Session-Enhanced Graph Neural Network Recommendation Model (SE-GNNRM)
Abstract
:1. Introduction
- An improved session-enhanced graph neural network recommendation model based on a graph neural network and self-attention network, namely SE-GNNRM, is proposed to solve the problem of intra-session conversion relationships and representative session embeddings.
- The graph neural network and self-attention mechanism are employed to capture the complex transitions relationship of items and more representative item features in the encoding stage.
- The attention mechanism is employed to combine short-term and long-term preferences to construct a global session graph and capture similar session information by using a graph attention network fused with similarity.
- For two evaluation metrics, extensive experiments on real-world data sets show that SE-GNNRM significantly outperforms existing baseline methods.
2. Related Work
2.1. Traditional Method
2.2. Methods Based on Recurrent Neural Network (RNN)
2.3. Methods Based on Graph Neural Network (GNN)
2.4. Methods Based on Attention
3. Session-Enhanced Graph Neural Network Recommendation Model (SE-GNNRM)
3.1. Definition of Session Recommendation Model
3.2. Detailed Structure of SE-GNNRM
3.2.1. Item Embedding Layer
3.2.2. Session Embedding Layer
3.2.3. Session Interaction Layer
3.2.4. Prediction Layer
4. Experiment and Analysis
4.1. Data Sets
4.2. Baseline Algorithm
- Item-KNN [5] uses cosine similarity to define the degree of similarity between sessions and recommends items that are similar to previous clicks.
- FPMC [7] is a sequence recommendation method based on Markov chain and matrices factorization.
- GRU4REC [9] uses RNN to model user sequences for session-based proposals.
- NARM [10] uses an RNN with an attention mechanism to capture the main purpose and sequential behavior of users, adding an attention mechanism to capture the user’s general interest and current interest in the current session.
- CSRM [11] consists of an internal and an external memory encoder to model the preferences of the current session and neighborhood sessions in order to better predict the intent of the current session.
- SR-GNN [4] uses GNN to capture complex item information transformation and uses an attention mechanism to capture long-term and short-term interests.
- FGNN [14] learns item vectors through a weighted attention layer and learns session features through a session graph feature extraction layer.
