Study on Mechanical Properties of Modified Polyurethane Concrete at Different Temperatures
Abstract
:1. Introduction
2. Experimental Program
2.1. Test Specimens
2.1.1. Mix Design
2.1.2. Specimen Preparation
2.2. Experimental Setup and Loading Procedure
3. Experimental Results and Discussion
3.1. Failure Mode
3.1.1. Cube Specimens
3.1.2. Prism Specimens
3.2. Cubic Compressive Strength and Splitting Tensile Strength
3.3. Axial Compressive Strength
3.4. Peak Strain
3.5. Elastic Modulus
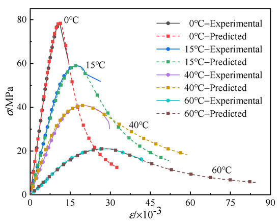
4. Uniaxial Compression Constitutive Model
5. Conclusions
Author Contributions
Funding
Institutional Review Board Statement
Informed Consent Statement
Data Availability Statement
Conflicts of Interest
References
- Nelsen, T. Performance of Concrete Bridge Deck Surface Treatments; Brigham Young University: Provo, UT, USA, 2005. [Google Scholar]
- Howarth, G. Polyurethanes, polyurethane dispersions and polyureas: Past, present and future. Surf. Coat. Int. Part B Coat. Trans. 2003, 86, 111–118. [Google Scholar] [CrossRef]
- Aleis, K.A.; LaBarca, I.K. Evaluation of the URETEK Method® of Pavement Lifting; Wisconsin Department of Transportation: Madison, WI, USA, 2007; pp. 1–30. [Google Scholar]
- Martinelli, A.E.; Melo, D.M.A.; Lima, F.M.; Bezerra, U.T.; Marinho, E.P.; Henrique, D.M. Addition of polyurethane to portland cement. Mater. Sci. Forum. 2005, 498–499, 401–406. [Google Scholar] [CrossRef]
- Hussain, H.K.; Zhang, L.Z.; Liu, G.W. An experimental study on strengthening reinforced concrete T-beams using new material poly-urethane-cement (PUC). Constr. Build. Mater. 2013, 40, 104–117. [Google Scholar] [CrossRef]
- Hussain, H.K.; Liu, G.W.; Yong, Y.W. Experimental study to investigate mechanical properties of new material polyurethane–cement composite (PUC). Constr. Build. Mater. 2014, 50, 200–208. [Google Scholar] [CrossRef]
- Wang, H.; Liu, H.; Zhuang, C. Study on the Polyurethane Concrete for the Rapid Repairment of Highway Pavement. Appl. Mech. Mater. 2012, 193–194, 762–769. [Google Scholar] [CrossRef]
- Jiang, K.; Su, Q.; Bai, H.; Feng, X. Researching on the Mechanic Properties of Early-Strength Polyurethane Concrete and its Affecting Factors. Appl. Mech. Mater. 2014, 518, 225–230. [Google Scholar] [CrossRef]
- Hu, Z.; Hu, X.; Cheng, W.; Zhao, Y.; Wu, M. Performance optimization of one-component polyurethane healing agent for self-healing concrete. Constr. Build. Mater. 2018, 179, 151–159. [Google Scholar] [CrossRef]
- Yang, N.; Zhang, K.; Sun, Q. Dispersion and Pressure Sensitivity of Carbon Nanofiber-Reinforced Polyurethane Cement. Appl. Sci. 2018, 8, 2375. [Google Scholar] [CrossRef] [Green Version]
- Zhang, K.; Sun, Q. Experimental Study of Reinforced Concrete T-Beams Strengthened with a Composite of Prestressed Steel Wire Ropes Embedded in Polyurethane Cement (PSWR–PUC). Int. J. Civ. Eng. 2017, 16, 1109–1123. [Google Scholar] [CrossRef]
- Gao, H.; Sun, Q. Study on Fatigue Test and Life Prediction of Polyurethane Cement Composite (PUC) under High or Low Temperature Conditions. Adv. Mater. Sci. Eng. 2020, 2020, 1–14. [Google Scholar] [CrossRef] [Green Version]
- Ma, W.; Zhao, Z.; Guo, S.; Zhao, Y.; Wu, Z.; Yang, C. Performance Evaluation of the Polyurethane-Based Composites Prepared with Recycled Polymer Concrete Aggregate. Materials 2020, 13, 616. [Google Scholar] [CrossRef] [PubMed] [Green Version]
- Xu, S.; Xu, M.; Zhang, Y.; Guo, Y.; Peng, G.; Xu, Y. An Indoor Laboratory Simulation and Evaluation on the Aging Resistance of Polyether Polyurethane Concrete for Bridge Deck Pavement. Front. Mater. 2020, 7, 7. [Google Scholar] [CrossRef]
- Jiang, Z.; Tang, C.; Yang, J.; You, Y.; Lv, Z. A lab study to develop polyurethane concrete for bridge deck pavement. Int. J. Pavement Eng. 2020, 995, 1–9. [Google Scholar] [CrossRef]
- Jia, Z.; Jia, D.; Sun, Q.; Wang, Y.; Ding, H. Preparation and Mechanical-Fatigue Properties of Elastic Polyurethane Concrete Composites. Materials 2021, 14, 3839. [Google Scholar] [CrossRef]
- Kexin, Z.; Quansheng, S. Strengthening of a Reinforced Concrete Bridge with Polyurethane-cement Composite (PUC). Open Civ. Eng. J. 2016, 10, 768–781. [Google Scholar] [CrossRef]
- Xu, B.; Xu, S.; Lv, J.; Peng, Q. Development and application of polymer concrete application in Bridge Engineering. Build. Decor. Mater. World 2021, 2021, 89–92. (In Chinese) [Google Scholar]
