Investigation of Time-Varying Cable Tension of Bridges Using Time-Frequency Reassignment Techniques Based on Structural Health Monitoring Data
Abstract
:Featured Application
Abstract
1. Introduction
2. TFR Techniques
2.1. Short-Time Fourier Transform
2.2. Uncertainty Principle
2.3. Time-Frequency Analysis Using TFR
3. Identification of Cable Tension Using TFR Techniques
3.1. Dynamic Response of Cables
3.2. Identification of Time-Varying Frequency
3.3. Identification of Time-Varying Cable Tension
- Step 1
- Measure the dynamic response of cables from health monitoring systems;
- Step 2
- Choose a suitable length of the window function , calculate three STFT spectrograms , , and ;
- Step 3
- Calculate the time-frequency reassignment spectrogram from three STFTs and compare the time-frequency resolution using the different length of window function in parameter studies;
- Step 4
- Identify the time-varying frequency from the reassignment spectrogram by picking the peak ridge;
- Step 5
- Calculate the time-varying tension based on the vibration theory of cables by Equation (12).
4. Experimental Validation
4.1. Experimental Descriptions
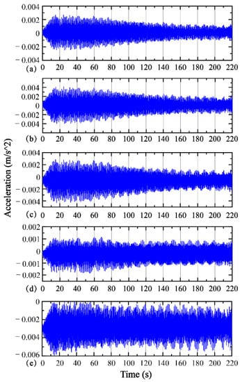
4.2. Data Acquisition
4.3. Results
4.3.1. Optimal Selection of Window Function Length
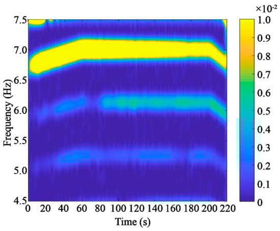
4.3.2. Time-Varying Frequency Extract Based on TFR
4.3.3. Time-Varying Cable Tension and Error Analysis
5. Engineering Validation
5.1. Experiement Descriptions
5.2. Data Acquisition from Sensing Subsystem
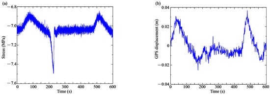
5.3. Identification Results and Discussion
5.4. Assessment of Cable Tension
6. Conclusions
- (1)
- The proposed algorithm can identify the time-varying instantaneously from reassignment spectrograms of acceleration responses. The measured time interval for the identification of frequency is within 12.8 s. Compared with the STFT results, the time-frequency resolution of the proposed algorithm is clear and has a satisfactory accuracy.
- (2)
- The experimental results show that the identification accuracy had a controllable error from the actual loads. The average error is between 0.16% and 0.59%, while the maximum error is 5.70%. The error usually appears at the boundary of the signals or calculated results by the low-order frequencies.
- (3)
- The identified tension has a synchronous trend with the adjacent structural responses, such as the GPS displacement of the tower and the stress of the girder. The identified results are consistent with the applied moving loads.
- (4)
- The proposed method can assess the deterioration or abnormal conditions of cables with two important indices, the 40% ultimate bearing tension and the initial cable tension measured in the construction stage.
