Acidic Neutralization by Indigenous Bacteria Isolated from Abandoned Mine Areas
Abstract
:1. Introduction
2. Experimental Procedure
2.1. Soil Sampling and Characterization
2.2. Microcosm Acid Neutralization Test
2.3. Monitoring Microbial Community during the Test
2.4. Acid Neutralization Potential of Single Bacterial Strain
2.5. Biochemical Characterization
3. Results and Discussion
3.1. Physicochemical and Biological Characterization of the Soil Samples
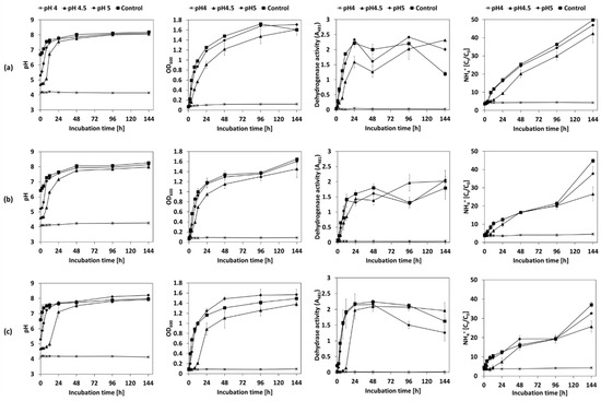
3.2. Acid Neutralization by the Isolated Bacterial Consortia


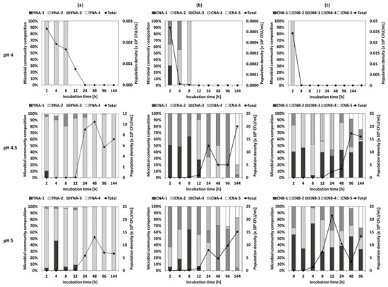
3.3. Monitoring Microbial Community during Incubation
3.4. Acid Neutralization Properties of the Single Bacterial Strains
3.5. Acid-Neutralizing Mechanism of Bacterial Strains
4. Conclusions
Author Contributions
Funding
Institutional Review Board Statement
Informed Consent Statement
Conflicts of Interest
References
- Zou, X.; Xiao, X.; Zhou, H.; Chen, F.; Zeng, J.; Wang, W.; Feng, G.; Huang, X. Effects of soil acidification on the toxicity of organophosphorus pesticide on Eisenia fetida and its mechanism. J. Hazard. Mater. 2018, 359, 365–372. [Google Scholar] [CrossRef] [PubMed]
- Patrick, v.B.; Fleuren-Kemilä, A.K. Influence of pH on the toxic effects of zinc, cadmium, and pentachlorophenol on pure cultures of soil microorganisms. Environ. Toxicol. Chem. 1997, 16, 146–153. [Google Scholar]
- Haynes, R.J.; Mokolobate, M.S. Amelioration of Al toxicity and P deficiency in acid soils by additions of organic residues: A critical review of the phenomenon and the mechanisms involved. Nutr. Cycl. Agroecosyst. 2001, 59, 47–63. [Google Scholar] [CrossRef]
- Riaz, M.; Yan, L.; Wu, X.; Hussain, S.; Aziz, O.; Jiang, C. Mechanisms of organic acids and boron induced tolerance of aluminum toxicity: A review. Ecotoxicol. Environ. Saf. 2018, 165, 25–35. [Google Scholar] [CrossRef] [PubMed]
- Liu, D.; Zhang, C.; Chen, X.; Yang, Y.; Wang, S.; Li, Y.; Hu, H.; Ge, Y.; Cheng, W. Effects of pH, Fe, and Cd on the uptake of Fe2+ and Cd2+ by rice. Environ. Sci. Pollut. Res. 2013, 20, 8947–8954. [Google Scholar] [CrossRef] [PubMed]
- Cain, D.J.; Croteau, M.N.; Fuller, C.C. Dietary bioavailability of Cu adsorbed to colloidal hydrous ferric oxide. Environ. Sci. Technol. 2013, 47, 2869–2876. [Google Scholar] [CrossRef] [PubMed]
- Campana, O.; Simpson, S.L.; Spadaro, D.A.; Blasco, J. Sub-lethal effects of copper to benthic invertebrates explained by sediment properties and dietary exposure. Environ. Sci. Technol. 2012, 46, 6835–6842. [Google Scholar] [CrossRef]
- Simpson, S.L.; Vardanega, C.R.; Jarolimek, C.; Jolley, D.F.; Angel, B.M.; Mosley, L.M. Metal speciation and potential bioavailability changes during discharge and neutralisation of acidic drainage water. Chemosphere 2014, 103, 172–180. [Google Scholar] [CrossRef]