- STAMP [17] uses an attention network to capture the user’s general interest and current interest in the current session.
- CoSAN [42] uses a self-attention network to learn the current session embedding and collaborative feature information of items from neighborhood sessions.
4.3. Parameter Settings
4.4. Evaluation Metrics
4.5. Results and Analysis
4.5.1. Comparative Experiment
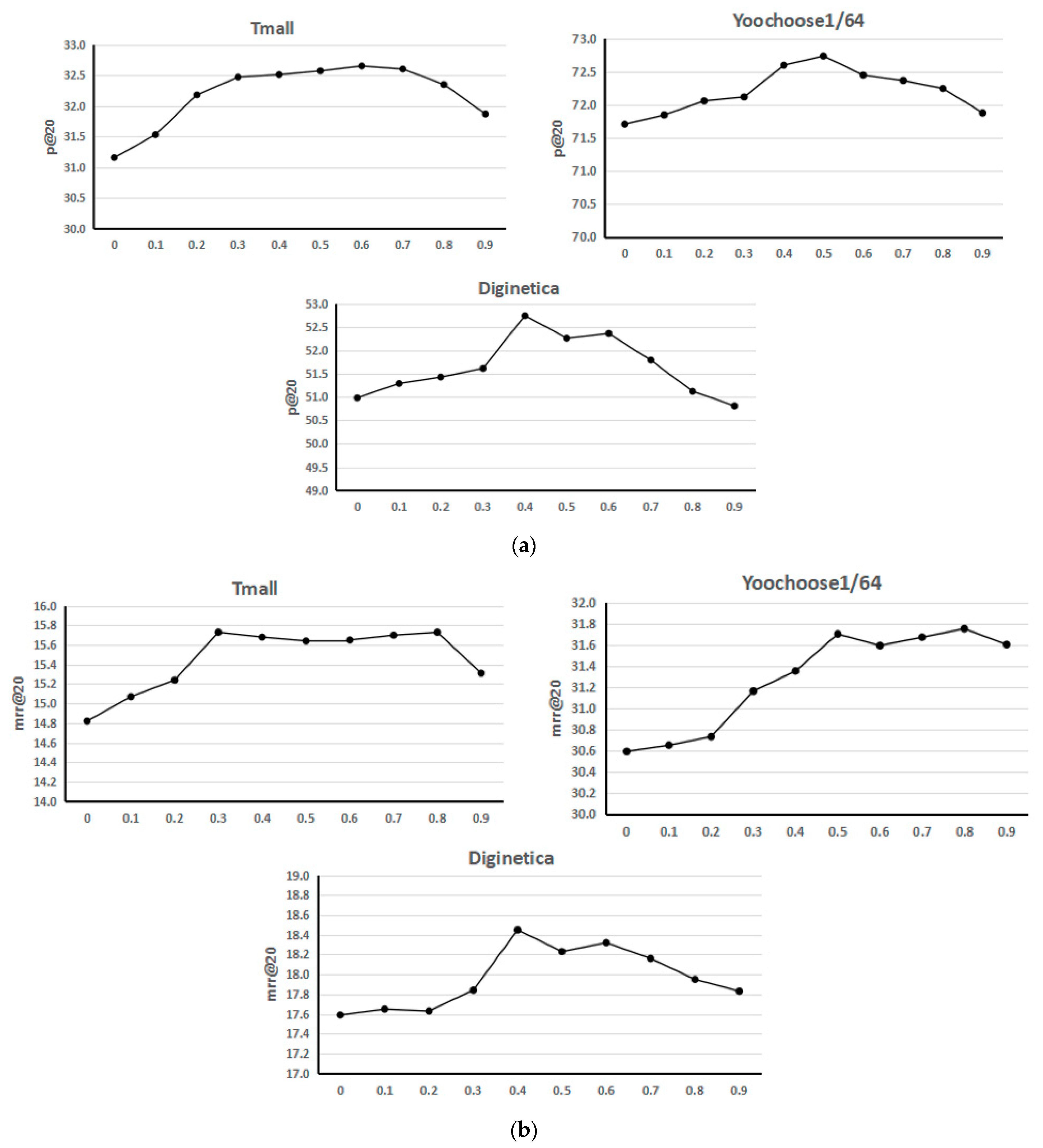
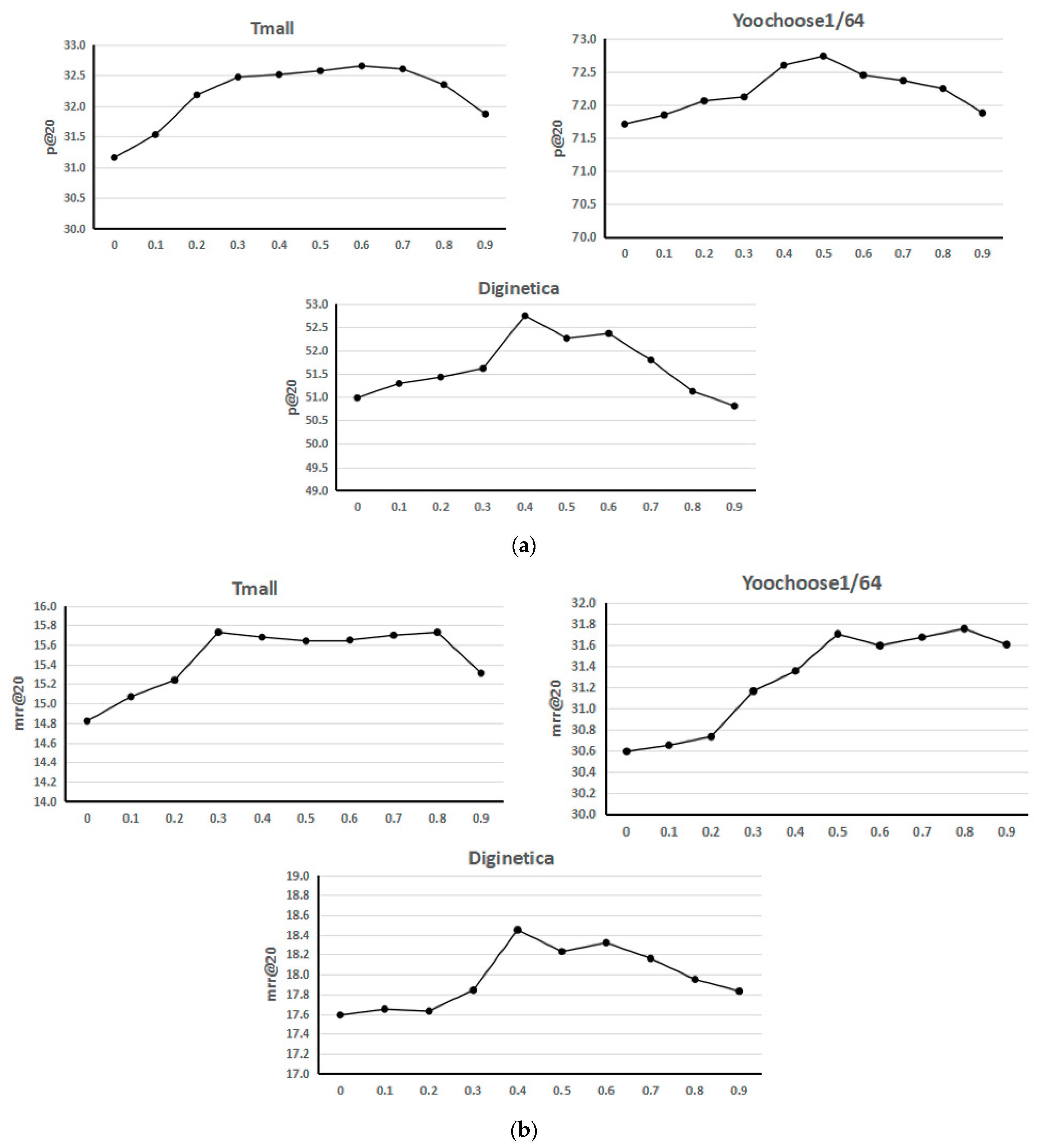
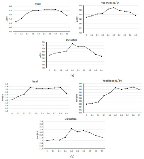
4.5.2. Co-Occurrence Parameter Analysis
5. Conclusions
Author Contributions
Funding
Institutional Review Board Statement
Informed Consent Statement
Data Availability Statement
Conflicts of Interest
References
- Gao, C.; Zheng, Y.; Li, N.; Li, Y.; Qin, Y.; Piao, J.; Quan, Y.; Chang, J.; Jin, D.; He, X.; et al. Graph neural networks for recommender systems: Challenges, methods, and directions. arXiv 2021, arXiv:2109.12843. [Google Scholar]
- Wang, S.; Cao, L.; Wang, Y.; Sheng, Q.Z.; Orgun, M.A.; Lian, D. A survey on session-based recommender systems. ACM Comput. Surv. (CSUR) 2021, 54, 1–38. [Google Scholar] [CrossRef]
- Latifi, S.; Mauro, N.; Jannach, D. Session-aware recommendation: A surprising quest for the state-of-the-art. Inf. Sci. 2021, 573, 291–315. [Google Scholar] [CrossRef]
- Wu, S.; Tang, Y.; Zhu, Y.; Wang, L.; Xie, X.; Tan, T. Session-based Recommendation with Graph Neural Network. In Proceedings of the National Conference on Artificial Intelligence, Hilton Hawaiian Village, Honolulu, HI, USA, 27 January–1 February 2019; pp. 346–353. [Google Scholar]
- Sarwar, B.; Karypis, G.; Konstan, J.; Riedl, J. Item-based collaborative filtering recommendation algorithms. In Proceedings of the 10th International Conference on World Wide Web, Hong Kong, China, 1–5 May 2001; pp. 285–295. [Google Scholar]
- Shani, G.; Heckerman, D.; Brafman, R.I.; Boutilier, C. An MDP-based recommender system. J. Mach. Learn. Res. 2005, 6, 1265–1295. [Google Scholar]
- Rendle, S.; Freudenthaler, C.; Schmidt-Thieme, L. Factorizing personalized markov chains for next-basket recommendation. In Proceedings of the 19th International Conference on World Wide Web, Raleigh, NC, USA, 26–30 April 2010; pp. 811–820. [Google Scholar]
- Wang, S.; Hu, L.; Wang, Y.; He, X.; Sheng, Q.Z.; Orgun, M.; Cao, L.; Wang, N.; Ricci, F.; Yu, P.S. Graph Learning Approaches to Recommender Systems: A Review. arXiv 2020, arXiv:2004.11718. [Google Scholar]