Author Contributions
Funding
Institutional Review Board Statement
Informed Consent Statement
Data Availability Statement
Conflicts of Interest
References
- Zhang, L.X.; Qiu, G.Y.; Chen, Z.S. Structural health monitoring methods of cables in cable-stayed bridge: A review. Measurement 2021, 168, 108343. [Google Scholar] [CrossRef]
- Yang, Y.Q.; Fahmy, M.F.; Guan, S.J.; Pan, Z.H.; Zhan, Y.; Zhao, T.D. Properties and applications of FRP cable on long-span cable-supported bridges: A review. Compos. Part B Eng. 2020, 190, 107934. [Google Scholar] [CrossRef]
- Wang, X.; Wu, Z.S. Integrated high-performance thousand-metre scale cable-stayed bridge with hybrid FRP cables. Compos. Part B Eng. 2010, 41, 166–175. [Google Scholar] [CrossRef]
- Zhao, Y.B.; Sun, C.S.; Wang, Z.Q.; Wang, L.H. Analytical solutions for resonant response of suspended cables subjected to external excitation. Nonlinear Dyn. 2014, 78, 1017–1032. [Google Scholar] [CrossRef]
- Khalifa, M.A.; Hodhod, O.A.; Zaki, M.A. Analysis and design methodology for an FRP cable-stayed pedestrian bridge. Compos. Part B Eng. 1996, 27, 307–317. [Google Scholar] [CrossRef]
- Suzumura, K.; Nakamura, S. Environmental factors affecting corrosion of galvanized steel wires. J. Mater. Civ. Eng. 2004, 16, 1–7. [Google Scholar] [CrossRef]
- Xia, Y.; Chen, B.; Weng, S.; Ni, Y.Q.; Xu, Y.L. Temperature effect on vibration properties of civil structures: A literature review and case studies. J. Civ. Struct. Health 2012, 2, 29–46. [Google Scholar] [CrossRef] [Green Version]
- Zejli, H.; Gaillet, L.; Laksimi, A.; Benmedakhene, S. Detection of the presence of broken wires in cables by acoustic emission inspection. J. Bridge Eng. 2012, 17, 921–927. [Google Scholar] [CrossRef]
- Li, R.; Miao, C.Q.; Feng, Z.X.; Wei, T.H. Experimental study on the fatigue behavior of corroded steel wire. J. Constr. Steel Res. 2021, 176, 106375. [Google Scholar] [CrossRef]
- Xu, X.; Huang, Q.; Ren, Y.; Zhao, D.Y.; Zhang, D.Y.; Sun, H.B. Condition evaluation of suspension bridges for maintenance, repair and rehabilitation: A comprehensive framework. Struct. Infrastruct. Eng. 2019, 15, 555–567. [Google Scholar] [CrossRef]
- Wang, H.; Tao, T.Y.; Li, A.Q.; Zhang, Y.F. Structural health monitoring system for Sutong cable-stayed bridge. Smart Struct. Syst. 2016, 18, 317–334. [Google Scholar] [CrossRef]
- Li, S.L.; Li, H.; Liu, Y.; Lan, C.M.; Zhou, W.S.; Ou, J.P. SMC structural health monitoring benchmark problem using monitored data from an actual cable-stayed bridge. Struct. Control Health Monit. 2014, 21, 156–172. [Google Scholar] [CrossRef]
- Peng, Z.; Li, J.; Hao, H. Long-term condition monitoring of cables for in-service cable-stayed bridges using matched vehicle-induced cable tension ratios. Smart Struct. Syst. 2022, 29, 167–179. [Google Scholar] [CrossRef]
- Arangio, S.; Bontempi, F. Structural health monitoring of a cable-stayed bridge with Bayesian neural networks. Struct. Infrastruct. Eng. 2015, 11, 575–587. [Google Scholar] [CrossRef]
- Cho, S.; Yim, J.; Shin, S.W.; Jung, H.J.; Yun, C.B.; Wang, M.L. Comparative field study of cable tension measurement for a cable-stayed bridge. J. Bridge Eng. 2013, 18, 748–757. [Google Scholar] [CrossRef]
- Zheng, R.; Liu, L.H.; Zhao, X.; Chen, Z.Q.; Zhang, C.Y.; Hua, X.G. Investigation of measurability and reliability of adhesive-bonded built-in fiber Bragg grating sensors on steel wire for bridge cable force monitoring. Measurement 2018, 129, 349–357. [Google Scholar] [CrossRef]
- Hu, D.T.; Guo, Y.X.; Chen, X.F.; Zhang, C.R. Cable force health monitoring of Tongwamen bridge based on fiber Bragg grating. Appl. Sci. 2017, 7, 384. [Google Scholar] [CrossRef] [Green Version]