- Jia, J.; Gao, Y. Acid deposition and assessment of its critical load for the environmental health of waterbodies in a subtropical watershed, China. J. Hydrol. 2017, 555, 155–168. [Google Scholar] [CrossRef]
- Goulding, K.W.T. Soil acidification and the importance of liming agricultural soils with particular reference to the United Kingdom. Soil Use Manag. 2016, 32, 390–399. [Google Scholar] [CrossRef]
- Wen, X.; Duan, C.; Zhang, D. Effect of simulated acid rain on soil acidification and rare earth elements leaching loss in soils of rare earth mining area in southern Jiangxi Province of China. Environ. Earth Sci. 2013, 69, 843–853. [Google Scholar] [CrossRef]
- Zhang, W.; Yin, K.; Chen, L. Bacteria-mediated bisphenol A degradation. Appl. Microbiol. Biotechnol. 2013, 97, 5681–5689. [Google Scholar] [CrossRef] [PubMed]
- Dubiková, M.; Cambier, P.; Šucha, V.; Čaplovičová, M. Experimental soil acidification. Appl. Geochem. 2002, 17, 245–257. [Google Scholar] [CrossRef]
- Ginocchio, R.; De La Fuente, L.M.; Sánchez, P.; Bustamante, E.; Silva, Y.; Urrestarazu, P.; Rodríguez, P.H. Soil acidification as a confounding factor on metal phytotoxicity in soils spiked with copper-rich mine wastes. Environ. Toxicol. Chem. 2009, 28, 2069–2081. [Google Scholar] [CrossRef] [PubMed]
- Moon, D.H.; Chang, Y.Y.; Ok, Y.S.; Cheong, K.H.; Koutsospyros, A.; Park, J.H. Amelioration of acidic soil using various renewable waste resources. Environ. Sci. Pollut. Res. 2014, 21, 774–780. [Google Scholar] [CrossRef]
- Carvalho, M.C.S.; Van Raij, B. Calcium sulphate, phosphogypsum and calcium carbonate in the amelioration of acid subsoils for root growth. Plant Soil 1997, 192, 37–48. [Google Scholar] [CrossRef]
- Saadaoui, E.; Ghazel, N.; Ben Romdhane, C.; Massoudi, N. Phosphogypsum: Potential uses and problems—A review. Int. J. Environ. Stud. 2017, 74, 558–567. [Google Scholar] [CrossRef]
- Ernani, P.R.; Ribeiro, M.F.S.; Bayer, C. Chemical modifications caused by liming below the limed layer in a predominantly variable charge acid soil. Commun. Soil Sci. Plant Anal. 2004, 35, 889–901. [Google Scholar] [CrossRef]
- Huber, C.; Baier, R.; Göttlein, A.; Weis, W. Changes in soil, seepage water and needle chemistry between 1984 and 2004 after liming an N-saturated Norway spruce stand at the Höglwald, Germany. For. Ecol. Manag. 2006, 233, 11–20. [Google Scholar] [CrossRef]
- Nguyen, V.A.T.; Senoo, K.; Mishima, T.; Hisamatsu, M. Multiple tolerance of Rhodotorula glutinis R-1 to acid, aluminum ion and manganese ion, and its unusual ability of neutralizing acidic medium. J. Biosci. Bioeng. 2001, 92, 366–371. [Google Scholar] [CrossRef]
- Shiomi, N.; Yasuda, T.; Inoue, Y.; Kusumoto, N.; Iwasaki, S.; Katsuda, T.; Katoh, S. Characteristics of neutralization of acids by newly isolated fungal cells. J. Biosci. Bioeng. 2004, 97, 54–58. [Google Scholar] [CrossRef]