- Hidasi, B.; Quadrana, M.; Karatzoglou, A.; Tikk, D. Parallel recurrent neural network architectures for feature-rich session-based recommendations. In Proceedings of the 10th ACM Conference on Recommender Systems, Boston, MA, USA, 15–19 September 2016; pp. 241–248. [Google Scholar]
- Li, J.; Ren, P.; Chen, Z.; Ren, Z.; Lian, T.; Ma, J. Neural attentive session-based recommendation. In Proceedings of the Conference on Information and Knowledge Management, Singapore, 6–10 November 2017; pp. 1419–1428. [Google Scholar]
- Wang, M.; Ren, P.; Mei, L.; Chen, Z.; Ma, J.; de Rijke, M. A collaborative session-based recommendation approach with parallel memory modules. In Proceedings of the 42nd International ACM SIGIR Conference on Research and Development in Information Retrieval, Paris, France, 21–25 July 2019; pp. 345–354. [Google Scholar]
- Song, W.; Wang, S.; Wang, Y.; Wang, S. Next-item Recommendations in Short Sessions. In Proceedings of the RecSys’21: Fifteenth ACM Conference on Recommender Systems, Amsterdam, The Netherlands, 27 September–1 October 2021; pp. 282–291. [Google Scholar]
- Xu, C.; Zhao, P.; Liu, Y.; Sheng, V.S.; Xu, J.; Zhuang, F.; Fang, J.; Zhou, X. Graph contextualized self-attention network for session-based recommendation. In Proceedings of the International Joint Conference on Artificial Intelligence, Macao, China, 10–16 August 2019; pp. 3940–3946. [Google Scholar]
- Qiu, R.; Li, J.; Huang, Z.; Yin, H. Rethinking the Item Order in Session-based Recommendation with Graph Neural Networks. In Proceedings of the 28th International Conference on Information and Knowledge Management, Beijing, China, 3–7 November 2019; pp. 579–588. [Google Scholar]
- Kim, J.; Lamb, A.; Woodhead, S.; Jones, S.P.; Zheng, C.; Allamanis, M. CoRGi: Content-Rich Graph Neural Networks with Attention. arXiv 2021, arXiv:2110.04866. [Google Scholar]
- Wang, Z.; Wei, W.; Cong, G.; Li, X.L.; Mao, X.L.; Qiu, M. Global context enhanced graph neural networks for session-based recommendation. In Proceedings of the 43rd International SIGIR Conference on Research and Development in Information Retrieval, Virtual Event, 25–30 July 2020; pp. 169–178. [Google Scholar]
- Liu, Q.; Zeng, Y.; Mokhosi, R.; Zhang, H. STAMP: Short-term attention/memory priority model for session-based recommendation. In Proceedings of the 24th ACM SIGKDD International Conference on Knowledge Discovery & Data Mining, London, UK, 19–23 August 2018; pp. 1831–1839. [Google Scholar]
- Li, Z.G.; Chen, H.; Ma, X.C.; Chen, H.Y.; Ma, Z. Triple Pseudo-Siamese network with hybrid attention mechanism for welding defect detection. Mater. Des. 2022, 217, 110645. [Google Scholar] [CrossRef]