- Yim, J.; Wang, M.L.; Shin, S.W.; Yun, C.B.; Eem, S.H. Field application of elasto-magnetic stress sensors for monitoring of cable tension force in cable-stayed bridges. Smart Struct. Syst. 2013, 12, 465–482. [Google Scholar] [CrossRef]
- Zhang, R.; Duan, Y.F.; Zhao, Y.; He, X. Temperature compensation of elasto-magneto-electric (EME) sensors in cable force monitoring using BP neural network. Sensors 2018, 18, 2176. [Google Scholar] [CrossRef] [Green Version]
- Ma, L. A highly precise frequency-based method for estimating the tension of an inclined cable with unknown boundary conditions. J. Sound Vib. 2017, 409, 65–80. [Google Scholar] [CrossRef]
- Zhang, X.; Peng, J.Y.; Cao, M.S.; Damjanović, D.; Ostachowicz, W. Identification of instantaneous tension of bridge cables from dynamic responses: STRICT algorithm and applications. Mech. Syst. Signal Process. 2020, 142, 106729. [Google Scholar] [CrossRef]
- Fang, Z.; Wang, J.Q. Practical formula for cable tension estimation by vibration method. J. Bridge Eng. 2012, 17, 161–164. [Google Scholar] [CrossRef]
- Kim, B.H.; Park, T. Estimation of cable tension force using the frequency-based system identification method. J. Sound Vib. 2007, 304, 660–676. [Google Scholar] [CrossRef]
- Ren, W.X.; Chen, G.; Hu, W.H. Empirical formulas to estimate cable tension by cable fundamental frequency. Struct. Eng. Mech. 2005, 20, 363–380. [Google Scholar] [CrossRef]
- He, W.Y.; Meng, F.C.; Ren, W.X. Cable force estimation of cables with small sag considering inclination angle effect. Adv. Bridge Eng. 2021, 2, 1–22. [Google Scholar] [CrossRef]
- Zui, H.; Shinke, T.; Namita, Y. Practical formulas for estimation of cable tension by vibration method. J. Struct. Eng. 1996, 122, 651–656. [Google Scholar] [CrossRef]
- Irvine, H.M. Cable Structures; The MIT Press: Cambridge, MA, USA, 1992. [Google Scholar]
- Triantafyllou, M.S.; Grinfogel, L. Natural frequencies and modes of inclined cables. J. Struct. Eng. 1986, 112, 139–148. [Google Scholar] [CrossRef]
- Wu, Q.X.; Takahashi, K.; Nakamura, S. Formulae for frequencies and modes of in-plane vibrations of small-sag inclined cables. J. Sound Vib. 2005, 279, 1155–1169. [Google Scholar] [CrossRef]
- Li, H.; Zhang, F.J.; Jin, Y.Z. Real-time identification of time-varying tension in stay cables by monitoring cable transversal acceleration. Struct. Control Health Monit. 2014, 21, 1100–1117. [Google Scholar] [CrossRef]
- Yang, Y.C.; Li, S.L.; Nagarajaiah, S.; Li, H.; Zhou, P. Real-time output-only identification of time-varying cable tension from accelerations via complexity pursuit. J. Struct. Eng. 2016, 142, 04015083. [Google Scholar] [CrossRef]
- Bao, Y.Q.; Shi, Z.Q.; Beck, J.L.; Li, H.; Hou, T.Y. Identification of time-varying cable tension forces based on adaptive sparse time-frequency analysis of cable vibrations. Struct. Control Health Monit. 2017, 24, e1889. [Google Scholar] [CrossRef]
- Liu, J.L.; Zheng, J.Y.; Wei, X.J.; Ren, W.X.; Laory, I. A combined method for instantaneous frequency identification in low frequency structures. Eng. Struct. 2019, 194, 370–383. [Google Scholar] [CrossRef]
- Zhong, R.M.; Pai, P.F. An instantaneous frequency analysis method of stay cables. J. Low Freq. Noise Vib. Act. Control 2021, 40, 263–277. [Google Scholar] [CrossRef] [Green Version]
- Hou, S.T.; Dong, B.; Fan, J.H.; Wu, G.; Wang, H.C.; Han, Y.T.; Zhao, X.J. Variational mode decomposition based time-varying force identification of stay cables. Appl. Sci. 2021, 11, 1254. [Google Scholar] [CrossRef]
