, 205759. [Google Scholar] [CrossRef]
- Hacene, N.; Mendil, B. Behavior-based autonomous navigation and formation control of mobile robots in unknown cluttered dynamic environments with dynamic target tracking. Int. J. Autom. Comput. 2021, 18, 766–786. [Google Scholar] [CrossRef]
- Do, H.T.; Nguyen, M.T.; Hua, H.T. Formation Control for Multiple Unmanned Aerial Vehicles (UAVs): Recent Developments and Research Challenges. ICSES Trans. Comput. Netw. Commun. 2021, 1–4. [Google Scholar] [CrossRef]
- Feng, Z.; Hu, G.; Wen, G. Distributed consensus tracking for multi-agent systems under two types of attacks. Int. J. Robust Nonlinear Control 2016, 26, 896–918. [Google Scholar] [CrossRef]
- Feng, Z.; Wen, G.; Hu, G. Distributed secure coordinated control for multiagent systems under strategic attacks. IEEE Trans. Cybern. 2016, 47, 1273–1284. [Google Scholar] [CrossRef] [PubMed]
- He, W.; Gao, X.; Zhong, W.; Qian, F. Secure impulsive synchronization control of multi-agent systems under deception attacks. Inf. Sci. 2018, 459, 354–368. [Google Scholar] [CrossRef]
- Ding, D.; Wang, Z.; Ho, D.W.; Wei, G. Observer-based event-triggering consensus control for multiagent systems with lossy sensors and cyber-attacks. IEEE Trans. Cybern. 2016, 47, 1936–1947. [Google Scholar] [CrossRef]
- Li, X.M.; Zhou, Q.; Li, P.; Li, H.; Lu, R. Event-triggered consensus control for multi-agent systems against false data-injection attacks. IEEE Trans. Cybern. 2019, 50, 1856–1866. [Google Scholar] [CrossRef] [PubMed]
- Zhang, T.Y.; Ye, D. Distributed secure control against denial-of-service attacks in cyber-physical systems based on K-connected communication topology. IEEE Trans. Cybern. 2020, 50, 3094–3103. [Google Scholar] [CrossRef]
- Tang, Y.; Zhang, D.; Shi, P.; Zhang, W.; Qian, F. Event-based formation control for nonlinear multiagent systems under DoS attacks. IEEE Trans. Autom. Control 2020, 66, 452–459. [Google Scholar] [CrossRef]
- Amullen, E.M.; Shetty, S.; Keel, L.H. Secured formation control for multi-agent systems under DoS attacks. In Proceedings of the 2016 IEEE Symposium on Technologies for Homeland Security (HST), Waltham, MA, USA, 10–11 May 2016; pp. 1–6. [Google Scholar]
- Wang, S.; Zheng, S.; Zhao, C.; Jian, H.; Li, H. Formation Control of Nonlinear Multi-Agent Systems with Actuator and Communication Attacks. In Proceedings of the 2021 40th Chinese Control Conference (CCC), Shanghai, China, 26–28 July 2021; pp. 2286–2291. [Google Scholar]
- Gu, Z.; Sun, X.; Lam, H.K.; Yue, D.; Xie, X. Event-based secure control of T-S fuzzy based 5-DOF active semi-vehicle suspension systems subject to DoS attacks. IEEE Trans. Fuzzy Syst. 2021. [Google Scholar] [CrossRef]
- Gu, Z.; Ahn, C.K.; Yue, D.; Xie, X.P. Event-Triggered H Filtering for T-S Fuzzy-Model-Based Nonlinear Networked Systems With Multisensors Against DoS Attacks. IEEE Trans. Cybernet. 2020, 1–11. [Google Scholar] [CrossRef]
- Zhu, Z.; Pan, Y.; Zhou, Q.; Lu, C. Event-Triggered Adaptive Fuzzy Control for Stochastic Nonlinear Systems With Unmeasured States and Unknown Backlash-Like Hysteresis. IEEE Trans. Fuzzy Syst. 2020, 29, 1273–1283. [Google Scholar] [CrossRef]
- Roman, R.C.; Precup, R.E.; Petriu, E.M. Hybrid data-driven fuzzy active disturbance rejection control for tower crane systems. Eur. J. Control 2021, 58, 373–387. [Google Scholar] [CrossRef]