- Nabeshima, R.; Kusumoto, N.; Katoh, S.; Shiomi, N. Neutralization of acidified water by use of Rhizopus delemar immobilized with a cellulose membrane. Biochem. Eng. J. 2008, 41, 188–192. [Google Scholar] [CrossRef]
- Takahashi, N.; Saito, K.; Schachtele, C.; Yamada, T. Acid tolerance and acid-neutralizing activity of Fusobacterium nucleatum. Oral Microbiol. Immunol. 1997, 12, 323–328. [Google Scholar] [CrossRef] [PubMed]
- Liu, Y.; Tang, H.; Lin, Z.; Xu, P. Mechanisms of acid tolerance in bacteria and prospects in biotechnology and bioremediation. Biotechnol. Adv. 2015, 33, 1484–1492. [Google Scholar] [CrossRef]
- Phang, I.R.K.; Chan, Y.S.; Wong, K.S.; Lau, S.Y. Isolation and characterization of urease-producing bacteria from tropical peat. Biocatal. Agric. Biotechnol. 2018, 13, 168–175. [Google Scholar] [CrossRef]
- Mahdavi, A.; Sajedi, R.H.; Rassa, M. Investigation of acid-neutralizing property of Bacillus cereus GUF8. Biomacromol. J. 2017, 3, 18–25. [Google Scholar]
- Azcarate-Peril, M.A.; Altermann, E.; Hoover-Fitzula, R.L.; Cano, R.J.; Klaenhammer, T.R. Identification and inactivation of genetic loci involved with Lactobacillus acidophilus acid tolerance. Appl. Environ. Microbiol. 2004, 70, 5315–5322. [Google Scholar] [CrossRef] [Green Version]
- Park, S.Y.; Lee, G.W.; Kim, C.G. Microbial amelioration of acid mine drainage impaired soil using the bacterial consortia of Klebsiella sp. and Raoultella sp. J. Soil Groundw. Environ. 2021, 26, 34–44. [Google Scholar]
- Serrano, J.; Leiva, E. Removal of arsenic using acid/metal-tolerant sulfate reducing bacteria: A new approach for bioremediation of high-arsenic acid mine waters. Water 2017, 9, 994. [Google Scholar] [CrossRef] [Green Version]
- Tribedi, P.; Goswami, M.; Chakraborty, P.; Mukherjee, K.; Mitra, G.; Bhattacharyya, P.; Dey, S. Bioaugmentation and biostimulation: A potential strategy for environmental remediation. J. Microbiol. Exp. 2018, 6, 223–231. [Google Scholar] [CrossRef] [Green Version]
- Li, L.; Zhang, Z.; Wang, Y.; Xu, J. Efficient removal of heavily oil-contaminated soil using a combination of fenton pre-oxidation with biostimulated iron and bioremediation. J. Environ. Manag. 2022, 308, 114590. [Google Scholar] [CrossRef] [PubMed]
- Werheni Ammeri, R.; Di Rauso Simeone, G.; Hidri, Y.; Abassi, M.S.; Mehri, I.; Costa, S.; Hassen, A.; Rao, M.A. Combined bioaugmentation and biostimulation techniques in bioremediation of pentachlorophenol contaminated forest soil. Chemosphere 2022, 290, 133359. [Google Scholar] [CrossRef] [PubMed]
- Ramos-García, Á.A.; Walecka-Hutchison, C.; Freedman, D.L. Effect of biostimulation and bioaugmentation on biodegradation of high concentrations of 1,4-dioxane. Biodegradation 2022, 33, 157–168. [Google Scholar] [CrossRef] [PubMed]
- Palma, G.; Jorquera, M.; Demanet, R.; Elgueta, S.; Briceño, G.; de la Luz Mora, M. Urea Fertilizer and pH Influence on sorption process of Flumetsulam and MCPA acidic herbicides in a volcanic soil. J. Environ. Qual. 2016, 45, 323–330. [Google Scholar] [CrossRef]