- Deng, W.; Li, Z.; Li, X.; Chen, H.; Zhao, H. Compound fault diagnosis using optimized MCKD and sparse representation for rolling bearings. IEEE Trans. Instrum. Meas. 2022, 71, 1–9. [Google Scholar] [CrossRef]
- Cui, H.; Guan, Y.; Chen, H. Rolling element fault diagnosis based on VMD and sensitivity MCKD. IEEE Access 2021, 9, 120297–120308. [Google Scholar] [CrossRef]
- Zhang, Z.H.; Min, F.; Chen, G.S.; Shen, S.P.; Wen, Z.C.; Zhou, X.B. Tri-partition state alphabet-based sequential pattern for multivariate time series. Cogn. Comput. 2021, 1–19. [Google Scholar] [CrossRef]
- Chen, H.; Zhang, Q.; Luo, J. An enhanced Bacterial Foraging Optimization and its application for training kernel extreme learning machine. Appl. Soft Comput. 2020, 86, 105884. [Google Scholar] [CrossRef]
- Ran, X.; Zhou, X.; Lei, M.; Tepsan, W.; Deng, W. A novel k-means clustering algorithm with a noise algorithm for capturing urban hotspots. Appl. Sci. 2021, 11, 11202. [Google Scholar] [CrossRef]
- Vaswani, A.; Shazeer, N.; Parmar, N.; Uszkoreit, J.; Jones, L.; Gomez, A.N.; Kaiser, Ł.; Polosukhin, I. Attention is all you need. Adv. Neural Inf. Process. Syst. 2017, 30, 5998–6008. [Google Scholar]
- Shao, H.D.; Lin, J.; Zhang, L.W.; Galar, D.; Kumar, U. A novel approach of multisensory fusion to collaborative fault diagnosis in maintenance. Inf. Fusion 2021, 74, 65–76. [Google Scholar] [CrossRef]
- Li, T.Y.; Shi, J.Y.; Deng, W.; Hu, Z.D. Pyramid particle swarm optimization with novel strategies of competition and cooperation. Appl. Soft Comput. 2022, 121, 108731. [Google Scholar] [CrossRef]
- Li, G.; Li, Y.; Chen, H.; Deng, W. Fractional-Order Controller for Course-Keeping of Underactuated Surface Vessels Based on Frequency Domain Specification and Improved Particle Swarm Optimization Algorithm. Appl. Sci. 2022, 12, 3139. [Google Scholar] [CrossRef]
- He, Z.Y.; Shao, H.D.; Zhong, X.; Zhao, X.Z. Ensemble transfer CNNs driven by multi-channel signals for fault diagnosis of rotating machinery cross working conditions. Knowl.-Based Syst. 2020, 207, 106396. [Google Scholar] [CrossRef]
- Wei, Y.Y.; Zhou, Y.Q.; Luo, Q.F.; Deng, W. Optimal reactive power dispatch using an improved slime mould algorithm. Energy Rep. 2021, 7, 8742–8759. [Google Scholar] [CrossRef]
- Deng, W.; Zhang, X.X.; Zhou, Y.Q.; Liu, Y.; Zhou, X.B.; Chen, H.L.; Zhao, H.M. An enhanced fast non-dominated solution sorting genetic algorithm for multi-objective problems. Inf. Sci. 2022, 585, 441–453. [Google Scholar] [CrossRef]