- Allen, J. Short term spectral analysis, synthesis, and modification by discrete Fourier transform. IEEE Trans. Acoust. Speech Signal Process. 1977, 25, 235–238. [Google Scholar] [CrossRef]
- Hlawatsch, F.; Boudreaux-Bartels, G.F. Linear and quadratic time-frequency signal representations. IEEE Signal Process. Mag. 1992, 9, 21–67. [Google Scholar] [CrossRef]
- Ribeiro, M.; Ewins, D.; Robb, D. Non-stationary analysis and noise filtering using a technique extended from the original prony method. Mech. Syst. Signal Process. 2003, 17, 533–549. [Google Scholar] [CrossRef]
- Auger, F.; Flandrin, P. Improving the readability of time-frequency and time-scale representations by the reassignment method. IEEE Trans. Signal Process. 1995, 43, 1068–1089. [Google Scholar] [CrossRef] [Green Version]
- Auger, F.; Flandrin, P.; Lin, Y.T.; McLaughlin, S.; Meignen, S.; Oberlin, T.; Wu, H.T. Time-frequency reassignment and synchrosqueezing: An overview. IEEE Signal Process. Mag. 2013, 30, 32–41. [Google Scholar] [CrossRef] [Green Version]
- Chopra, A.K. Dynamics of Structures; Prentice Hall: Englewood Cliffs, NJ, USA, 2007. [Google Scholar]
- You, Q.Z.; He, P.; Dong, X.W.; Zhang, X.G.; Wu, S.C. Sutong Bridge—The longest cable-stayed bridge in the world. Struct. Eng. Int. 2008, 18, 390–395. [Google Scholar] [CrossRef]


















| Length (m) | Mass per Unit (kg/m) | Specification (mm) | Anchorage Length (m) | Protective Sleeve Material |
|---|---|---|---|---|
| 191.9 | 22.0 | 127 × Φ5.2 | 1.0 | Polyethylene |
| Frequency Order | Error | Sensor 1 | Sensor 2 | Sensor 3 | Sensor 4 | Sensor 5 |
|---|---|---|---|---|---|---|
| 4 | AE (%) | 0.51 | 0.49 | 0.44 | 0.47 | 0.59 |
| ME (%) | 5.70 | 5.16 | 2.49 | 3.10 | 5.06 | |
| 5 | AE (%) | 0.40 | 0.42 | 0.42 | 0.40 | 0.38 |
| ME (%) | 5.16 | 4.95 | 4.95 | 4.78 | 5.04 | |
| 6 | AE (%) | 0.27 | 0.29 | 0.29 | 0.28 | 0.30 |
| ME (%) | 2.68 | 2.68 | 2.68 | 3.14 | 2.32 | |
| 7 | AE (%) | 0.27 | 0.27 | 0.25 | 0.25 | 0.28 |
| ME (%) | 1.82 | 1.88 | 2.16 | 1.37 | 3.43 | |
| 8 | AE (%) | 0.16 | 0.17 | 0.16 | 0.17 | 0.17 |
| ME (%) | 0.62 | 0.89 | 0.60 | 0.60 | 0.62 |
Publisher’s Note: MDPI stays neutral with regard to jurisdictional claims in published maps and institutional affiliations. |
© 2022 by the authors. Licensee MDPI, Basel, Switzerland. This article is an open access article distributed under the terms and conditions of the Creative Commons Attribution (CC BY) license (https://creativecommons.org/licenses/by/4.0/).
Share and Cite
Cao, M.; Hu, S.; Zhang, X.; Zhang, S.; Sumarac, D.; Peng, J. Investigation of Time-Varying Cable Tension of Bridges Using Time-Frequency Reassignment Techniques Based on Structural Health Monitoring Data. Appl. Sci. 2022, 12, 4008. https://doi.org/10.3390/app12084008
Cao M, Hu S, Zhang X, Zhang S, Sumarac D, Peng J. Investigation of Time-Varying Cable Tension of Bridges Using Time-Frequency Reassignment Techniques Based on Structural Health Monitoring Data. Applied Sciences. 2022; 12(8):4008. https://doi.org/10.3390/app12084008
Chicago/Turabian StyleCao, Maosen, Shuaitao Hu, Xin Zhang, Shixiang Zhang, Dragoslav Sumarac, and Jiayi Peng. 2022. "Investigation of Time-Varying Cable Tension of Bridges Using Time-Frequency Reassignment Techniques Based on Structural Health Monitoring Data" Applied Sciences 12, no. 8: 4008. https://doi.org/10.3390/app12084008
APA StyleCao, M., Hu, S., Zhang, X., Zhang, S., Sumarac, D., & Peng, J. (2022). Investigation of Time-Varying Cable Tension of Bridges Using Time-Frequency Reassignment Techniques Based on Structural Health Monitoring Data. Applied Sciences, 12(8), 4008. https://doi.org/10.3390/app12084008