- Mehmood, K.; Baquy, M.A.A.; Xu, R.K. Influence of nitrogen fertilizer forms and crop straw biochars on soil exchange properties and maize growth on an acidic Ultisol. Arch. Agron. Soil Sci. 2018, 64, 834–849. [Google Scholar] [CrossRef]
- Cai, Z.; Xu, M.; Zhang, L.; Yang, Y.; Wang, B.; Wen, S.; Misselbrook, T.H.; Carswell, A.M.; Duan, Y.; Gao, S. Decarboxylation of organic anions to alleviate acidification of red soils from urea application. J. Soils Sediments 2020, 20, 3124–3135. [Google Scholar] [CrossRef]
- Chen, X.; Achal, V. Effect of simulated acid rain on the stability of calcium carbonate immobilized by microbial carbonate precipitation. J. Environ. Manag. 2020, 264, 110419. [Google Scholar] [CrossRef]
- Tyurin, I.V. A new modification of the volumetric method of determining soil organic matter by means of chromic acid. Pochvovedenie 1931, 26, 36–47. [Google Scholar]
- Jankauskas, B.; Jankauskiene, G.; Slepetiene, A.; Fullen, M.A.; Booth, C.A. International comparison of analytical methods of determining the soil organic matter content of Lithuanian Eutric Albeluvisols. Commun. Soil Sci. Plant Anal. 2006, 37, 707–720. [Google Scholar] [CrossRef]
- Spartks, D.L.; Page, A.L.; Helmke, P.A.; Loepert, R.H.; Soltanpour, P.N.; Tabatabai, M.A.; Johnston, C.T.; Sumner, M.E. Soil Science Society of America. In Methods of Soil Analysis Part 3 Chemical Methods; John Wiley & Sons: New York, NY, USA, 1996. [Google Scholar]
- APHA-AWWA-WEF. American Water Works Association Water Environment Federation. In Standard Methods for Examinations of Water and Wastewater; American Public Health Association: Washington, DC, USA, 2018. [Google Scholar]
- Bouyoucos, G. Hydrometer method improved for making particle size analysis of soils. Agron. J. 1962, 54, 464–465. [Google Scholar] [CrossRef]
- Ashworth, J.; Keyes, D.; Kirk, R.; Lessard, R. Standard procedure in the hydrometer method for particle size analysis. Commun. Soil Sci. Plant Anal. 2001, 32, 633–642. [Google Scholar] [CrossRef]
- von Mersi, W.; Schinner, F. An improved and accurate method for determining the dehydrogenase activity of soils with iodonitrotetrazolium chloride. Biol. Fertil. Soils 1991, 11, 216–220. [Google Scholar] [CrossRef]
- Christensen, W.B. Urea decomposition as a means of differentiating proteus and paracolon cultures from each other and from Salmonella and Shigella types. J. Bacteriol. 1946, 52, 461–466. [Google Scholar] [CrossRef] [PubMed] [Green Version]
- Cho, M.J.; Park, S.Y.; You, E.Y.; Kim, C.G. Neutralization of acidic soil using Myxococcus xanthus: Important parameters and their implications. Geosyst. Eng. 2021, 24, 180–187. [Google Scholar] [CrossRef]