- Zhang, X.; Wang, H.; Du, C.; Fan, X.; Cui, L.; Chen, H.; Deng, F.; Tong, Q.; He, M.; Yang, M.; et al. Custom-molded offloading footwear effectively prevents recurrence and amputation, and lowers mortality rates in high-risk diabetic foot patients: A multicenter, prospective observational study. Diabetes Metab. Syndr. Obes. Targets Ther. 2022, 15, 103–109. [Google Scholar] [CrossRef]
- Sun, F.; Liu, J.; Wu, J.; Pei, C.; Lin, X.; Ou, W.; Jiang, P. BERT4Rec: Sequential Recommendation with Bidirectional Encoder Representations from Transformer. In Proceedings of the 28th ACM International Conference on Information and Knowledge Management, Beijing, China, 3–7 November 2019; pp. 1441–1450. [Google Scholar]
- Fang, J. Session-based Recommendation with Self-Attention Networks. arXiv 2021, arXiv:2102.01922. [Google Scholar]
- Yuan, J.; Song, Z.; Sun, M.; Wang, X.; Zhao, W.X. Dual Sparse Attention Network for Session-based Recommendation. In Proceedings of the AAAI Conference on Artificial Intelligence, Virtual Event, 2–9 February 2021; pp. 4635–4643. [Google Scholar]
- Zhang, S.; Yao, L.; Sun, A.; Tay, Y. Deep Learning Based Recommender System: A Survey and New Perspectives. ACM Comput. Surv. 2019, 52, 1–38. [Google Scholar] [CrossRef] [Green Version]
- Li, Y.; Tarlow, D.; Brockschmidt, M.; Zemel, R. Gated graph sequence neural networks. In Proceedings of the 4th International Conference on Learning Representations, San Juan, Puerto Rico, 2–4 May 2016. [Google Scholar]
- Kang, W.C.; McAuley, J. Self-Attentive Sequential Recommendation. In Proceedings of the IEEE International Conference on Data Mining, Singapore, 17–20 November 2018; pp. 197–206. [Google Scholar]
- Xia, X.; Yin, H.; Yu, J.; Wang, Q.; Cui, L.; Zhang, X. Self-Supervised Hypergraph Convolutional Networks for Session-based Recommendation. In Proceedings of the AAAI Conference on Artificial Intelligence, Virtual Event, 2–9 February 2021; pp. 4503–4511. [Google Scholar]
- Duan, H.; Zhu, J. Context-aware short-term interest first model for session-based recommendation. arXiv 2021, arXiv:2103.15514. [Google Scholar]
- Veličković, P.; Cucurull, G.; Casanova, A.; Romero, A.; Lio, P.; Bengio, Y. Graph attention networks. arXiv 2017, arXiv:1710.10903. [Google Scholar]
- Tan, Y.K.; Xu, X.; Liu, Y. Improved recurrent neural networks for session-based recommendations. In Proceedings of the 1st Workshop on Deep Learning for Recommender Systems, Boston, MA, USA, 15 September 2016; pp. 17–22. [Google Scholar]