- Tipka, M.; Vašková, J. Testing of Concrete and Fibre Reinforced Concrete in Uniaxial Tension. Adv. Mater. Res. 2015, 1106, 49–52. [Google Scholar] [CrossRef]
- Wu, Z.; Shi, C.; He, W.; Wang, D. Uniaxial Compression Behavior of Ultra-High Performance Concrete with Hybrid Steel Fiber. J. Mater. Civ. Eng. 2016, 28, 06016017. [Google Scholar] [CrossRef]
- Xiao, J.; Zhang, K.; Akbarnezhad, A. Variability of stress-strain relationship for recycled aggregate concrete under uniaxial compression loading. J. Clean. Prod. 2018, 181, 753–771. [Google Scholar] [CrossRef]
- Deng, M.; Pan, J.; Liang, X. Uniaxial Compressive Test of High Ductile Fiber-Reinforced Concrete and Damage Constitutive Model. Adv. Civ. Eng. 2018, 2018, 1–12. [Google Scholar] [CrossRef] [Green Version]
- Guo, Z. Mechanical Properties of Concrete Materials and Structural Member at Room Temperature and High Temperature; Tsinghua University Press: Beijing, China, 2006. [Google Scholar]
- Chen, G.M.; He, Y.H.; Yang, H.; Chen, J.F.; Guo, Y.C. Compressive behavior of steel fiber reinforced recycled aggregateconcrete after exposure to elevated temperatures. Constr. Build. Mater. 2014, 71, 1–15. [Google Scholar] [CrossRef] [Green Version]
- Saridemir, M.; Severcan, M.H.; Ciflikli, M.; Celikten, S.; Ozcan, F.; Atis, C.D. The influence of elevated temperature on strength and microstructure of high strength concrete containing ground pumice and metakaolin. Constr. Build. Mater. 2016, 124, 244–257. [Google Scholar] [CrossRef]
- GB/T 50081-2019; Standard for Test Methods of Concrete Physical and Mechanical Properties. Ministry of Housing and Urban Rural Development of the People’s Republic of China: Beijing, China, 2019.
- GB50010-2010; Code for Design of Concrete Structures. Ministry of Housing and Urban Rural Development of the People’s Republic of China: Beijing, China, 2010.























| Composition | Particle Size D (mm) | Mass Fraction | Fineness Modulus | Apparent Density (kg/m3) |
|---|---|---|---|---|
| Coarse aggregate | 10 mm ≥ D > 4.75 mm | 29.6% | 3.4 | 2600 |
| Fine aggregate | D < 4.75 mm | 54.9% | 2.5 | 2580 |
| Modified polyurethane | / | 15.3% | / | / |
| admixture | / | 0.2% | / | / |
| Experimental Project | Temperature | Average Value of Ultimate Capacity (kN) | Average Value of Ultimate Strength (MPa) | Standard Deviation | COV |
|---|---|---|---|---|---|
| Cubic compressive strength | 0 °C | 1791.47 | 79.62 | 2.58 | 0.03 |
| 15 °C | 1618.5 | 71.93 | 2.00 | 0.03 | |
| 40 °C | 966.87 | 42.97 | 3.09 | 0.07 | |
| 60 °C | 589.27 | 26.19 | 1.48 | 0.06 | |
| Split tensile strength | 0 °C | 280.07 | 7.93 | 1.10 | 0.14 |
| 15 °C | 251.1 | 7.11 | 0.41 | 0.06 | |
| 40 °C | 168.47 | 4.77 | 0.14 | 0.03 | |
| 60 °C | 94.2 | 2.67 | 0.14 | 0.05 | |
| Axial compressive strength | 0 °C | 1713.03 | 78.52 | 4.81 | 0.06 |
| 15 °C | 1324.6 | 58.87 | 0.63 | 0.01 | |
| 40 °C | 888.63 | 39.50 | 2.36 | 0.06 | |
| 60 °C | 470.47 | 20.91 | 0.60 | 0.03 |
Publisher’s Note: MDPI stays neutral with regard to jurisdictional claims in published maps and institutional affiliations. |
© 2022 by the authors. Licensee MDPI, Basel, Switzerland. This article is an open access article distributed under the terms and conditions of the Creative Commons Attribution (CC BY) license (https://creativecommons.org/licenses/by/4.0/).
Share and Cite
Lei, J.; Feng, F.; Xu, S.; Wen, W.; He, X. Study on Mechanical Properties of Modified Polyurethane Concrete at Different Temperatures. Appl. Sci. 2022, 12, 3184. https://doi.org/10.3390/app12063184
Lei J, Feng F, Xu S, Wen W, He X. Study on Mechanical Properties of Modified Polyurethane Concrete at Different Temperatures. Applied Sciences. 2022; 12(6):3184. https://doi.org/10.3390/app12063184
Chicago/Turabian StyleLei, Jianhua, Fan Feng, Shu Xu, Weibin Wen, and Xuhui He. 2022. "Study on Mechanical Properties of Modified Polyurethane Concrete at Different Temperatures" Applied Sciences 12, no. 6: 3184. https://doi.org/10.3390/app12063184
APA StyleLei, J., Feng, F., Xu, S., Wen, W., & He, X. (2022). Study on Mechanical Properties of Modified Polyurethane Concrete at Different Temperatures. Applied Sciences, 12(6), 3184. https://doi.org/10.3390/app12063184