- Guan, N.; Liu, L. Microbial response to acid stress: Mechanisms and applications. Appl. Microbiol. Biotechnol. 2020, 104, 51–65. [Google Scholar] [CrossRef] [Green Version]
- Senouci-Rezkallah, K.; Schmitt, P.; Jobin, M.P. Amino acids improve acid tolerance and internal pH maintenance in Bacillus cereus ATCC14579 strain. Food Microbiol. 2011, 28, 364–372. [Google Scholar] [CrossRef]
- Özogul, F.; Özogul, Y. The ability of biogenic amines and ammonia production by single bacterial cultulres. Eur. Food Res. Technol. 2007, 225, 385–394. [Google Scholar] [CrossRef]
- Hamidi, N.H.; Ahmed, O.H.; Omar, L.; Chng, H.Y. Combined use of charcoal, sago bark ash, and urea mitigate soil acidity and aluminium toxicity. Agronomy 2021, 11, 1799. [Google Scholar] [CrossRef]
- Burbank, M.B.; Weaver, T.J.; Williams, B.C.; Crawford, R.L. Urease activity of ureolytic bacteria isolated from six soils in which calcite was precipitated by indigenous bacteria. Geomicrobiol. J. 2012, 29, 389–395. [Google Scholar] [CrossRef]
- Maroncle, N.; Rich, C.; Forestier, C. The role of Klebsiella pneumoniae urease in intestinal colonization and resistance to gastrointestinal stress. Res. Microbiol. 2006, 157, 184–193. [Google Scholar] [CrossRef]
- Lu, D.C. Pathways and regulation of bacterial arginine metabolism and perspectives for obtaining arginine overproducing strains. Appl. Microbiol. Biotechnol. 2006, 70, 261–275. [Google Scholar] [CrossRef] [PubMed]
- Zúñiga, M.; Pérez, G.; González-Candelas, F. Evolution of arginine deiminase (ADI) pathway genes. Mol. Phylogenet. Evol. 2002, 25, 429–444. [Google Scholar] [CrossRef]
- Moreau, P.L. The lysine decarboxylase CadA protects Escherichia coli starved of phosphate against fermentation acids. J. Bacteriol. 2007, 189, 2249–2261. [Google Scholar] [CrossRef] [PubMed] [Green Version]
- Reeve, B.W.P.; Reid, S.J. Glutamate and histidine improve both solvent yields and the acid tolerance response of Clostridium beijerinckii NCP 260. J. Appl. Microbiol. 2016, 120, 1271–1281. [Google Scholar] [CrossRef]
- Teixeira, J.S.; Seeras, A.; Sanchez-Maldonado, A.F.; Zhang, C.; Su, M.S.W.; Gänzle, M.G. Glutamine, glutamate, and arginine-based acid resistance in Lactobacillus reuteri. Food Microbiol. 2014, 42, 172–180. [Google Scholar] [CrossRef]
- De Biase, D.; Tramonti, A.; Bossa, F.; Visca, P. The response to stationary-phase stress conditions in Escherichia coli: Role and regulation of the glutamic acid decarboxylase system. Mol. Microbiol. 1999, 32, 1198–1211. [Google Scholar] [CrossRef] [Green Version]
- Pennacchietti, E.; D’alonzo, C.; Freddi, L.; Occhialini, A.; De Biase, D. The glutaminase-dependent acid resistance system: Qualitative and quantitative assays and analysis of its distribution in enteric bacteria. Front. Microbiol. 2018, 9, 2869. [Google Scholar] [CrossRef] [Green Version]