- Elkhider, S.M.; Al-Buraiki, O.; El-Ferik, S. Publish and Subscribe-Based Formation and Containment Control of Heterogeneous Robotic System with Actuator Time Delay. Appl. Sci. 2021, 11, 9145. [Google Scholar] [CrossRef]
- AL-Madani, B.; Elkhider, S.; El Ferik, S. DDS-based containment control of multiple UAV systems. Appl. Sci. 2020, 10, 4572. [Google Scholar] [CrossRef]
- El-Ferik, S.; Almadani, B.; Elkhider, S.M. Formation Control of Multi Unmanned Aerial Vehicle Systems Based on DDS Middleware. IEEE Access 2020, 8, 44211–44218. [Google Scholar] [CrossRef]
- Koesdwiady, A.B. Immersion and Invariance Control Design for Unmanned Aerial Vehicle. Master’s Thesis, King Fahd University of Petroleum and Minerals, Dhahran, Saudi Arabia, 2013. [Google Scholar]
- Hovakimyan, N.; Cao, C. Adaptive Control Theory: Guaranteed Robustness with Fast Adaptation; Siam: Philadelphia, PA, USA, 2010; Volume 21. [Google Scholar]
- Pomet, J.; Praly, L. Adaptive nonlinear regulation: Estimation from the Lyapunov equation. IEEE Trans. Autom. Control 1992, 37, 729–740. [Google Scholar] [CrossRef] [Green Version]
- Lafferriere, G.; Caughman, J.; Williams, A. Graph theoretic methods in the stability of vehicle formations. In Proceedings of the 2004 American Control Conference, Boston, MA, USA, 30 June–2 July 2004; Volume 4, pp. 3729–3734. [Google Scholar] [CrossRef]
- Cloosterman, M.; Hetel, L.; van de Wouw, N.; Heemels, W.; Daafouz, J.; Nijmeijer, H. Controller synthesis for networked control systems. Automatica 2010, 46, 1584–1594. [Google Scholar] [CrossRef]














| Symbol | Value/Unit | Properties |
|---|---|---|
| g | 9.8 m/s | Gravity Acceleration |
| m | 0.52 kg | Mass |
| Drag’s Rotational | ||
| L | 0.205 m | Arm Length |
| Drag’s Translational | ||
| d | 7.5 × 10 | Ratio of Drag and Thrust |
| 0.0129 kg·m | Inertia of z-axis | |
| 0.0069 kg·m | Inertia of y-axis | |
| 0.0069 kg·m | Inertia of x-axis | |
| 3.36 × 10 kg·m | Propeller Inertia |
| QoS Policies | QoS Value | |
|---|---|---|
| Subscriber | Publisher | |
| Deadline | Infinite | Infinite |
| Durability | Volatile | Volatile |
| History | Keep Last | Keep All |
| Reliability | Reliable | Reliable |
| Ownership | Shared | Shared |
Publisher’s Note: MDPI stays neutral with regard to jurisdictional claims in published maps and institutional affiliations. |
© 2022 by the authors. Licensee MDPI, Basel, Switzerland. This article is an open access article distributed under the terms and conditions of the Creative Commons Attribution (CC BY) license (https://creativecommons.org/licenses/by/4.0/).
Share and Cite
Elkhider, S.M.; El-Ferik, S.; Saif, A.-W.A. Denial of Service Attack of QoS-Based Control of Multi-Agent Systems. Appl. Sci. 2022, 12, 4315. https://doi.org/10.3390/app12094315
Elkhider SM, El-Ferik S, Saif A-WA. Denial of Service Attack of QoS-Based Control of Multi-Agent Systems. Applied Sciences. 2022; 12(9):4315. https://doi.org/10.3390/app12094315
Chicago/Turabian StyleElkhider, Siddig M., Sami El-Ferik, and Abdul-Wahid A. Saif. 2022. "Denial of Service Attack of QoS-Based Control of Multi-Agent Systems" Applied Sciences 12, no. 9: 4315. https://doi.org/10.3390/app12094315
APA StyleElkhider, S. M., El-Ferik, S., & Saif, A.-W. A. (2022). Denial of Service Attack of QoS-Based Control of Multi-Agent Systems. Applied Sciences, 12(9), 4315. https://doi.org/10.3390/app12094315