- Luo, A.; Zhao, P.; Liu, Y.; Zhuang, F.; Wang, D.; Xu, J.; Fang, J.; Sheng, V.S. Collaborative Self-Attention Network for Session-based Recommendation. In Proceedings of the Twenty-Ninth International Joint Conference on Artificial Intelligence, Yokohama, Japan, 11–17 July 2020; pp. 2591–2597. [Google Scholar]


| Data Set | Yoochoose1/64 | Diginetica | Tmall |
|---|---|---|---|
| Clicks | 557,248 | 982,961 | 818,479 |
| Train | 369,859 | 719,470 | 351,268 |
| Test | 55,898 | 60,858 | 25,898 |
| Items | 16,766 | 43,097 | 40,728 |
| Average length | 6.16 | 5.12 | 6.69 |
| Models (%) | Yoochoose1/64 | Diginetica | Tmall | |||
|---|---|---|---|---|---|---|
| P@20 | MRR@20 | P@20 | MRR@20 | P@20 | MRR@20 | |
| FPMC | 45.62 | 15.01 | 26.53 | 6.95 | 16.06 | 7.32 |
| Item-KNN | 51.60 | 21.81 | 35.75 | 11.57 | 9.15 | 3.31 |
| GRU4REC | 60.64 | 22.89 | 30.79 | 15.46 | 10.83 | 5.89 |
| NARM | 68.32 | 28.63 | 48.43 | 16.11 | 23.30 | 10.70 |
| CSRM | 71.45 | 30.36 | 50.55 | 16.38 | 29.46 | 13.96 |
| SR-GNN | 70.57 | 30.94 | 50.73 | 17.59 | 27.57 | 13.72 |
| FGNN | 71.12 | 31.68 | 51.36 | 18.47 | 25.24 | 10.39 |
| STAMP | 68.74 | 28.67 | 46.62 | 15.13 | 26.47 | 13.36 |
| CoSAN | 69.71 | 29.92 | 48.34 | 15.22 | 27.21 | 13.12 |
| SE-GNNRM | 72.76 | 32.18 | 52.84 | 18.49 | 32.70 | 15.61 |
Publisher’s Note: MDPI stays neutral with regard to jurisdictional claims in published maps and institutional affiliations. |
© 2022 by the authors. Licensee MDPI, Basel, Switzerland. This article is an open access article distributed under the terms and conditions of the Creative Commons Attribution (CC BY) license (https://creativecommons.org/licenses/by/4.0/).
Share and Cite
Yin, L.; Chen, P.; Zheng, G. Session-Enhanced Graph Neural Network Recommendation Model (SE-GNNRM). Appl. Sci. 2022, 12, 4314. https://doi.org/10.3390/app12094314
Yin L, Chen P, Zheng G. Session-Enhanced Graph Neural Network Recommendation Model (SE-GNNRM). Applied Sciences. 2022; 12(9):4314. https://doi.org/10.3390/app12094314
Chicago/Turabian StyleYin, Lifeng, Pengyu Chen, and Guanghai Zheng. 2022. "Session-Enhanced Graph Neural Network Recommendation Model (SE-GNNRM)" Applied Sciences 12, no. 9: 4314. https://doi.org/10.3390/app12094314
APA StyleYin, L., Chen, P., & Zheng, G. (2022). Session-Enhanced Graph Neural Network Recommendation Model (SE-GNNRM). Applied Sciences, 12(9), 4314. https://doi.org/10.3390/app12094314