- Lu, P.; Ma, D.; Chen, Y.; Guo, Y.; Chen, G.Q.; Deng, H.; Shi, Y. L-glutamine provides acid resistance for Escherichia coli through enzymatic release of ammonia. Cell Res. 2013, 23, 635–644. [Google Scholar] [CrossRef] [Green Version]




| Y1 | C1 | C2 | ||
|---|---|---|---|---|
| Soil depth | Topsoil | Subsoil | Topsoil | |
| pH | 4.5 | 7.8 | 7.1 | |
| Moisture content (%) | 25.15 | 9.92 | 10.61 | |
| Organic content (%) | 2.17 | 0.18 | 0.34 | |
| NH4+-N (mg/kg) | 2.69 | 2.34 | 1.99 | |
| Particle size distribution | Sand (%) | 73.40 | 86.26 | 85.62 |
| Silt (%) | 19.71 | 9.62 | 6.91 | |
| Clay (%) | 6.88 | 4.12 | 7.47 | |
| Heavy metals | As (mg/kg) | - | 97.66 | 56.08 |
| Cd (mg/kg) | - | 0.81 | 1.19 | |
| Cu (mg/kg) | - | 4.5 | 35.8 | |
| Pb (mg/kg) | - | 24.2 | 32.1 | |
| Zn (mg/kg) | - | 32.2 | 252.6 | |
| Isolates | Species | Identities | Gaps | |
|---|---|---|---|---|
| Y1 | YNA-1 | Bacillus toyonensis | 1471/1473 (99%) | 1/1473 (0%) |
| YNA-2 | Serratia grimesii | 1459/1461 (99%) | 1/1461 (0%) | |
| YNA-3 | Pseudomonas protegens | 1465/1465 (100%) | 0/1465 (0%) | |
| YNA-4 | Atlantibacter hermannii | 1441/1466 (98%) | 1/1466 (0%) | |
| C1 | CNA-1 | Pseudescherichiavulneris | 1447/1457 (99%) | 0/1457 (0%) |
| CNA-2 | Salmonella enterica subsp. | 1418/1441 (98%) | 0/1441 (0%) | |
| CNA-3 | Citrobacter youngae | 1459/1490 (98%) | 0/1490 (0%) | |
| CNA-4 | Pseudomonas plecoglossicida | 1470/1474 (99%) | 4/1474 (0%) | |
| CNA-5 | Serratia liquefaciens | 1479/1484 (99%) | 4/1484 (0%) | |
| C2 | CNB-1 | Serratia grimesii | 1453/1455 (99%) | 0/1455 (0%) |
| CNB-2 | Pseudomonas protegens | 1443/1443 (100%) | 0/1443 (0%) | |
| CNB-3 | Aeromonas taiwanensis | 1451/1461 (99%) | 2/1461 (0%) | |
| CNB-4 | Leclercia adecarboxylata | 1461/1484 (98%) | 3/1484 (0%) | |
| CNB-5 | Stenotrophomonas maltophilia | 1475/1493 (99%) | 2/1493 (0%) | |
| YNA-2 | CNA-1 | CNA-2 | CNA-5 | CNB-1 | YNA-3 | CNA-4 | CNB-2 | CNA-3 | CNB-4 | CNB-5 | ||
|---|---|---|---|---|---|---|---|---|---|---|---|---|
| API 20E | API 20NE | |||||||||||
| β-galactosidase | + | + | + | + | + | Reduction of NO3− to NO2− | - | + | + | + | - | + |
| Arginine dihydrolase | - | + | - | - | - | Indole production | - | - | - | - | - | - |
| Lysine decarboxylase | + | - | + | + | + | Fermentation | - | + | + | + | - | + |
| Ornithine decarboxylase | + | - | - | + | + | Arginine dihydrolase | + | - | + | - | + | - |
| Citrate utilization | + | - | - | + | + | Hydrolysis (β-glucosidase) | + | + | + | + | - | + |
| H2S production | - | - | - | - | - | Hydrolysis (Protease) | + | - | + | + | + | - |
| Tryptophan deaminase | - | - | - | - | - | β-galactosidase | - | + | + | + | - | + |
| Indole production | - | - | + | - | - | Assimilation | ||||||
| Acetoin production | + | - | - | + | + | D-glucose | + | + | + | + | + | + |
| Fermentation/oxidation | L-arabinose | - | + | + | + | - | + | |||||
| D-glucose | + | + | + | + | + | D-mannose | + | + | + | + | + | + |
| Mannitol | + | + | + | + | + | D-Mannitol | + | + | + | + | + | + |
| Inositol | + | - | - | + | + | N-acetyl-glucosamine | + | + | + | + | + | + |
| D-sorbitol | - | - | - | + | - | D-maltose | - | + | + | + | - | + |
| L-rhamnose | - | + | + | - | - | Potassium gluconate | + | + | + | + | + | + |
| D-sucrose | + | - | - | + | + | Capric acid | + | + | + | - | + | - |
| D-melibiose | - | + | - | - | - | Adipic acid | - | - | - | - | - | - |
| Amygdalin | + | + | + | + | + | Malic acid | + | + | + | + | + | + |
| L-arabinose | + | + | + | + | + | Trisodium citrate | + | + | + | + | + | + |
| Oxidase | - | - | - | - | - | Phenylacetic acid | - | + | - | - | + | - |
| Nitrate reducibility | + | + | + | + | + | Oxidase | + | - | - | + | + | - |
| API ZYM | API ZYM | |||||||||||
| Alkaline phosphatase | + | + | + | + | + | Alkaline phosphatase | + | + | + | + | + | + |
| Esterase (C4) | + | + | + | + | + | Esterase (C4) | + | + | + | + | + | + |
| Esterase Lipase (C8) | + | - | + | + | + | Esterase Lipase (C8) | + | + | + | + | + | + |
| Lipase (C14) | + | - | - | - | - | Lipase (C14) | - | - | - | - | - | - |
| Leucine arylamidase | + | + | + | + | + | Leucine arylamidase | + | + | + | + | + | + |
| Acid phosphatase | + | + | + | + | + | Acid phosphatase | + | + | + | + | + | + |
| Naphthol-AS-BI-phosphohydrolase | + | + | + | + | + | Naphthol-AS-BI-phosphohydrolase | + | + | + | + | + | + |
| β-glucuronidase | + | + | + | + | + | β-glucuronidase | - | + | + | + | + | + |
| α-glucosidase | + | - | - | + | + | α-glucosidase | + | - | - | - | - | + |
| β-glucosidase | - | - | - | - | - | β-glucosidase | - | - | - | - | + | - |
| Urease * | - | - | - | - | - | Urease * | + | + | + | + | - | + |
Publisher’s Note: MDPI stays neutral with regard to jurisdictional claims in published maps and institutional affiliations. |
© 2022 by the authors. Licensee MDPI, Basel, Switzerland. This article is an open access article distributed under the terms and conditions of the Creative Commons Attribution (CC BY) license (https://creativecommons.org/licenses/by/4.0/).
Share and Cite
Cho, M.-J.; Park, S.-Y.; Kim, C.-G. Acidic Neutralization by Indigenous Bacteria Isolated from Abandoned Mine Areas. Appl. Sci. 2022, 12, 3324. https://doi.org/10.3390/app12073324
Cho M-J, Park S-Y, Kim C-G. Acidic Neutralization by Indigenous Bacteria Isolated from Abandoned Mine Areas. Applied Sciences. 2022; 12(7):3324. https://doi.org/10.3390/app12073324
Chicago/Turabian StyleCho, Min-Jung, Seon-Yeong Park, and Chang-Gyun Kim. 2022. "Acidic Neutralization by Indigenous Bacteria Isolated from Abandoned Mine Areas" Applied Sciences 12, no. 7: 3324. https://doi.org/10.3390/app12073324
APA StyleCho, M.-J., Park, S.-Y., & Kim, C.-G. (2022). Acidic Neutralization by Indigenous Bacteria Isolated from Abandoned Mine Areas. Applied Sciences, 12(7), 3324. https://doi.org/10.3390/app12073324
